Combined Dispatching of Hydropower and Wind Power Based on the Hedging Theory
Abstract
1. Introduction
2. Materials and Methods
2.1. Hedging Theory
2.2. Application of Hedging Rules in Reservoir Operation
2.3. Analysis of Multi-Objective Hedging Relationship in Hydropower and Wind Power Joint Dispatching
2.4. Dynamic Decision-Making Process for Joint Dispatch of Hydropower and Wind Power Based on Hedging Theory
2.5. Calculation of Water Storage Benefit and Flood Control Risk Considering the Uncertainty of Forecast Information
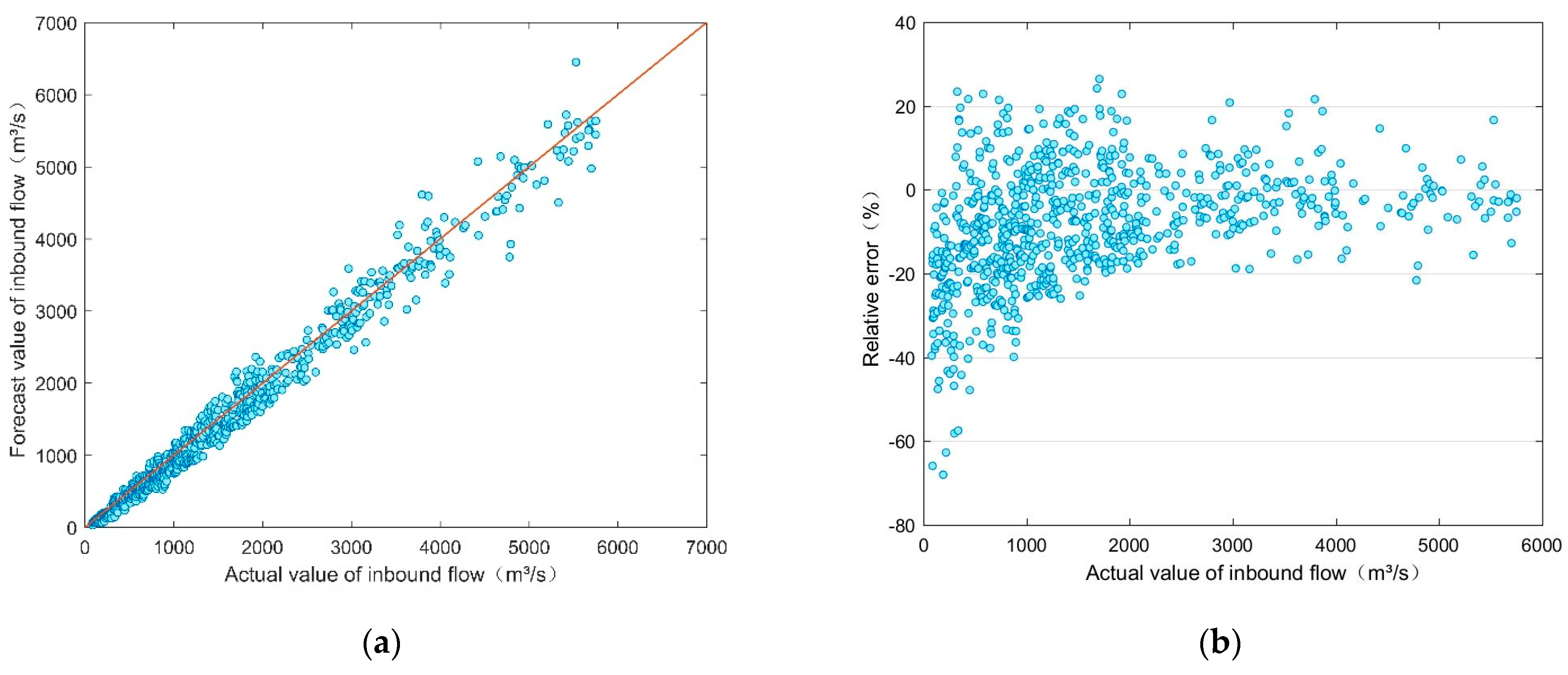
2.5.1. Calculation of Flood Control Risk Considering the Uncertainty of Forecast Information
2.5.2. Calculation of Benefits of Water Storage
2.6. Establishment of Dispatching Model of Hydropower and Wind Power Based on Hedging Theory
2.6.1. Objective Functions
2.6.2. Constraints
- Hydropower output constraintwhere: is the output of the hydropower station during the period , (kW); and are the guaranteed output and installed capacity of the hydropower station during the period, (kW); is the flow of the hydropower station during the period , (m3/s); is the average power generation head of the hydropower station during period , (m); k is the comprehensive output coefficient of the hydropower station. The output of a hydropower station cannot exceed the maximum power generation capacity of the hydropower station.
- Wind power output constraintwhere: is the output of the wind power station in the period , (kW); is the lower limit of wind power output in this period, (kW); is the upper limit of wind power output in this period, (kW); that is, the output of wind power cannot exceed the maximum power generation capacity of the wind power station.
- Combined system power generation output constraintwhere: is the combined output of hydropower and wind power in the period , (kW); is the length of the period interval.
- Reservoir capacity constraintwhere: is the minimum storage capacity of the reservoir, ; is the maximum storage capacity of the reservoir, .
- Water balance constraintwhere: is the initial storage capacity of the reservoir in stage 1 during the period , ; is the storage capacity of the reservoir at the end of stage 1 (beginning of stage 2) during the period , ; is the water storage capacity of the reservoir at the end of stage 2 during period , ; is the corresponding water storage when the water level reaches the flood limit level, ; is the actual water inflow of the reservoir in stage 1 during the period , ; is the predicted water inflow of the reservoir in period during stage 2, ; is the discharge of the reservoir in phase 1 during period , ; is the expected discharge of the reservoir in the second stage of time period , (m3).
- Discharge flow of the reservoir constraintwhere: is the discharge flow of the reservoir during the period , ; is the minimum discharge flow, ; is the downstream safe discharge, .
- Water level constraintwhere: is the dead water level of the reservoir, ; is the reservoir water level during the period , ; is the normal storage level of the reservoir, .
- Hydropower output climbing constraintLimiting the range of changes in the output of hydropower stations in adjacent periods.where: is the upper limit of the output variation of the hydropower station in the adjacent period.
2.7. Solution to the Dispatching Model of Hydropower and Wind Power Based on Hedging Theory
3. Results
3.1. Problem Description
3.2. Determine Some Indicators and Parameters
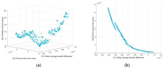
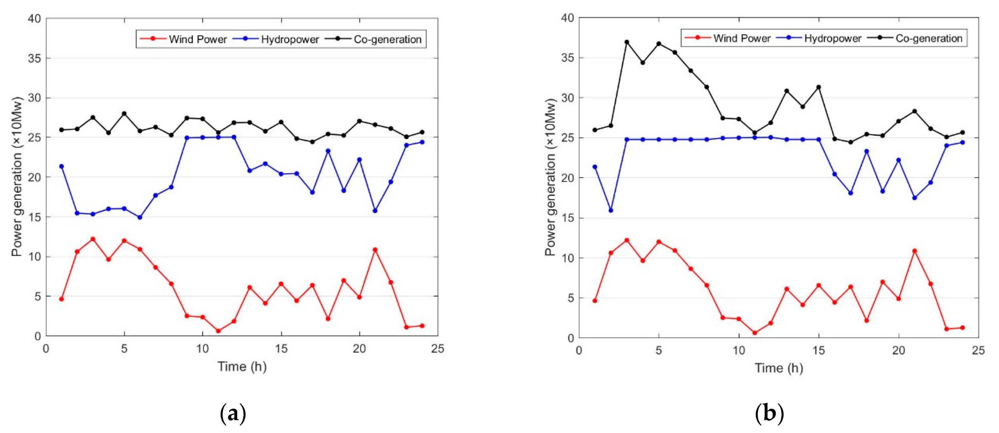
3.3. Analysis of the Dispatch of Hydropower and Wind Power Based on Hedging Theory
4. Conclusions
- The joint dispatching of hydropower and wind power is a multi-objective conflict problem, and the hedging theory can be introduced into the joint dispatching problem of hydropower and wind power for analysis.
- On the basis of considering the uncertainty of wind power and the uncertainty of the interval flow, an optimal dispatching model of hydropower and wind power based on the hedging theory is constructed during the flood season,
- The NSGA2 algorithm is used to solve the specific calculation examples. In the scheduling plan finally solved by the model built in this paper, the peak-valley difference of joint output ranges from 125.00 MW to 35.66 MW. It can effectively solve the problem of wind power volatility and improve the capacity of wind power utilization. Simultaneously, the water storage level was raised by 0.7 m, and the flood control risk is controlled below 1.63 × 10−3. The optimal water storage capacity decision is obtained, and the water storage benefit is as large as possible on the basis of ensuring flood control risks.
Author Contributions
Funding
Institutional Review Board Statement
Informed Consent Statement
Data Availability Statement
Conflicts of Interest
Abbreviations
| Variables | |
| the water discharge | |
| the hydropower output | |
| the water inflow | |
| the inflow of water from the reservoir and downstream section | |
| the water storage of stage | |
| the wind power output | |
| the flood control risk of stage | |
| total incoming water for stage | |
| safe water volume of stage | |
| reservoir capacity of stage | |
| flood limit water level | |
| incoming water error in stage 2 | |
| incoming water error of the downstream control station of stage 2 | |
| probability density function | |
| added value of water storage benefit | |
| benefit difference | |
| storage capacity corresponding to normal storage level | |
| corresponding storage capacity of flood limit water level | |
| the combined total power generation of hydropower and wind power | |
| the hydropower generation | |
| the wind power generation | |
| the output of the wind power station | |
| SOP | the Standard Operation Policy |
| HR | the Hedging Rules |
References
- Shao, X.; Wang, P.S.; Zhang, H.J. Research on the Floodwater Resources Utilization Based on the Flood Control Safety. Manag. Technol. SME 2018, 10, 167–168. [Google Scholar]
- Huang, Y.; Liu, B.Z.; Wang, K.Y.; Ai, X. Joint Planning of Energy Storage and Transmission Network Considering Wind Power Accommodation Capability. Power Syst. Technol. 2018, 42, 1480–1489. [Google Scholar]
- Rong, S.; Chen, X.G.; Guan, W.L.; Xu, M.Y. Coordinated dispatching strategy of multiple energy sources for wind power consumption. J. Mod. Power Syst. Clean Energy 2019, 7, 1461–1471. [Google Scholar] [CrossRef]
- Wu, J.R.; Ge, Z.C.; Yang, S.P. Review of Optimal Cooperation of Wind-hydro Hybrid Power System. Smart Power 2013, 41, 28–31. [Google Scholar]
- Huang, C.L.; Ding, J.; Tian, G.L.; Tang, H.H. Hydropower Operation Modes of Large-scale Wind Power Grid Integration. Autom. Electr. Power Syst. 2011, 35, 37–40. [Google Scholar]
- Wang, K.Y.; Luo, X.J.; Wu, L.; Liu, X.C. Optimal Dispatch of Wind-hydro-thermal Power System With Priority Given to Clean Energy. Proc. CSEE 2013, 33, 27–35. [Google Scholar]
- Jing, T.Y.; Lv, Q.; Guo, L.; Li, W.D. An inter-daycombined operation strategy of hydro and wind power system for regulating peak load. Autom. Electr. Power Syst. 2011, 35, 97–104. [Google Scholar]
- Castronuovo, E.D.; Lopes, J.A.P. On the optimization of the daily operation of a wind-hydro power plant. IEEE Trans. Power Syst. 2004, 19, 1599–1606. [Google Scholar] [CrossRef]
- Feng, Z.K.; Niu, W.J.; Cheng, C.T.; Wu, X.Y. Uniform progressive optimality algorithm for hydro-power station group peak operation. Proc. 2017, 37, 4315–4323. [Google Scholar]
- Chen, X.B.; Huang, K.; Wu, J.F. Research on Short-term Joint Optimal Operation of Hydropower and Wind Power. China Water Transp. 2014, 14, 201–202. [Google Scholar]
- Sheng, S.Q.; Sun, X.X. Operational Optimization Model for Combined Operation of Wind Power and Pumped-storage Plant. Proc. CSU-EPSA 2016, 28, 100–103. [Google Scholar]
- Ju, Y.; Qi, L.; Liu, S. Short-term wind power forecasting based on improved crow search algorithm and ESN neural network. Power Syst. Prot. Control 2019, 47, 58–64. [Google Scholar]
- Shi, Z.C.; Liang, H.; Dinavahi, V. Direct Interval Forecast of Uncertain Wind Power Based on Recurrent Neural Networks. IEEE Trans. Sustain. Energy 2018, 9, 1177–1187. [Google Scholar] [CrossRef]
- Ju, Y.; Sun, G.Y.; Chen, Q.H.; Zhang, M. A Model Combining Convolutional Neural Network and Light-GBM Algorithm for Ultra-Short-Term Wind Power Forecasting. IEEE Access 2019, 7, 28309–28318. [Google Scholar] [CrossRef]
- Sun, J.; Liu, B.; Liu, F.; Wei, W.; Zhou, Z.C.; Yuan, Q.F. Modeling and Evaluation of Uncertainty Set of Considering Wind Power Prediction Error Correlation. Autom. Electr. Power Syst. 2014, 38, 27–32. [Google Scholar]
- Lin, W.X.; Wen, J.Y.; Ai, X.M.; Cheng, S.J.; Li, W.R. Probability Density Function of Wind Power Variations. Proc. CSEE 2012, 32, 38–46. [Google Scholar]
- An, Y.; Huang, Q.; Ding, H.; Wang, H.; Wang, S.K. Research on the joint operation of hydropower and wind power system. J. Xi’an Univ. Technol. 2016, 32, 333–337. [Google Scholar]
- Yang, J.C.; Deng, C.H.; Long, Z.J.; Zhang, S.Y.; Wang, W.Z.; Bai, R.Q. Real-time dispatching strategy of cascade hydropower based on wind power generation and its evaluation method. Eng. J. Wuhan Univ. 2020, 53, 330–338. [Google Scholar]
- Niu, W.J.; Wu, X.Y.; Feng, Z.K.; Shen, J.J.; Cheng, C.T. The Optimal Operation Method of Multi-reservoir System under the Cascade Storage Energy Control. Proc. CSEE 2017, 37, 3139–3147. [Google Scholar]
- Zhang, W.; Li, D.; Zhang, X.Y.; Li, J.Y.; Tan, Z.F. Risk-Constrained Day-Ahead Scheduling Optimization Model of Hydro-Wind Power Generation. Electr. Power 2016, 5, 163–170. [Google Scholar]
- Jiang, Y.C.; He, Z.N.; Liu, A.L. A complementary optimal operation strategy of wind power-hydropower based on improved biogeography-based optimization algorithm. Power Syst. Prot. Control 2018, 46, 39–47. [Google Scholar]
- Lu, P.; Ye, L.; Sun, B.; Zhang, C.; Zhao, Y.; Teng, J. A New Hybrid Prediction Method of Ultra-Short-Term Wind Power Forecasting Based on EEMD-PE and LSSVM Optimized by the GSA. Energies 2018, 11, 697. [Google Scholar] [CrossRef]
- Zhang, G.; Liu, H.C.; Zhang, J.B.; Yan, Y.; Zhang, L.; Chen, W.; Hua, X.; Wang, Y. Wind power prediction based on variational mode decomposition multi-frequency combinations. J. Mod. Power Syst. Clean Energy 2019, 7, 281–288. [Google Scholar] [CrossRef]
- Lan, F.; Sang, C.C.; Liang, J.J.; Li, J.H. Interval Prediction for Wind Power Based on Conditional Copula Function. Proc. CSEE 2016, 36, 79–86. [Google Scholar]
- Miao, S.M.; Teng, Y.F.; Luo, B.; Chen, G.; Wang, L. Short-term Optimal Scheduling Method for Combined Operation of Wind Power and Hydropower Considering Uncertainty of Wind Power. Sichuan Electr. Power Technol. 2020, 43, 4–9. [Google Scholar]
- Bhatia, N.; Srivastav, R.; Srinivasan, K. Season-Dependent Hedging Policies for Reservoir Operation-A Comparison Study. Water 2018, 10, 1311. [Google Scholar] [CrossRef]
- Spiliotis, M.; Mediero, L.; Garrote, L. Optimization of Hedging Rules for Reservoir Operation during Droughts Based on Particle Swarm Optimization. Water Resour. Manag. 2016, 30, 1–20. [Google Scholar] [CrossRef]
- Xu, B.; Zhong, P.A.; Huang, Q.; Wang, J.; Yu, Z.; Zhang, J. Optimal Hedging Rules for Water Supply Reservoir Operations under Forecast Uncertainty and Conditional Value-at-Risk Criterion. Water 2017, 9, 568. [Google Scholar] [CrossRef]
- Tan, Q.F.; Wang, X.; Wang, H.; Wang, C.; Lei, X.H.; Xiong, Y.S.; Zhang, W. Derivation of optimal joint operating rules for multi-purpose multi-reservoir water-supply system. J. Hydrol. 2017, 551, 253–264. [Google Scholar] [CrossRef]
- Li, N.N.; Wang, L.P.; Wu, J.J.; Ma, H.Y. Research on the Flood Storage Model of Cascade Reservoir Based on Space Risk Hedging. China Rural Water Hydropower 2020, 9, 138–142+147. [Google Scholar]
- Diao, Y.F.; Wang, B.D. Risk analysis of flood control operation mode with forecast information based on a combination of risk sources. Sci. China 2010, 53, 1949–1956. [Google Scholar] [CrossRef]
- Li, B. Research on application of two-stage optimization model with two purposes of reservoir flood control and profiting. Water Conserv. Constr. Manag. 2017, 37, 39–42. [Google Scholar]
- Ahmadianfar, I.; Adib, A.; Taghian, M. Optimization of Fuzzified Hedging Rules for Multipurpose and Multireservoir Systems. J. Hydrol. Eng. 2016, 21, 05016003.1–05016003.10. [Google Scholar] [CrossRef]
- Liu, Y.; Zhao, J.; Zheng, H. Piecewise-Linear Hedging Rules for Reservoir Operation with Economic and Ecologic Objectives. Water 2018, 10, 865. [Google Scholar] [CrossRef]
- Huang, C.; Zhao, J.; Wang, Z.; Shang, W. Optimal Hedging Rules for Two-Objective Reservoir Operation: Balancing Water Supply and Environmental Flow. J. Water Resour. Plan. Manag. 2016, 142, 04016053.1–04016053.10. [Google Scholar] [CrossRef]
- Zhang, F.L. The principles and strategies of risk hedging thinking in predictive decision-making. Leadersh. Sci. 2020, 23, 28–30. [Google Scholar]
- Liu, X.J.; Yan, H.L. Research on the Multi-objective Scheduling Problem of Parallel Machine based on NSGA2 Algorithm. Internet Technol. 2013, 3, 44–45. [Google Scholar]
- Zhang, G.; Li, Z.X.; Zhang, K.; Zhang, L.; Hua, X.; Wang, Y. Multi-objective Interval Prediction of Wind Power based on Conditional Copula Function. J. Mod. Power Syst. Clean Energy 2019, 7, 140–150. [Google Scholar] [CrossRef]
- Verrill, S.; Johnson, R.A. The Asymptotic Equivalence of Some Modified Shapiro-Wilk Statistics-Complete and Censored Sample Cases. Ann. Stat. 1987, 15, 413–419. [Google Scholar] [CrossRef]

















| Total Storage Capacity (×106 m3) | Beneficial Reservoir Capacity (×106 m3) | Dead Storage Capacity (×106 m3) | Normal Water Level (m) |
| 3660 | 2400 | 1380 | 588 |
| Dead Water Level (m) | Flood Limit Water Level (m) | Installed Capacity (MW) | Guaranteed Output (MW) |
| 570 | 583 | 280 | 65 |
| Goals | Optimal Decision of Reservoir’s Water Storage Benefit | Optimal Decision of Downstream Flood Control Risk | Optimal Decision on Volatility of Combined Power Generation | Optimal Decision with the Highest Degree of Satisfaction |
|---|---|---|---|---|
| Water storage benefit difference | 6.38 × 10−3 | 7.07 × 10−3 | 6.58 × 10−3 | 6.65 × 10−3 |
| Flood control risk | 5.56 × 10−3 | 1.14 × 10−4 | 2.48 × 10−3 | 1.63 × 10−3 |
| Joint output volatility | 8.11 | 21.3 | 0.56 | 3.57 |
| Method | Water Storage Benefit | Flood Risk |
|---|---|---|
| Result based on the hedging theory plan | 6.65 × 10−3 | 1.63 × 10−3 |
| The result of the conventional plan | 6.562 × 10−3 | 3.65 × 10−3 |
Publisher’s Note: MDPI stays neutral with regard to jurisdictional claims in published maps and institutional affiliations. |
© 2021 by the authors. Licensee MDPI, Basel, Switzerland. This article is an open access article distributed under the terms and conditions of the Creative Commons Attribution (CC BY) license (https://creativecommons.org/licenses/by/4.0/).
Share and Cite
Zhang, K.; Xie, M.; Zhang, G.; Xie, T.; Li, X.; He, X. Combined Dispatching of Hydropower and Wind Power Based on the Hedging Theory. Water 2021, 13, 1319. https://doi.org/10.3390/w13091319
Zhang K, Xie M, Zhang G, Xie T, Li X, He X. Combined Dispatching of Hydropower and Wind Power Based on the Hedging Theory. Water. 2021; 13(9):1319. https://doi.org/10.3390/w13091319
Chicago/Turabian StyleZhang, Kaoshe, Mengyan Xie, Gang Zhang, Tuo Xie, Xin Li, and Xin He. 2021. "Combined Dispatching of Hydropower and Wind Power Based on the Hedging Theory" Water 13, no. 9: 1319. https://doi.org/10.3390/w13091319
APA StyleZhang, K., Xie, M., Zhang, G., Xie, T., Li, X., & He, X. (2021). Combined Dispatching of Hydropower and Wind Power Based on the Hedging Theory. Water, 13(9), 1319. https://doi.org/10.3390/w13091319

