Next Article in Journal
Multi-Isotope-Based Tracing of Drainage Nitrogen Behavior and Surface and Groundwater Pathways in High-Nitrogen Rare Earth Mines
Previous Article in Journal
Integrating Policy Instruments for Enhanced Urban Resilience: A Machine Learning and IoT-Based Approach to Flood Mitigation
 
 
Font Type:
Arial Georgia Verdana
Font Size:
Aa Aa Aa
Line Spacing:
Column Width:
Background:
Communication

Effects of Trap Funnel and Finger Design on Sea Lamprey Entrance and Retention

1
U.S. Fish and Wildlife Service, Marquette Biological Station, 3090 Wright Street, Marquette, MI 49855, USA
2
Fisheries and Oceans Canada, 1219 Queen Street East, Sault Ste. Marie, ON P6A 2E5, Canada
3
U.S. Geological Survey, Great Lakes Science Center, Hammond Bay Biological Station, 11188 Ray Road, Millersburg, MI 49759, USA
*
Author to whom correspondence should be addressed.
Water 2024, 16(23), 3365; https://doi.org/10.3390/w16233365
Submission received: 20 September 2024 / Revised: 18 November 2024 / Accepted: 21 November 2024 / Published: 23 November 2024
(This article belongs to the Section Biodiversity and Functionality of Aquatic Ecosystems)

Abstract

Traps are used to catch adult sea lampreys during their upstream migration to estimate their abundance in streams and, in turn, provide a measure of the Sea Lamprey Control Program’s effectiveness. During 2015 and 2016, we experimentally compared two components of sea lamprey trap design: trap entrance funnel type and the presence of retention devices, using side-by-side instream test chambers as well as laboratory flumes. We modeled how likelihoods of entrance and retention were influenced by funnel type, retention fingers, water temperature, and lamprey sex. Likelihood of entrance was highest with bottom-oriented funnels and no retention fingers. As water temperature increased, the likelihood of entrance generally increased, but funnel type and retention fingers determined the magnitude of the increase. Likelihood of retention was highest with bottom-oriented funnels and retention fingers and was also influenced by water temperature. Overall, the likelihood of capture (result of entrance + retention) was highest for bottom-oriented funnels and varied by water temperature and lamprey sex but not retention fingers. Further testing on other components of trap design is needed. This type of controlled experimental design can help guide future work to improve trap exploitation rates.

1. Introduction

Control of the invasive sea lamprey (Petromyzon marinus) has been conducted as an integrated pest management program in the North American Great Lakes since the 1950s through the combination of lampricides, migratory barriers, and traps. Sea lamprey control occurs through an international collaboration between the U.S. Fish and Wildlife Service (USFWS) and the Department of Fisheries and Oceans Canada (DFO). Currently, a range of large barrier-integrated traps to small portable assessment traps are deployed in streams across the Great Lakes basin to assess adult sea lamprey abundance and provide a metric to gauge program success [1]. Traps have been used to remove adult sea lampreys from Great Lakes tributaries since the 1940s [2]. However, exploitation rates (proportion of the population removed) are quite variable from stream to stream. Exploitation rates may be influenced by environmental conditions in the stream (attractiveness), trap location within the stream (distance from the mouth), trap location within a site (proximity to flow), or trap design. Improving exploitation rates is desirable both in terms of assessment and for potentially implementing a trapping-for-control strategy.
Exploitation rates are a function of overall encounter, entrance, and retention rates [3]. These rates are determined by the behavior of individual lamprey as they transition from one state (unavailable, available, trapped, or removed) to the next [4]. Site-specific studies have been conducted to assess likelihood of retention and likelihood of entrance, with widely variable results. Retention experiments have been conducted at the St. Marys, Mississagi, Cheboygan, and Ocqueoc rivers (USFWS and DFO, unpublished data). Traps were seeded with a known number of uniquely marked sea lampreys, and retention rates were based on the proportion that remained in the trap after a period (usually 24 h). Retention rates varied from 5% to 85% in the Cheboygan traps with fingers, from 50% to 80% in the Mississagi and St. Marys portable traps with no fingers, and were nearly 100% in the St. Marys and Ocqueoc permanent traps with fingers. Retention fingers are constructed of 14-gauge stainless-steel hinged “fingers” spaced 1 cm apart covering the funnel opening. The fingers swing freely when pushed against from the outside and act as a one-way entrance. It is generally thought that installing fingers will improve retention, which appears to be the case with the Mississagi, St. Marys, and Ocqueoc traps. The reason for the low retention rate in the Cheboygan traps is unknown but may be due to bio fouling (debris that prevents the fingers from falling back into place) or spacing between fingers. The degree to which fingers decreased likelihood of entrance in these studies is unknown. O’Connor et al. [5] released PIT (passive integrated transponder)-tagged sea lampreys at different locations downstream of a trap in Cobourg Brook, Ontario, and found that, depending on the proximity of the release site to the traps, fewer sea lampreys than expected entered the traps (19–63%) but near-expected values were retained once they had entered the traps (87–100%).
Traps are often designed and fabricated for the location in which they are deployed, resulting in various trap configurations; however, the basic design is consistent throughout the Sea Lamprey Control Program (SLCP). Sea lamprey traps follow the design of most standard fish traps, with constricting devices (funnels) providing access to a large holding compartment. Typically, funnels will guide lampreys to the center of the holding compartment, making it difficult for trapped lampreys to find the funnel opening once inside. Concerns about entrance and retention rates of sea lampreys have led to modifications of this basic design around the basin. Retention devices consisting of one-way metal fingers are now installed on the 7.5 cm square funnel opening (56 cm2) of most traps deployed by the USFWS, whereas DFO traps have a 5 cm diameter circular opening (20 cm2) and generally do not employ metal fingers to improve retention. Further concerns about the “willingness” of sea lampreys to enter traps have led to modifications of the entrances themselves; some traps employ the standard symmetrical funnel, which guides lampreys toward the middle of the trap, while others have bottom-oriented entrance funnels to take advantage of the lamprey’s propensity to orient near the stream bottom. However, there may be tradeoffs whereby increasing entrance rates could decrease retention rates and vice versa.
We used instream experimental flumes to test whether the likelihood of entrance and retention differed with funnel style and presence of retention devices. We predicted that the likelihood of entrance would be higher for bottom-oriented funnels and that retention would be higher for funnels with retention fingers. This kind of direct comparison has not been carried out before and will help guide the development and design of traps to improve trapping effectiveness for assessment and, potentially, for control.

2. Methods

Two instream flumes constructed of expanded aluminum mesh (Figure 1), each consisting of three chambers, were deployed in the Ocqueoc River, Michigan, during 2015 and the Black Mallard River, Michigan, during 2016. The flumes were divided into three chambers and deployed parallel to stream flow so that water flowed lengthwise through the flumes. Experiments were conducted using a run-of-river approach, and average water velocity in the chambers was approximately 0.1 m/sec from upstream to downstream. The chamber furthest upstream was separated using removable funnels; the chamber furthest downstream contained plastic tubes to provide shelter for sea lampreys and was separated from the upstream chambers by a removable gate. Underwater cameras were installed along the bottom of the middle chamber to view the downstream side of the removable funnels. To ensure sea lampreys used for this experiment were naïve to funnel traps, test animals were captured from nearby streams using eel ladder-style traps. The eel ladder-style traps consist of studded ramps that sea lampreys can climb due to their anguilliform movement. Sea lampreys simply climb the ramps into collection pots (i.e., funnel-less traps). Collection occurred during the early spring migratory season, and sea lampreys were held in flow-through tanks at Hammond Bay Biological Station. Hypolimnetic water was supplied to the tanks from Lake Huron at an ambient temperature (~6° C), which slowed the maturation process and maintained the sea lampreys at an immature migratory stage of development.
Each trial was preceded by an acclimation period in which, between 09:00 and 10:00, up to ten sea lampreys were stocked into the downstream chamber of each experimental flume with a gate installed to prevent their access to the upstream chambers. During the 2015 trials, only male sea lampreys were used as the experimental flume was positioned above the Ocqueoc River sea lamprey barrier. During the 2016 trials, five males and five females were used per trial. At the same time, one of four possible funnel configurations was installed at the entrance to the upstream chamber. All possible combinations of funnel (symmetrical vs. bottom-oriented) and finger (present vs. absent) configuration were randomized across the duration of the study deployment each year and changed daily. Square, USFWS-style openings were used in all trials. At 17:00, the blocker gate was removed from the downstream chamber, allowing sea lampreys to access the two upstream chambers. Sea lamprey movement downstream of the funnel was recorded throughout the night using underwater infrared video cameras. Each trial ended the following morning at 09:00. At this time, the water temperature was measured, and the number and sex of sea lampreys remaining upstream of the funnel (captured) and downstream of the funnel were recorded. Water temperatures during trials ranged from 10 to 23 °C. A total of 97 trials were conducted from 9 June to 16 July 2015, and from 24 May to 5 July 2016. Video observations were available for 41 of the 97 trials.
Video recordings were used to quantify the number of approaches (individuals entering any space contained within the conical volume of the funnel), the number of entrances (individuals entering the upstream chamber through the funnel), and the number of escapes (individuals exiting the upstream chamber through the funnel). The proportion entering was calculated for each trial as the number of entrances divided by the number of approaches. The proportion escaping was calculated for each trial as the number of exits observed from the upstream chamber divided by the number of entrances observed each night. The proportion captured was calculated for each trial as the number of sea lampreys remaining in the upstream chamber at the end of the trial divided by the number used in the trial.
The proportions entering and retained (the inverse of escapement) were modeled separately as a function of the funnel type, presence of fingers, and water temperature using logistic regression in R [6]. The proportions captured (the net result of sea lampreys both entering and being retained in the upstream chamber) were also modeled as a function of the funnel type, presence of fingers, lamprey sex, and water temperature using logistic regression. The best approximating model was determined by AICc [7]. All analyses were conducted in R version 3.2.4 [6].

3. Results

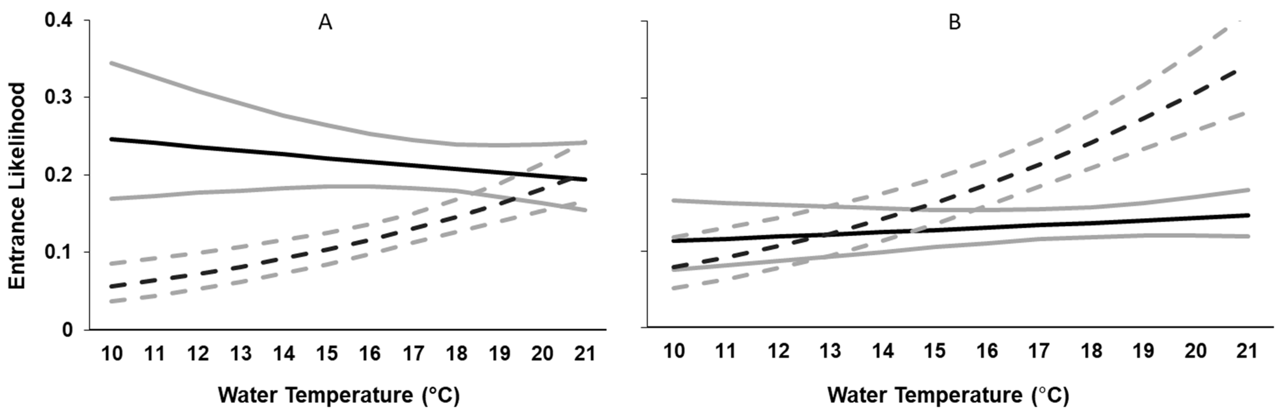
In total, 870 sea lampreys were tested (570 males and 300 females; length ranged from 245 to 580 mm; and weight ranged from 86 to 470 g). The best model describing likelihood of entrance included funnel type, presence of retention fingers, water temperature, and interaction between funnel type and water temperature and between presence of retention fingers and water temperature (Supplemental Table S1). Likelihood of entrance through bottom-oriented funnels remained consistent across the temperatures observed, whereas likelihood of entrance through center-oriented funnels increased with increasing temperatures (Figure 2A). Similarly, likelihood of entrance for traps equipped with retention fingers remained constant across the observed temperature range, while likelihood of entrance for traps without fingers increased with increasing water temperature (Figure 2B).
The best model describing likelihood of retention included funnel type, presence of retention fingers, and water temperature (Supplemental Table S2). Retention was 100% during trials when retention fingers were installed, and the likelihood of retention was 0.74–3.16 (95% confidence interval) times greater during trials with bottom-oriented funnels compared to center-oriented funnels.
Across all treatments, during both years, most sea lampreys (>90%) were recovered in the upstream chamber of the experimental flume and therefore considered captured (Figure 3). The best model describing likelihood of capture included funnel type, water temperature, lamprey sex, interactions between water temperature and lamprey sex, interactions between funnel type and water temperature, and interactions between funnel type and lamprey sex (Supplemental Table S3). Retention fingers were not included in the best model. Likelihood of capture for male sea lampreys remained relatively high as water temperature increased when the bottom-oriented funnel was installed; however, when the center-oriented funnel was installed, male sea lampreys had a reduced catch at lower water temperatures (Figure 4). In contrast, likelihood of capture for female sea lampreys decreased slightly with increasing water temperature for the bottom-oriented funnel and remained relatively unchanged with changing water temperature for the center-oriented funnel.

4. Discussion

Our results suggest that the likelihood of sea lamprey entrance, retention, and capture in traps is influenced by the type of funnel and the presence of retention fingers on the funnel entrance. We also found that there is some interaction between the trap design components that we could manipulate and two variables that we could not manipulate: water temperature and lamprey sex. This study provides information on specific trap design features and complements work from Dawson et al. [8], who investigated the effects of other manipulable (pheromone baiting and stream discharge) and non-manipulable (water temperature, season) variables on sea lamprey exploitation rate.
Further, we provide proof of concept to utilize experimental flumes to evaluate potential management tools prior to field deployment. Our findings are consistent with other field studies investigating sea lamprey behavior at traps, suggesting that results from our experimental flume provide a sufficient representation of natural sea lamprey behavior. The experimental flume constructed for this project allows more control compared to open stream experiments when testing trap entrance designs. The rate of encounter with a trap has been correlated with exploitation rates [2]. However, encounter rates can be low in streams, and exploitation rates can be quite variable [9]. Confining sea lampreys to an area relatively close to the trap entrance eliminates the variability associated with encounter rate, allowing more consistent assessment of entrance and retention rates. Further testing is needed to determine the optimal trap entrance configuration for entrance and retention. This kind of controlled experimental design can help guide the development and design of traps to improve trapping effectiveness for assessment and, potentially, for control.
Sea lamprey activity is influenced by water temperature. During upstream spawning migrations, travel speed and overall distance covered increase with increasing water temperature [10]. This increase in movement also translates into an increase in encounter rates at traps as the water warms [4]. In this study, we observed a complex relationship between the effect of water temperature and trap design on entrance and capture rates for male and female sea lampreys. Differences in the behavior of male and female sea lampreys around traps have been observed in the field [3,11], and male sea lampreys demonstrate higher swimming activity rates than females in laboratory studies [12]. How these differences influence trap design and deployment likely depends on whether the goal of trapping is for assessment or control purposes. Bottom-oriented funnels could be deployed earlier in the trapping season when water temperatures are cooler and sea lampreys are less active around trap sites. As the migratory season progresses and water temperatures warm, adding center-oriented funnels to traps could capture more active lampreys. Developing a successful deployment strategy would require a thorough understanding of lamprey activity responses to changes in stream temperature, including highly variable springtime conditions. Similarly, if one trap design and deployment strategy was determined to exploit female sea lampreys at a high rate, it could be deployed to control stream populations by reducing the reproductive potential of that system [13].
Designing new sea lamprey traps is challenging because the factors that influence entrance and retention are not well understood. In this study, we highlight a few factors that need to be considered when designing and deploying sea lamprey traps. However, there are many more sea lamprey trap design features that should be investigated. Entrance and retention could be increased by adding features that make traps easier to enter (or more attractive to enter) and more difficult to escape. The dimensions (width, depth, and height), the material, and even the color of the funnels that are currently used are variable and may influence entrance rates. The water velocity around or through the trap entrance could have large effects on entrance, as could the orientation of the trap entrances with regard to flow. Adding stimuli such as pheromones [14] or light [15] to the trap as attractants could increase entrance rates, but results are mixed, and more work is needed to understand site-specific variability. There are likely other methods to improve retention as well, such as multiple funnels. Smaller, circular funnel entrances are currently employed in the SLCP, but their effectiveness compared to larger, square openings is unknown.
Our results suggest that traps fitted with bottom-oriented funnels and retention fingers show the greatest entrance and retention rates of the designs tested. Further, if traps are constructed with modular designs, other funnel designs and configurations could be more easily tested as part of regular trapping operations. Given the observed differences in U.S. and Canadian trapping methodologies, direct field tests comparing the two approaches should be conducted to better understand potential biases from the different designs. Further, this study did not compare among groups with varying previous experience [16] or take into account potential individual behavioral differences [4]. Future work should consider these variables, as well as how results might transfer to management-scale applications [17]. Finally, an investigation into historical trapping records could yield further insight into what makes a highly efficient trap configuration.

Supplementary Materials

The following supporting information can be downloaded at: https://www.mdpi.com/article/10.3390/w16233365/s1, Table S1: Logistic regression model comparison for likelihood of sea lamprey trap entrance; Table S2: Logistic Regression model comparison for likelihood of sea lamprey trap retention; Table S3: Top eight logistic regression models describing likelihood of sea lamprey capture.

Author Contributions

Conceptualization, P.J.H., G.B., S.M.M.; methodology, P.J.H., G.B., S.M.M.; formal analysis P.J.H., G.B., S.M.M.; investigation, S.M.M.; resources, P.J.H., G.B., S.M.M.; data curation, S.M.M.; writing—original draft preparation, S.M.M.; writing—review and editing, P.J.H., G.B., S.M.M.; visualization, S.M.M.; supervision, S.M.M.; project administration, S.M.M.; funding acquisition, P.J.H., G.B., S.M.M. All authors have read and agreed to the published version of the manuscript.

Funding

This research was funded by the Great Lakes Fishery Commission, Technical Assistance Program.

Data Availability Statement

The data presented in this study are available on request from the corresponding author. The data are not publicly available due to agency restrictions.

Acknowledgments

We thank the U.S. Fish and Wildlife Service and Fisheries and Oceans Canada for providing sea lampreys. Allison Abram and Margaret Spens provided field and data-processing assistance. Any use of trade, firm, or product names is for descriptive purposes only and does not imply endorsement by the U.S. Government. The findings and conclusions in this article are those of the authors and do not necessarily represent the views of the U.S. Fish and Wildlife Service. Experimental protocols involving sea lampreys were in accord with United States federal guidelines for the care and use of animals as approved by the American Fisheries Society through the ‘Use of Fishes in Research Committee’, 2014.

Conflicts of Interest

The authors declare no conflict of interest.

References

  1. Adams, J.V.; Barber, J.M.; Bravener, G.A.; Lewandoski, S.A. Quantifying Great Lakes sea lamprey populations using an index of adults. J. Great Lakes Res. 2021, 47 (Suppl. S1), S335–S346. [Google Scholar] [CrossRef]
  2. Applegate, V.C. Natural History of the Sea Lamprey (Petromyzon marinus) in Michigan; U.S. Fish and Wildlife Service Special Science Report, Fisheries No. 55; U.S. Fish and Wildlife Service: Falls Church, Virginia, USA, 1950; p. 247. [Google Scholar]
  3. Bravener, G.A.; McLaughlin, R.L. A behavioural framework for trapping success and its application to invasive Sea Lamprey. Can. J. Fish. Aquat. Sci. 2013, 70, 1438–1446. [Google Scholar] [CrossRef]
  4. McLean, A.; McLaughlin, R.L. Consistent individual differences in sea lamprey (Petromyzon marinus behavior: Implications for control via trapping. J. Great Lakes Res. 2018, 44, 482–490. [Google Scholar] [CrossRef]
  5. O’Connor, L.M.; Pratt, T.C.; Hallett, A.; Katopodis, C.; Bergstedt, R.A.; Hayes, D.B.; McLaughlin, R.L. A Performance Evaluation of Fishways at Sea Lamprey Barriers and Controlled Modifications to Improve Fishway Performance; Great Lakes Fishery Commission Project Completion Report; Great Lakes Fishery Commission: Ann Arbor, MI, USA, 2003. [Google Scholar]
  6. R Core Team. R: A Language and Environment for Statistical Computing; R Foundation for Statistical Computing: Vienna, Austria, 2015; Available online: https://www.R-project.org/ (accessed on 1 July 2016).
  7. Burnham, K.P.; Anderson, D.R. Model Selection and Inference: A Practical Information-Theoretical Approach; Springer: New York, NY, USA, 1998. [Google Scholar]
  8. Dawson, H.A.; Bravener, G.A.; Beaulaurier, J.; Johnson, N.S.; Twohey, M.; McLaughlin, R.L.; Brenden, T.O. Contribution of manipulable and non-manipulable environmental factors to trapping efficiency of invasive sea lamprey. J. Great Lakes Res. 2017, 43, 172–181. [Google Scholar] [CrossRef]
  9. Rous, A.M.; McLean, A.R.; Barber, J.; Bravener, G.A.; Castro-Santos, T.; Holbrook, C.M.; Imre, I.; Pratt, T.C.; McLaughlin, R.L. Spatial mismatch between sea lamprey behaviour and trap location explains low success at trapping for control. Can. J. Fish. Aquat. Sci. 2017, 74, 2085–2097. [Google Scholar] [CrossRef]
  10. Binder, T.R.; McLaughlin, R.L.; McDonald, D.G. Relative Importance of Water Temperature, Water Level, and Lunar Cycle to Migratory Activity in Spawning-Phase Sea Lampreys in Lake Ontario. Trans. Am. Fish. Soc. 2010, 139, 700–712. [Google Scholar] [CrossRef]
  11. Reinhardt, U.G.; Hrodey, P.J. Trap happiness and catch bias in sea lamprey traps. Fishes 2019, 4, 34. [Google Scholar] [CrossRef]
  12. Madenjian, C.P.; Johnson, N.S.; Binder, T.R.; Rediske, R.R.; O’Keefe, J.P. Polychlorinated Biphenyl Concentrations and Activity of Sea Lamprey Petromyzon marinus Vary by Sex. Arch. Environ. Contam. Toxicol. 2013, 65, 693–703. [Google Scholar] [CrossRef] [PubMed]
  13. Jones, M.L.; Bergstedt, R.A.; Twohey, M.B.; Fodale, M.F.; Cuddy, D.W.; Slade, J.W. Compensatory mechanisms in Great Lakes Sea Lamprey populations: Implications for alternative control strategies. J. Great Lakes Res. 2003, 29 (Suppl. S1), 113–129. [Google Scholar] [CrossRef]
  14. Johnson, N.S.; Siefkes, M.J.; Wagner, C.M.; Bravener, G.; Steeves, T.; Twohey, M.; Li, W. Factors influencing capture of invasive sea lamprey in traps baited with a synthesized sex pheromone component. J Chem. Ecol. 2015, 41, 913–923. [Google Scholar] [CrossRef] [PubMed]
  15. Stamplecoskie, K.M.; Binder, T.R.; Lower, N.; Cottenie, K.; McLaughlin, R.L.; McDonald, D.G. Response of migratory sea lampreys to artificial lighting in portable traps. N Am J Fish Manag. 2012, 32, 563–572. [Google Scholar] [CrossRef]
  16. Myles-Gonzalez, E.; McLean, A.; McLaughlin, R. Is there an impact of behavior on trapping migratory invasive sea lamprey (Petromyzon marinus)? Aquat. Invasions 2019, 14, 531–550. [Google Scholar] [CrossRef]
  17. Holub, R.; Bravener, G.; McLaughlin, R. A management-scale investigation of consistent individual differences in behaviour and trapping bias in sea lamprey (Petromyzon marinus). Can. J. Fish. Aquat. Sci. 2022, 79, 97–110. [Google Scholar] [CrossRef]
Figure 1. Expanded view of the enclosed experimental flumes deployed in stream during 2015 and 2016 to test rate of entrance and retention for bottom-oriented and symmetrical funnels with and without retention fingers. Each chamber (1 m × 1 m × 1.5 m) was constructed of aluminum mesh (3/16” diamond). Sea lamprey movement around the funnel was monitored using underwater video cameras.
Figure 1. Expanded view of the enclosed experimental flumes deployed in stream during 2015 and 2016 to test rate of entrance and retention for bottom-oriented and symmetrical funnels with and without retention fingers. Each chamber (1 m × 1 m × 1.5 m) was constructed of aluminum mesh (3/16” diamond). Sea lamprey movement around the funnel was monitored using underwater video cameras.
Water 16 03365 g001
Figure 2. Likelihood of a sea lamprey entering a trap with bottom-oriented funnel (solid line) compared to center-oriented funnel (dashed line) relative to water temperature (Panel A). Likelihood of a sea lamprey entering a trap funnel (bottom or center-oriented) equipped with retention fingers (solid line) or without (dashed line) (Panel B). Ninety-five percent confidence intervals are shown with grey lines.
Figure 2. Likelihood of a sea lamprey entering a trap with bottom-oriented funnel (solid line) compared to center-oriented funnel (dashed line) relative to water temperature (Panel A). Likelihood of a sea lamprey entering a trap funnel (bottom or center-oriented) equipped with retention fingers (solid line) or without (dashed line) (Panel B). Ninety-five percent confidence intervals are shown with grey lines.
Water 16 03365 g002
Figure 3. Averge proportion of sea lampreys captured by experimental trap entrances installed in an instream, experimental flume. Proportions were compared for center-oriented and bottom-oriented funnels with and without retention fingers installed. Error bars represent standard error.
Figure 3. Averge proportion of sea lampreys captured by experimental trap entrances installed in an instream, experimental flume. Proportions were compared for center-oriented and bottom-oriented funnels with and without retention fingers installed. Error bars represent standard error.
Water 16 03365 g003
Figure 4. Male sea lampreys (solid line) and female sea lampreys (dashed line) along with 90% confidence intervals (grey lines) being captured in traps with low-profile (Panel A) and center-oriented (Panel B) funnel entrances.
Figure 4. Male sea lampreys (solid line) and female sea lampreys (dashed line) along with 90% confidence intervals (grey lines) being captured in traps with low-profile (Panel A) and center-oriented (Panel B) funnel entrances.
Water 16 03365 g004
Disclaimer/Publisher’s Note: The statements, opinions and data contained in all publications are solely those of the individual author(s) and contributor(s) and not of MDPI and/or the editor(s). MDPI and/or the editor(s) disclaim responsibility for any injury to people or property resulting from any ideas, methods, instructions or products referred to in the content.

Share and Cite

MDPI and ACS Style

Hrodey, P.J.; Bravener, G.; Miehls, S.M. Effects of Trap Funnel and Finger Design on Sea Lamprey Entrance and Retention. Water 2024, 16, 3365. https://doi.org/10.3390/w16233365

AMA Style

Hrodey PJ, Bravener G, Miehls SM. Effects of Trap Funnel and Finger Design on Sea Lamprey Entrance and Retention. Water. 2024; 16(23):3365. https://doi.org/10.3390/w16233365

Chicago/Turabian Style

Hrodey, Peter J., Gale Bravener, and Scott M. Miehls. 2024. "Effects of Trap Funnel and Finger Design on Sea Lamprey Entrance and Retention" Water 16, no. 23: 3365. https://doi.org/10.3390/w16233365

APA Style

Hrodey, P. J., Bravener, G., & Miehls, S. M. (2024). Effects of Trap Funnel and Finger Design on Sea Lamprey Entrance and Retention. Water, 16(23), 3365. https://doi.org/10.3390/w16233365

Note that from the first issue of 2016, this journal uses article numbers instead of page numbers. See further details here.

Article Metrics

Back to TopTop