Abstract
Nowadays, the enormously growing amount of kitchen waste and wasted sludge has greatly received global attention. Vermicomposting has been represented as an eco-friendly and sustainable alternative for organic waste management. This study utilized kitchen waste generated by the university canteen and excess sludge from municipal wastewater treatment to collaboratively realize waste to resource through vermicomposting with a composting control. The results indicated that the treatment utilizing an equal mass ratio of wasted sludge and kitchen waste (T3) exhibited the greatest reduction in total organic carbon and the highest increase in total nitrogen. Furthermore, the predominant phyla observed were Proteobacteria, Actinobacteriota, Bacteroidetes, and Firmicutes. Functional prediction analysis demonstrated higher relative abundances of β-glucosidase (ascF) and 6-phospho-β-glucosidase (bglA, celF) in the vermicomposting, suggesting that the earthworms essentially enhanced the cellulose degradation. More importantly, the co-occurrence network analysis demonstrated that the vermicomposting showed a stronger interaction between Gordonia and other bacteria, thereby enhancing its ability to degrade macromolecular compounds. In general, the vermicomposting can smoothly and remarkably stabilize the kitchen waste, assisted by excess sludge and sawdust.
1. Introduction
Urbanization has resulted in a significant increase in the production of sludge from wastewater treatment plants globally [1]. Wasted sludge is rich in nutrients and microorganisms. The excessive wasted sludge generated by municipal wastewater treatment plants (WWTPs) has faced discharge restrictions in recent decades, with this trend expected to persist. Current sludge management presents environmental, economic, and political challenges for WWTPs and governments worldwide [2]. Organic kitchen waste constitutes the primary component of decomposed organic waste, which is typically disposed of in landfills, on roadsides, or enters sewers [3]. China annually produces over 3 million tons of kitchen waste, with approximately 80% being utilized directly as pig feed. However, the management of kitchen waste is facing increasing restrictions due to serious hygiene concerns [4]. The significant volume of kitchen waste presents a major challenge to the advancement of ecological civilization in China. Despite various treatments being implemented both domestically and internationally, the issue remains unresolved. Most existing research focuses on household kitchen waste, whereas this study investigates university kitchen waste to optimize treatment processes given its centralization and abundance. In addition, the composition of the university kitchen waste is relatively simple and rich in organic matter, including mainly rice, vegetables, meat, and other leftovers [5,6]. In contrast, the composition of household kitchen waste is more complex, including food processing residues and a large amount of non-degradable plastic packaging [7]. As a result, university kitchen waste has a higher potential for degradation and nutritional value during treatment, making on-site treatment more feasible and essential compared to household kitchen waste.
Vermicomposting relies on the activity of earthworms to degrade organic pollutants. Vermicomposting is effective and sustainable in managing organic waste [8]. The chemical secretions in the digestive tract of earthworms’ breakdown the organic matter within the soil [9]. The resulting product, earthworm manure, not only contains nutrients such as nitrogen, phosphorus, and potassium but is also rich in microflora [10,11]. Studies have indicated that factors such as feeding, stocking density, pH, C/N ratio, temperature, and humidity play important roles in affecting the vermicomposting process [12]. Composting substrates with a higher C/N ratio can enhance the growth of earthworms, but excessive or insufficient C/N ratios can impact degradation rates. The C/N ratio of wasted sludge typically falls around 10 [13]. Thi et al. found that the C/N of kitchen waste ranges from 14.7 to 36.4 and a pH value of approximately 4 to 6 [14]. Synergistic treatment of pollutants with varying C/N ratios facilitates the creation of an aerobic environment and enhances compost quality [15]. Wasted sludge contains less organic matter but is abundant in microorganisms and nutrients, while kitchen waste contains a large amount of organic matter and possesses high porosity, promoting an aerobic environment. Kitchen waste helps balance toxic substances present in wasted sludge that are detrimental to microorganisms, while wasted sludge neutralizes the low pH of kitchen waste [16]. Mixing low-C/N substances such as wasted sludge and kitchen waste with high-C/N sawdust achieves a suitable C/N ratio for earthworm growth. Additionally, co-composting stabilizes soil structure and improves soil nutrient content and water retention capacity [17].
PICRUSt (Phylogenetic Investigation of Communities by Reconstruction of Unobserved States) is a novel method for conservatively predicting the functional characteristics of microbial communities based on 16S rRNA homology and functional contribution [18]. While ordinary 16S rRNA analysis does not directly provide information on the functional composition of the community. PICRUSt can be used for predicting functional profiles, generating abundance for pathways across entire microbial communities. In comparison to other commonly utilized methods such as metagenomics analysis, PICRUSt is more efficient and cost-effective while also achieving a high level of accuracy (>90% in most cases). Importantly, PICRUSt enables prediction of the functional attributes of the microbiome rather than direct identification from microbial DNA, thus serving as a useful tool for investigating microbial functions in composting.
This study aims to investigate the potential of vermicomposting for synergistically treating wasted sludge and kitchen waste while predicting metabolic pathways during carbon and nitrogen transformation processes. The major objectives of this research are: (1) to optimize the treatment process by varying the mass ratios of wasted sludge to kitchen waste; (2) to compare the treatment process of vermicomposting with ordinary composting in terms of degradation and maturity; (3) to explore bacterial diversity based on alpha and beta diversity, as well as relative abundance of bacteria in the vermicomposting at the phylum level; (4) to investigate metabolic functions using PICRUSt. Overall, this study is expected to enhance the understanding of vermicomposting at the microbial level, providing insights into improving the treatment process of wasted sludge and kitchen waste.
2. Materials and Methods
2.1. Experimental Materials
The experiment utilized a plastic bucket with a diameter of D = 30 cm and a height of H = 10 cm for vermicomposting treatment. Three parallel units were established for each treatment. The earthworm species chosen was Eisenia fetida, known for its high reproductive rate, robust survival capabilities in organic pollutant-rich environments, and efficient degradation of organic matter [19,20].
Eisenia fetida was sourced from a flower and bird market located in Shanghai. The wasted dewatered sludge was obtained from a WWTP with a moisture content of approximately 80%. The kitchen waste originated from a cafeteria of Tongji University, comprising 50% pre-meal waste and 50% post-meal waste as substrate. The appropriate amount of conditioning agent was incorporated into the compost to adjust the C/N ratio within the substrate. The physicochemical properties of the compost substrate and conditioning agents are detailed in Table 1.
Table 1.
Physicochemical properties of compost substrate and conditioning agents.
2.2. Experimental Methods
In this experiment, the treatment conditions were divided into 5 treatments. Each group ensured that the dry weight of wasted sludge and kitchen waste accounted for 70% of the total dry weight of the compost substrate. For each treatment, an earthworm group (T1, T2, T3, T4, and T5) and a control group without earthworms (T1C, T2C, T3C, T4C, and T5C) were established. The proportions of compost raw materials and conditioning agents used in the experiment are presented in Table 2.
Table 2.
Composting material ratio.
In the experimental setup, a specific ratio of wasted sludge, kitchen waste, and conditioning agent was mixed and placed in a well-ventilated cool hood. During the initial two weeks of pre-composting, the compost substrate was manually turned once daily. After pre-composting, Eisenia fetida earthworms were introduced at a density of 3 adult earthworms per 20 g of compost (dry weight), with a total dry weight of all composts amounting to 250 g. Then, the reactor lid with small holes was covered after adding earthworms to prevent their escape. Throughout the experiment, the temperature was kept at 23 ± 2 °C and the moisture content at 73 ± 2%. Starting from the first day of introducing earthworms, samples were collected every five days for measurement of various physicochemical properties of the compost; analytical samples were also taken every fifteen days to determine microbial properties.
2.3. Test of Physicochemical and Micribial Properties
The physicochemical properties examined in this study include moisture content (MC), pH, temperature, electrical conductivity (EC), total nitrogen (TN), and total organic carbon (TOC). Approximately 5 mg of the soil sample, sieved through a 200-mesh screen, was analyzed for nitrogen content using the Vario EL elemental analyzer(Elementar, Frankfurt, German). Additionally, approximately 20 mg of the sample sieved through a 60-mesh screen was used to determine the TOC content using TOC-VCPN (Shimadzu Corporation, Kyoto, Japan).
The micribial test methodology involves DNA extraction and PCR amplification. DNA extraction was carried out using the FastDNA® SPIN kit for soil. PCR amplification of 16S rDNA sequences was performed using primer sets (338F: ACTCCTACGGGAGGCAGCAG; 806R: GGACTACHVGGGTWTCTAAT). The DNA samples were sequenced using the Miseq platform (v2.6).
2.4. Data Analysis
In this study, the raw data is optimized and denoised (DAD2/Deblur), followed by transfer of ASV sequence and ASV abundance. The resulting data are utilized for analysis of bacterial diversity, bacterial composition, and functional prediction.
The analysis for changes in bacterial community structure includes both Alpha and Beta diversity analysis. Alpha diversity analysis examines the richness and diversity within the community. Beta diversity analysis investigates the similarity of communities across different samples based on distance [21]. In this study, NMDS analysis was employed to illustrate the ecological similarity between communities.
The functional analysis of the bacterial community relies on KEGG functional annotation. The KEGG database (Kyoto Encyclopedia of Genes and Genomes) is a large knowledge database that systematically examines gene functions and establishes connections between genomic and functional data. Statistical analysis, including the Kruskal-Wallis rank-sum test, was employed to assess the significance of differences among various treatments in this experiment.
3. Results and Discussion
3.1. Characterization of the Vermicomposting Synergistically Treating Wasted Sludge and Kitchen Waste
3.1.1. Variations of the Environmental Parameters
The manipulation of environmental parameters such as temperature, moisture content, and pH are critical to the compost process [12]. To investigate the microbial functions and variations in the vermicomposting under controlled conditions, the initial focus of the experiment was on analyzing process performance. Previous research has demonstrated that the compost with a moisture content ranging from 70% to 80% can expedite reaching maturity [22]. In this experiment, the moisture content of each treatment was consistently maintained at approximately 72% to 74%. The optimal temperature for Eisenia fetida was kept in the range of 23 °C and 25 °C, as it provided an ideal environment for both the earthworms and associated microbes [23]. Additionally, pH impacts both earthworm and microbial activities, with studies indicating an ideal range of pH between 5.0 and 9.0 for Eisenia fetida [24]. Stability was achieved within around forty days, and all treatments exhibited a stabilized pH level within the range of 7.0 to 8.5.
3.1.2. Reduction of the TOC
During the composting of organic solid waste, the decomposition and humification of organic matter are critical processes in carbon conversion [25]. The degradation rate of organic matter, a key indicator directly impacting the composting cycle, is typically used to assess the degradation process, and is influenced by raw materials, conditioning agents, and process control. Humification is essential in carbon sequestration and significantly affects the fertility and stability of the final compost [26]. Therefore, understanding the degradation and humification processes is essential for shortening the composting cycle and enhancing composting quality. The synergistic effect of earthworms and microorganisms along with microbial respiration leads to the decomposition of organic carbon into CO2, which is released into the atmosphere.
Figure 1 illustrates these degradation results. After a 60-day composting cycle, T1~T5 exhibited an average TOC degradation rate of approximately 32.62%, while T1C~T5C showed an average degradation rate around 27.13%. The discrepancy in the rate of TOC degradation between T3 and T3C was the most substantial among all the samples. The TOC degradation rate for T3 was determined to be 35.44%, whereas for T3C, it was observed as 28.45%. The decrease in TOC during composting is attributed to the degradation of organic matter by microorganisms, which is essential for their metabolic processes [27]. Vermicomposting products had higher biological activities induced by the synergistic effect of microorganisms and earthworms [28]. The results demonstrated that the synergistic action of earthworms and microorganisms promotes the degradation of organic matter. Furthermore, comparison of TOC degradation rates among treatments T1~T5 revealed that T3 ≈ T4 > T5 > T2 > T1. A lower TOC content in composting indicates a higher presence of humic acid and greater stability [29]. In addition, the mass ratio of wasted sludge and kitchen waste is essential to the biodegradability. T3 and T3C warranted greater attention as a synergistic pollutant combination, proving the potential to optimize the composting process through an equal mass ratio of substrate materials [30]. This was attributed to the high content of active microorganisms in wasted sludge, leading to a higher rate of TOC degradation. However, an excessive amount of wasted sludge can lead to a reduction in the overall carbon source concentration, which adversely affects the growth of microorganisms. In the present test, T3 exhibited enhanced degradability of TOC, outperforming ordinary composting. To elucidate the underlying mechanisms for this superior degradability, a comprehensive understanding of the bacterial role in the degradation of solid pollutants is imperative.
Figure 1.
Changes in TOC in the vermicomposting and ordinary composting.
3.1.3. Variations in the TN
TN is important in determining the quality of composting. Previous studies have demonstrated that the nitrogen mineralization rate significantly influences plant growth [31]. Furthermore, through optimization of conditions and additives, it is possible to enhance the nitrogen content in composting, thereby improving its efficacy as an agricultural nitrogen fertilizer [32]. The change in TN during composting directly reflects the agricultural value of the resulting composting product. The TN levels increased for all samples before and after composting. As depicted in Figure 2, T1~T5 exhibited increases in TN of 18.90% to 29.80%, whereas T1C~T5C demonstrated an increase of 15.83~27.40%. Notably, within T3 and T3C, T3 displayed the highest increment of 29.80% in TN levels, while T3C had a lower increase of 27.40%. Regarding the nutritional quality of the compost product, treatment T3 demonstrated a higher potential for resource recovery. Therefore, further process optimization should focus on maximizing beneficial effects of T3. The variation observed in TN suggested that vermicomposting using wasted sludge and kitchen waste as substrates yields higher agricultural value compared to ordinary composting under identical environmental conditions. The microbial-level study will contribute to elucidating the rationale underlying the earthworm’s enhancement of compost quality.
Figure 2.
TN changes in vermicomposting and ordinary composting.
3.1.4. Stability of the Compost
The C/N ratio is a key factor affecting the composting quality [33]. During the composting process, the carbon content in the raw materials exceeds that of nitrogen, providing an optimal environment for microorganisms. As organic matter decomposes, carbon is released as carbon dioxide, while nitrogen is retained in the composting, leading to a gradual reduction in the C/N ratio. When reaching humification, easily degradable carbon sources are largely depleted. A high C/N ratio limits the availability of nitrogen necessary for microbial growth and reproduction, resulting in inefficient humification. Through investigation into dynamic changes in C/N during composting, researchers have developed methods to optimize the humification process, such as incorporating sawdust or bulking agents [34]. Figure 3 illustrates a general decrease in C/N due to reductions in TOC and increases in TN. Previous experiments have demonstrated the promising effect of T3, indicating its potential utility in the treatment of organic solid waste. The C/N reduction percentage of T3 reached a maximum of 50.26%, while the minimum reduction was 41.18% for T1, which is consistent with previous observations. The C/N reduction percentage was T3 > T4 > T5 > T2 > T1. The C/N ratio serves as an essential indicator for assessing the stabilization and maturity of compost. In all experiments, the C/N degradation percentage of experimental treatments (T1~T5) exceeded that of corresponding ordinary compost (T1C~T5C), supporting the idea that earthworms can enhance the stability and maturity of composting. More importantly, T3 demonstrated a more substantial reduction in the C/N ratio than T3C, suggesting its potential to reach the higher level of maturity when subjected to a balanced mass ratio of wasted sludge to kitchen waste.
Figure 3.
Change of C/N in vermicompost and ordinary composting.
The C/N ratio was consistently maintained within the optimal range of 15 to 25. A C/N ratio below 15 would have a negative impact on vermicomposting. Despite the relatively low C/N ratio observed in this experiment, earthworms exhibited sustained growth, suggesting that under conditions of elevated moisture content, C/N may not be the primary factor influencing earthworm growth. The findings of this study underscore the better performance of vermicomposting, especially T3, for treating wasted sludge and kitchen waste. Adjustment of pH, moisture content, and other physicochemical properties can yield favorable treatment effects even under low C/N conditions, providing empirical support for vermicomposting as a viable approach for managing wasted sludge and kitchen waste. In addition, the characterization of T3 has laid a foundation for the bacterial investigation.
3.1.5. Principal Component Analysis and Redundancy Analysis
To further elucidate the impact of different proportions of wasted sludge and kitchen waste on the treatment effect, this study performed principal component analysis on the physicochemical properties, including 15 parameters. Principal Component 1 (PC1) and Principal Component 2 (PC2) were depicted in Figure 4. The sum of the two components was approximately 80%.
Figure 4.
Principal component analysis of physicochemical properties (CPR: cocoon production rate; MW: weight growth rate of earthworm; DR: earthworm deathrate).
The results indicated that T3 was positioned in the second quadrant, signifying a positive correlation with PC2, while T1, T2, T4, and T5 were in the third and fourth quadrants. Therefore, PC2 was considered to represent the variation in variables resulting from different proportions of compost substrate materials. In other words, the varying proportions had a significant influence on the physicochemical properties of vermicomposting. In addition, PC1 was strongly associated with most parameters; however, it did not display a significant correlation with NO−2-N and pH. This suggested that the different proportion of substrate had a greater impact on most studied physicochemical factors, as well as the physiological and ecological characteristics of vermicomposting, while having minimal influence on nitrate nitrogen and pH in composting.
Redundancy analysis illustrated the relationship between species variation and environmental variables. Figure 5 illustrates the redundancy analysis and Spearson correlation coefficient of physicochemical factors (black arrow) and physiological indicators (red arrow). From the results, EC displayed a positive correlation with DR while showing a negative correlation with MW and CPR of earthworms. The findings indicated that elevated EC levels significantly hindered the growth of earthworms. This occurrence can be attributed to the oligochaeta nature of earthworms, as a saline environment inhibits the growth rate, survival rate, and reproduction of earthworms [35]. In addition, TOC was inversely associated with the growth and reproduction of earthworms. This is attributed to the higher levels of TOC at the end of composting leading to a decreased utilization of organic matter by earthworms. Moreover, TN and DTN (dissolved total nitrogen) were found to have adverse effects on the growth and reproductive abilities of earthworms. In this study, the wasted sludge and kitchen waste were identified as high-nitrogen content substances. When the compost substrate exhibited a high nitrogen content, it resulted in a low C/N ratio due to excessive nitrogen, becoming a limiting factor for earthworm growth [36].
Figure 5.
Redundancy analysis and Pearson correlation coefficient diagram of the physicochemical factors and physiological characteristics of earthworms.
3.2. Characteristics of Bacterial Community Variation
3.2.1. Bacterial Diversity Analysis
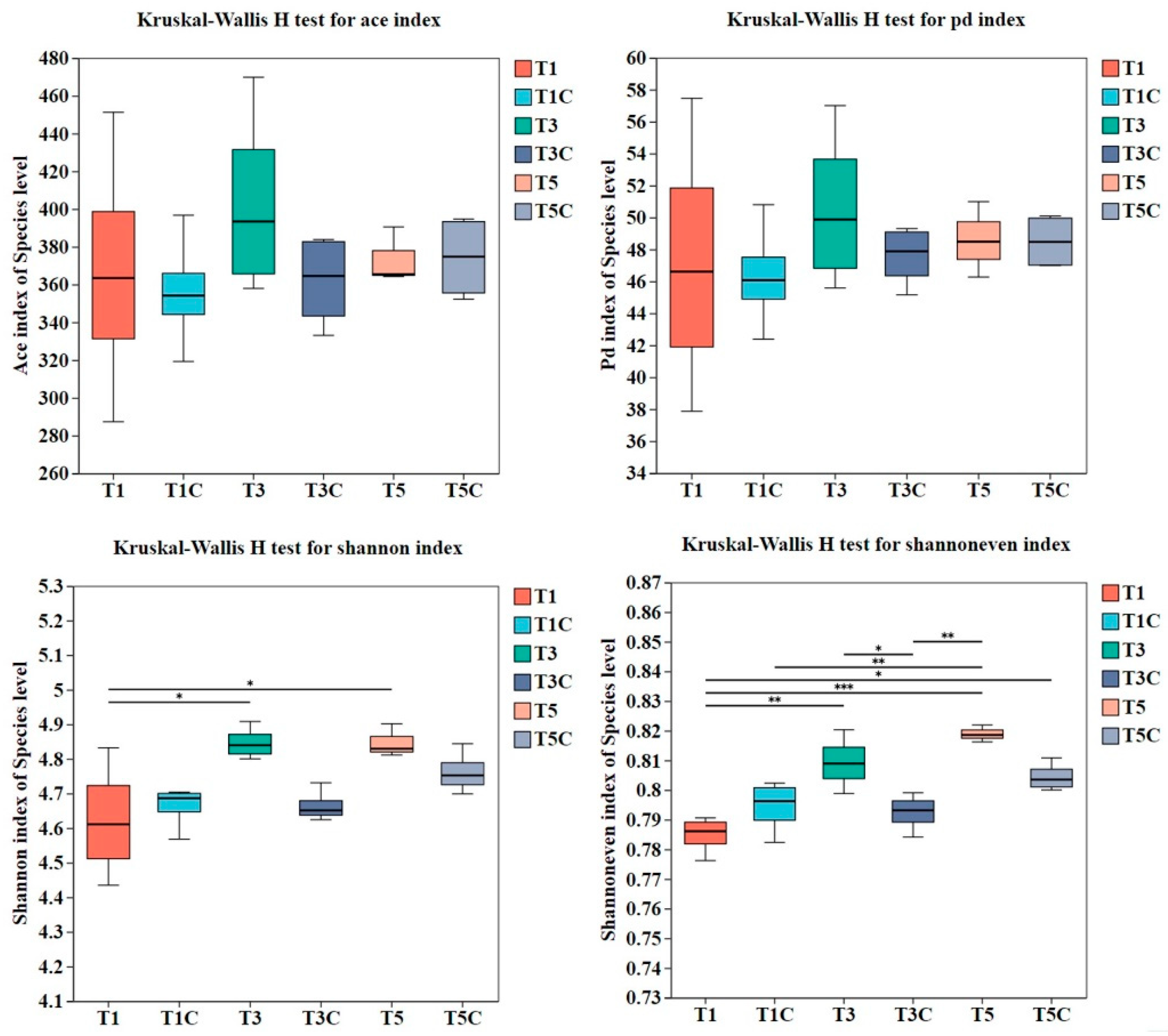
The presence of earthworms in composting is expected to have a positive impact on bacterial diversity, as the earthworms interact with microorganisms intensively [37]. To investigate how earthworm-induced changes impact bacterial functionality in composting, alpha diversity was analyzed to assess the diversity within the bacterial community (Kruskal, 0.95 CI value, 0.01 < p ≤ 0.05 *, 0.001 < p ≤ 0.01 **, p ≤ 0.001 ***). The results illustrated that the ace index and pd index exhibited a pattern of initial decrease followed by an increase. It is possibly due to strong microorganisms inhibiting weak microorganisms’ growth in the middle stage, with accumulation of bacterial communities in later stages. From Figure 6, The bacterial alpha-diversity metric of Shannon, which combines richness and evenness, revealed that T3 and T5 displayed a higher Shannon index compared to T1. The results proved that the higher wasted sludge content contributes to the greater diversity of microorganisms in the composting process. Additionally, the Shanoneven index showed similar trends to the Shannon index. Despite the identical environmental conditions, alpha diversity was observed to be greater in T3 compared to T3C, suggesting that earthworms possess the capacity to enhance bacterial community structure. In general, the study revealed that the earthworms enhanced the diversity, species richness, and evenness of microorganisms, thereby improving the growth environment for microorganisms.
Figure 6.
Alpha diversity index disparities (0.01 < p ≤ 0.05 *, 0.001 < p ≤ 0.01 **, p ≤ 0.001 ***).
Beta diversity elucidated the degree of similarity in bacterial community composition across various sites. The findings from beta diversity analysis were depicted in Figure 7. There was a significant difference in community composition between vermicomposting and ordinary composting, while no noticeable variation in beta diversity was observed among T1, T3, and T5. The results indicated that the dominant bacteria in vermicomposting and ordinary composting were consistent under the identical treatment standard.
Figure 7.
Sample bacterial flora typing diagram and NMDS analysis.
3.2.2. Bacterial Community Composition
The predominant bacteria at the phylum level in vermicomposting and ordinary composting were found to be similar, primarily consisting of Proteobacteria, Actinobacteria, Bacteroidetes, Firmicutes, Chloroflexi, and Deinococcota, as demonstrated in Figure 8. The relative abundance of Proteobacteria was usually the highest [38]. Proteobacteria are known to participate in the nitrogen cycle and sludge degradation [39,40]. Certain microorganisms within Actinobacteria, Bacteroidetes, and Firmicutes also contribute to the degradation of lignocellulose into short-chain fatty acids and the breakdown of complex organic polymers into smaller molecules [41]. Kitchen waste contains substantial amounts of starch, cellulose, and hemicellulose from plants and vegetables that pose challenges for traditional composting processes. Hemicellulose has a complex structure and is one of the primary components of plant cell walls. Cellulose is known to be more resistant to degradation compared to hemicellulose.
Figure 8.
Relative abundance of compost samples at the phylum level.
In T1, characterized by a higher content of kitchen waste, the relative abundance of Firmicute exhibited a gradual decline. Initially, the substantial presence of cellulose and hemicellulose facilitated the proliferation of Firmicutes. Conversely, Firmicutes also expedited the breakdown of cellulose in T1. Given that cellulose is moderately resistant to degradation, its decomposition typically occurs during the middle and later stages of composting [42]. Then, as cellulose degradation approached saturation in the later stage, there was a restriction on the growth and reproduction of Firmicutes, leading to a decrease in their relative abundance. In contrast, within T1C, the relative abundance of Firmicutes was 8.37%, surpassing that observed in earlier stages, indicating incomplete degradation of cellulose and hemicellulose through ordinary composting. Research has indicated that high levels of cellulose can impede degradation processes, thereby prolonging composting cycles. The addition of wasted sludge to kitchen waste compost significantly augmented bacterial populations, which proved beneficial for degrading cellulose substances in kitchen waste.
3.3. Functional Prediction and Differences Analysis
3.3.1. Prediction of Bacterial Functions
The above section has discussed the characteristics and relative abundance of microorganisms. This section will focus on studying the metabolic pathways and related genes of carbon metabolism and nitrogen metabolism, aiming to provide insights into the potential functions of dominant genera in wasted sludge and kitchen waste through vermicomposting. The functional analysis of the bacterial community was conducted using PICRUSt (v2.0) software to obtain predictive information on bacterial functions in different samples. Notably, PICRUSt has been developed and tested on multiple pairs of 16S and metagenomic datasets, with a high accuracy (>90% in most cases) [43]. The sequencing data were compared using the KEGG database to identify distinct biological metabolic pathways present in the samples. The analysis revealed that all samples exhibited a total of 6 primary biological metabolic pathways (metabolism, genetic information processing, environmental information processing, cellular processes, human diseases, and organismal systems). Metabolism was the predominant function in each sample at a relative abundance of approximately 1.80 × 108. Conversely, gene abundance for other functions was relatively low, measuring less than 1.50 × 107. Furthermore, results indicated that T3 treatment displayed the highest gene abundance for metabolic function, while T3C treatment showed the lowest. These findings underscore the significance of metabolic function in influencing organic matter degradation within composting systems and its efficacy as an indicator of bacterial activity within substrates [44].
3.3.2. Carbon Metabolism Analysis
The metabolism of organic carbon primarily relies on the breakdown of polysaccharides such as starch, cellulose, protein, and other large molecular organic matter, as well as small molecular organic carbon such as fructose and sucrose. To compare the biological mechanism of carbon metabolism in vermicomposting and ordinary composting, we focused on the decomposition of starch and sucrose, along with subsequent glycolysis and gluconeogenesis. Using the KEGG database, functional enzyme genes related to metabolism were identified. A total of 106 functional genes were associated with starch and sucrose metabolism, with 76 functional genes obtained from compost samples. The heat map displaying their relative abundance in Figure 9 revealed that the functional enzyme genes bglA, celB, celA, celC, and celF of T1 had a higher relative abundance compared to T1C. These functional genes are responsible for transforming extracellular cellobiose into D-glucose-6P. The results indicated that vermicomposting is more effective at decomposing and processing cellobiose substances within the composting.
Figure 9.
Heat map of starch and sucrose metabolism-related KO functional genes in vermicomposting and ordinary composting.
Moreover, T1 exhibited a higher relative abundance of functional enzyme genes, including cd, glvC, glvA, treC, malX, mapP, pulA, treB, crr, treS, and scrA. Notably, scrA is an essential functional enzyme gene responsible for the conversion of extracellular sucrose into sucrose-6P. Additionally, treB and treC can convert extracellular trehalose into trehalose-6P before further decomposition into D-glucose-6P. The functionality of pulA was evident in its ability to convert starch and glycogen into α-D-glucose-1P. Moreover, malX, mapP, and crr were identified as important functional enzyme genes involved in the transformation of extracellular maltose into intracellular maltose, while glvA and glvC can breakdown maltose into D-glucose, and cd was associated with glucan decomposition. In conclusion, the findings indicated that earthworms could enhance the activity of specific transport proteins within cell membranes, enabling microorganisms to more effectively assimilate certain organic macromolecules and polysaccharides.
Glycolysis is a metabolic pathway that converts glucose (C6H12O6) into pyruvate (CH3COCOOH). A total of 107 functional enzyme genes were involved in the glycolysis process, with 77 functional enzyme genes related to glycolysis detected in the samples, and their relative abundance heat map was provided. From Figure 10, it could be observed that T1 exhibited a high relative abundance of the β-glucosidase gene (ascF) and 6-phospho-β-glucosidase gene (bglA, celF). β-glucosidase participated in converting extracellular arbutin and salicin into arbutin-6P and salicin-6P, while 6-phospho-β-glucosidase can convert arbutin-6P and salicin-6P into β-D-glucose-6P. The β-glucosidase genes can degrade cellulose in composting [45]. The higher relative abundance of the β-glucosidase gene in vermicomposting suggested that earthworms enhanced the ability of bacterial communities to degrade cellulose. Furthermore, it was observed that T1 had the ability to convert extracellular arbutin and salicin into β-D-glucose-6P, thereby facilitating subsequent glycolysis processes. In contrast, the relative abundance of the corresponding two enzyme genes in T1C was low, indicating that vermicomposting has the potential to enhance gene function in specific microorganisms and consequently improve the degradation of certain organic matter. The higher relative abundance of glycolysis functional enzyme genes observed in T1 and T1C treatments may be attributed to the increased content of kitchen waste in composting treatment, which contains high levels of starch and fiber substances. These substances are decomposed and utilized by microorganisms to generate a significant number of monosaccharides, thereby promoting glycolysis reactions.
Figure 10.
Heat map of KO functional genes related to glycolysis in vermicomposting and ordinary composting.
3.3.3. Nitrogen Metabolism Analysis
Utilizing a similar approach as the carbon metabolism analysis, a total of 48 functional enzyme genes associated with nitrogen metabolism were identified, and their relative abundance heat map was depicted in Figure 11. Nitrogen metabolism had six primary metabolic pathways, including dissimilatory nitrate reduction, assimilatory nitrate reduction, denitrification, nitrogen fixation, nitrification, and anammox.
Figure 11.
Heat map of KO functional gene abundance related to nitrogen metabolism in vermicomposting and ordinary composting.
The major functional enzyme genes responsible for the conversion of ammonia nitrogen into hydroxylamine were identified as the methane ammonia-monooxygenase subunit A gene (pmoA-amoA), methane ammonia-monooxygenase subunit B gene (pmoA-amoB), and methane ammonia-monooxygenase subunit C gene (pmoA-amoC). It was observed that earthworms can enhance the activity of ammonia monooxygenase and the abundance of amoA-nitrifier while reducing diversity [46]. In both vermicomposting and ordinary composting, the relative abundance of these genes was higher in T5 and T5C treatments. This suggested that earthworms in vermicomposting may facilitate specific gene functions during nitrification, thereby influencing biochemical reaction processes. Furthermore, it was found that when kitchen waste content was higher, earthworms had a more pronounced impact on these functional enzyme genes.
Some functional enzyme genes were identified in the test samples; however, none of them exhibited functional enzyme genes for the entire biochemical reaction process. For instance, anfG and nifDKH functional enzyme genes were detected in the samples, but the vnfDKGH functional enzyme gene was not present. These three functional enzymes are responsible for converting nitrogen elements in nitrogen gas into ammonia nitrogen during nitrogen fixation. Notably, the anfG functional enzyme gene displayed a high relative abundance in T3 and T3C, T5 and T5C treatments. In practice, microorganisms containing vnfDKGH functional enzyme genes could be introduced to achieve complete carbon fixation, thereby enhancing agricultural resource production.
3.3.4. Functional Differences Analysis
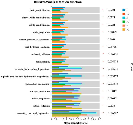
FAPROTAX is a database designed to link prokaryotic taxa (such as genera or species) with metabolic and ecologically relevant functions, such as nitrification and denitrification. The focus of FAPROTAX is on marine and lake biogeochemistry, particularly the sulfur, nitrogen, hydrogen, and carbon cycles, while also including other functions such as plant pathogenicity [24]. The study revealed prominent functional intensities in chemoheterotrophy, aerobic chemoheterotrophy, fermentation, aromatic compound degradation, hydrocarbon degradation, and nitrogen conversion of various organic matter within each compost treatment. Figure 12 illustrates the results of the inter-group differences test for functional diversity.
Figure 12.
FAPROTAX functional differences test between groups (0.01 < p ≤ 0.05 *, 0.001 < p ≤ 0.01 **).
Based on the findings presented in Figure 12, T3 exhibited significant functional intensity across various functions, particularly demonstrating notable differences compared to T3C in terms of aromatic compound degradation, aliphatic non-methane hydrocarbon degradation, hydrocarbon degradation, and nitrogen conversion. The observed reduction in polypeptides, polysaccharides, and aromatic structures suggested vermicomposting maturity [47], further supporting the superior effects of T3 on organic matter degradation and nitrogen element conversion.
3.3.5. Co-Occurrence Network Interaction of Microorganisms
The co-occurrence network serves as a valuable tool that elucidates potential interspecies relationships under specific conditions [48]. This study constructed a co-occurrence network to explain the interactions among microorganisms based on the relative abundance of bacterial genera. As depicted in Figure 13, each microorganism was partitioned into distinct modules, wherein each module comprised a cluster of diverse genus nodes that exhibited stronger interconnections compared to nodes in other modules. In summary, a negative correlation was observed between the bacterial communities of T1 and T1C, T3 and T3C, as well as T5 and T5C. Notably, the highest negative correlation was found between T1 and T1C, followed by T3 and T3C, with the lowest being T5 and T5C. These findings suggested that microorganisms in T1 and T1C exhibited a strong antagonistic effect, while a stronger synergistic effect was observed between T3 and T3C, as well as T5 and T5C. Furthermore, the negative correlation in the vermicomposting was lower, reflecting earthworms’ facilitation of synergistic interactions among microorganisms in the substrate. As a result, the synergistic interactions among microorganisms contribute to the improved efficacy of treatment.
Figure 13.
Co-occurrence network interaction of microorganisms in vermicomposting and composting.
The number of modules was indicative of the intricate interconnections among microorganisms within the composting. A smaller number of modules signifies a more closely integrated bacterial community structure and heightened stability in functional relationships. In T3 and T3C, Module III of T3 exhibited a minimal presence with only two nodes, whereas Module III of T3C demonstrated a substantial presence with 20 nodes. This observation suggests that earthworms promoted the interaction between diverse bacterial species. The analysis of T3 showed a significant presence of the Gordonia genus, with a notably higher correlation than T3C. Certain species within the Gordonia genus can degrade macromolecular compounds commonly found in natural environments [49]. In this case, earthworms were observed to promote interactions between Gordonia and other genera present in compost materials, elucidating the enhanced degradation capacity of vermicomposting.
4. Conclusions
Vermicomposting can effectively enhance microbial degradation. T3 exhibited superior performance compared to other treatments with different mass ratios. The predominant bacteria at the phylum level were Proteobacteria, Actinobacteria, Bacteroidetes, and Firmicutes. Biological metabolism was the primary function in the compost. There were higher relative abundances of β-glucosidase (ascF) and 6-phospho-β-glucosidase (bglA, celF) in T3. The gene expressions of hydrocarbon degradation and nitrogen conversion were enhanced in T3. Gordonia genus showed a stronger correlation with other microorganisms in the vermicomposting. Additionally, future research should delve into microbial functions and variations across different substrates and conditions.
Author Contributions
Z.G.: Writing—original draft, Investigation, Formal analysis. L.H.: Methodology, Conceptualization, Formal analysis. T.L.: Writing—review and editing, Supervision, Methodology, Conceptualization. M.X.: Writing—review and editing, Supervision, Methodology, Conceptualization. L.F.: Methodology, Conceptualization. G.L.: Methodology, Conceptualization. All authors have read and agreed to the published version of the manuscript.
Funding
This work was funded by Tongji University’s “Double Leaders” Academic Ability Improvement Plan (0400219423) and Natural Science Foundation of Ningxia Hui Autonomous Region, China (2023AAC03370).
Data Availability Statement
The data that support the findings of this study will be made available on request.
Acknowledgments
The authors wish to thank all our laboratory colleagues for their constructive advice and help.
Conflicts of Interest
The authors declare no conflicts of interest.
References
- Masengo, J.L.; Mulopo, J. Synthesis and Performance Evaluation of Adsorbents Derived from Sewage Sludge Blended with Waste Coal for Nitrate and Methyl Red Removal. Sci. Rep. 2022, 12, 1670. [Google Scholar] [CrossRef]
- Bagheri, M.; Bauer, T.; Burgman, L.E.; Wetterlund, E. Fifty Years of Sewage Sludge Management Research: Mapping Researchers’ Motivations and Concerns. J. Environ. Manag. 2023, 325, 116412. [Google Scholar] [CrossRef]
- Yan, Y.; Liang, H.; Wang, Z.; Wu, D.; Zhou, J.; Peng, Y. Attaining Superior Nitrogen Removal from Integrated Mature Landfill Leachate and Kitchen Waste Digestion Liquid via a Two-Stage Partial Nitrification/Anammox (PN/A) Process. Chem. Eng. J. 2024, 480, 148352. [Google Scholar] [CrossRef]
- Li, Y.; Jin, Y.; Li, J.; Chen, Y.; Gong, Y.; Li, Y.; Zhang, J. Current Situation and Development of Kitchen Waste Treatment in China. Procedia Environ. Sci. 2016, 31, 40–49. [Google Scholar] [CrossRef]
- Ozanne, L.K.; Ballantine, P.W.; McMaster, A. Understanding Food Waste Produced by University Students: A Social Practice Approach. Sustainability 2022, 14, 10653. [Google Scholar] [CrossRef]
- Shaw, P.J. Avoidable Household Food Waste: Diagnosing the Links between Causes and Composition. Recycling 2021, 6, 80. [Google Scholar] [CrossRef]
- Giordano, C.; Franco, S. Household Food Waste from an International Perspective. Sustainability 2021, 13, 5122. [Google Scholar] [CrossRef]
- Mohite, D.D.; Chavan, S.S.; Jadhav, V.S.; Kanase, T.; Kadam, M.A.; Singh, A.S. Vermicomposting: A Holistic Approach for Sustainable Crop Production, Nutrient-Rich Bio Fertilizer, and Environmental Restoration. Discov. Sustain. 2024, 5, 60. [Google Scholar] [CrossRef]
- Wang, F.; Zhang, Y.; Su, Y.; Wu, D.; Xie, B. Pollutant Control and Nutrient Recovery of Organic Solid Waste by Earthworms: Mechanism and Agricultural Benefits of Vermicomposting. J. Environ. Chem. Eng. 2024, 12, 112610. [Google Scholar] [CrossRef]
- Akhila, A.; Entoori, K. Role of Earthworms in Soil Fertility and Its Impact on Agriculture: A Review. Int. J. Fauna Biol. Stud. 2022, 9, 55–63. [Google Scholar]
- Liu, X.; Zhang, J.; Wang, Q.; Shaghaleh, H.; Chang, T.; Hamoud, Y.A. Modification of Soil Physical Properties by Maize Straw Biochar and Earthworm Manure to Enhance Hydraulic Characteristics under Greenhouse Condition. Sustainability 2022, 14, 13590. [Google Scholar] [CrossRef]
- Yasmin, N.; Jamuda, M.; Panda, A.K.; Samal, K.; Nayak, J.K. Emission of Greenhouse Gases (GHGs) during Composting and Vermicomposting: Measurement, Mitigation, and Perspectives. Energy Nexus 2022, 7, 100092. [Google Scholar] [CrossRef]
- Hallaji, S.M.; Kuroshkarim, M.; Moussavi, S.P. Enhancing Methane Production Using Anaerobic Co-Digestion of Waste Activated Sludge with Combined Fruit Waste and Cheese Whey. BMC Biotechnol. 2019, 19, 19. [Google Scholar] [CrossRef]
- Thi, N.B.D.; Kumar, G.; Lin, C.-Y. An Overview of Food Waste Management in Developing Countries: Current Status and Future Perspective. J. Environ. Manag. 2015, 157, 220–229. [Google Scholar] [CrossRef]
- El-mrini, S.; Aboutayeb, R.; Zouhri, A. Effect of Initial C/N Ratio and Turning Frequency on Quality of Final Compost of Turkey Manure and Olive Pomace. J. Eng. Appl. Sci. 2022, 69, 37. [Google Scholar] [CrossRef]
- Chen, Z.; Li, Y.; Peng, Y.; Mironov, V.; Chen, J.; Jin, H.; Zhang, S. Feasibility of Sewage Sludge and Food Waste Aerobic Co-Composting: Physicochemical Properties, Microbial Community Structures, and Contradiction between Microbial Metabolic Activity and Safety Risks. Sci. Total Environ. 2022, 825, 154047. [Google Scholar] [CrossRef]
- Iacomino, G.; Sarker, T.C.; Ippolito, F.; Bonanomi, G.; Vinale, F.; Staropoli, A.; Idbella, M. Biochar and Compost Application Either Alone or in Combination Affects Vegetable Yield in a Volcanic Mediterranean Soil. Agronomy 2022, 12, 1996. [Google Scholar] [CrossRef]
- Wang, K.; Mao, H.; Li, X. Functional Characteristics and Influence Factors of Microbial Community in Sewage Sludge Composting with Inorganic Bulking Agent. Bioresour. Technol. 2018, 249, 527–535. [Google Scholar] [CrossRef]
- Das, D.; Kalita, N.; Langthasa, D.; Faihriem, V.; Borah, G.; Chakravarty, P.; Deka, H. Eisenia Fetida for Vermiconversion of Waste Biomass of Medicinal Herbs: Status of Nutrients and Stability Parameters. Bioresour. Technol. 2022, 347, 126391. [Google Scholar] [CrossRef]
- Saba, S.; Zara, G.; Bianco, A.; Garau, M.; Bononi, M.; Deroma, M.; Pais, A.; Budroni, M. Comparative Analysis of Vermicompost Quality Produced from Brewers’ Spent Grain and Cow Manure by the Red Earthworm Eisenia Fetida. Bioresour. Technol. 2019, 293, 122019. [Google Scholar] [CrossRef]
- Schweiger, A.K.; Laliberté, E. Plant Beta-Diversity across Biomes Captured by Imaging Spectroscopy. Nat. Commun. 2022, 13, 2767. [Google Scholar] [CrossRef]
- Hu, X.; Zhang, T.; Tian, G.; Zhang, L.; Bian, B. Pilot-Scale Vermicomposting of Sewage Sludge Mixed with Mature Vermicompost Using Earthworm Reactor of Frame Composite Structure. Sci. Total Environ. 2021, 767, 144217. [Google Scholar] [CrossRef]
- Zhou, Y.; Zhang, D.; Zhang, Y.; Ke, J.; Chen, D.; Cai, M. Evaluation of Temperature on the Biological Activities and Fertility Potential during Vermicomposting of Pig Manure Employing Eisenia Fetida. J. Clean. Prod. 2021, 302, 126804. [Google Scholar] [CrossRef]
- Louca, S.; Parfrey, L.W.; Doebeli, M. Decoupling Function and Taxonomy in the Global Ocean Microbiome. Science 2016, 353, 1272–1277. [Google Scholar] [CrossRef]
- Chen, L.; Chen, Y.; Li, Y.; Liu, Y.; Jiang, H.; Li, H.; Yuan, Y.; Chen, Y.; Zou, B. Improving the Humification by Additives during Composting: A Review. Waste Manag. 2023, 158, 93–106. [Google Scholar] [CrossRef]
- Bui, V.K.H.; Truong, H.B.; Hong, S.; Li, X.; Hur, J. Biotic and Abiotic Catalysts for Enhanced Humification in Composting: A Comprehensive Review. J. Clean. Prod. 2023, 402, 136832. [Google Scholar] [CrossRef]
- Wu, X.; Wang, J.; Amanze, C.; Yu, R.; Li, J.; Wu, X.; Shen, L.; Liu, Y.; Yu, Z.; Zeng, W. Exploring the Dynamic of Microbial Community and Metabolic Function in Food Waste Composting Amended with Traditional Chinese Medicine Residues. J. Environ. Manag. 2022, 319, 115765. [Google Scholar] [CrossRef]
- Zhou, Y.; Li, H.; Guo, W.; Liu, H.; Cai, M. The synergistic effect between biofertility properties and biological activities in vermicomposting: A comparable study of pig manure. J. Environ. Manag. 2022, 324, 116280. [Google Scholar] [CrossRef]
- Abdellah, Y.A.Y.; Chen, H.-Y.; Sun, S.-S.; Yang, X.; Luo, Y.-S.; Bello, A.; Mohamed, T.A.; Ren, R.-J.; Li, W.-T.; Ahmed, R.M. Evaluating the Impact of the Humic Acid Amendment on Antibiotic Resistance Genes Reduction and Product Quality during Swine Manure Composting. J. Environ. Chem. Eng. 2023, 11, 110412. [Google Scholar] [CrossRef]
- Zhang, D.; Luo, W.; Li, Y.; Wang, G.; Li, G. Performance of Co-Composting Sewage Sludge and Organic Fraction of Municipal Solid Waste at Different Proportions. Bioresour. Technol. 2018, 250, 853–859. [Google Scholar] [CrossRef]
- Elrys, A.S.; Ali, A.; Zhang, H.; Cheng, Y.; Zhang, J.; Cai, Z.; Müller, C.; Chang, S.X. Patterns and Drivers of Global Gross Nitrogen Mineralization in Soils. Glob. Chang. Biol. 2021, 27, 5950–5962. [Google Scholar] [CrossRef] [PubMed]
- Hoang, H.G.; Thuy, B.T.P.; Lin, C.; Vo, D.-V.N.; Tran, H.T.; Bahari, M.B.; Vu, C.T. The Nitrogen Cycle and Mitigation Strategies for Nitrogen Loss during Organic Waste Composting: A Review. Chemosphere 2022, 300, 134514. [Google Scholar] [CrossRef] [PubMed]
- Wei, H.; Ma, J.; Su, Y.; Xie, B. Effect of Nutritional Energy Regulation on the Fate of Antibiotic Resistance Genes during Composting of Sewage Sludge. Bioresour. Technol. 2020, 297, 122513. [Google Scholar] [CrossRef] [PubMed]
- Song, B.; Manu, M.K.; Li, D.; Wang, C.; Varjani, S.; Ladumor, N.; Michael, L.; Xu, Y.; Wong, J.W. Food Waste Digestate Composting: Feedstock Optimization with Sawdust and Mature Compost. Bioresour. Technol. 2021, 341, 125759. [Google Scholar] [CrossRef]
- Yan, Y.; Zhai, J.; Wang, L.; Wang, X. Response and Defense Mechanisms of the Earthworms Eisenia Foetida to Natural Saline Soil Stress. Sci. Total Environ. 2024, 951, 175480. [Google Scholar] [CrossRef] [PubMed]
- Biruntha, M.; Karmegam, N.; Archana, J.; Selvi, B.K.; Paul, J.A.J.; Balamuralikrishnan, B.; Chang, S.W.; Ravindran, B. Vermiconversion of Biowastes with Low-to-High C/N Ratio into Value Added Vermicompost. Bioresour. Technol. 2020, 297, 122398. [Google Scholar] [CrossRef]
- Arora, S.; Saraswat, S.; Mishra, R.; Rajvanshi, J.; Sethi, J.; Verma, A.; Nag, A.; Saxena, S. Design, Performance Evaluation and Investigation of the Dynamic Mechanisms of Earthworm-Microorganisms Interactions for Wastewater Treatment through Vermifiltration Technology. Bioresour. Technol. Rep. 2020, 12, 100603. [Google Scholar] [CrossRef]
- Huang, K.; Liu, W.; Xia, H. Metagenomic Analysis Revealing the Dual Microbial Community Features in Three Common Vermicomposts. In Fate of Biological Contaminants during Recycling of Organic Wastes; Elsevier: Amsterdam, The Netherlands, 2023; pp. 157–176. [Google Scholar]
- Yi, M.; Zhang, L.; Qin, C.; Lu, P.; Bai, H.; Han, X.; Yuan, S. Temporal Changes of Microbial Community Structure and Nitrogen Cycling Processes during the Aerobic Degradation of Phenanthrene. Chemosphere 2022, 286, 131709. [Google Scholar] [CrossRef]
- Sharma, P.; Singh, S.P. Identification and Profiling of Microbial Community from Industrial Sludge. Arch. Microbiol. 2022, 204, 234. [Google Scholar] [CrossRef]
- Awasthi, M.K.; Chen, H.; Wang, Q.; Liu, T.; Duan, Y.; Awasthi, S.K.; Ren, X.; Tu, Z.; Li, J.; Zhao, J. Succession of Bacteria Diversity in the Poultry Manure Composted Mixed with Clay: Studies upon Its Dynamics and Associations with Physicochemical and Gaseous Parameters. Bioresour. Technol. 2018, 267, 618–625. [Google Scholar] [CrossRef]
- Finore, I.; Feola, A.; Russo, L.; Cattaneo, A.; Di Donato, P.; Nicolaus, B.; Poli, A.; Romano, I. Thermophilic Bacteria and Their Thermozymes in Composting Processes: A Review. Chem. Biol. Technol. Agric. 2023, 10, 7. [Google Scholar] [CrossRef]
- Douglas, G.M.; Beiko, R.G.; Langille, M.G.I. Predicting the Functional Potential of the Microbiome from Marker Genes Using PICRUSt. In Microbiome Analysis; Beiko, R.G., Hsiao, W., Parkinson, J., Eds.; Methods in Molecular Biology; Springer: New York, NY, USA, 2018; Volume 1849, pp. 169–177. [Google Scholar] [CrossRef]
- Qin, J.; Fu, X.; Chen, X.; Tian, W.; Zhao, H. Effects of pelletized treatment on microbial carbon source utilization during vermicomposting of municipal sludge. Acta Sci. Circumstantiae 2021, 41, 4995–5003. [Google Scholar] [CrossRef]
- Zang, X.; Liu, M.; Fan, Y.; Xu, J.; Xu, X.; Li, H. The Structural and Functional Contributions of β-Glucosidase-Producing Microbial Communities to Cellulose Degradation in Composting. Biotechnol. Biofuels 2018, 11, 51. [Google Scholar] [CrossRef] [PubMed]
- Lv, B.; Zhang, D.; Chen, Q.; Cui, Y. Effects of Earthworms on Nitrogen Transformation and the Correspond Genes (amoA and nirS) in Vermicomposting of Sewage Sludge and Rice Straw. Bioresour. Technol. 2019, 287, 121428. [Google Scholar] [CrossRef] [PubMed]
- Bhat, S.A.; Singh, J.; Vig, A.P. Instrumental Characterization of Organic Wastes for Evaluation of Vermicompost Maturity. J. Anal. Sci. Technol. 2017, 8, 2. [Google Scholar] [CrossRef]
- Goberna, M.; Verdú, M. Cautionary Notes on the Use of Co-Occurrence Networks in Soil Ecology. Soil Biol. Biochem. 2022, 166, 108534. [Google Scholar] [CrossRef]
- Sánchez-Suárez, J.; Díaz, L.; Coy-Barrera, E.; Villamil, L. Specialized Metabolism of Gordonia Genus: An Integrated Survey on Chemodiversity Combined with a Comparative Genomics-Based Analysis. BioTech 2022, 11, 53. [Google Scholar] [CrossRef]
Disclaimer/Publisher’s Note: The statements, opinions and data contained in all publications are solely those of the individual author(s) and contributor(s) and not of MDPI and/or the editor(s). MDPI and/or the editor(s) disclaim responsibility for any injury to people or property resulting from any ideas, methods, instructions or products referred to in the content. |
© 2024 by the authors. Licensee MDPI, Basel, Switzerland. This article is an open access article distributed under the terms and conditions of the Creative Commons Attribution (CC BY) license (https://creativecommons.org/licenses/by/4.0/).












