Abstract
The main objective of this study was to examine the spatial distribution patterns of aquatic invertebrates in an environment characterized by significant anthropogenic stress. During the entire research period, at all the sites, we noticed 72 taxa of zooplankton and 30 taxa of macroinvertebrates. Variation partitioning analysis reveals that the assemblages of planktonic organisms are much more determined by the time of sampling rather than by the site, in contrary to macroinvertebrates where the sampling time was only slightly more responsible for the composition of the benthic communities than the site. Spatial distribution of aquatic organisms in a small lowland river under strong anthropopressure shows significant deviations from the expectations of the River Continuum Concept (RCC). The benthic macroinvertebrate and littoral zooplankton communities exhibited a strong association with local site conditions, while, in contrast, pelagic zooplankton exhibited a strong dependency on drift and its production in the upper reaches of the river, leading to relatively consistent compositions downstream despite the highly altered river environment. To improve the biodiversity values and ecological state of a river, restoration treatments of bed and shore zones are required.
Keywords:
zooplankton; macroinvertebrates; small river; human impact; ecotones; spatial distribution 1. Introduction
Surface waters are utilized in various ways, highlighting their significance through the establishment of cities along riverbanks. Historically, flowing waters served as a vital source of clean water and as a recipient of wastewater. In modern times, developed countries have transitioned away from relying on surface waters for clean water supply; nevertheless, the discharge of wastewater into water bodies has escalated in terms of both quantity and diversity. With only 1% of the world’s water resources consisting of freshwater, there is a significant human endeavor to comprehend the functioning of freshwater environments for their preservation.
Rivers are subjected to significant anthropogenic pressure, resulting in both morphological and physicochemical alterations in the water environment [,,]. The detrimental effects of morphological changes have been observed in cases of river channel straightening [,], dredging activities [,], and riverbed fragmentation []. Recent studies have highlighted the adverse impacts of physical and chemical alterations on biota, including sewage discharge [,], elevated water temperatures due to thermal pollution [], and increased river salinity resulting from mining activities []. Because all these activities lead to changes in communities of aquatic organisms, numerous countries currently employ biological indicators, including phytoplankton, benthic macroinvertebrates, and fish, to evaluate the quality of surface waters. Zooplankton has also been extensively studied as an indicator of various factors, such as the trophic state of lakes.
Research on river ecosystems has persisted for centuries, yielding numerous theories aiming to characterize the intricate processes occurring in these environments. Among these theories is the River Continuum Concept (RCC) formulated by Vanotte and his team in 1980 []. The RCC elucidates the spatial dynamics exhibited by flowing water ecosystems, encompassing the transition from upstream sources to downstream estuaries. This conceptual framework provides insights into the progressive alterations encountered along this continuum, encompassing shifts in community structures and compositions of key organisms, including phytoplankton, zooplankton, and benthic invertebrates. By exploring these spatial changes, the RCC offers a valuable perspective on the ecological transformations unfolding within flowing water systems. Hence, the RCC has undergone extensive validation, with investigations conducted not only on animal communities (benthic and planktonic) but also on nutrient cycling and in diverse types of flowing waters [,,]. The River Continuum Concept is a model that posits each natural watercourse as an ecosystem undergoing longitudinal changes, linking to the shore. The ratio of primary production to respiration varies along the course of the river. In the natural state of a river, the upper forested sections exhibit low primary production, yet there is a substantial inflow of coarse-particle organic matter. Consequently, the macrozoobenthos biocenosis is dominated by shredder collectors. Zooplankton is absent in the upper section due to rapid current velocity and a low amount of drifting organic food. In the lower sections of rivers where fine-particle organic matter predominates, the composition of the feeding group within the macrozoobenthos changes. Consequently, the macrozoobenthos is dominated by filtrators and collectors. Owing to the lower current velocity in the river’s lower course, the water volume becomes a habitat for zooplankton and phytoplankton. However, the concept of river continuum is not the only one that describes the natural state of river communities. There is also a hypothesis suggesting a discrete location of the communities of benthic fauna in different biotopes. For example, the species trait approach may overcome this hypothesis across broad geographical areas, using biotopes as the hydro-morphological units which have characteristic species trait assemblages. Integration of the multiple biological trait approach with river biotopes at the interface between ecology and various hydro-morphology conditions provides a wealth of new information and potential applications for river organism distribution []. The RCC is a pattern mainly based on functional feeding groups of macroinvertebrates; however, it does not describe some changes in drifting zooplankton structures. In this study, our main objective was to examine the spatial distribution patterns of aquatic invertebrates, including both micro and macro-organisms, in an environment, the Dzierżęcinka river, characterized by significant anthropogenic stress. This stress was manifested by the proximity of a densely populated urban area, the discharge of treated wastewater from a sewage treatment plant, extensive river channel straightening and dredging, as well as inflows from a highly polluted lake into which the studied river flows. We found two studies on the ecological state of Dzierżęcinka concerning the macroinvertebrate structure, primarily conducted in the urban section of the river [,]. Both papers indicate a low ecological state of the river, which is evidenced by a notably high ratio of Gammaridae, limited species diversity, unfavorable habitat conditions, and pollution. The authors assert that the river’s poor state is due to significant bed homogenization, which is advantageous for organisms particularly vulnerable to pollutants in a straight, regulated riverbed. However, neither paper describes the spatial distribution of invertebrates in relation to environmental conditions along the riverbed, extending to the river’s mouth at the lake. In contrast to both papers, our study did not focus on describing the taxonomical composition of the river or determining water quality. Instead, our study aimed to elucidate the spatial distribution pattern of invertebrates in a degraded river concerning environmental conditions.
The aim of this study was to examine a pattern of spatial distribution of benthic and drifting invertebrates (macrozoobenthos and zooplankton) in a degraded river that is still under strong human pressure.
2. Materials and Methods
2.1. Area of Study
Studies were conducted on a small river, Dzierżęcinka, and a lake, Jamno, to which the river flows (GPS: 54°15′07.3″ N 16°07′58.3″ E—the inlet of Dzierżęcinka to Jamno). The Dzierżęcinka river is no longer than 30 km long with a catchment of approximately 122 km2. Dzierżęcinka is under a strong anthropogenic threat. The river is a strongly channelized watercourse. In the middle of its course, the river runs through Koszalin city, below which the river is dammed, and below the dam receives wastewater from the sewage treatment plant. The corridor of the river before the lake is highly regulated with high flood embankments on the right and left sides.
Lake Jamno is a polymictic coastal lake, with an area of 2239.6 ha and maximum depth 2 m. The hydrochemical state of the lake water is significantly influenced by its connection with the Baltic Sea through Jamieński Nurt. To mitigate the excessive inflow of seawater into the lake during storms, the construction of storm gates along the canal was implemented. These storm gates are designed to automatically close during heavy storm events, preventing the influx of seawater into the lake. The lake is a direct and indirect recipient of many waters from sewage treatment plants; additionally, another threat to the lake is the area runoff from agricultural land. For those reasons, the lake is strongly eutrophicated with long-term, intensive aqua blooms created mainly by cyanobacteria.
2.2. Sampling and Laboratory Procedure
On the Dzierżęcinka River five sampling sites were chosen: the first was located in Koszalin city (54°12′53.7″ N 16°09′55.6″ E), the second one was below the discharge of water from the sewage treatment plant (54°14′02.6″ N 16°08′33.5″ E), the third was located at the beginning of the agricultural land (54°14′22.4″ N 16°07′55.7″ E), the fourth at the middle of the agricultural land (54°14′47.2″ N 16°07′51.5″ E), and the last one was located at the mouth of the river to Lake Jamno (54°15′06.0″ N 16°07′57.8″ E). Additionally, one sampling site was located in Lake Jamno (54°15′07.7″ N 16°08′46.9″ E) (Figure 1).

Figure 1.
Map of sampling sites: (A) localization of Dzierżęcinka River in north-western Poland, (B) catchment of Dzierżęcinka River, (C) sampling sites along the river and in the lake. The arrow indicates the location of the river in Poland.
On each site of the river in every month of 2022, the physical–chemical parameters of water and morphological parameters of the riverbed were measured (Table 1). All parameters except PTOT (total phosphorus) and NTOT (total nitrogen) were measured using multiprobe Hydrolab DS 5 (Hydrolab, Loveland, CO, USA). PTOT and NTOT were measured using photometer Hach Lange DR 890 (Hach Lange, Loveland, CO, USA).

Table 1.
Mean values, standard deviation, minimal and maximal values of studied environmental conditions in sites located on Dzierżęcinka and Lake Jamno. SD—standard deviation; TEMP—temperature; O2—dissolved oxygen; COND—water conductivity; TDS—total dissolved solids; CL—chloride ions; CHL A—chlorophyll a; NO3—nitrates; NH4—ammonia; S.S—suspended solids.
Zooplankton was collected every month of 2022 by pouring 50 L of water through a net with a mesh size of 20 µm. The samples were concentrated to 100 mL and fixed in a solution of 3–4% formalin. The contents were examined using a Sedgewick–Rafter counting chamber. A Nikon Eclipse 50i microscope (Nikon, Tokyo, Japan) was used for the identification of organisms. Species were identified using the keys described by Radwan [] and Rybak and Błędzki []. With the same keys zooplankton was divided into two groups, pelagic (planktonic) and littoral species. These two groups are marked in Supplementary File S1 with “L” as littoral and “P” as pelagic species.
Macroinvertebrates were collected in April, May, August, and October of 2022 using method kick sampling (60 s), taking into account all microhabitats at the site, and adjusting the sampling time from the habitat to its area. All organisms were stored in buckets, and samples were flooded with 96% alcohol and then sorted in the laboratory. The organisms were determined to the family level.
Additionally, in April, May, August, and October of 2022 all research activities were performed in Lake Jamno.
2.3. Statistical Method
Only organisms with a frequency of at least 15% were used for statistical calculations. In order to reveal the taxonomic similarity between the sites, the Jaccard quantitative and binary similarity index was calculated. To determine which factor, site, or month is more important in shaping zooplankton and macroinvertebrates assemblages, variation partitioning analysis was used. To evaluate the correlation between taxonomic dissimilarity and spatial distance, Mantel test was performed. In this case, the results from one month, most representative for the group, were selected for the test— zooplankton: July; macroinvertebrates: May. In order to reveal the relationships between environmental variables and species abundances the Canonical Correspondence Analysis (CCA) was used. Quantitative and binary similarity, CCA, Mantel test, and variation partitioning analysis were conducted using package “Vegan”, version 2.6-4 [], in R: R version 4.2.2 [].
3. Results
During the entire research period, at all the sites, we noted 72 taxa of zooplankton and 30 taxa of macroinvertebrates (S1). Twenty-six taxa belonging to zooplankton and 21 to invertebrates reached a frequency of over 15% at the sampling sites.
In terms of quantitative similarity, zooplankton achieved results characteristic for the planktonic fraction in the studied watercourse (>0.51), but differed from the site located in the lake (<0.08 and zooplankton) (Table 2). The quantitative similarity of taxa in the case of macroinvertebrates was more varied between sites in the watercourse (0.34–0.75). The first site (the city of Koszalin) was clearly separated from the others in the watercourse. Also, the site located on Lake Jamno significantly differed in the number of organisms in individual taxa from sites located on the watercourse. The sites located at a greater distance from the lake clearly differed in quantitative composition (1 and 2), and this difference decreased in the case of sites located closer to the mouth of the watercourse to the lake (sites 3, 4, and 5). In the context of binary similarity, which considers the presence and absence of species, the analysis revealed that zooplankton exhibited the fewest differences between sites along the watercourse, with all sites showing high taxonomic similarity (Jaccard index = 1). The only discernible variation was observed in the taxonomic composition of the lake compared to the zooplankton in the watercourse, where the Jaccard index was slightly lower at 0.81. The greatest variations in taxonomic similarity were observed in macroinvertebrate taxa. For sites situated along the watercourse, the taxonomic similarity ranged from 0.59 to 0.84, with sites 3, 4, and 5 displaying the highest similarity in invertebrate taxa (Table 2).

Table 2.
Quantitative and binary (presence–absence) similarity of zooplankton and macroinvertebrates between studied sites, calculated based on the Jaccard index.
The Mantel test showed a statistically significant correlation between taxonomic differences and spatial distances only in the case of benthic invertebrates (p = 0.0083). No significant correlations were recorded for zooplankton (p = 0.3416) (Table 3).

Table 3.
Mantel test to evaluate the correlation between taxonomic dissimilarity and spatial distance. The results from one month, most representative for the group, were selected for the test— zooplankton: July; macroinvertebrates: May.
Variation partitioning analysis reveals that the assemblages of zooplanktonic organisms are more determined by the time of sampling (month, R2 = 0.73) rather than by the site, in contrary to macroinvertebrates where the sampling time was slightly more responsible (R2 = 0.37) for the composition of the benthic communities than the site (R2 = 0.14) (Table 4).

Table 4.
Variation partitioning analysis to determine which factor, site, or month is more important in shaping assemblages.
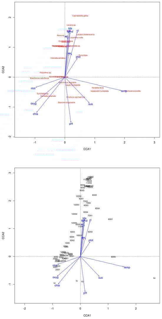
The CCA demonstrated a clear relationship between environmental factors and zooplankton abundance. The eigenvalues for two constrained axes for zooplankton are 0.67 and 0.46, respectively. The proportions explained for two constrained axes are 0.22 and 0.13, respectively. Pelagic Rotifers (Polyarthra sp., Syncheata sp.) were negatively correlated with temperature (Figure 2), dominating river zooplankton during cold seasons, especially spring. Benthic microinvertebrates (Alonella sp., Alona sp., Bdelloidae, Cephalodella sp., Colurella sp., Euchlanis sp., Eucyclops sp., Lecane sp., Lepadella sp.) were positively correlated with conductivity, NO3, and NH4 and negatively correlated with pH, chlorophyll a, oxygen concentration, and suspended solids values. The separation of stations on the CCA axis indicated a significant influence of the season and type of habitat on the zooplankton structure and abundance.

Figure 2.
Zooplankton taxa abundance among environmental factors in the river Dzierżęcinka and Lake Jamno. Canonical correspondence analysis (CCA) constrained ordination of taxa from sites with different environmental conditions. Environmental variables: chla—chlorophyll a; oxyg—dissolved oxygen; temp—temperature; cl—chloride; cond—conductivity; tds—total dissolved solids; sal—salinity; NO3—nitrates; ptot—total phosphorus; notot—total nitrogen; sus—suspension matter; NH4—ammonia. In the site ordination plot, the first letter means month, the second letter denotes location (D stands for Dzierżęcinka, J stands for Jamno), and the last letter is the number of sites.
Upon conducting the Canonical Correspondence Analysis (CCA) (Figure 3), relationships between environmental conditions and benthic macroinvertebrate communities were observed. Reophilic taxa, such as Gammaridae, Simuliidae, Aphelocheiridae, and Hydropsychidae, display positive correlations with the second axis in contrast to the suspension matter, which exhibits a negative correlation with the first axis. Moreover, these reophilic taxa appear on the opposite side of the water temperature chart. Conversely, lentic taxa, including Asellidae, Limnephilidae, Tabanidae, Erpobdellidae, Dytiscidae, and Lymnaeidae, are negatively correlated with the first axis. Additionally, they show negative correlations similar to those of total nitrogen and chlorophyll a with the first axis. In terms of site ordination, the analysis reveals that the time of sampling has influenced the distribution of sites. Notably, samples taken in the same month tend to cluster together on the same side of either the first or second axis. The eigenvalues for two constrained axes for macroinvertebrates are 0.23 and 0.18, respectively. The proportions explained for two constrained axes are 0.18 and 0.14, respectively.

Figure 3.
Macroinvertebrates taxa abundance among environmental factors in the river Dzierżęcinka and Lake Jamno. Canonical correspondence analysis (CCA) constrained ordination of taxa from sites with different environmental conditions. Environmental variables: chla—chlorophyll a; oxyg—dissolved oxygen; temp—temperature; cl—chloride; cond—conductivity; tds—total dissolved solids; sal—salinity; NO3—nitrates; ptot—total phosphorus; ntot—total nitrogen; sus—suspension matter; NH4—ammonia. In the site ordination plot, the first letter means month, the second letter denotes location (D stands for Dzierżęcinka, J stands for Jamno), and the last letter is the number of sites.
4. Discussion
The watercourse under investigation exemplifies a typical case of a small lowland river situated in central Europe, subject to significant anthropogenic pressure. Schinegger et al. [] have demonstrated that up to 90% of lowland rivers in Europe experience a diverse array of human-induced changes, encompassing alterations in water quality, hydrology, morphology, and connectivity. Regarding that conclusion, the Dzierżęcinka is a model river that is under the influence of all threats inhibiting an increase in diversity and the attainment of a good ecological state of natural running waters. The results of our study, especially the values of biological factors observed along the whole river, show no possibility of obtaining a better ecological state at the present time.
Analyzing the results of this study, it is evident that the spatial distribution of aquatic organisms in small lowland rivers under strong anthropopressure shows significant deviations from the expectations of the River Continuum Concept (RCC). Seemingly, the deviation of the structure of the studied communities from the concept of continuum does indicate their disruption by the anthropogenic factors. The river is very environmentally homogenized by human activity. The observed patterns reveal that spatial changes in planktonic communities are less pronounced compared to the temporal variations. Additionally, the benthic macroinvertebrate communities exhibited a strong association with local site conditions, and the littoral zooplankton displayed similar behavior, albeit to a lesser extent. In contrast, pelagic (planktonic) zooplankton exhibited a strong dependency on drift and its production in the upper reaches of the river, leading to relatively consistent compositions downstream despite the highly altered river environment. These findings suggest that the applicability of the RCC is less pronounced for drifting organisms in the context of strong anthropopressure in small lowland watercourses. All planktonic organisms occurring in rivers are dependent on stagnant waters connected with the bed. They can be lakes, dam reservoirs, slackwaters, wetlands, etc. [,,]. These water basins are the main places for plankton assemblage development and introduction to rivers [,]. The further from the plankton source the lower the abundance of drifting plankton. It is a well-known pattern that every planktonic taxa in rivers and many benthic microorganisms can be washed out from the bottom, macrophytes, or slackwaters []. Thus, regarding macrozoobentos and littoral zooplankton communities, the Jaccard coefficient indicated differences between sites in taxonomical composition; however, these differences were not gradient. No changes in organism communities were typical of the RCC. It seems that such a short river in such a short distance would produce similar values in micro- and macroinvertebrate compositions. However, environmental changes caused by humans created new microhabitats that are not typical of the natural spatial course of the river. These microhabitats may be small pools or unwashed fine organic matter accumulations along a longer section of the river. Phenological changes were very much responsible for the changes in the communities, which mainly relate to changes in thermal conditions and sun exposition. In spring, when the temperature rises and insolation increases, there is a strong increase in phytoplankton and zooplankton populations. The spring zooplankton communities consisted mainly of small parthenogenetically reproducing rotifers. Their populations in the river gradually decreased and reached the lowest average values in summer. The high abundance in spring proves the very high fertility of the waters of the studied river [,]. In contrast, the decrease in zooplankton abundance in summer was due to high thermal pressure for stenothermic species that reached high numbers in spring, pressure from macroinvertebrates, and hydrological conditions in the river.
Scientists have shown that changing trophic conditions and degradation of habitats create communities of macroinvertebrates with high tolerance to environmental changes, but they are less diverse []. Our research showed a high share of macroinvertebrate taxa preferring stagnant waters, which is due to the presence of a dam above the second site and a slow, uniform (not turbulent) outflow. Similar observations were made by Growns et al. [] in an experiment with mesocosms: siltation and changes in flow reduced the diversity of benthic invertebrates.
Lampart-Kałużniacka et al. [] observed a significant drop in macroinvertebrate taxa number in the city section of Dzierżęcinka compared to earlier years. It may indicate a decrease in the number of various habitats, as a type of substratum is the main factor influencing the settlement of macroinvertebrates. In the examined aquatic ecosystem, macroinvertebrates exhibited a pronounced reliance on microhabitat parameters, as opposed to being significantly influenced by catchment-scale factors. This phenomenon can be attributed to the relatively modest size of the stream and the homogeneity of catchment conditions throughout the entire study area. A previous study by Li et al. [] underscored the more substantial impact of macrogeographic conditions on the spatial distribution of benthic invertebrates, albeit acknowledging the significance of local environmental conditions within the specific river segment under investigation. When scrutinizing benthic communities in the context of expansive river systems, it becomes imperative to consider the intricate interplay of microhabitat attributes and spatial dynamics. Conversely, the research conducted by Zhang and colleagues [] during their examination of streams emphasized the pivotal role of localized conditions in shaping the structural composition of benthic invertebrate populations. Our findings further corroborate the notion that in the analysis of diminutive watercourses, paramount attention should be directed towards microhabitat conditions, rather than overarching catchment-wide variables. Pelagic zooplankton are likely to thrive in areas with slow-flowing water currents []. Some reservoirs in the Dzierżęcinka River system may introduce significant amounts of plankton above the research locations. In the spring, when macrophytes and macroinvertebrate communities were not yet developed, drifting plankton could migrate downstream; therefore, we observed high zooplankton abundance in the spring. Due to the lower abundance of feeding fish and macroinvertebrates or additionally undeveloped macrophytes in spring, zooplankton could drift long distances. On the other hand, as the biomass of plants and invertebrates increased, and the metabolism of the system increased, a large share of plankton that came from reservoirs above the study sites were eaten. Consequently, with the increase in temperature, we observed a decrease in plankton abundance. This may indicate that despite the fact that the river is subjected to strong anthropogenic pressure, the river still has strong self-purification and natural organic matter cycling properties. Either way, it is worth examining in further research what the patterns of changes are in both drifting zooplankton and macrozoobenthos communities in differently regulated rivers. There are rivers regulated for river navigation, for water retention in the riparian zone in meadows and forests, and for fish ponds. Regulations that consider threats require the use of many different hydrotechnical structures affecting river fauna and flora. Thus, different regulations may shape different structures of drifting zooplankton and macrozoobenthos.
5. Conclusions
- The benthic macroinvertebrate communities are influenced by local conditions at the site, and the littoral zooplankton shows similar behavior, albeit to a lesser extent.
- Pelagic zooplankton exhibits a strong dependency on drift and its production in the upper reaches of the river. The composition of pelagic organisms remains relatively consistent downstream, even in a highly altered river environment.
- In small lowland watercourses impacted by strong anthropopressure, the applicability of the River Continuum Concept schemes is less pronounced for drifting organisms compared to sedentary organisms.
- To improve the biodiversity values and ecological state of a river, restoration treatments of the bed and shore zones are required.
Supplementary Materials
The following supporting information can be downloaded at https://www.mdpi.com/article/10.3390/w16020262/s1: File S1: Environmental variables, macroinvertebrates, and zooplankton abundances on sampled sites.
Author Contributions
Conceptualization, T.K., Ł.S., R.P. and R.C.; data curation, T.K. and R.C.; formal analysis, T.K.; funding acquisition, R.P.; investigation, T.K., Ł.S., I.G. and R.C.; methodology, T.K., Ł.S., M.H., R.P. and R.C.; project administration, M.H., R.P. and R.C.; supervision, M.H., R.P. and R.C.; visualization, Ł.S.; writing—original draft, T.K.; writing—review and editing, Ł.S. and R.C. All authors have read and agreed to the published version of the manuscript.
Funding
The research was financed by Firmus Agro limited liability company. The research was financed under the grant “Development of a strategy for managing migratory salmonids in a restored river with an indication of ways to protect them. The example of the Drawa River” by the European Union from the European Maritime and Fisheries Funding included in the Operational Program Fisheries and Sea 2014–2020. Agreement no. 0007-6520.13-OR1600001/22/23.
Data Availability Statement
Data is contained within the article or supplementary material.
Conflicts of Interest
Author Maciej Humiczewski was employed by the company Komes Water and author Rafał Popko was employed by the company G3K—Ecological Consulting. The remaining authors declare that the research was conducted in the absence of any commercial or financial relationships that could be construed as a potential conflict of interest.
References
- Schinegger, R.; Trautwein, C.; Melcher, A.; Schmutz, S. Multiple human pressures and their spatial patterns in European running waters. Water Environ. J. 2012, 26, 261–273. [Google Scholar] [CrossRef]
- Wohl, E. The significance of small streams. Front. Earth Sci. 2017, 11, 447–456. [Google Scholar] [CrossRef]
- Jurczak, T.; Wagner, I.; Wojtal-Frankiewicz, A.; Frankiewicz, P.; Bednarek, A.; Łapińska, M.; Kaczkowski, K.; Zalewski, M. Comprehensive approach to restoring urban recreational reservoirs. Part 1–Reduction of nutrient loading through low-cost and highly effective ecohydrological measures. Ecol. Eng. 2019, 131, 81–98. [Google Scholar] [CrossRef]
- Brooker, M.P. The Ecological Effects of Channelization. Geogr. J. 1985, 151, 63–69. [Google Scholar] [CrossRef]
- Zhou, T.; Endreny, T. The Straightening of a River Meander Leads to Extensive Losses in Flow Complexity and Ecosystem Services. Water 2020, 12, 1680. [Google Scholar] [CrossRef]
- Gob, F.; Houbrechts, G.; Hiver, J.M.; Petit, F. River dredging, channel dynamics and bedload transport in an incised meandering river (the River Semois, Belgium). River Res. Applic. 2005, 21, 791–804. [Google Scholar] [CrossRef]
- Manap, N.; Voulvoulis, N. Data analysis for environmental impact of dredging. J. Clean. Prod. 2016, 137, 394–404. [Google Scholar] [CrossRef]
- Fuller, M.R.; Doyle, M.W.; Strayer, D.L. Causes and consequences of habitat fragmentation in river networks. Ann. N. Y. Acad. Sci. 2015, 1355, 31–51. [Google Scholar] [CrossRef]
- Tripathi, B.D.; Sikandar, M.; Shukla, S.C. Physico-chemical characterization of city sewage discharged into river Ganga at Varanasi, India. Environ. Int. 1991, 17, 469–478. [Google Scholar] [CrossRef]
- Jarvie, H.P.; Neal, C.; Withers, P.J.A. Sewage-effluent phosphorus: A greater risk to river eutrophication than agricultural phosphorus? Sci. Total Environ. 2006, 360, 246–253. [Google Scholar] [CrossRef]
- Poole, G.; Berman, C. An Ecological Perspective on In-Stream Temperature: Natural Heat Dynamics and Mechanisms of Human-CausedThermal Degradation. Environ. Manag. 2007, 27, 787–802. [Google Scholar] [CrossRef] [PubMed]
- Sługocki, Ł.; Czerniawski, R. Water Quality of the Odra (Oder) River before and during the Ecological Disaster in 2022: A Warning to Water Management. Sustainability 2023, 15, 8594. [Google Scholar] [CrossRef]
- Vannote, R.L.; Minshall, G.W.; Cummins, K.W.; Sedell, J.R.; Cushing, C.E. The River Continuum Concept. Can. J. Fish. Aquat. Sci. 1980, 37, 130–137. [Google Scholar] [CrossRef]
- Larsen, S.; Bruno, M.C.; Vaughan, I.P.; Zolezzi, G. Testing the River Continuum Concept with geostatistical stream-network models. Ecol. Complex. 2019, 39, 100773. [Google Scholar] [CrossRef]
- Roebuck, J.A., Jr.; Seidel, M.; Dittmar, T.; Jaffé, R. Controls of Land Use and the River Continuum Concept on Dissolved Organic Matter Composition in an Anthropogenically Disturbed Subtropical Watershed. Environ. Sci. Technol. 2020, 54, 195–206. [Google Scholar] [CrossRef] [PubMed]
- Tomanova, S.; Tedesco, P.A.; Campero, M.; Van Damme, P.A.; Moya, N.; Oberdorff, T. Longitudinal and altitudinal changes of macroinvertebrate functional feeding groups in neotropical streams: A test of the River Continuum Concept. Fundamental and Applied Limnology. Arch. Hydrobiol. 2007, 170, 233–241. [Google Scholar] [CrossRef]
- Demars, B.O.; Kemp, J.L.; Friberg, N.; Usseglio-Polatera, P.; Harper, D.M. Linking biotopes to invertebrates in rivers: Biological traits, taxonomic composition and diversity. Ecol. Indic. 2012, 23, 301–311. [Google Scholar] [CrossRef]
- Lampart-Kałużniacka, M.; Celińska-Spodar, A. Monitoring miejskiego odcinka Dzierżęcinki z wykorzystaniem makrobentosu w celu renaturyzacji koryta rzeki. Rocz. Ochr. Sr. 2008, 10, 444–457. [Google Scholar]
- Lampart-Kałużniacka, M.; Zdoliński, P.; Chrzanowski, K.; Górajek, A.; Masian, P. Assessment of quality of various water types based on macrobenthic bioindicators. Rocz. Ochr. Sr. 2009, 11, 63–74. [Google Scholar]
- Radwan, S. Freshwater Fauna of Poland; Wydawnictwo Uniwersytetu Łódzkiego: Łódź, Polska, 2004; pp. 1–447. [Google Scholar]
- Rybak, J.I.; Błędzki, L.A. Planktonic Crustaceans of Freshwaters; Wydawnictwo Uniwersytetu Warszawskiego: Warszawa, Poland, 2010; pp. 1–366. [Google Scholar]
- R Core Team. R: A Language and Environment for Statistical Computing; R Foundation for Statistical Computing, Vienna, Austria. 2022. Available online: https://www.R-project.org/ (accessed on 5 December 2023).
- Czerniawski, R.; Domagała, J. Similarities in zooplankton community between River Drawa and its two tributaries (Polish part of River Odra). Hydrobiologia 2010, 638, 137–149. [Google Scholar] [CrossRef]
- Sługocki, Ł.; Czerniawski, R.; Kowalska-Góralska, M.; Teixeira, C.A. Hydro-modifications matter: Influence of vale transformation on microinvertebrate communities (Rotifera, Cladocera, and Copepoda) of upland rivers. Ecol. Indic. 2021, 122, 107259. [Google Scholar] [CrossRef]
- Ejsmont-Karabin, J.; Karpowicz, M. Rotifera in lake subhabitats. Aquat. Ecol. 2021, 55, 1285–1296. [Google Scholar] [CrossRef]
- Napiórkowski, P.; Bąkowska, M.; Mrozińska, N.; Szymańska, M.; Kolarova, N.; Obolewski, K. The effect of hydrological connectivity on the zooplankton structure in floodplain lakes of a regulated large river (the Lower Vistula, Poland). Water 2019, 11, 1924. [Google Scholar] [CrossRef]
- Halabowski, D.; Bielańska-Grajner, I.; Lewin, I.; Sowa, A. Diversity of rotifers in small rivers affected by human activity. Diversity 2022, 14, 127. [Google Scholar] [CrossRef]
- Czerniawski, R.; Sługocki, Ł. Analysis of zooplankton assemblages from man-made ditches in relation to current velocity. Oceanol. Hydrobiol. Stud. 2017, 46, 199–211. [Google Scholar] [CrossRef]
- Ejsmont-Karabin, J. The usefulness of zooplankton as lake ecosystem indicators: Rotifer trophic state index. Pol. J. Ecol. 2012, 60, 339–350. [Google Scholar]
- Krupa, E.G.; Barinova, S.S.; Romanova, S.M. Ecological mapping in assessing the impact of environmental factors on the aquatic ecosystem of the Arys River Basin, South Kazakhstan. Diversity 2019, 11, 239. [Google Scholar] [CrossRef]
- Su, P.; Wang, X.; Lin, Q.; Peng JSong, J.; Fu, J.; Wang, S.; Cheng, D.; Bai, H.; Li, Q. Variability in macroinvertebrate community structure and its response to ecological factors of the Weihe River Basin, China. Ecol. Eng. 2019, 140, 105595. [Google Scholar] [CrossRef]
- Growns, I.; Murphy, J.F.; Jones, J.I. The effects of altered flow and bed sediment on macroinvertebrates in stream mesocosms. Mar. Freshw. Res. 2017, 68, 496–505. [Google Scholar] [CrossRef]
- Li, F.; Chung, N.; Bae, M.J.; Kwon, Y.S.; Park, Y.S. Relationships between stream macroinvertebrates and environmental variables at multiple spatial scales. Freshw. Biol. 2012, 57, 2107–2124. [Google Scholar] [CrossRef]
- Zhang, Y.; Zhang, J.; Wang, L.; Lu, D.; Cai, D.; Wang, B. Influences of dispersal and local environmental factors on stream macroinvertebrate communities in Qinjiang River, Guangxi, China. Aquat. Biol. 2014, 20, 185–194. [Google Scholar] [CrossRef]
Disclaimer/Publisher’s Note: The statements, opinions and data contained in all publications are solely those of the individual author(s) and contributor(s) and not of MDPI and/or the editor(s). MDPI and/or the editor(s) disclaim responsibility for any injury to people or property resulting from any ideas, methods, instructions or products referred to in the content. |
© 2024 by the authors. Licensee MDPI, Basel, Switzerland. This article is an open access article distributed under the terms and conditions of the Creative Commons Attribution (CC BY) license (https://creativecommons.org/licenses/by/4.0/).