Changes in Snow Surface Albedo and Radiative Forcing in the Chilean Central Andes Measured by In Situ and Remote Sensing Data
Abstract
:1. Introduction
2. Materials and Methods
2.1. Study Area
2.2. Database
2.2.1. NUNATAK-1 Laboratory Refuge
2.2.2. MODIS Data Processing
2.2.3. Solar Explorer
2.2.4. Validation of SSA and ISR
2.3. Radiative Forcing
2.3.1. MODIS Dust Radiative Forcing in Snow (MODDRFS)
2.3.2. Santa Barbara DISORT Atmospheric Radiative Transfer (SBDART)
2.3.3. Snow, Ice, and Aerosol Radiative Model (SNICAR)
2.3.4. Estimation of SSA, D, and RF at NNTK-1
3. Results and Discussion
3.1. Data Validation
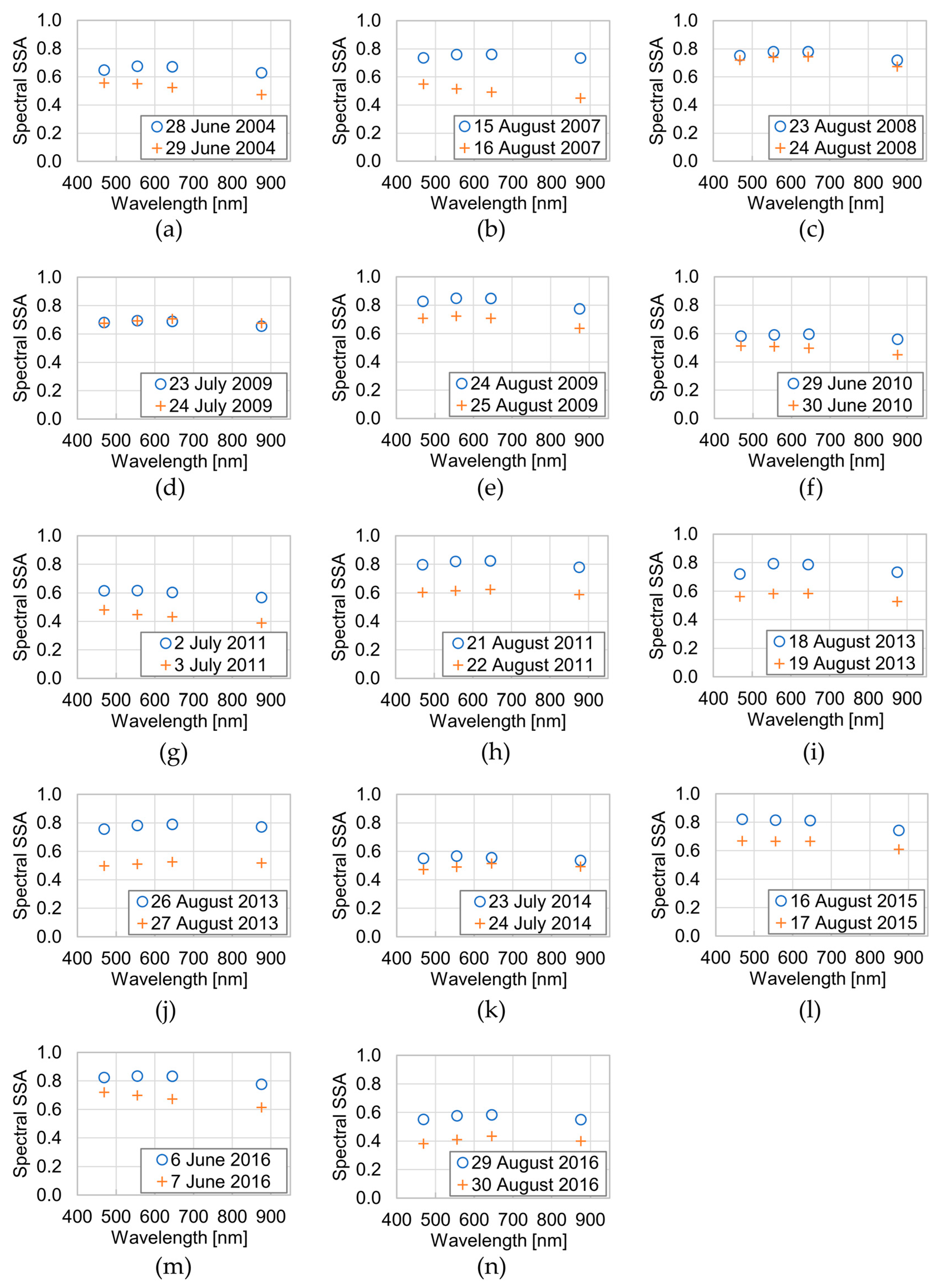
3.2. Temporal Analysis of SSA, D(λ), and RF during the 2004–2016 Period at NNTK-1
4. Conclusions
Author Contributions
Funding
Data Availability Statement
Acknowledgments
Conflicts of Interest
Abbreviations
| BC | Black carbon |
| Bbr | Broadband range |
| CETAM | Centre for Environmental Technologies |
| D | Difference between SSAfresh and SSAeffective |
| DBbr | D in the broadband range |
| DEcr | D in the enclosed range |
| DIRF | Daily integrated radiative forcing |
| DIRFBbr | DIRF in the broadband range |
| DIRFEcr | DIRF in the enclosed range |
| Ecr | Enclosed range |
| ISR | Incident shortwave radiation |
| LAPs | Light-absorbing particles |
| MODIS | Moderate Resolution Imaging Spectroradiometer |
| M*D10A1 | Refers to both MOD10A1 and MYD10A1, remote sensing products used to estimate SSABbr |
| M*D09GA | Refers to both MOD09GA and MYD09GA, remote sensing products used to estimate SSAEcr |
| NUNATAK-1 | Refuge laboratory operated by CETAM |
| RF | Radiative Forcing due to SSA decreasing |
| SE | Solar Explorer |
| SSA | Surface snow albedo |
| SSABbr | SSA in the broadband range |
| SSAfresh | SSA in fresh condition (pure and clean) |
| SSAeffective | SSA effective estimated with M*D10A1 and M*D09GA |
| SSAin situ | SSA measured in situ by NUNATAK-1 |
| UARB | Upper Aconcagua River Basin |
Appendix A




References
- Beres, N.D.; Lapuerta, M.; Cereceda-Balic, F.; Moosmüller, H. Snow Surface Albedo Sensitivity to Black Carbon: Radiative Transfer Modelling. Atmosphere 2020, 11, 1077. [Google Scholar] [CrossRef]
- Barry, R.G.; Armstrong, R.; Callaghan, T.; Cherry, J.; Gearheard, S.; Nolin, A.; Russell, D.; Zöcler, C. Global Outlook for Ice & Snow; UNEP: Nairobi, Kenya, 2007. [Google Scholar]
- IPCC. Climate Change 2007: Impacts, Adaptation and Vulnerability: Contribution of Working Group II to the Fourth Assessment Report of the Intergovernmental Panel; IPCC: Geneva, Switzerland, 2007. [Google Scholar]
- IPCC. Climate Change 2013: The Physical Science Basis. Contribution of Working Group I to the Fifth Assessment Report of the Intergovernmental Panel on Climate Change; Cambridge University Press: Cambridge, UK; New York, NY, USA, 2013; p. 1535. [Google Scholar]
- Xu, L.; Dirmeyer, P. Snow—Atmosphere Coupling Strength. Part II: Albedo Effect Versus Hydrological Effect. J. Hydrometeorol. 2013, 14, 404–418. [Google Scholar] [CrossRef]
- Gardner, A.S.; Sharp, M.J. A Review of Snow and Ice Albedo and the Development of a New Physically Based Broadband Albedo Parameterization. J. Geophys. Res. Earth Surf. 2010, 115, F01009. [Google Scholar] [CrossRef]
- Beres, N.D.; Sengupta, D.; Samburova, V.; Khlystov, A.Y.; Moosmüller, H. Deposition of Brown Carbon onto Snow: Changes in Snow Optical and Radiative Properties. Atmos. Chem. Phys. 2020, 20, 6095–6114. [Google Scholar] [CrossRef]
- Warren, S.G.; Wiscombe, W.J. A Model for the Spectral Albedo of Snow. II: Snow Containing Atmospheric Aerosols. J. Atmos. Sci. 1980, 37, 2734–2745. [Google Scholar] [CrossRef]
- Hadley, O.L.; Kirchstetter, T.W. Black-Carbon Reduction of Snow Albedo. Nat. Clim. Chang. 2012, 2, 437–440. [Google Scholar] [CrossRef]
- He, C.; Takano, Y.; Liou, K.N.; Yang, P.; Li, Q.; Chen, F. Impact of Snow Grain Shape and Black Carbon-Snow Internal Mixing on Snow Optical Properties: Parameterizations for Climate Models. J. Clim. 2017, 30, 10019–10036. [Google Scholar] [CrossRef]
- Bond, T.C.; Doherty, S.J.; Fahey, D.W.; Forster, P.M.; Berntsen, T.; DeAngelo, B.J.; Flanner, M.G.; Ghan, S.; Kärcher, B.; Koch, D.; et al. Bounding the Role of Black Carbon in the Climate System: A Scientific Assessment. J. Geophys. Res. Atmos. 2013, 118, 5380–5552. [Google Scholar] [CrossRef]
- Skiles, S.M.K.; Painter, T. Daily Evolution in Dust and Black Carbon Content, Snow Grain Size, and Snow Albedo during Snowmelt, Rocky Mountains, Colorado. J. Glaciol. 2017, 63, 118–132. [Google Scholar] [CrossRef]
- Painter, T.H.; Skiles, S.M.; Deems, J.S.; Bryant, A.C.; Landry, C.C. Dust Radiative Forcing in Snow of the Upper Colorado River Basin: 1. A 6 Year Record of Energy Balance, Radiation, and Dust Concentrations. Water Resour. Res. 2012, 48, W07521. [Google Scholar] [CrossRef]
- Dang, C.; Warren, S.G.; Fu, Q.; Doherty, S.J.; Sturm, M.; Su, J. Measurements of Light-Absorbing Particles in Snow across the Arctic, North America, and China: Effects on Surface Albedo. J. Geophys. Res. Atmos. 2017, 122, 10149–10168. [Google Scholar] [CrossRef]
- Skiles, S.M.K.; Flanner, M.; Cook, J.M.; Dumont, M.; Painter, T.H. Radiative Forcing by Light-Absorbing Particles in Snow. Nat. Clim. Chang. 2018, 8, 964–971. [Google Scholar] [CrossRef]
- Hansen, J.; Nazarenko, L. Soot Climate Forcing via Snow and Ice Albedos. Proc. Natl. Acad. Sci. USA 2004, 101, 423–428. [Google Scholar] [CrossRef] [PubMed]
- Bryant, A.; Painter, T.H.; Deems, J.; Bender, S.M. Hydrologic Response to Dust Radiative Forcing in Snow in the Upper Colorado River Basin. Geophys. Res. Lett. 2013, 40, 3945–3949. [Google Scholar] [CrossRef]
- Jacobi, H.W.; Lim, S.; Ménégoz, M.; Ginot, P.; Laj, P.; Bonasoni, P.; Stocchi, P.; Marinoni, A.; Arnaud, Y. Black Carbon in Snow in the Upper Himalayan Khumbu Valley, Nepal: Observations and Modeling of the Impact on Snow Albedo, Melting, and Radiative Forcing. Cryosphere 2015, 9, 1685–1699. [Google Scholar] [CrossRef]
- Santra, S.; Verma, S.; Fujita, K.; Chakraborty, I.; Boucher, O.; Takemura, T.; Burkhart, J.F.; Matt, F.; Sharma, M. Simulations of Black Carbon (BC) Aerosol Impact over Hindu Kush Himalayan Sites: Validation, Sources, and Implications on Glacier Runoff. Atmos. Chem. Phys. 2019, 19, 2441–2460. [Google Scholar] [CrossRef]
- Petzold, A.; Ogren, J.A.; Fiebig, M.; Laj, P.; Li, S.M.; Baltensperger, U.; Holzer-Popp, T.; Kinne, S.; Pappalardo, G.; Sugimoto, N.; et al. Recommendations for Reporting Black Carbon Measurements. Atmos. Chem. Phys. 2013, 13, 8365–8379. [Google Scholar] [CrossRef]
- Lapuerta, M.; González-Correa, S.; Ballesteros, R.; Cereceda-Balic, F.; Moosmüller, H. Albedo Reduction for Snow Surfaces Contaminated with Soot Aerosols: Comparison of Experimental Results and Models. Aerosol Sci. Technol. 2022, 56, 847–858. [Google Scholar] [CrossRef]
- Lee, W.L.; Liou, K.N.; He, C.; Liang, H.C.; Wang, T.C.; Li, Q.; Liu, Z.; Yue, Q. Impact of Absorbing Aerosol Deposition on Snow Albedo Reduction over the Southern Tibetan Plateau Based on Satellite Observations. Theor. Appl. Climatol. 2017, 129, 1373–1382. [Google Scholar] [CrossRef]
- Zhong, X.; Kang, S.; Zhang, W.; Yang, J.; Li, X.; Zhang, Y.; Liu, Y.; Chen, P. Light-Absorbing Impurities in Snow Cover across Northern Xinjiang, China. J. Glaciol. 2019, 65, 940–956. [Google Scholar] [CrossRef]
- Saleh, R.; Robinson, E.S.; Tkacik, D.S.; Ahern, A.T.; Liu, S.; Aiken, A.C.; Sullivan, R.C.; Presto, A.A.; Dubey, M.K.; Yokelson, R.J.; et al. Brownness of Organics in Aerosols from Biomass Burning Linked to Their Black Carbon Content. Nat. Geosci. 2014, 7, 647–650. [Google Scholar] [CrossRef]
- Brown, H.; Wang, H.; Flanner, M.; Liu, X.; Singh, B.; Zhang, R.; Yang, Y.; Wu, M. Brown Carbon Fuel and Emission Source Attributions to Global Snow Darkening Effect. J. Adv. Model. Earth Syst. 2022, 14, e2021MS002768. [Google Scholar] [CrossRef]
- Moosmüller, H.; Chakrabarty, R.K.; Arnott, W.P. Aerosol Light Absorption and Its Measurement: A Review. J. Quant. Spectrosc. Radiat. Transf. 2009, 110, 844–878. [Google Scholar] [CrossRef]
- Cereceda-Balic, F.; Ruggeri, M.F.; Vidal, V.; Ruiz, L.; Fu, J.S. Understanding the Role of Anthropogenic Emissions in Glaciers Retreat in the Central Andes of Chile. Environ. Res. 2022, 214, 113756. [Google Scholar] [CrossRef] [PubMed]
- Painter, T.H.; Deems, J.S.; Belnap, J.; Hamlet, A.F.; Landry, C.C.; Udall, B. Response of Colorado River Runoff to Dust Radiative Forcing in Snow. Proc. Natl. Acad. Sci. USA 2010, 107, 17125–17130. [Google Scholar] [CrossRef] [PubMed]
- Di Mauro, B.; Garzonio, R.; Rossini, M.; Filippa, G.; Pogliotti, P.; Galvagno, M.; Morra Di Cella, U.; Migliavacca, M.; Baccolo, G.; Clemenza, M.; et al. Saharan Dust Events in the European Alps: Role in Snowmelt and Geochemical Characterization. Cryosphere 2019, 13, 1147–1165. [Google Scholar] [CrossRef]
- Shugar, D.H.; Jacquemart, M.; Shean, D.; Bhrushan, S.; Upadhyay, K.; Sattar, A.; Schwanghart, W.; McBride, S.; de Vires, M.V.W.; Mergili, M.; et al. A Massive Rock and Ice Avalanche Caused the 2021 Disaster at Chamoli, Indian Himalaya. Science 2021, 373, 300–373. [Google Scholar] [CrossRef]
- Bolaño-Ortiz, T.R.; Pascual-Flores, R.M.; López-Noreña, A.I.; Ruggeri, M.F.; Lakkis, S.G.; Fernández, R.P.; Puliafito, S.E. Assessment of Absorbing Aerosols on Austral Spring Snow Albedo Reduction by Several Basins in the Central Andes of Chile from Daily Satellite Observations (2000–2016) and a Case Study with the WRF-Chem Model. SN Appl. Sci. 2019, 1, 1352. [Google Scholar] [CrossRef]
- Cordero, R.R.; Sepúlveda, E.; Feron, S.; Wang, C.; Damiani, A.; Fernandoy, F.; Neshyba, S.; Rowe, P.M.; Asencio, V.; Carrasco, J.; et al. Black Carbon in the Southern Andean Snowpack. Environ. Res. Lett. 2022, 17, 044042. [Google Scholar] [CrossRef]
- Cereceda-Balic, F.; Vidal, V.; Moosmüller, H.; Lapuerta, M. Reduction of Snow Albedo from Vehicle Emissions at Portillo, Chile. Cold Reg. Sci. Technol. 2018, 146, 43–52. [Google Scholar] [CrossRef]
- Rowe, P.M.; Cordero, R.R.; Warren, S.G.; Stewart, E.; Doherty, S.J.; Pankow, A.; Schrempf, M.; Casassa, G.; Carrasco, J.; Pizarro, J.; et al. Black Carbon and Other Light-Absorbing Impurities in Snow in the Chilean Andes. Sci. Rep. 2019, 9, 4008. [Google Scholar] [CrossRef] [PubMed]
- Malmros, J.K.; Mernild, S.H.; Wilson, R.; Tagesson, T.; Fensholt, R. Snow Cover and Snow Albedo Changes in the Central Andes of Chile and Argentina from Daily MODIS Observations (2000–2016). Remote Sens. Environ. 2018, 209, 240–252. [Google Scholar] [CrossRef]
- Pu, W.; Cui, J.; Shi, T.; Zhang, X.; He, C.; Wang, X. The Remote Sensing of Radiative Forcing by Light-Absorbing Particles (LAPs) in Seasonal Snow over Northeastern China. Atmos. Chem. Phys. 2019, 19, 9949–9968. [Google Scholar] [CrossRef]
- Dowson, A.J.; Sirguey, P.; Cullen, N.J. Variability in Glacier Albedo and Links to Annual Mass Balance for the Gardens of Eden and Allah, Southern Alps, New Zealand. Cryosphere 2020, 14, 3425–3448. [Google Scholar] [CrossRef]
- Molina, L.T.; Andrade, M.; Baumgardner, D.; Casassa, G.; Dawidowski, L.; Garreaud, R.; Huneeus, N.; Lambert, F. Pollution and Its Impacts on the South American Cryosphere. Earth’s Futur. 2015, 3, 345–369. [Google Scholar] [CrossRef]
- Sharma, S.; Richard Leaitch, W.; Huang, L.; Veber, D.; Kolonjari, F.; Zhang, W.; Hanna, S.J.; Bertram, A.K.; Ogren, J.A. An Evaluation of Three Methods for Measuring Black Carbon in Alert, Canada. Atmos. Chem. Phys. 2017, 17, 15225–15243. [Google Scholar] [CrossRef]
- Painter, T.H.; Bryant, A.C.; Skiles, S.M. Radiative Forcing by Light Absorbing Impurities in Snow from MODIS Surface Reflectance Data. Geophys. Res. Lett. 2012, 39. [Google Scholar] [CrossRef]
- Miller, S.D.; Wang, F.; Burgess, A.B.; McKenzie Skiles, S.; Rogers, M.; Painter, T.H. Satellite-Based Estimation of Temporally Resolved Dust Radiative Forcing in Snow Cover. J. Hydrometeorol. 2016, 17, 1999–2011. [Google Scholar] [CrossRef]
- Bown, F.; Rivera, A.; Acuña, C. Recent Glacier Variations at the Aconcagua Basin, Central Chilean Andes. Ann. Glaciol. 2008, 48, 43–48. [Google Scholar] [CrossRef]
- Falvey, M.; Garreaud, R.D. Wintertime Precipitation Episodes in Central Chile: Associated Meteorological Conditions and Orographic Influences. J. Hydrometeorol. 2007, 8, 171–193. [Google Scholar] [CrossRef]
- Garreaud, R.D.; Boisier, J.P.; Rondanelli, R.; Montecinos, A.; Veloso-aguila, H.H.S.D. The Central Chile Mega Drought (2010–2018): A Climate Dynamics Perspective. Int. J. Clim. 2020, 40, 421–439. [Google Scholar] [CrossRef]
- Saavedra, F.A.; Kampf, S.K.; Fassnacht, S.R.; Sibold, J.S. Changes in Andes Snow Cover from MODIS Data, 2000–2016. Cryosphere 2018, 12, 1027–1046. [Google Scholar] [CrossRef]
- Dussaillant, I.; Berthier, E.; Brun, F.; Masiokas, M.; Hugonnet, R.; Favier, V.; Rabatel, A.; Pitte, P.; Ruiz, L. Two Decades of Glacier Mass Loss along the Andes. Nat. Geosci. 2019, 12, 802–808. [Google Scholar] [CrossRef]
- Cereceda-Balic, F.; Vidal, V.; Moosmüller, H. Long-Time Atmospheric Monitoring Data, Snow Albedo and BC in Snow Measured in Portillo, Los Andes Mountains, Chile. In Proceedings of the Air & Waste Management Association’s 112th Conference & Exhibition (ACE 2019), Quebec City, QC, Canada, 25–28 June 2019. [Google Scholar]
- Hall, D.K.; Riggs, G.A.; Salomonson, V.V.; DiGirolamo, N.E.; Bayr, K.J. MODIS Snow-Cover Products. Remote Sens. Environ. 2002, 83, 181–194. [Google Scholar] [CrossRef]
- Jing, J.; Wu, Y.; Tao, J.; Che, H.; Xia, X.; Zhang, X.; Yan, P.; Zhao, D.; Zhang, L. Observation and Analysis of Near-Surface Atmospheric Aerosol Optical Properties in Urban Beijing. Particuology 2015, 18, 144–154. [Google Scholar] [CrossRef]
- Molina, A.; Falvey, M.; Rondanelli, R. A Solar Radiation Database for Chile. Sci. Rep. 2017, 7, 14823. [Google Scholar] [CrossRef]
- Chou, M.-D.; Suarez, M. A Solar Radiation Parameterization (CLIRAD-SW) for Atmospheric Studies. NASA Tech. Memo 1999, 40, 10460. [Google Scholar]
- Kopp, G.; Lawrence, G.; Rottman, G. The Total Irradiance Monitor (TIM): Science Results. Sol. Phys. 2005, 230, 129–139. [Google Scholar] [CrossRef]
- Van Zyl, J.J. The Shuttle Radar Topography Mission (SRTM): A Breakthrough in Remote Sensing of Topography. Acta Astronaut. 2001, 48, 559–565. [Google Scholar] [CrossRef]
- Mukul, M.; Srivastava, V.; Jade, S.; Mukul, M. Uncertainties in the Shuttle Radar Topography Mission (SRTM) Heights: Insights from the Indian Himalaya and Peninsula. Sci. Rep. 2017, 7, 41672. [Google Scholar] [CrossRef]
- Hillger, D.W.; Schmit, T.J. Observing Systems: The GOES-13 Science Test: A Synopsis. Bull. Am. Meteorol. Soc. 2009, 90, 592–597. [Google Scholar] [CrossRef]
- Flanner, M.G.; Arnheim, J.B.; Cook, J.M.; Dang, C.; He, C.; Huang, X.; Singh, D.; Skiles, S.M.; Whicker, C.A.; Zender, C.S. SNICAR-ADv3: A Community Tool for Modeling Spectral Snow Albedo. Geosci. Model Dev. 2021, 14, 7673–7704. [Google Scholar] [CrossRef]
- Ricchiazzi, P.; Yang, S.; Gautier, C.; Sowle, D. SBDART: A Research and Teaching Software Tool for Plane-Parallel Radiative Transfer in the Earth’s Atmosphere. Bull. Am. Meteorol. Soc. 1998, 79, 2101–2114. [Google Scholar] [CrossRef]
- Obregón, M.A.; Serrano, A.; Costa, M.J.; Silva, A.M. Validation of LibRadtran and SBDART Models under Different Aerosol Conditions. IOP Conf. Ser. Earth Environ. Sci. 2015, 28, 012010. [Google Scholar] [CrossRef]
- Fu, Y.; Zhu, J.; Yang, Y.; Yuan, R.; Liu, G.; Xian, T.; Liu, P. Grid-Cell Aerosol Direct Shortwave Radiative Forcing Calculated Using the SBDART Model with MODIS and AERONET Observations: An Application in Winter and Summer in Eastern China. Adv. Atmos. Sci. 2017, 34, 952–964. [Google Scholar] [CrossRef]
- Flanner, M.G.; Zender, C.S.; Randerson, J.T.; Rasch, P.J. Present-Day Climate Forcing and Response from Black Carbon in Snow. J. Geophys. Res. 2007, 112, D11202. [Google Scholar] [CrossRef]
- Dang, C.; Fu, Q.; Warren, S.G. Effect of Snow Grain Shape on Snow Albedo. J. Atmos. Sci. 2016, 73, 3573–3583. [Google Scholar] [CrossRef]
- Cornwell, E.; Molotch, N.P.; McPhee, J. Spatio-Temporal Variability of Snow Water Equivalent in the Extra-Tropical Andes Cordillera from Distributed Energy Balance Modeling and Remotely Sensed Snow Cover. Hydrol. Earth Syst. Sci. 2016, 20, 411–430. [Google Scholar] [CrossRef]
- Picard, G.; Libois, Q.; Arnaud, L. Refinement of the Ice Absorption Spectrum in the Visible Using Radiance Profile Measurements in Antarctic Snow. Cryosphere 2016, 10, 2655–2672. [Google Scholar] [CrossRef]
- Chen, A.; Li, W.; Li, W.; Liu, X. An observational study of snow aging and the seasonal variation of snow albedo by using data from Col de Porte, France. Chin. Sci. Bull. 2014, 59, 4881–4889. [Google Scholar] [CrossRef]
- Zhou, X.; Li, S.; Stamnes, K. Effects of vertical inhomogeneity on snow spectral albedo and its implication for optical remote sensing of snow. J. Geophys. Res. 2003, 108, 4738. [Google Scholar] [CrossRef]
- Wiscombe, W.J.; Warren, S.G. A Model for the Spectral Albedo of Snow. I: Pure Snow. J. Atmos. Sci. 1980, 37, 2712–2733. [Google Scholar] [CrossRef]
- Cereceda-Balic, F.; Vidal, V.; Ruggeri, M.F.; González, H.E. Black Carbon Pollution in Snow and Its Impact on Albedo near the Chilean Stations on the Antarctic Peninsula: First Results. Sci. Total Environ. 2020, 743, 140801. [Google Scholar] [CrossRef] [PubMed]
- Cui, J.; Shi, T.; Zhou, Y.; Wu, D.; Wang, X.; Pu, W. Satellite-Based Radiative Forcing by Light-Absorbing Particles in Snow across the Northern Hemisphere. Atmos. Chem. Phys. 2021, 21, 269–288. [Google Scholar] [CrossRef]
- Warren, S.G. Optical Properties of Snow. Rev. Geophys. 1982, 20, 67–89. [Google Scholar] [CrossRef]
- Panicker, A.S.; Sandeep, K.; Gautam, A.S.; Trimbake, H.K.; Nainwal, H.C.; Beig, G.; Bisht, D.S.; Das, S. Black Carbon over a Central Himalayan Glacier (Satopanth): Pathways and Direct Radiative Impacts. Sci. Total Environ. 2021, 766, 144242. [Google Scholar] [CrossRef]






| Date | SC [%] | SSA [-] | D [-] | DIRF [MJ m−2 d−1] | ||||||
|---|---|---|---|---|---|---|---|---|---|---|
| Bbr | Band 3 | Band 4 | Band 1 | Ecr | Bbr | Ecr | Bbr | Ecr | ||
| 28 June 2004 | 82 | 0.62 | 0.65 | 0.68 | 0.67 | 0.63 | 0.25 | 0.31 | 2.46 | 0.10 |
| 29 June 2004 | 80 | 0.59 | 0.56 | 0.55 | 0.52 | 0.47 | 0.28 | 0.46 | 2.53 | 0.14 |
| 15 August 2007 | 70 | 0.65 | 0.74 | 0.76 | 0.76 | 0.74 | 0.21 | 0.20 | 3.32 | 0.10 |
| 16 August 2007 | 68 | 0.53 | 0.55 | 0.52 | 0.49 | 0.45 | 0.33 | 0.48 | 5.36 | 0.25 |
| 23 August 2008 | 85 | 0.72 | 0.75 | 0.78 | 0.78 | 0.72 | 0.14 | 0.21 | 2.61 | 0.12 |
| 24 August 2008 | 84 | 0.58 | 0.72 | 0.74 | 0.74 | 0.67 | 0.28 | 0.26 | 5.17 | 0.15 |
| 23 July 2009 | 76 | 0.70 | 0.68 | 0.69 | 0.69 | 0.66 | 0.17 | 0.28 | 2.08 | 0.11 |
| 24 July 2009 | 69 | 0.56 | 0.68 | 0.69 | 0.71 | 0.68 | 0.31 | 0.26 | 4.09 | 0.11 |
| 24 August 2009 | 84 | 0.75 | 0.83 | 0.85 | 0.85 | 0.77 | 0.11 | 0.16 | 0.99 | 0.04 |
| 25 August 2009 | 81 | 0.54 | 0.71 | 0.72 | 0.71 | 0.64 | 0.32 | 0.30 | 5.79 | 0.17 |
| 29 June 2010 | 80 | 0.55 | 0.58 | 0.59 | 0.59 | 0.56 | 0.32 | 0.38 | 3.19 | 0.12 |
| 30 June 2010 | 74 | 0.55 | 0.51 | 0.51 | 0.50 | 0.45 | 0.32 | 0.49 | 3.19 | 0.16 |
| 2 July 2011 | 79 | 0.57 | 0.62 | 0.62 | 0.60 | 0.57 | 0.30 | 0.37 | 2.70 | 0.11 |
| 3 July 2011 | 76 | 0.49 | 0.48 | 0.45 | 0.43 | 0.39 | 0.38 | 0.55 | 3.64 | 0.17 |
| 21 August 2011 | 76 | 0.74 | 0.80 | 0.82 | 0.82 | 0.78 | 0.12 | 0.15 | 2.21 | 0.09 |
| 22 August 2011 | 72 | 0.48 | 0.60 | 0.61 | 0.62 | 0.59 | 0.38 | 0.34 | 7.07 | 0.20 |
| 18 August 2013 | 85 | 0.81 | 0.72 | 0.79 | 0.79 | 0.73 | 0.05 | 0.20 | 0.90 | 0.11 |
| 19 August 2013 | 82 | 0.51 | 0.56 | 0.58 | 0.58 | 0.53 | 0.35 | 0.40 | 6.01 | 0.22 |
| 26 August 2013 | 75 | 0.70 | 0.76 | 0.78 | 0.79 | 0.77 | 0.16 | 0.16 | 3.03 | 0.09 |
| 27 August 2013 | 69 | 0.42 | 0.50 | 0.51 | 0.53 | 0.52 | 0.44 | 0.41 | 8.31 | 0.24 |
| 23 July 2014 | 77 | 0.58 | 0.55 | 0.57 | 0.56 | 0.54 | 0.29 | 0.40 | 3.21 | 0.14 |
| 24 July 2014 | 74 | 0.42 | 0.47 | 0.49 | 0.51 | 0.49 | 0.45 | 0.45 | 5.27 | 0.17 |
| 16 August 2015 | 83 | 0.73 | 0.82 | 0.81 | 0.81 | 0.74 | 0.13 | 0.19 | 2.19 | 0.10 |
| 17 August 2015 | 78 | 0.53 | 0.67 | 0.67 | 0.66 | 0.61 | 0.33 | 0.32 | 5.73 | 0.17 |
| 6 June 2016 | 75 | 0.80 | 0.83 | 0.83 | 0.83 | 0.78 | 0.07 | 0.16 | 0.69 | 0.05 |
| 7 June 2016 | 76 | 0.76 | 0.72 | 0.70 | 0.67 | 0.61 | 0.11 | 0.32 | 1.11 | 0.11 |
| 29 August 2016 | 75 | 0.54 | 0.55 | 0.58 | 0.58 | 0.55 | 0.32 | 0.38 | 6.24 | 0.23 |
| 30 August 2016 | 75 | 0.32 | 0.38 | 0.41 | 0.43 | 0.40 | 0.54 | 0.53 | 7.42 | 0.23 |
Disclaimer/Publisher’s Note: The statements, opinions and data contained in all publications are solely those of the individual author(s) and contributor(s) and not of MDPI and/or the editor(s). MDPI and/or the editor(s) disclaim responsibility for any injury to people or property resulting from any ideas, methods, instructions or products referred to in the content. |
© 2023 by the authors. Licensee MDPI, Basel, Switzerland. This article is an open access article distributed under the terms and conditions of the Creative Commons Attribution (CC BY) license (https://creativecommons.org/licenses/by/4.0/).
Share and Cite
Figueroa-Villanueva, L.; Castro, L.; Bolaño-Ortiz, T.R.; Flores, R.P.; Pacheco-Ferrada, D.; Cereceda-Balic, F. Changes in Snow Surface Albedo and Radiative Forcing in the Chilean Central Andes Measured by In Situ and Remote Sensing Data. Water 2023, 15, 3198. https://doi.org/10.3390/w15183198
Figueroa-Villanueva L, Castro L, Bolaño-Ortiz TR, Flores RP, Pacheco-Ferrada D, Cereceda-Balic F. Changes in Snow Surface Albedo and Radiative Forcing in the Chilean Central Andes Measured by In Situ and Remote Sensing Data. Water. 2023; 15(18):3198. https://doi.org/10.3390/w15183198
Chicago/Turabian StyleFigueroa-Villanueva, Luis, Lina Castro, Tomás R. Bolaño-Ortiz, Raúl P. Flores, Diego Pacheco-Ferrada, and Francisco Cereceda-Balic. 2023. "Changes in Snow Surface Albedo and Radiative Forcing in the Chilean Central Andes Measured by In Situ and Remote Sensing Data" Water 15, no. 18: 3198. https://doi.org/10.3390/w15183198
APA StyleFigueroa-Villanueva, L., Castro, L., Bolaño-Ortiz, T. R., Flores, R. P., Pacheco-Ferrada, D., & Cereceda-Balic, F. (2023). Changes in Snow Surface Albedo and Radiative Forcing in the Chilean Central Andes Measured by In Situ and Remote Sensing Data. Water, 15(18), 3198. https://doi.org/10.3390/w15183198

