Dynamic Distributed Storage of Stormwater in Sponge-Like Porous Bodies: Modelling Water Uptake
Abstract
1. Introduction
- control of runoff close to source, thus avoiding negative effects along the transport route (e.g., disconnection of roof leaders from storm sewers),
- small size, which allows applications or retrofits with minimal or zero footprint (e.g., green roofs),
- large numbers of these measures creating benefits as the sum of small contributions, which may not be individually discerned at the catchment scale, and
- these ‘micro-measures’ are typically operated by the property owners, which brings about socio-economic benefits arising from public participation in, and cost-sharing of, stormwater management programs [5].
2. Development of Governing Equations of Inflow into SPB Storage: Down-Flow and Up-Flow Variants
2.1. SPB Storage Concept Description
2.2. Governing Equations
2.2.1. Down-Flow SPB storage: Governing Equations
2.2.2. Up-Flow SPB Storage: Governing Equations
2.3. SPB Process and Geometric Parameters
2.3.1. Down-Flow SPB Storage: Parameters
2.3.2. Up-Flow SPB Storage: Parameters
2.4. Solutions of the Governing Equations
2.4.1. Down-Flow SPB Storage: Numerical Set-Up
2.4.2. Up-Flow SPB Storage: Numerical Set-Up
2.5. Verification of Numerical Solutions
2.5.1. Down-Flow SPB Storage: Verification
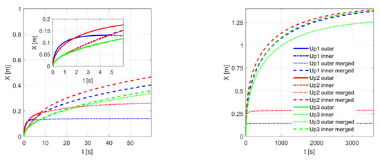
2.5.2. Up-Flow SPB Storage: Verification
2.6. Parameter Sensitivity
2.6.1. Down-Flow SPB Storage: Parameter Sensitivity
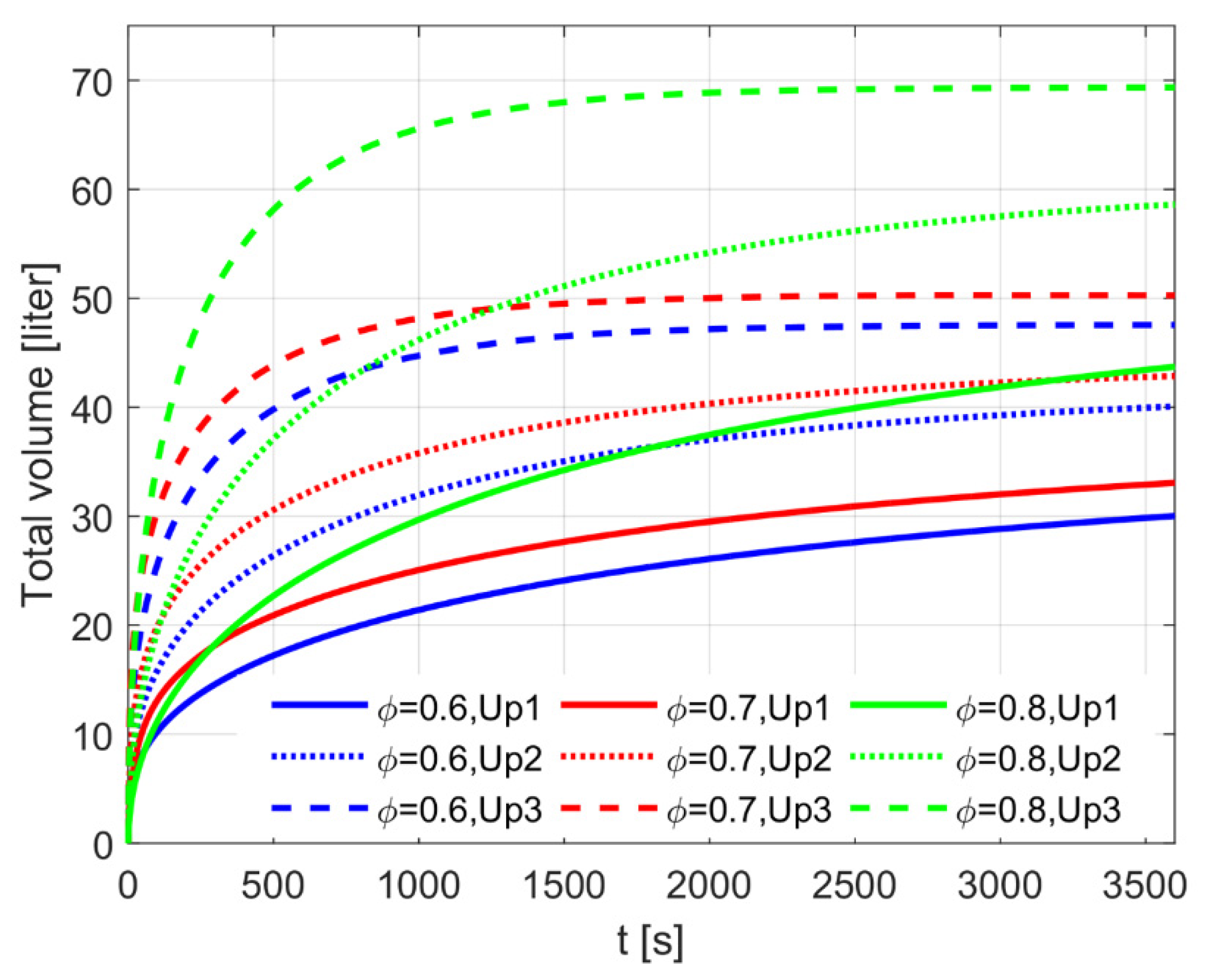
2.6.2. Up-Flow SPB Storage: Parameter Sensitivity
3. Modelling the SPB Storage Interception of Short-Duration Design Rainfalls
3.1. Inflow
3.2. Comparison of Rainfall Volumes to Storage Capacities: Down-Flow SPB Storage
3.3. Comparison of Cumulative Rainfall Volumes and Theoretical Storage Capacities: Up-Flow SPB Storage
4. Discussion
5. Conclusions
Supplementary Materials
Author Contributions
Funding
Conflicts of Interest
References
- Marsalek, J.; Jimenez-Cisneros, B.; Karamouz, M.; Malmqvist, P.-A.; Goldenfum, J.; Chocat, B. Urban Water Cycle Processes and Interactions; Taylor and Francis: Leiden, The Netherlands, 2008. [Google Scholar]
- Moussiopoulos, N.; Nikolaou, K. Environmental, social and economic information management for the evaluation of sustainability in urban areas: A system of indicators for Thesssaloniki, Greece. Cities 2010, 27, 377–384. [Google Scholar] [CrossRef]
- Burns, M.J.; Fletcher, T.D.; Walsh, C.J.; Ladson, A.R.; Hatt, B.E. Setting objectives for hydrologic restoration: From site-scale to catchment-scale. In Proceedings of the NOVATECH Conference, Lyon, France, 23–27 June 2013. [Google Scholar]
- Waters, D.; Watt, W.E.; Marsalek, J.; Anderson, B.C. Adaptation of a storm drainage system to accommodate increased rainfall resulting from climate change. J. Environ. Plan. Manag. 2013, 46, 755–770. [Google Scholar] [CrossRef]
- Toronto Region Conservation Authority. Evaluation of Residential Lot Level Stormwater Practices; Toronto Region Conservation Authority (TRCA): Toronto, ON, Canada, 2013.
- Marsalek, J.; Schreier, H. Innovation in stormwater management in Canada: The way forward. Water Qual. Res. J. 2009, 44, v–x. [Google Scholar] [CrossRef]
- Ministry of the Environment. Stormwater Management Planning and Design Manual; Ministry of the Environment: Toronto, ON, Canada, 2003.
- B.C. Ministry of Environment. Underground Stormwater Infiltration; Ministry of Environment: Victoria, BC, Canada, 2014.
- Minnesota Pollution Control Agency. Minnesota Stormwater Manual. Available online: https://stormwater.pca.state.mn.us/index.php?title=Main_Page (accessed on 29 January 2020).
- Hamouz, V.; Muthanna, T.M. Hydrological modelling of green and grey roofs in cold climate with the SWMM model. J. Environ. Manag. 2019, 249, 109350. [Google Scholar] [CrossRef] [PubMed]
- Shafique, M.; Kim, R.; Kyung-Ho, K. Green roof for stormwater management in a highly urbanized area: The case of Seoul, Korea. Sustainability 2018, 10, 584. [Google Scholar] [CrossRef]
- Campisano, A.; Modica, C. Rain water harvesting as source control option to reduce roof runoff peaks to downstream drainage systems. J. Hydroinform. 2015, 18, 23–32. [Google Scholar] [CrossRef]
- Palla, A.; Gneco, L.; Lanza, L.G. Hydrologic restoration in the urban environment using green roofs. Water 2010, 2, 140–154. [Google Scholar] [CrossRef]
- Cipoalla, S.S.; Altobelli, M.; Maglionico, M. Decentralized water management: Rainwater Harvesting, greywater reuse and Green roofs within the GST4Water Project. Proceedings 2018, 2, 673. [Google Scholar] [CrossRef]
- Gupta, R. Monitoring in-situ performance of pervious concrete in British Columbia—A pilot study. Case Stud. Constr. Mater. 2014, 1, 1–9. [Google Scholar] [CrossRef]
- Karczmarczyk, A.; Bus, A.; Baryla, A. Phosphate leaching from green roof substrates—Can green roofs pollute urban water bodies? Water 2018, 10, 199. [Google Scholar] [CrossRef]
- Francis, L.F.M.; Jensen, M.B. Benefits of green roofs: A systematic review of the evidence for three ecosystem services. Urban For. Urban Green. 2017, 28, 167–176. [Google Scholar] [CrossRef]
- Chan, F.K.S.; Thorne, C.R. “Sponge City” in China—A breakthrough of planning and flood risk management in the urban context. Land Use Policy 2018, 76, 772–778. [Google Scholar] [CrossRef]
- Zhang, S.; Li, Y.; Ma, M.; Song, T.; Song, R. Storm water management and flood control in sponge city construction of beijing. Water 2018, 10, 1040. [Google Scholar] [CrossRef]
- Li, N.; Qin, C.; Du, P. Optimization of China sponge city design: The case of Lincang technology innovation park. Water 2018, 10, 1189. [Google Scholar] [CrossRef]
- Ahiablame, L.M.; Engel, B.A.; Chaubey, I. Effectiveness of low impact development practices: Literature review and suggestions for future research. Water Air Soil Pollut. 2012, 223, 4253–4273. [Google Scholar] [CrossRef]
- Ha, J.; Kim, J.; Jung, Y.; Yun, G.; Kim, D.; Kim, H. Poro-elasto-capillary wicking of cellulose sponges. Sci. Adv. 2018, 4, eaao7051. [Google Scholar] [CrossRef]
- Washburn, E.W. The dynamics of capillary flow. Phys. Rev. 1921, 17, 273–283. [Google Scholar] [CrossRef]
- Masoodi, R.; Pillai, K.M. Wicking in Porous Materials: Traditional and Modern Modeling Approaches; CRC Press: Boca Raton, FL, USA, 2012. [Google Scholar]
- Lundström, T.S.; Gustavsson, H.; Jekabsons, N.; Jakovics, A. Dynamics of wicking during filling of multi-scale porous media: Porous pore-doublet model, experiments and theory. AIChE J. 2008, 54, 372–380. [Google Scholar] [CrossRef]
- Frishfelds, V.; Lundström, T.S.; Jakovics, A. Lattice gas analysis of liquid front in non-crimp fabrics. Transp. Porous Media 2010, 84, 75–93. [Google Scholar] [CrossRef]
- Zarandi, M.A.F.; Pillai, K.M.; Kimmel, A.S. Spontaneous imbibition of liquid in glass fiber wicks, Part I: Usefulness of a sharp-front approach. AIChE J. 2018, 64, 294–305. [Google Scholar] [CrossRef]
- Zarandi, M.A.F.; Pillai, K.M. Spontaneous imbibition of liquid in glass fiber wicks, part II: Validation of a diffuse-front model. AIChE J. 2018, 64, 306–315. [Google Scholar] [CrossRef]
- Caglar, B.; Tekin, C.; Karasu, F.; Michaud, V. Assessment of capillary phenomena in liquid composite molding. Compos. A 2019, 120, 73–83. [Google Scholar] [CrossRef]
- Bajpai, S.K.; Singh, S. Analysis of swelling behavior of poly (methacrylamide-co-methachrylic acid) hydrogels and effect of synthesis conditions on water uptake. React. Funct. Polym. 2006, 66, 431–440. [Google Scholar] [CrossRef]
- Vo, H.N.; Pucci, M.F.; Corn, S.; Le Moigne, N.; Garat, W.; Drapier, S.; Liotier, P.J. Capillary wicking in bio-based reinforcements undergoing swelling—Dual scale consideration of porous medium. Compos. A 2020, 134, 105893. [Google Scholar] [CrossRef]
- Sweijen, T.; van Duijn, C.J.; Hassanizadeh, S.M. A model for diffusion of water into a swelling particle with a free boundary: Application to a super absorbent polymer particle. Chem. Eng. Sci. 2017, 172, 407–413. [Google Scholar] [CrossRef]
- Khayamyan, S.; Lundström, T.S.; Hellström, J.G.H.; Gren, P.; Lycksam, H. Measurements of transitional and turbulent flow in a randomly packed bed of spheres with particle image velocimetry. Transp. Porous Media 2017, 116, 413–431. [Google Scholar] [CrossRef]
- Bajpai, S.K. Swelling–Deswelling behavior of poly(acrylamide-co-maleic acid) hydrogels. J. Appl. Polym. Sci. 2001, 80, 2782–2789. [Google Scholar] [CrossRef]
- Doll, K.M.; Vermillion, K.E.; Fanta, G.F.; Liu, Z. Diffusion coefficients of water in biobased hydrogel polymer matrices by nuclear magnetic resonance imaging. J. Appl. Polym. Sci. 2012, 125, E580–E585. [Google Scholar] [CrossRef]
- El-Hamshary, H. Synthesis and water sorption studies of pH sensitive poly (acrylamide-co-itaconic acid) hydrogels. Eur. Polym. J. 2007, 43, 4830–4838. [Google Scholar] [CrossRef]
- Gebart, B.R. Permeability of unidirectional reinforcements in RTM. J. Compos. Mater. 1992, 26, 1100–1133. [Google Scholar] [CrossRef]
- Lundström, T.S.; Gebart, B.R. Effect of perturbation of fibre architecture on permeability inside fibre tows. J. Compos. Mater. 1995, 29, 424–443. [Google Scholar] [CrossRef]
- Lundström, T.S.; Frishfelds, V.; Jacovics, A. A statistical approach to permeability of clustered fibre reinforcements. J. Compos. Mater. 2004, 38, 1137–1149. [Google Scholar] [CrossRef]
- Chen, X.; Papathanasiou, T.D. Micro-scale modeling of axial flow through unidirectional disordered fiber arrays. Compos. Sci. Technol. 2007, 67, 1286–1293. [Google Scholar] [CrossRef]
- Papathanasiou, T.D.; Chen, X. The effect of certain morphological features on the permeability of clustered fibrous media. Polym. Polym. Compos. 2009, 17, 1–12. [Google Scholar] [CrossRef]
- Fries, N.; Dreyer, M. An analytic solution of capillary rise restrained by gravity. J. Colloid Interface Sci. 2008, 320, 259–263. [Google Scholar] [CrossRef]
- Caupin, F.; Cole, M.W.; Balibar, S.; Treiner, J. Absolute limit for the capillary rise of a fluid. EPL 2008, 82, 56004. [Google Scholar] [CrossRef][Green Version]
- Olsson, J.; Södling, J.; Berg, P.; Wern, L.; Eronn, A. Short-duration rainfall extremes in Sweden: A regional analysis. Hydrol. Res. 2019, 50, 945–960. [Google Scholar] [CrossRef]
- Akther, M.; He, J.; Chu, A.; Huang, J.; van Duin, B. A review of green roof applications for managing urban stormwater in different climatic zones. Sustainability 2018, 10, 2864. [Google Scholar] [CrossRef]
- Berggren, K. Urban Stormwater Systems in Future Climates—Assessment and Management of Hydraulic Overloading. Doctoral Thesis, Luleå University of Technology, Luleå, Sweden, 2014. [Google Scholar]
- Beyhaghi, S.; Geoffroy, S.; Prat, M.; Pillai, K.M. Wicking and evaporation of liquids in porous wicks: A simple analytical approach to optimization of wick design. AIChe J. 2014, 60, 1930–1940. [Google Scholar] [CrossRef]
- Venturas, M.D.; Sperry, J.S.; Hacke, U.G. Plant xylem hydraulics: What we understand, current research, and future challenges. J. Integr. Plant Biol. 2017, 59, 356–389. [Google Scholar] [CrossRef]
- Cirkel, D.G.; Voortman, B.R.; van Veen, T.; Bartholomeus, R.P. Evaporation from (Blue-)green roofs: Assessing the benefits of a storage and capillary irrigation system based on measurements and modeling. Water 2018, 10, 1253. [Google Scholar] [CrossRef]
- Shi, W.; Vieitez, J.R.; Berrier, A.S.; Roseveare, M.W.; Surinach, D.A.; Srijanto, B.R.; Collier, C.P.; Boreyko, J.B. Self-stabilizing transpiration in synthetic leaves. ACS Appl. Mater. Interfaces 2019, 11, 13768–13776. [Google Scholar] [CrossRef]
- Xu, Z.; Pillai, K.M. A pore-network study on the factors influencing the isothermal drying of single- and dual-scale porous media. Dry. Technol. 2020. [Google Scholar] [CrossRef]
- Texas A&M University, AgriLife Extension. Rainwater Harvesting. Available online: https://rainwaterharvesting.tamu.edu/pre-storage-treatment (accessed on 29 January 2020).
- Li, H.; Davis, A.P. Urban particle capture in bioretention media. I: Laboratory and field studies. J. Environ. Eng. 2008, 134, 409–418. [Google Scholar] [CrossRef]
- Tien, C. Principles of Filtration, 1st ed.; Elsevier: Amsterdam, The Netherlands, 2012; ISBN 978-0-444-56366-8. [Google Scholar]
- Li, H.; Davis, A.P. Urban particle capture in bioretention media. II: Theory and model development. J. Environ. Eng. 2008, 134, 419–432. [Google Scholar] [CrossRef]
- Frishfelds, V.; Hellström, J.G.I.; Lundström, T.S.; Mattsson, H. Fluid flow induced internal erosion of porous media; Modelling of the No erosion filter test experiment. Transp. Porous Media 2011, 89, 441–457. [Google Scholar] [CrossRef]
- Lundström, T.S.; Frishfelds, V. Modeling filtration of particulate flow during impregnation of dual-scale fabrics. J. Compos. Mater. 2013, 47, 1907–1915. [Google Scholar] [CrossRef]
- Zhou, H.; Wang, G.; Jia, C.; Li, C. A Novel, coupled CFD-DEM model for the flow characteristics of particles inside a pipe. Water 2019, 11, 2381. [Google Scholar] [CrossRef]
- Müller, A.; Österlund, H.; Marsalek, J.; Viklander, M. The pollution conveyed by urban runoff: A review of sources. Sci. Total Environ. 2019, 709, 13625. [Google Scholar] [CrossRef]
- Rege, S.D.; Fogler, H.S. A network model for deep bed filtration of solid particles and emulsion drops. AIChE J. 1988, 34, 1761–1772. [Google Scholar] [CrossRef]
- Nordlund, M.; Fernberg, S.P.; Lundström, T.S. Particle deposition mechanisms during processing of advanced composite materials. Compos. A 2007, 38, 2182–2193. [Google Scholar] [CrossRef]













| Case/ Parameter | D [m2/s] | b′ | H [m] | B [m] | Unit Cells | Aab [m2] | Aflat [m2] | C | 
|---|---|---|---|---|---|---|---|---|
| Down1 | 1 × 10−8 | 0.5 | 0.2 | 1 | 1 | 1.4 | 1 | 4 | 
| Down2 | 1 × 10−8 | 0.5 | 0.2 | 0.1 | 100 | 5 | 1 | 4 | 
| Down3 | 1 × 10−8 | 0.5 | 0.2 | 0.01 | 1 × 104 | 41 | 1 | 4 | 
| Case/ Variable | δ [m] | A [m] | B [m] | ϕ | Ri (μm) | Ro (μm) | 
|---|---|---|---|---|---|---|
| Up1 | 0.05 | 0.1 | 0.15 | 0.7 | 10 | 100 | 
| Up2 | 0.05 | 0.1 | 0.15 | 0.7 | 10 | 50 | 
| Up3 | 0.05 | 0.1 | 0.15 | 0.7 | 10 | 11 | 
| Event | Direct Rainwater Inflow Velocity (=Intensity) [m/s] per Unit Area [m2] | |
|---|---|---|
| Southwest (SW) | North (N) | |
| Uniform intensity (also called the block rainfall) 60-min duration event, with return period 1:10 years | no preceding rainfall | no preceding rainfall | 
| 60-min duration event, with a high-intensity burst of 5 min, return period 1:10 years (the hyetograph was patterned after Berggren [46]) | Preceding rainfall (during the first 27.5 min) = 7 mm * | Preceding rainfall (during the first 27.5 min) = 5.4 mm * | 
© 2020 by the authors. Licensee MDPI, Basel, Switzerland. This article is an open access article distributed under the terms and conditions of the Creative Commons Attribution (CC BY) license (http://creativecommons.org/licenses/by/4.0/).
Share and Cite
Lundström, T.S.; Åkerstedt, H.O.; Larsson, I.A.S.; Marsalek, J.; Viklander, M. Dynamic Distributed Storage of Stormwater in Sponge-Like Porous Bodies: Modelling Water Uptake. Water 2020, 12, 2080. https://doi.org/10.3390/w12082080
Lundström TS, Åkerstedt HO, Larsson IAS, Marsalek J, Viklander M. Dynamic Distributed Storage of Stormwater in Sponge-Like Porous Bodies: Modelling Water Uptake. Water. 2020; 12(8):2080. https://doi.org/10.3390/w12082080
Chicago/Turabian StyleLundström, T. Staffan, Hans O. Åkerstedt, I. A. Sofia Larsson, Jiri Marsalek, and Maria Viklander. 2020. "Dynamic Distributed Storage of Stormwater in Sponge-Like Porous Bodies: Modelling Water Uptake" Water 12, no. 8: 2080. https://doi.org/10.3390/w12082080
APA StyleLundström, T. S., Åkerstedt, H. O., Larsson, I. A. S., Marsalek, J., & Viklander, M. (2020). Dynamic Distributed Storage of Stormwater in Sponge-Like Porous Bodies: Modelling Water Uptake. Water, 12(8), 2080. https://doi.org/10.3390/w12082080
 
        



 
       