Abstract
For the first time, the size spectra of 28 chironomid genera/species are reported for the most common chironomid taxa in the deep subalpine Lake Maggiore (northwestern Italy). Species-specific length–mass regression models were developed to predict the dry masses of the larval stages of Cladotanytarsus sp., Cryptochironomus sp., Polypedilum bicrenatum, P. nubeculosum, and Stictochironomus pictulus. The predicted dry-mass values differed by less than 20% from the measured values, suggesting that these original equations will be important in chironomid production studies. Regressions at the subfamily level were also developed for case identification at the genus or species level, which is difficult to obtain. The chironomid weights were determined directly and a dry/wet-weight-conversion ratio was estimated. The results were consistent with previously reported results. The relationships between the dry masses and the body lengths were compared with published data for different types of lake all over the world. We found that regression models for other freshwater environments somehow differed from those in Lake Maggiore, albeit slightly. The combination of diversity-based and trait-based approaches improves our knowledge about chironomids and our understanding of the effects of global environmental changes on freshwater biota. This first collection of trait data on summer–autumn chironomid assemblages in a temperate subalpine lake is a valuable contribution to the European trait database. The taxonomic diversity and abundance of chironomids were uploaded for open access on the GBIF platform.
1. Introduction
A growing body of research demonstrates the ecological significance of chironomids, the most commonly occurring dipteran family in all types of aquatic habitat worldwide, including extreme environments, such as hot springs, sub-desert steppes, ice-cold glacial trickles, subarctic lakes, and high mountains [,,,]. The Chironomidae are not only the most diverse family, with more than 8000 species [,], but are also very often the most abundant group among freshwater macroinvertebrates. They are widely recognised as some of the best biological indicators of water and habitat quality and climate conditions in freshwater systems [,,,,,,]. Chironomids also seem to be sensitive to amplified water-level fluctuations [,]. Most of the relevant publications refer to Chironomidae as a useful taxon for the assessment of the ecological status of aquatic ecosystems []. Chironomids are also important indicators of the productivity and population dynamics of leading consumers in the food web [,,]. By consuming fine organic particles and transferring nutrients and energy to upper trophic levels, including other invertebrates, amphibians, fish, and birds, these organisms are keystone elements in organic-matter redistribution [,,]. As chironomids have life cycles involving morphologically different stages (e.g., four-instar larvae, pupae, and adults), when shifting from one stage to another or specifically from aquatic larvae to aerial adults, chironomids also contribute to the energy transfer from the benthic detritus food web to pelagic and terrestrial food webs [,,,]. The functional traits of chironomid larvae, e.g., feeding habits, have so far been studied primarily by Serra et al. [,]. Although larval feeding habits depend on many factors, such as the larval size and food quality, quantity, and availability [], each species seems to have specific requirements, which are often associated with its habitat type. However, it has been recognised that most chironomids are not restricted to a single feeding behaviour [,,]. Considering that their biomass mirrors their stored energy [] and can be a reliable proxy for secondary production, this functional trait may be particularly significant in lacustrine environments where other invertebrate groups are uncommon. This is exactly the case in the temperate Lake Maggiore, one of the largest and deepest southern subalpine lakes in Italy []. Chironomid biomass can be evaluated by well-known traditional methods applied in ecology, such as the direct measurement of the wet weights of fresh, preserved, or frozen animals [], or indirectly, through the determination of the biovolume and length–mass conversion []. The latter is a time-saving tool, and it is more precise than other techniques; hence, it is one of the most commonly applied methods for estimating benthic invertebrate biomass in freshwater ecological studies [,]. Significant variability among published models using length–mass relationships for the same species in different geographic regions possibly caused by variability in environmental and trophic conditions, populations genetics [,,,], or methodological differences [], urgently require not only taxon-specific relationships but also environment-specific relationships.
Chironomids are extremely frequent and diverse in Italian lakes, where a total of 580 species are known to occur [,]. The lack of substantial differences in species composition on the northern and southern sides of the Alps suggests that the Alps are not a zoogeographical barrier to chironomids [,,]. Despite several past and recently published taxonomic studies [,,,,], there is still a considerable gap in knowledge about their size and frequency distribution in the deep subalpine Lake Maggiore. One of the crucial questions that still requires an answer is the size pattern in terms of the length and mass of the most common chironomid taxa in the lake.
The main aim of this study was therefore to provide specific length–mass relationships for the most common genera/species of chironomids. To fulfil the requirements of sound length–mass relationships, our research first aimed to collect data on the size and body mass of as many larvae as possible. To develop the regression models, we hypothesised that trait information at the genus/species level is homogenous in the whole lake. Finally, we compared the obtained length–mass data with previously published relationships from other regions hypothesising that the species-specific regression models for temperate lakes most likely differ from those developed for other regions and lake types.
2. Materials and Methods
2.1. Sampling Area and Sampling Strategy
Chironomids were sampled from the Lake Maggiore littoral zones. The lake has been studied since the beginning of the last century, but extensive and regular multidisciplinary research has been carried out since the late 1970s, funded by the International Commission for the Protection of Swiss–Italian Waters (Commissione Internazionale per la Protezione delle Acque Italo-Svizzere, CIPAIS: www.cipais.org (accessed on 20 June 2023)). Long-term investigations are also carried out in the framework of the LTER (Long-Term Ecological Research) and the Italian network site, “IT-08 Southern Alpine lakes” (http://www.lteritalia.it/ (accessed on 22 June 2023)). Lake Maggiore is currently suffering from a trend of increasing global heat, which is mainly highlighted by gradual warming of the hypolimnion []. The lake is oligotrophic, deep, oligomictic, and temperate, with cold and dry winters and warm summers, although these are influenced by the Alps. The littoral zone is affected by water-level fluctuations (WLFs), which result from concomitant effects of climate variability (precipitation and warming) and human management by the Miorina dam, which was built between 1938 and 1942 at the Lake Maggiore outlet (River Ticino). The regulation of the lake’s outflow from March to October is conducted to ensure water supply for industry, agriculture, and hydro-power production []. The shoreline is shared between two Italian regions (Piedmont and Lombardy) and the Swiss Canton Tessin. Main characteristics of the lake are presented in Table 1.

Table 1.
Main morphometric and hydrological features of the deep and temperate Lake Maggiore.
This study was performed within the frame of the Project INTERREG V-A Italy-Switzerland 2014-2020 Project “ParchiVerbanoTicino” (PVT, ID: 481668), aiming to establish the consequences of water-level management for the littoral ecosystem and downstream river areas. The sampling campaigns were performed during the summer–autumn season over three consecutive years (from 2019 to 2021) at three sites located in the northern, central, and southern parts of the lake. The sites of interest were located in three protected areas: the first (the northern site) was located in Switzerland, around the mouths of the rivers Ticino and Verzasca, named Bolle di Magadino cantonal nature reserve, one of the nine internationally recognised floodplain landscapes in Switzerland. The other two sites were located in two Italian natural areas, one (the central site) in Fondo Toce Special Nature Reserve in Piedmont, and the other (the southern site) in the natural park of the Ticino Valley (Bruschera Oasis, Lombardy), close to Sesto Calende municipality. The three sampling sites covering the north–south axis of the lake were named as follows: Magadino (M), Fondo Toce (FT) and Sesto Calende (SC) (Figure 1).

Figure 1.
Map of the study area and location with geographic coordinates of sampling sites in Lake Maggiore. Letters in red: M—Magadino; FT—Fondo Toce; SC—Sesto Calende. Italian regions Piedmont and Lombardy, and the Swiss area, are presented in different colours.
Sampling inventory is summarised in Supplementary Material (Table S1).
Macroinvertebrates were collected from littoral sandy substrates by semi-quantitative sampling through a handled net (24 cm × 24 cm, area of each replicate 576 cm2) equipped with a 250-micrometer-mesh net and fixed with 80% ethanol (see 15 for detailed methodological description). In order to overcome the natural heterogeneity in the littoral zone of the lake and to cover a broad range of habitats that effectively represented the taxon’s natural distribution in the lake, six replicates were collected at each site at depths between 0.50 m and 1.10 m. We determined each sampling site as unique, taking together all six replicates per site (Table S1). Data on chironomid abundance at each site are open-access [] and were uploaded on the GBIF platform.
In the laboratory, the whole samples were sorted under a stereo-microscope and all organisms were subdivided into main taxonomic groups. Specimens were identified at species level, whenever possible, while the genus level was considered when available material hindered species identification (presence of immature or poorly preserved specimens). Only larval stages of chironomids were considered, adults were not captured, and pupae were not found with the adopted sampling methodology. Density and abundance were expressed as percentages of the total number of chironomids (relative abundance).
Chironomid larvae were first snapshotted by digital camera Optika and ProView Digital Camera Software (Optika, S.r.l., Ponteranica, Italy). Morphological traits: head length (HL, mm), head width (HW, mm), body length (BL, mm), and body total length (TL, mm) were measured by ImageJ free software (Wayne Rasband & contributors, NIH, Bethesda, MD, USA, v.1.53e) to the nearest 0.01 mm. Total length (TL) was measured from the anal setae to the beginning of the head capsule (BL) plus the length of the head capsule (HL), from the back end to the front end of the head capsule. Head-capsule width (HW) was set to the widest point of the head capsule []. Some individuals were then wet-weighed (WW, mg) with Mettler Toledo XP105DR balance (readability 0.01 mg).
All larvae were identified at genus/species level using keys to European Chironomidae larvae []. Each head capsule was mounted with its ventral side uppermost using water as the mounting medium, after which they were identified under a microscope (Zeiss Axiolab 1000×) [,]. Immediately after this step, the whole body (including the head capsule recovered from the slide) was placed in a single pre-weighed aluminium crucible and then placed in a stove at 75 °C. After 48 h, the crucibles were weighed by electronic microbalance, Sartorius M3P (0.001 mg), and the dry weight (DW, mg) of each individual was acquired.
The number of measured and weighed individuals by genus/species is in Supplementary Material (Table S2).
2.2. Data Analysis
A taxonomic (diversity) approach was used to characterise chironomid assemblages, including the following: measurements of taxonomic diversity, relative abundance (%), total and mean abundances (ind. m−2), and taxonomic richness for each sampling site. Alpha diversity [] was expressed as the number of chironomid genera/species (S) present at each sampling site. The Shannon diversity index (H), which accounted for both abundance and evenness of the species, was also calculated as (1):
where (pi) is the proportion of each species divided by the total number of individuals found []. Shannon’s equitability E(H) (the evenness with which individuals were divided among taxa), in the range between 0 and 1, was applied to H, calculated by dividing the value of H to lnS. Beta diversity (β), which reflects community differentiation [], was calculated to define the variation in diversity of chironomid assemblages among the sites. We used a presence/absence taxa matrix to measure dissimilarities between pairs of sampling sites to demonstrate the unique taxa per site in a pair. The higher the beta diversity, the higher the number of different taxa and the lower the level of similarity between the assemblages of the sites.
Trait approach (morphological and functional traits) was also applied. Size- and mass-frequency distribution of subfamilies and of most common taxa in the lake were analysed. Box-whisker plots to reveal data dispersion, including minimum, maximum, first quartile, median, third quartile, and outliers, plotted as individual points, were also prepared.
Larval weight was correlated with body-length measurements by the most commonly used model for length–mass regression: the power-function model. Firstly, taxon-specific length–mass relationships using non-linear regression in the form of power function Equation (2) were estimated:
The mass or dry weight (DW in mg) of each individual was considered the dependent variable, while total body size or total length (TL in mm) was the independent variable in the power function (2). Length and mass values were logarithmically transformed so the power function became linear (3) and both models were presented.
Due to the constants a (intercept) and b (slope) in the model, which depend on larval size and shape, the dry mass was estimated in a linear dimension. We hypothesised that chironomid-trait information at species and genus level are homogenous in the whole lake. Prior to analyses, we checked the normal data distribution (by plotting predicted vs. observed quantiles) and homoscedasticity (by plotting predicted vs. observed residuals). Analyses were performed in R-studio v. 4.1.3 [] and Statistica v.8 (StatSoft 2008).
Our results were compared to other studies of chironomids that used the same model-fitting procedure (linearized power function), but over different types of lake.
3. Results
3.1. Diversity-Based Approach
In total, thirty-ne taxa belonging to four subfamilies were identified (Table 2). The Chironominae and its tribe, Chironomini, were the most diverse and frequent taxa in Lake Maggiore. They constituted between 10% and 75% of the chironomid abundance during the summer–autumn season in the period of 2019–2021 (Figure 2). Individuals in subfamily Orthocladiinae were also recorded at all three sampling sites, albeit less frequently. The relative abundances in percentage form per identified species and taxon are presented on Figure 2.

Table 2.
List of chironomid taxa recorded during summer–autumn in 2019–2021 in Lake Maggiore: (+/−): presence/absence at three sampling sites (M, FT, SC); (*): unique, site-specific species.

Figure 2.
Relative abundance (in %) of chironomid taxa during summer–autumn in 2019–2021 by sampling site (M—Magadino, FT—Fondo Toce, SC—Sesto Calende; species in alphabetic order).
Some taxa were recorded only at one sampling site (Figure 2). The site-specific species were Einfeldia sp. and Micropsectra sp. at the northern site (M), Eukiefferiella sp., Heleniella sp., Odontomesa fulva, and Heterotrissocladius marcidus at the central site (FT), and Nanocladius sp. at the southern site (SC) (Figure 2).
The assemblages at all sampling sites were dominated by Chironominae: Cladotanytarsus sp., Cryptochironomus sp., Stictochironomus pictulus, Polypedilum bicrenatum, and P. nubeculosum (Figure 3). Photographs of the mentum of some site-specific and rare species (Monodiamesa bathyphila and Demicryptochironomus vulneratus) are shown in Figure 4.

Figure 3.
Mentum of the most abundant chironomid taxa in Lake Maggiore: (a) Cladotanytarsus sp., (b) Cryptochironomus sp., (c) Stictochironomus pictulus, (d) Polypedilum bicrenatum, (e) Polypedilum nubeculosum. Photographs by the authors.

Figure 4.
Mentum of some rare and site-specific taxa in Lake Maggiore: (a) Demicryptochironomus vulneratus, (b) Eukiefferiella sp., (c) Heterotrissocladius marcidus, (d) Monodiamesa bathyphila, (e) Phaenopsectra sp., (f) Psectrocladius sordidellus. Photographs by the authors.
The local diversity of the chironomid assemblages varied from 16 taxa in the southern part of the lake (at site SC) to 19 taxa in the northern part (site M), while the most diverse assemblage was observed in the central part of the lake (site FT,) with a total of 27 taxa (Table 3). The total numbers of individuals recorded at sites M and FT were about 8–9 times greater than that at site SC. Although the number of taxa (S) at FT was the highest, the Shannon–Weaver diversity index (H) and equitability E(H) were comparable to those at site M and lower than at site SC (Table 3), suggesting a decrease in the uniformity of the specimen distribution among the taxa. In fact, only two taxa (Stictochironomus pictulus and Cladotanytarsus sp.) contributed greatly to the total abundance of chironomids at the FT site, with 44% and 49%, respectively.

Table 3.
Diversity indices and total abundances (n. of ind.) of recorded and measured chironomid individuals (S—number of taxa, H—Shannon diversity index, E(H)—Shannon equitability; p ≤ 0.05).
The beta diversity, expressed as the number of taxa unique to each sampling site, showed that the central site (FT) was probably dissimilar (higher beta diversity) from the other two sites (M and SC), while the M and SC seemed to be much more similar (with lower beta diversity) (Table 4). The number of unique taxa, not held in common with the other sites, at FT was thirteen, while the SC site’s chironomid assemblage featured only two unique taxa. In total, 15 taxa were distinguished at the two sampling sites. The same trend was evident in the pair of FT and M: eleven unique taxa were found at FT and only three unique taxa were found at M, giving a total of fourteen taxa, further demonstrating the dissimilarity between the central and the northern areas of the lake. The chironomid assemblages in the two extreme areas of the lake, the southern (SC) and the northern, seemed to be very similar: in total, the nine taxa (Table 4) demonstrated the dissimilarity between the areas (three taxa unique to SC and six to M).

Table 4.
The β diversity of chironomid assemblages in summer period of 2019–2021 at three sampling sites.
3.2. Biological Traits of Chironomid Assemblages
We collected, for the first time, linear measurements and body-mass data for the chironomids in the lake. In total, 7413 chironomid larvae were recorded, of which 1197 were measured. Variations in linear body measurements (head capsule length/width, total body length) and in body mass (dry and wet) for different numbers of specimens per taxon were recorded (Table S2). The frequency distribution of body size in the summer–autumn period revealed the dominance of small-sized individuals, or the dominance of larvae measuring between 2 mm and 6 mm among 14 size classes (at intervals of 1 mm) in the assemblages (Figure 5a). The same trend was evident in the frequency distribution of the body masses (Figure 5b). Among eight classes of chironomid dry mass (interval of 0.1 mg), the smallest had the highest frequency. The dry-weight distribution appeared unimodal and skewed right, while the frequency of the body length seemed to be slightly bimodal (with two modes: one at 3–4 mm and another at 8–9 mm), although it was not very well defined (Figure 5).

Figure 5.
Frequency distribution: (a) body total length (TL, mm); (b) dry weight (DW, mg) by size class in the summer–autumn assemblages in Lake Maggiore during 2019–2021.
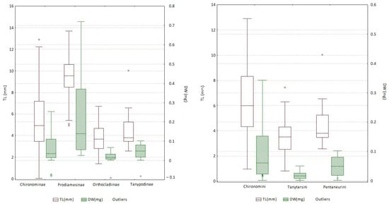
The body total length of the 1197 specimens belonging to the 28 taxa was in the range 0.4–14 mm, while the DW reached about 0.72 mg. Box-whisker plots at the subfamily level revealed data dispersion, including outliers plotted as individual points (Figure 6). The size and body masses of the subfamilies Orthocladiinae and Tanypodinae tended to exhibit a narrower range, while the Chironominae and Prodiamesinae values were widely dispersed (Figure 6a). The same trend was also evident for the most diverse and frequent tribe in the lake, the Chironomini (Figure 6b).

Figure 6.
(left) Box plot of body sizes (TL, mm) and dry masses (DW, mg) of chironomids, with medians and outliers shown at subfamily level and (right) at tribe level for Chironominae and Tanypodinae.
The summer–autumn assemblages were characterised by the co-occurrence of the small-sized taxa, Cladotanytarsus sp., Einfeldia sp., Nanocladius sp., Heterotrissocladius marcidus, together with the large-sized taxa, Stictochironomus pictulus, the three Prodiamesinae species, and Chironomus gr. thummi (Figure 7).

Figure 7.
Mean body lengths (TL mm ± sd, n = 1197) of chironomid species and genera (in alphabetic order) in the summer–autumn assemblages in Lake Maggiore during the period 2019–2021.
3.3. Length–Weight Relationships of Chironomid Larvae and Regression Analyses
The correlations between the linear measurements and body masses were significant, except for the pair of head width/wet weight (Table 5). The results revealed that the larval dry and wet weight (DW, WW) were strongly related to body length and, therefore, they were suitable for supporting the regression models in the prediction of the biomass from the relationship between the body length and the body mass.

Table 5.
Pearson correlation coefficient (r) of chironomid linear body measurements and body masses. In red: significant correlations (p < 0.01); HW—head capsule width (mm), HL—head capsule length (mm), TL—total body length (mm), DW—dry weight (mg), WW—wet weight (mg); n- number of measurements.
The strongest correlation (R = 0.93, R2 = 0.86) showed a high level of significance between the DW and the WW (Figure 8a). Therefore, the linear regression model (intercept 0.00007 ± 0.006, F = 682, df = 114) predicted the DW quite well. The average ratio of DW/WW was 0.175, which means that the DW was, on average, around 17.5% (±10) of the wet weight of the chironomid larva’s body. The difference between the measured (observed) DW and estimated DW as a product of the WW (DW = 0.175 × WW) revealed and overestimation of the DW of 57% within one standard deviation (Figure 8b).

Figure 8.
(a) Relationship between chironomids DW and WW (n = 115, p < 0.01); (b) difference between observed and estimated DW () and standard deviation (±sd).
The changes in body size (considered an independent variable) were associated with the changes in body mass in terms of the dry and wet weights (dependent variables) at the population level (R = 0.86 for TL-DW and R = 0.89 for TL-WW) and at the genus/species level. Thus, the null hypothesis (non-correlation) was rejected. The regression analyses used to model the effect of the body size on the body mass were run, and the model’s goodness of fit for the predicted values and the linearity of the model were assessed using a residual analysis. The variance in the residuals needed to be homoscedastic or constant.
We estimated the taxon-specific body-size–mass relationship using non-linear regression in the form of a power equation (see Equation (2) in Materials and Methods). These relationships for the dominant chironomid taxa in Lake Maggiore (Cladotanytarsus sp., Cryptochironomus sp., Stictochironomus pictulus and Polypedilum spp.) are shown in Figure 9.

Figure 9.
Power regression models for chironomid taxa: (a) Cladotanytarsus sp., (b) Cryptochironomus sp., (c) Stictochironomus pictulus, (d) Polypedilum spp. (P. bicrenatum and P. nubeculosum).
The power regression was then transformed using natural logarithms, enabling TL-DW growth curves to be summarised as linear-regression equations (see Equation (3) in Materials and Methods). The subfamily-level regressions were also calculated. Finally, only models with a 1% significance level were shown (Table 6). The larval body-length–weight-relationship model for the whole chironomid assemblage (n = 766; R = 0.86; adjusted R2 = 0.74; df = 1.76) scaled the predicted body mass.

Table 6.
Regression models for length–weight relationships of larval chironomids significant at p < 0.01; n—number of measured individuals; for the other variables, see Table 5.
Our results were then compared with published length–mass relationships derived from diverse freshwater habitats (Table 7).

Table 7.
Some published regression models for length–weight relationships of larval chironomid taxa. n—number of individuals; TL—total body length; a—intercept; b—slope.
4. Discussion
Among macroinvertebrates, chironomids are a highly diverse family [,,], and they are considered an appropriate bioindicator group, affected by water temperature, dissolved oxygen and organic matter concentrations [,], macrophyte coverage [,], littoral slope [], and water-level-fluctuation management in lakes [,,], especially in large and deep lakes characterised by strong variability in depth. Consequently, the synergy between environmental and physical parameters is likely to determine the occurrence of different chironomid taxa along littoral areas, shaping, in turn, the local diversity (i.e. the α diversity) and its spatial variation (i.e. the β diversity).
As a typical deep and large temperate lake, the littoral zone of Lake Maggiore is characterised by different types of substrate, and it is exposed to both hydrodynamic effects [] and anthropogenic activity, generating chemical deterioration and physical-condition instability []. Although littoral areas represent a narrow band compared to the total lake surface [,], they host most of its total biodiversity. In particular, during the last decade, the biodiversity, expressed as a relative mean occurrence of macroinvertebrates, was about 30.0 ± 4.81% in the littoral zone, 25.0 ± 8.61% in the sublittoral, and by 12.9 ± 4.61% in the deep areas [], which supports the previous statement.
The richness of summer–autumn littoral chironomid assemblages is dominated by the same taxa along the north–south axis of the lake, but with varying relative abundances. Four out of eight subfamilies included in the European fauna [,] were recorded: Chironominae, Tanypodinae, Orthocladiinae, and Prodiamesinae. Chironominae, particularly the tribe Tanytarsini, are very common in cold-water habitats [], as are Orthocladiinae, which are usually found in high-altitude lakes, and mostly occur in lotic and cold-water habitats [,]. Tanypodinae are often found (together with Chironominae) in all freshwater environments characterised by fine sediments of sand and silt [], while Prodiamesinae are considered relatively uncommon [,].
Among the chironomids, four taxa prevailed during the period in question: Cladotanytarsus sp. (4549 ind. or 61.37%), Stictochironomus pictulus (1491 ind., 20.11%), Polypedilum nubeculosum (439 ind., 5.92%), and Cryptochironomus sp. (347 ind., 4.68 %). The other taxa were represented by relatively low abundances (<5%). Cladotanytarsus, including small- or medium-sized chironomids, is a tubicolous taxon typical of the littoral zones of eutrophic lakes [,] and depositional substrates in slow-flowing parts of rivers. They are very tolerant of turbidity increases, sediment deposition, and, perhaps, of organic and pesticide pollution. Stictochironomus pictulus is a burrowing species, which prefers to live in the sandy substrates of large lakes []. It frequently lives together with P. nubeculosum in meso-eutrophic lakes and in depositional zones in streams characterised by high amounts of nutrients [], or in oligotrophic-to-meso-eutrophic lakes and slow-flowing rivers. In fact, the oligotrophic status of Lake Maggiore was recently confirmed based on long-term trends in several ecological variables []. A very recent study [] highlighted that three out of the four dominant taxa (Cladotanytarsus sp., Polypedilum nubeculosum, and Cryptochironomus sp.) in Lake Maggiore are strictly dependent on pH and dissolved-oxygen concentrations. Although haemoglobin-rich species, with tube-building capacity and short generation times, usually dominate disturbed sites, Polypedilum spp. may produce conflicting results because it is a haemoglobin-rich genus often living in undisturbed sites, where small oxygen-poor microhabitats are present.
Although all the sampling sites were located in protected areas, their proximity to tributary or emissary watercourses was more likely to determine different environmental conditions in terms of nutrients, organic matter, and conductivity [], stressing the richness of chironomid assemblages. The latter varied from 16 taxa in the southern part of the lake to 19 in the northern part, while the most diverse assemblage was observed in the central part of the lake (close to the River Toce inflow), with 27 taxa. The results were also supported by the beta diversity. The high number of recorded unique taxa in the central site of the lake (FT) and at the other two sites (M, SC) demonstrated high variation in the assemblage diversity. According to some studies, the increase in the flow regime resulted in reduced biomass and faunal changes, such as a decrease in the biomass of Stictochironomus pictulus []. Due to the continuous water demand for human purposes, the low summer precipitation, and the scarce snowfall in the last few years [], the dominance of this species is quite evident in summer–autumn, as a result of extreme water-level fluctuations. However, the alfa- and beta diversity components and the Shannon diversity index of the benthic chironomid assemblages also seemed to respond significantly to within-lake environmental heterogeneity in a large and shallow lake [].
The size pattern of the dominant benthic macroinvertebrates in Lake Maggiore has never been handled, and data on the chironomid length and body mass for large and deep lakes in temperate areas are still scarce. This was a key point in the development of species-specific length–mass relationships (regression models), which are useful for predicting not only the biomass and the growth rate, but also the secondary production of the most common chironomid taxa in the lake. However, very few relationships exist among littoral chironomids in European deep lakes, and these are most likely unfit for global use, as length–mass relationships can differ between habitats due to dissimilar hydrophysical conditions [].
This study therefore is the first to (i) demonstrate the faunistic patterns of chironomid assemblages and changes in their diversity, (ii) consider the morphological and functional traits of chironomids to develop species-specific length–mass relationships, and (iii) improve our knowledge about the ecology of littoral chironomids in Lake Maggiore. The combination of diversity-based approach with the trait-based approach increases our awareness of species variety as an additional perspectives on biodiversity []. The functional traits of chironomid larvae have so far been studied mainly by Serra et al. [,]. To fulfil the requirements of sound length–mass relationships, we collected, for the first time, data on the size and body mass of as many larvae as possible from 28 chironomid taxa in the lake we studied. Chironomids undergo four larval stages and, because of the mesh size of our net, we assume that our morphological and taxonomic observations were made on the last two (third and four instars); this was confirmed by the slightly bimodal (3–4 mm and 8–9 mm) frequency distribution of the total body lengths (ranging up to 14 mm). The maximum dry mass was 0.72 mg. We did not take into consideration any possible differences in the wet weights of alcohol-preserved or fresh organisms [], so we estimated that the dry mass was approximately 17% of the wet weight, which was very close to some previously published relationships (19%) []. We hypothesised that the trait information at the genus/species level were homogenous in the whole lake and did not depend on the sampling area (microhabitat), but that they were only taxon-specific. For a given taxon, the constants, the intercept (a), and the slope (b) were dependent on the larval size and shape, and b was found to increase with the larval length (especially in large-sized species). Thus, the slope varied from 1.7 to 3.3, with a slope of higher than 3 for large-sized species, such as Demicryptochironomus vulneratus and Monodiamesa bathyphila, and of almost 3 for Polypedilum spp., which suggests faster increases in body mass with increases in body length. According to the literature, the b value of the mass–length curve adjusted by the power regression model is close to 3 and ranges between 2 and 4 in aquatic invertebrates [,], and, in insects, the average value of the slope tends to be lower than 3 [,]. In our analyses, the highest variation among the mass predictions was observed at body lengths below the midpoint of the length range for the small-sized taxa Cladotanytarsus sp. (slope 1.7, R2 = 0.3). In this case, the power regression models probably had quite a good fit with the mass for the large-sized individuals compared to the small-sized individuals.
We also presented subfamily-level regressions, so they can be used when species equations are unavailable or when organisms are only identified at the subfamily level. However, previously published models at the species or, more often, at higher taxa levels offered suggestions as to how body-length–mass relationships vary in different habitats. We hypothesised that although they are species-specific, the regression models are most likely also habitat-specific and differ for different types of freshwater ecosystem. In contrast to the published length–mass relationships for other regions, the species-specific regression models developed in this study on a temperate, subalpine deep lake differ, albeit slightly. Thus, comparing large, deep lakes to shallow, temperate lakes, the greatest difference in model pattern seemed to occur in the subfamily Tanypodinae []. The variability among the models poses some uncertainties for studies using previously published mass–length relationships. Obviously, the best solution is to develop mass–length equations that are taxon- and habitat-specific, but this is a really time-consuming process and frequently impracticable. These regressions can be used to estimate mass in linear dimensions, but potential errors must be recognized. Our results reinforce the importance of obtaining models for organisms (genus or species) from specific geographic regions []. The good fits of the models suggested that the taxon-specific equations reported here can be used to predict body mass based on size, thereby accelerating estimations of chironomid biomass and contributing to the enlargement of the trait information on the species included in the European database []. More comparative studies might be advantageous to better grasp how these relationships vary in time and space (e.g. over seasons and various altitudes and latitudes) and, especially, by feeding group (shredders, filterers, collectors, predators, and scrapers), to estimate more accurately the biomass of the dominant freshwater macroinvertebrates.
5. Conclusions
- Our findings on the lengths and body-mass relationships of 28 taxa (genus/species) of chironomid larvae confirmed the significant potential of linear body measurements in the prediction of their biomass.
- Furthermore, this first collection of trait data on summer–autumn chironomid assemblages in a temperate subalpine lake is a valuable contribution to the European trait-information database.
- The regression length–mass models predicting the dry masses of several common larvae in the summer–autumn chironomid assemblages in a deep and temperate lake could be tested on similar types of lake.
- Finally, our results on the chironomid dry–wet-weight ratio are consistent with previously published data and support the potential application of these relationships (at both the species and the higher-taxon-rank level) in different lake types.
Supplementary Materials
The following supporting information can be downloaded at: https://www.mdpi.com/article/10.3390/w15152730/s1. Table S1: Inventory of sampling periods (months in Latin numbers) and sites with geographic coordinates WGS84; Table S2: Number of measured and weighted specimens by taxon in alphabetic order.
Author Contributions
Conceptualization, L.K. and A.B.; methodology, L.K. and S.Z.; software, L.K. and S.Z.; validation, L.K., S.Z. and A.B.; formal analysis and investigation, L.K.; resources, L.K. and A.B.; data curation, L.K. and S.Z.; writing—original draft, L.K.; writing—review and editing, L.K., S.Z. and A.B.; visualization, L.K. and S.Z.; supervision, L.K.; funding acquisition, A.B. All authors have read and agreed to the published version of the manuscript.
Funding
This research was funded by INTERREG V-A Italy–Switzerland 2014–2020, Project ParchiVerbanoTicino, funded by the European Regional Development Fund (ERDF) ID: 481668.
Data Availability Statement
Data generated/analysed during this study are included in Supplementary Material and on GBIF platform (https://doi.org/10.15468/sh5kzm accessed on 20 January 2023).
Acknowledgments
We owe a debt to the staff of the Bolle di Magadino Nature Reserve (Switzerland) and the Management Body, as well as the staff of the Protected Areas of River Ticino and the Lombard Nature Park of Ticino Valley, for their logistical support during the field work. We thank Tiziana Di Lorenzo (CNR-IRET) and Daniele Paganelli (CNR-IRSA) for their cooperation in the fieldwork.
Conflicts of Interest
The authors declare no conflict of interest. The funders had no role in the design of the study; in the collection, analyses, or interpretation of data; in the writing of the manuscript, or in the decision to publish the results.
References
- Armitage, P.; Cranston, P.S.; Pinder, L.C.V. The Chironomidae: The Biology and Ecology of Non-Biting Midges; Chapman & Hall: London, UK, 1995; p. 572. [Google Scholar]
- Cobo, F.; Blasco-Zumeta, J. Quironómidos (Diptera: Chironomidae) de la estepa subdesértica de los Monegros (Zaragoza, España). Zapateri Rev. Aragonesa Entomol. 2001, 9, 43–47. [Google Scholar]
- Serra, S.R.Q.; Cobo, F.; Graça, M.A.S.; Dolédec, S.; Feio, M.J. Synthesising the trait information of European Chironomidae (Insecta: Diptera): Towards a new database. Ecol. Indic. 2016, 61, 282–292. [Google Scholar] [CrossRef]
- Belle, S.; Goedkoop, W. Functional diversity of chironomid communities in subarctic lakes across gradients in temperature and catchment characteristics. Limnology 2021, 22, 5–16. [Google Scholar] [CrossRef]
- Marshall, S.A. Flies: The Natural History & Diversity of Diptera; Firefly Books: Richmond Hill, ON, USA, 2012; p. 616. [Google Scholar]
- De Jong, Y.; Verbeek, M.; Michelsen, V.; de Place Bjørn, P.; Los, W.; Steeman, F.; Bailly, N.; Basire, C.; Chylarecki, P.; Stloukal, E.; et al. Fauna Europaea—All European animal species on the web. Biodivers. Data J. 2012, 2, e4034. [Google Scholar] [CrossRef]
- Saether, O.A. Chironomid communities as water quality indicators. Ecography 1979, 2, 65–74. [Google Scholar] [CrossRef]
- Bazzanti, M. Ecological Requirements of Chironomids (Diptera: Chironomidae) on the Soft Bottom of the River Arrone. Central Italy. J. Freshw. Ecol. 2000, 15, 397–409. [Google Scholar] [CrossRef]
- Callisto, M.; Moreno, P.; Leal, J.J.F.; Esteves, F. Diversity and biomass of Chironomidae (Diptera) larvae in an impacted coastal lagoon in Rio de Janeiro. Braz. J. Biol. 2002, 62, 77–84. [Google Scholar] [CrossRef]
- Ferrington, L.; Berg, C.M., Jr.; Coffman, W.P. Chironomidae. In An Introduction to the Aquatic Insects of North America; Merritt, R.W., Cummins, K.W., Berg, M.B., Eds.; Kendall Hunt: Dubuque, IA, USA, 2008; pp. 847–989. [Google Scholar]
- Luoto, T.P. The relationship between water quality and chironomid distribution in Finland—A new assemblage-based tool for assessments of long-term nutrient dynamics. Ecol. Indic. 2011, 11, 255–262. [Google Scholar] [CrossRef]
- Molozzi, J.; Feio, M.J.; Salas, F.; Marques, J.C.; Callisto, M. Development and test of a statistical model for the ecological assessment of tropical reservoirs based on benthic macroinvertebrates. Ecol. Indic. 2012, 23, 155–165. [Google Scholar] [CrossRef]
- Eggermont, H.; Heiri, O. The chironomid-temperature relationship: Expression in nature and palaeoenvironmental implications. Biol. Rev. 2012, 87, 430–456. [Google Scholar] [CrossRef]
- Kamburska, L.; Zaupa, S.; Paganelli, D.; Boggero, A. Size structure and body mass of Chironomid larvae under different water level management in the temperate deep subalpine Lake Maggiore (NW Italy); Abstract Book. In Proceedings of the XXV Congresso AIOL, Online, 30 June–2 July 2021; p. 76. Available online: http://www.aiol.info/wp-content/uploads/ABSTRACT-BOOK_final.pdf (accessed on 20 January 2023).
- Boggero, A.; Kamburska, L.; Zaupa, S.; Ciampittiello, M.; Paganelli, D.; Cifoni, M.; Rogora, M.; Di Lorenzo, T. Sampling and Laboratory Protocols to Study the Effects of Water-Level Management on the Littoral Invertebrate Fauna in Deep and Large Temperate Lakes. J. Limnol. 2022, 81, 2073. [Google Scholar] [CrossRef]
- Nicacio, G.; Juen, L. Chironomids as indicators in freshwater ecosystems: An assessment of the literature. Insect Conserv. Divers. 2015, 8, 393–403. [Google Scholar] [CrossRef]
- Ramirez, A.; Paaby, P.; Pringle, C.M.; Aguero, G. Effect of habitat type on benthic macroinvertebrates in two lowland tropical streams, Costa Rica. Rev. Biol. Trop. 1998, 46, 201–213. [Google Scholar]
- Wagner, A.; Volkmann, S.; Dettinger-Klemm, P.M.A. Benthic–pelagic coupling in lake ecosystems: The key role of chironomid pupae as prey of pelagic fish. Ecosphere 2012, 3, 14. [Google Scholar] [CrossRef]
- Grzybkowska, M.; Dukowska, M.; Leszczyńska, J.; Lik, J.; Szczerkowska Majchrzak, E.; Przybylski, M. The food resources exploitation by small-sized fish in a riverine macrophyte habitat. Ecol. Indic. 2018, 90, 206–214. [Google Scholar] [CrossRef]
- Seminara, M.; Bazzanti, M.; Tamorri, C. Sublittoral and profundal chironomid (Diptera) communities of Lake Vico (Central Italy): Relationship to the trophic level. Ann. Limnol. 1990, 26, 183–193. [Google Scholar] [CrossRef]
- Callisto, M.; Serpa-Filho, A.; De Oliveira, S.J.; Esteves, F.A. Chironomids on leaves of Typha domingensis in a lagoon of Rio de Janeiro State (Brazil). Stud. Neotrop. Fauna Environ. 1996, 31, 51–53. [Google Scholar] [CrossRef]
- Van den Berg, M.S.; Coops, H.R.; Noordhuis, R.; Van Schie, J.; Simons, J. Macroinvertebrate communities in relation to submerged vegetation in two Chara-dominated lakes. Hydrobiologia 1997, 342–343, 143–150. [Google Scholar] [CrossRef]
- Zanden, H.B.V.; Soto, D.X.; Bowen, G.J.; Hobson, K.A. Expanding the isotopic toolbox: Applications of hydrogen and oxygen stable isotope ratios to food web studies. Front. Ecol. Evol. 2016, 4, 20. [Google Scholar] [CrossRef]
- Serra, S.R.Q.; Graça, M.A.S.; Dolédec, S.; Feio, M.J. Chironomidae of the Holarctic region: A comparison of ecological and functional traits between North America and Europe. Hydrobiologia 2017, 794, 273–285. [Google Scholar] [CrossRef]
- Berg, H.B. Larval food and feeding behaviour. In The Chironomidae: Biology and Ecology of Non-Biting Midges; Armitage, P.D., Cranston, P.S., Pinder, L.C.V., Eds.; Chapman & Hall: London, UK, 1995; pp. 136–168. [Google Scholar]
- Cummins, K.W. Trophic relations of aquatic insects. Annu. Rev. Entomol. 1973, 18, 183–206. [Google Scholar] [CrossRef]
- Nessimian, J.L.; Sanseverino, A.M.; Oliveira, A.L.H. Relações tróficas de larvas de Chironomidae (Diptera) e sua importância na rede alimentar em um brejo no litoral do Estado do Rio de Janeiro. Rev. Bras. Entomol. 1999, 43, 47–53. [Google Scholar]
- Henriques-Oliveira, A.L.; Nessimian, J.L.; Dorvillè, L.F.M. Feeding habits of Chironomid larvae (Insecta: Diptera) from a stream in the Floresta da Tijuca, Rio de Janeiro, Brazil. Braz. J. Biol. 2003, 63, 269–281. [Google Scholar] [CrossRef] [PubMed]
- Wetzel, R.G. Limnology, 3rd ed.; Academic Press Elsevier: San Diego, CA, USA, 2001. [Google Scholar]
- Salmaso, N.; Mosello, R. Limnological research in the deep southern subalpine lakes: Synthesis. directions and perspectives. Adv. Oceanogr. Limnol. 2010, 1, 29–66. [Google Scholar] [CrossRef]
- Ricciardi, A.; Bourget, E. Weight-to-weight conversion factors for marine benthic macroinvertebrates. Mar. Ecol. Prog. Ser. 1998, 163, 245–251. [Google Scholar] [CrossRef]
- Benke, A.C.; Huryn, A.D.; Smock, A.L.; Wallace, J.B. Length-Mass Relationships for Freshwater Macroinvertebrates in North America with Particular Reference to the Southeastern United States. J. N. Am. Benthol. Soc. 1999, 18, 308–343. [Google Scholar] [CrossRef]
- Smock, L.A. Relationships between body size and biomass of aquatic insects. Freshw. Biol. 1980, 10, 375–383. [Google Scholar] [CrossRef]
- Burgherr, P.; Meyer, E.I. Regression analysis of linear body dimensions vs. dry mass in stream macroinvertebrates. Arch. Hydrobiol. 1997, 139, 101–112. [Google Scholar] [CrossRef]
- Meyer, E. The relationship between body length parameters and dry mass in running water invertebrates. Arch. Hydrobiol. 1989, 117, 191–203. [Google Scholar] [CrossRef]
- Wenzel, F.; Meyer, E.; Schwoerbel, J. Morphometryand biomass determination of dominant mayfly larvae (Ephemeroptera) in running waters. Arch. Hydrobiol. 1990, 118, 31–46. [Google Scholar] [CrossRef]
- Johnston, T.; Cunjak, R.A. Dry mass-length relationships for benthic insects: A review with new data from Catamaran Brook. New Brunswick. Canada. Freshw. Biol. 1999, 41, 653–674. [Google Scholar] [CrossRef]
- Ferrarese, U.; Rossaro, B. Chironomidi 1 (Diptera Chironomidae: Generalità, Diamesinae, Prodiamesinae). In Guide per il Riconoscimento Delle Specie Animali Delle Acque Interne Italiane; Ruffo, S., Ed.; Consiglio Nazionale delle Ricerche AQ: Verona, Italy, 1981; pp. 12–97. [Google Scholar]
- Rossaro, B.; Pirola, N.; Marziali, L.; Magoga, G.; Boggero, A.; Montagna, M. An updated list of chironomid species from Italy with biogeographic considerations (Diptera. Chironomidae). Biogeogr. J. Integr. Biogeogr. 2019, 34. [Google Scholar] [CrossRef]
- Reiss, F. Verbreitung lakustrischer Chironomiden (Diptera) des Alpengebietes. Ann. Zool. Fenn. 1968, 5, 119–125. [Google Scholar]
- Laville, H.; Serra-Tosio, B. Additions et corrections à l’inventaire des Chironomidés (Diptera) de France depuis 1990. Ann. Limno. 1996, 32, 115–121. [Google Scholar] [CrossRef][Green Version]
- Nocentini, A. Chironomidi, 4 (Diptera, Chironomidae: Chironominae, larve). In Guide per il Riconoscimento Delle Specie Animali Delle Acque Interne Italiane; Ruffo, S., Ed.; Consiglio Nazionale delle Ricerche AQ/1/129: Verona, Italy, 1985; Volume 29, pp. 1–186. [Google Scholar]
- Rossaro, B. Chironomidi, 2 (Diptera, Chironomidae, Orthocladiinae). In Guide per il Riconoscimento Delle Specie Animali Delle Acque Interne Italiane; Ruffo, S., Ed.; Consiglio Nazionale delle Ricerche AQ/1/129: Verona, Italy, 1982; Volume 16, pp. 1–80. [Google Scholar]
- Boggero, A.; Pierri, C.; Alber, R.; Austoni, M.; Barbone, E.; Bartolozzi, L.; Bertani, I.; Campanaro, A.; Cattaneo, A.; Cianferoni, F.; et al. A geographic distribution data set of biodiversity in Italian freshwaters. Biogeogr. J. Integr. Biogeogr. 2016, 31, 55–72. [Google Scholar] [CrossRef]
- Rossaro, B.; Magoga, G.; Montagna, M. Revision of the genus Chaetocladius Kieffer (Diptera, Chironomidae). 1st note: Description of four new species from Italy. J. Entomol. Acar. Res. 2017, 49, 36–47. [Google Scholar] [CrossRef]
- Rogora, M.; Austoni, M.; Caroni, R.; Giacomotti, P.; Kamburska, L.; Marchetto, A.; Mosello, R.; Orru, A.; Tartari, G.; Dresti, C. Temporal changes in nutrients in a deep oligomictic lake: The role of external loads versus internal processes. J. Limnol. 2021, 80, 2051. [Google Scholar] [CrossRef]
- Zaupa, S.; Boggero, A.; Kamburska, L. Littoral chironomids and oligochaetes in the subalpine Lake Maggiore: A first dataset. J. Limnol. 2023, 81, 2124. [Google Scholar] [CrossRef]
- Andersen, T.; Cranston, P.S.; Epler, J.H. (Eds.) The larvae of Chironomidae (Diptera) of the Holarctic region—Keys and diagnoses. Insect Syst. Evol. Suppl. 2013, 66, 1–573. [Google Scholar]
- Whittaker, R.H. Evolution and measurement of species diversity. Taxon 1972, 21, 213–251. [Google Scholar] [CrossRef]
- Shannon, C.E.; Weaver, W. The Mathematical Theory of Communication; University of Illinois Press: Urbana, IL, USA, 1949; p. 117. [Google Scholar]
- Whittaker, R.H. Vegetation of the Siskiyou Mountains, Oregon and California. Ecol. Monogr. 1960, 30, 280–338. [Google Scholar] [CrossRef]
- RStudio Team. RStudio: Integrated Development for R. RStudio; PBC: Boston, MA, USA, 2020; Available online: http://www.rstudio.com/ (accessed on 20 January 2023).
- Miserendino, M.L. Length-mass relationships for macroinvertebrates in freshwater environments of Patagonia (Argentina). Ecol. Austral 2001, 11, 3–8. [Google Scholar]
- Sabo, J.L.; Bastow, J.L.; Power, M.E. Length–mass relationships for adult aquatic and terrestrial invertebrates in a California watershed. J. N. Am. Benthol. Soc. 2002, 21, 336–343. [Google Scholar] [CrossRef]
- Stoffels, R.J.; Karbe, S.; Paterson, R.A. Length-mass models for some common New Zealand littoral-benthic macroinvertebrates, with a note on within-taxon variability in parameter values among published models. N. Z. J. Mar. Freshw. Res. 2003, 37, 449–460. [Google Scholar] [CrossRef]
- Mährlein, M.; Pätzig, M.; Brauns, M.; Dolman, A.M. Length–mass relationships for lake macroinvertebrates corrected for back-transformation and preservation effects. Hydrobiologia 2016, 768, 37–50. [Google Scholar] [CrossRef]
- Hajiesmaeili, M.; Ayyoubzadeh, S.A.; Abdoli, A. Length-Weight Relationships for the benthic invertebrates of a mountain river in the Southern Caspian Sea basin, Iran. J. Agric. Sci. Technol. 2019, 21, 1831–1841. [Google Scholar]
- Vadeboncoeur, Y.; McIntyre, P.; Vander Zanden, J. Borders of biodiversity: Life at the edge of the world’s large lakes. BioScience 2011, 61, 526–537. [Google Scholar] [CrossRef]
- Rossaro, B.; Marziali, L.; Boggero, A. Response of Chironomids to Key Environmental Factors: Perspective for Biomonitoring. Insects 2022, 13, 911. [Google Scholar] [CrossRef]
- Rossaro, B.; Marziali, L.; Montagna, M.; Magoga, G.; Zaupa, S.; Boggero, A. Factors Controlling Morphotaxa Distributions of Diptera Chironomidae in Freshwaters. Water 2022, 14, 1014. [Google Scholar] [CrossRef]
- Armitage, D.; de Loë, R.; Plummer, R. Environmental governance and its implications for conservation practice: Environmental governance. Conserv. Lett. 2012, 5, 245–255. [Google Scholar] [CrossRef]
- Salvarina, I.; Gravier, D.; Rothhaupt, K.-O. Seasonal insect emergence from three different temperate lakes. Limnologica 2017, 62, 47–56. [Google Scholar] [CrossRef]
- Moller Pillot, H.K.M. Chironomidae Larvae. Volume 2: Biology and Ecology of the Chironomini; KNNV Uitgeverij: Zeist, The Netherlands, 2009; p. 270. [Google Scholar]
- Wiederholm, T. Use of benthos in lake monitoring. J. Water Pollut. Control. Fed. 1980, 52, 537–547. [Google Scholar]
- Free, G.; Solimini, A.; Rossaro, B.; Marziali, L.; Giacchini, R.; Paracchini, B.; Ghiani, M.; Vaccaro, S.; Gawlik, B.; Fresner, R.; et al. Modelling lake macroinvertebrate species in the shallow sublittoral, relative roles of habitat, lake morphology, aquatic chemistry and sediment composition. Hydrobiologia 2009, 633, 123–136. [Google Scholar] [CrossRef]
- Hofmann, W. Cladocerans and chironomids as indicators of lake level changes in north temperate lakes. J. Paleolimnol. 1998, 19, 55–62. [Google Scholar] [CrossRef]
- Dresti, C.; Rogora, M.; Fenocchi, A. Hypolimnetic oxygen depletion in a deep oligomictic lake under climate change. Aquat. Sci. 2023, 85, 4. [Google Scholar] [CrossRef]
- Boggero, A.; (CNR-IRSA, Verbania, Italy). Personal communication, 2023.
- Sæther, O.A.; Spies, M. Chironomidae. Fauna Europaea. In Fauna Europaea: Diptera: Nematocera. Fauna Europaea Version 2.6; Beuk, P., Pape, T., de Jong, Y.S.D.M., Eds.; Fauna Europaea Version 2.6; Available online: http://www.faunaeur.org (accessed on 20 January 2023).
- Lindegaard, C. Chironomidae (Diptera) of European Cold Springs and Factors Influencing Their Distribution. J. Kans. Entomol. 1995, 68, 108–131. [Google Scholar]
- Boggero, A.; Zaupa, S.; Musazzi, S.; Rogora, M.; Dumnicka, E.; Lami, A. Environmental factors as drivers for macroinvertebrate and diatom diversity in Alpine lakes: New insights from the Stelvio National Park (Italy). J. Limnol. 2019, 78, 147–162. [Google Scholar] [CrossRef]
- Boggero, A.; Lencioni, V. Macroinvertebrates assemblages of high altitude lakes, inlets and outlets in the southern Alps. Arch. Hydrobiol. 2006, 165, 37–61. [Google Scholar] [CrossRef]
- Carew, M.; Pettigrove, V.; Cox, R.; Hoffmann, A. The response of Chironomidae to sediment pollution and other environmental characteristics in urban wetlands. Freshw. Biol. 2007, 52, 2444–2462. [Google Scholar] [CrossRef]
- Oliver, D.R.; Roussel, M.E. Insects and Arachnids of Canada, Part 11; The genera of larval midges of Canada: Diptera, Chironomidae; Research Branch Agriculture: Ottawa, ON, Canada, 1983; p. 263. [Google Scholar]
- Epler, J.H. Identification Faunal for the Larval Chironomidae (Diptera) of North and South Carolina: A Guide to the Taxonomy of the Midges of the Southeastern United States, Including Florida; North Carolina Department of Environment and Natural Resources: Raleigh, NC, USA; St. Johns River Water Management District: Palatka, FL, USA, 2001; p. 526. [Google Scholar]
- Beattie, D.M. Distribution and production of the larval chironomid populations in Tjeukemeer. Hydrobiologia 1982, 95, 287–306. [Google Scholar] [CrossRef]
- Heinis, F.; Davids, C. Factors governing the spatial and temporal distribution of chironomid larvae in the Maarsseveen lakes with special emphasis on the role of oxygen conditions. J. Aquat. Ecol. 1993, 27, 21–34. [Google Scholar] [CrossRef]
- Marks, R.J.; Henderson, A.E. An Examination of the Larval Chironomidae (Diptera, Nematocera) in Lennymore Bay, Lough Neagh. Ir. Nat. J. 1970, 16, 328–334. [Google Scholar]
- Cifoni, M.; Boggero, A.; Rogora, M.; Ciampittiello, M.; Martinez, A.; Galassi, D.M.P.; Fiasca, B.; Di Lorenzo, T. Effects of human-induced water level fluctuations on copepod assemblages of the littoral zone of Lake Maggiore. Hydrobiologia 2022, 849, 3545–3564. [Google Scholar] [CrossRef]
- Fjellheim, A.; Håvardstun, J.; Raddum, G.G.; Schnell, Ø.A. Effects of increased discharge on benthic invertebrates in a regulated river. Regul. Rivers Res. Manag. 1993, 8, 179–187. [Google Scholar] [CrossRef]
- Ciampittiello, M.; Dresti, C.; Saidi, H.; Manca, D. Indagini sul bacino imbrifero. In Caratteristiche Idrologiche–Ricerche Sull’evoluzione del Lago Maggiore; Aspetti Limnologici; Programma Triennale 2016–2018; Campagna 2018 e Relazione Triennio 2016–2018; Commissione Internazionale per la Protezione Delle Acque Italosvizzere, CIPAIS: Torino, Italy, 2019; pp. 9–21+96–100. ISSN 1013-8099. Available online: https://www.cipais.org/web/wp-content/uploads/2023/05/S1-RM-CIPAIS_Rapporto_2018_triennio_16-18_Limnologia_Maggiore.pdf (accessed on 20 January 2023).
- Árva, D.; Specziár, A.; Erős, T.; Tóth, M. Effects of habitat types and within lake environmental gradients on the diversity of chironomid assemblages. Limnologica 2015, 53, 26–34. [Google Scholar] [CrossRef]
- Baumgärtner, D.; Rothhaupt, K. Predictive Length–Dry Mass Regressions for Freshwater Invertebrates in a Pre-Alpine Lake Littoral. Int. Rev. Hydrobiol. 2003, 88, 453–463. [Google Scholar] [CrossRef]
- Rubach, M.N.; Ashauer, R.; Buchwalter, D.B.; De Lange, H.J.; Hamer, M.; Preuss, T.G.; Töpke, K.; Maund, S.J. Framework for Traits-Based Assessment in Ecotoxicology. Integr. Environ. Assess. Manag. 2011, 7, 172–186. [Google Scholar] [CrossRef]
- Nolte, U. Chironomid biomass determination from larval shape. Freshw. Biol. 1990, 24, 443–451. [Google Scholar] [CrossRef]
- Iwakuma, T.; Yasuno, M.; Sugaya, Y. Chironomid production in relation to phytoplankton primary production in Lake Kasumigaura, Japan. Verhandlungen Int. Ver. Limnol. 1984, 22, 1150–1159. [Google Scholar] [CrossRef]
- González, J.M.; Basaguren, A.; Pozo, J. Size-mass relationships of stream invertebrates in a northern Spain stream. Hydrobiologia 2002, 489, 131–137. [Google Scholar] [CrossRef]
- Towers, D.J.; Henderson, I.M.; Veltman, C.J. Predicting dry weight of New Zealand aquatic macroinvertebrates from linear dimensions. N. Z. J. Mar. Freshw. Res. 1994, 28, 159–166. [Google Scholar] [CrossRef]
- Martins, R.T.; Melo, A.S.; Goncalves, J.F., Jr.; Hamada, N. Estimation of dry mass of caddisflies Phylloicus elektoros (Trichoptera: Calamoceratidae) in a Central Amazon stream. Zoologia 2014, 31, 337–342. [Google Scholar] [CrossRef]
Disclaimer/Publisher’s Note: The statements, opinions and data contained in all publications are solely those of the individual author(s) and contributor(s) and not of MDPI and/or the editor(s). MDPI and/or the editor(s) disclaim responsibility for any injury to people or property resulting from any ideas, methods, instructions or products referred to in the content. |
© 2023 by the authors. Licensee MDPI, Basel, Switzerland. This article is an open access article distributed under the terms and conditions of the Creative Commons Attribution (CC BY) license (https://creativecommons.org/licenses/by/4.0/).