Relationship between Polycyclic Aromatic Hydrocarbons in Sediments and Invertebrates of Natural and Artificial Stormwater Retention Ponds
Abstract
1. Introduction
2. Materials and Methods
2.1. Sampling Sites Description and Sample Collection
2.2. Chemical Analysis
2.3. Data Analysis
3. Results and Discussion
3.1. Sediments
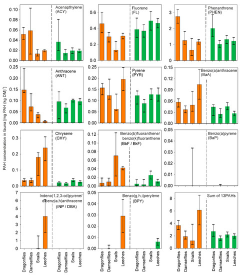
3.2. Invertebrates
3.3. PAHs in Sediments and Invertebrates
4. Conclusions
Author Contributions
Funding
Conflicts of Interest
References
- Collins, J.F.; Brown, J.P.; Alexeeff, G.V.; Salmon, A.G. Potency equivalency factors for some polycyclic aromatic hydrocarbons and polycyclic aromatic hydrocarbon derivatives. Regul. Toxicol. Pharmacol. 1998, 28, 45–54. [Google Scholar] [CrossRef] [PubMed]
- Honda, M.; Suzuki, N. Toxicities of polycyclic aromatic hydrocarbons for aquatic animals. Environ. Res. Public Health 2020, 17, 1363. [Google Scholar] [CrossRef] [PubMed]
- EU. Directive 2013/39/EU of the European Parliament and of the Council of 12 August 2013 amending Directives 2000/60/EC and 2008/105/EC as regards priority substances in the field of water policy. Off. J. Eur. Union 2013, 226, 1–17. [Google Scholar]
- HELCOM. OUTCOME of the 50th Meeting of the Heads of Delegation Heads of Delegation. Baltic Marine Environment Protection Commission, Heads of Delegation, Laulasmaa, Estonia, 15–16 June 2016. Available online: https://portal.helcom.fi/meetings/hod%2050-2016-327/default.aspx (accessed on 20 April 2020).
- CCME. Polycyclic aromatic hydrocarbons (PAHs). Canadian Sediment Quality Guidelines for the Protection of Aquatic Life. Canadian Environmental Quality Guidelines, Canadian Council of Ministers of the Environment. 1999. Available online: http://ceqg-rcqe.ccme.ca/download/en/243 (accessed on 20 April 2020).
- Boyd, T.J.; Montgomery, M.T.; Steele, J.K.; Pohlman, J.W.; Reatherford, S.R.; Spargo, B.J.; Smith, D.C. Dissolved oxygen saturation control PAH biodegradation in freshwater estuary sediments. Microb. Ecol. 2005, 49, 226–235. [Google Scholar] [CrossRef]
- Maletic, S.P.; Beljin, J.M.; Roncevic, S.D.; Grgic, M.G.; Dalmacija, B.D. State of the art and future challenges for polycyclic aromatic hydrocarbons is sediments: Sources, fate, bioavailability and remediation techniques. J. Hazard. Mater. 2019, 365, 467–482. [Google Scholar] [CrossRef]
- Baek, S.O.; Field, R.A.; Goldstone, M.E.; Kirk, P.W.; Lester, J.N.; Perry, R. A review of atmospheric polycyclic aromatic hydrocarbons: Sources, fate and behaviour. Water Air Soil Pollut. 1991, 60, 279–300. [Google Scholar] [CrossRef]
- Heim, S.; Schwarzbauer, S. Pollution history revealed by sedimentary records: A review. Environ. Chem. Lett. 2013, 11, 255–270. [Google Scholar] [CrossRef]
- Manoli, E.; Samara, C. Polycyclic aromatic hydrocarbons in natural waters: Sources, occurrence and analysis. Trends Anal. Chem. 1999, 18, 417–428. [Google Scholar] [CrossRef]
- Shen, H.Z.; Huang, Y.; Wang, R.; Zhu, D.; Li, W.; Shen, G.F.; Wang, B.; Zhang, Y.Y.; Chen, Y.C.; Lu, Y.; et al. Global atmospheric emissions of polycyclic aromatic hydrocarbons from 1960 to 2008 and future predictions. Environ. Sci. Technol. 2013, 47, 6415–6424. [Google Scholar] [CrossRef]
- Schwarz, K.; Gocht, T.; Grathwohl, P. Transport of polycyclic hydrocarbons in highly vulnerable karst system. Environ. Pollut. 2011, 159, 133–139. [Google Scholar] [CrossRef]
- Aryal, R.; Furumai, H.; Nakajima, F.; Beecham, S. Variation in PAH pattern in road runoff. Water Sci. Tecnol. 2013, 67, 2699–2705. [Google Scholar] [CrossRef] [PubMed]
- Latimer, J.S.; Hoffmann, E.J.; Quinn, J.G. Source of petroleum hydrocarbons in urban runoff. Water Air Soil Pollut. 1990, 52, 1–21. [Google Scholar] [CrossRef]
- Dunbar, C.J.; Lin, C.I.; Vergucht, I.; Wong, J.; Durant, J.L. Estimating the contributions of mobile sources of PAH to urban air using real-time PAH monitoring. Sci. Total Environ. 2001, 279, 1–19. [Google Scholar] [CrossRef]
- Demir, T.; Yenisoy-Karakaş, S.; Karakaş, D. PAHs, elemental and organic carbons in a highway tunnel atmosphere and road dust: Discrimination of diesel and gasoline emissions. Building Environ. 2019, 160, 106166. [Google Scholar] [CrossRef]
- Aryal, R.K.; Furumai, H.; Nakajima, F.; Boller, M. Characteristics of particle-associated PAHs in a first flush of a highway runoff. Water Sci. Technol. 2006, 53, 245–251. [Google Scholar] [CrossRef] [PubMed]
- Meyer, T.; Lei, Y.D.; Wania, F. Transport of polycyclic hydrocarbons and pesticides during snowmelt within an urban watershed. Water Res. 2011, 45, 1147–1156. [Google Scholar] [CrossRef]
- Kessler, S.; Bierl, R.; Meyer, B.; Krein, A. Chemical effects of a near-to-nature detention pond on a small urban headwater. Limnologica 2017, 62, 118–125. [Google Scholar] [CrossRef]
- Bryant, W.L., Jr.; Goodbred, S.L. The response of hydrophobic organics and potential toxicity in streams to urbanization of watersheds in six metropolitan areas of the United States. Environ. Monit. Assess. 2009, 157, 419–447. [Google Scholar] [CrossRef]
- Wang, G.; Zhang, Q.; Ma, P.; Rowden, J.; Mielke, H.D.; Gonzales, C.; Powell, E. Sources and distribution of polycyclic aromatic hydrocarbons in urban soils: Case studies of Detroit and New Orleans. Soil Sediment Contam. 2008, 17, 547–563. [Google Scholar] [CrossRef]
- Todeschini, S.; Papiri, S.; Ciaponi, C. Performance of stormwater detention tanks for urban drainage systems in northern Italy. J. Environ. Manag. 2012, 101, 33–45. [Google Scholar] [CrossRef]
- Calabró, P.S.; Viviani, G. Simulation of the operation of the detention tanks. Water Res. 2006, 40, 83–90. [Google Scholar] [CrossRef] [PubMed]
- Hvitved-Jacobsen, T.; Vollertsen, J.; Nielsen, A.H. Urban and Highway Stormwater Pollution; CRC Press, Taylor & Francis Group: Boca Raton, FL, USA, 2010. [Google Scholar]
- Vollertsen, J.; Åstebøl, S.O.; Coward, J.E.; Fageraas, T.; Nielsen, A.H.; Hvitved-Jacobsen, T. Performance and modeling of a highway wet detention pond designed for cold climate. Water Qual. Res. J. 2009, 44, 253–262. [Google Scholar] [CrossRef]
- Snodgrass, J.W.; Casey, R.E.; Joseph, D.; Simon, J.A. Sources of heavy metals and polycyclic aromatic hydrocarbons in urban stormwater runoff. Sci. Total Environ. 2008, 359, 145–155. [Google Scholar]
- Casey, R.E.; Simon, J.A.; Atueyi, S.; Snodgrass, J.W.; Karouna-Renier, N.; Sparling, D.W. Temporal trends of trace metals in sediment and invertebrates from stormwater management ponds. Water Air Soil Pollut. 2006, 178, 69–77. [Google Scholar] [CrossRef]
- Brand, A.B.; Snodgrass, J.W. Value of artificial habitats for amphibian reproduction in altered landscapes. Conserv. Biol. 2010, 24, 295–301. [Google Scholar] [CrossRef]
- Hamer, A.J.; Smith, P.J.; McDonnell, M.J. The importance of habitat design and aquatic connectivity in amphibian use of urban stormwater retention ponds. Urban Ecosyst. 2012, 15, 451–471. [Google Scholar] [CrossRef]
- Xu, F.; Wu, W.; Wang, J.; Qin, N.; Wang, Y.; He, Q.; He, W.; Tao, S. Residual levels and health risk of polycyclic aromatic hydrocarbons in freshwater from Lake Small Bai-Yang-Dian, Northern China. Ecol. Model. 2011, 222, 275–286. [Google Scholar] [CrossRef]
- Rose, A.; Ken, D.; Kehinde, O.; Babajide, A. Bioaccumulation of polycyclic aromatic hydrocarbons in fish and invertebrates of Lagos Lagoon, Nigeria. J. Emerg. Trends Eng. Appl. Sci. 2012, 3, 287–295. [Google Scholar]
- Sun, Z.; Sokolova, E.; Brittain, J.E.; Saltveit, S.J.; Rauch, S.; Meland, S. Impact of environmental factors on aquatic biodiversity in roadside stormwater ponds. Sci. Rep. 2019, 9, 5994. [Google Scholar] [CrossRef]
- Stephansen, D.A.; Nielsen, A.H.; Hvitved-Jacobsen, T.; Pedersen, M.L.; Vollertsen, J. Invertebrates in stormwater wet detention ponds—Sediment accumulation and bioaccumulation of heavy metals have no effect on biodiversity and community structure. Sci. Total Environ. 2016, 566–567, 1579–1587. [Google Scholar] [CrossRef]
- Stephansen, D.A.; Nielsen, A.H.; Hvitved-Jacobsen, T.; Arias, C.A.; Brix, H.; Vollertsen, J. Distribution of metals in fauna, flora and sediments of wet detention ponds and natural shallow lakes. Ecol. Eng. 2014, 66, 43–51. [Google Scholar] [CrossRef]
- US EPA. Method 3546: Microwave extraction. In: SW-846 “Test Methods for Evaluating Solid Waste, Physical/Chemical Methods” 2007. Available online: http://www.epa.gov/osw/hazard/testmethods/sw846/ (accessed on 15 January 2010).
- McCune, B.; Mefford, M.J. PC-ORD Multivariate Analysis of Ecological Data; Version 6; MjM Software: Gleneden Beach, OR, USA, 2011. [Google Scholar]
- Bentzen, T.R.; Larsen, T. Heavy metal and PAH concentrations in highway runoff deposits fractionated on settling velocities. J. Environ. Eng. 2009, 135, 1244–1247. [Google Scholar] [CrossRef]
- Istenič, D.; Arias, C.A.; Matamoros, V.; Vollertsen, J.; Brix, H. Elimination and accumulation of polycyclic aromatic hydrocarbons in urban stormwater wet detention ponds. Water Sci. Technol. 2011, 64, 818–825. [Google Scholar] [CrossRef]
- Grauert, M.; Larsen, M.; Mollerup, M. Quality of sediment in detention basins—Mapping of the Danish national road network. Procedia Soc. Behav. Sci. 2012, 48, 393–402. [Google Scholar] [CrossRef][Green Version]
- Valentyne, A.; Crawford, K.; Cook, T.; Mathewson, P.D. Polycyclic aromatic hydrocarbon contamination and source profiling in watersheds serving three small Wisconsin, USA cities. Sci. Total Environ. 2018, 627, 1453–1463. [Google Scholar] [CrossRef]
- Du, J.; Jing, C. Anthropogenic PAHs in lake sediments: A literature review (2002–2018). Environ Sci. Process. Impacts 2018, 20, 1649–1666. [Google Scholar] [CrossRef]
- Larsen, S.B.; Karakashev, D.; Angelidaki, I.; Schmidt, J.E. Ex-situ bioremediation of polycyclic aromatic hydrocarbons in sewage sludge. J. Hazard. Mater. 2009, 164, 1568–1572. [Google Scholar] [CrossRef]
- Milić, J.; Avdalović, J.; Šolević-Knudsen, T.; Gojgić-Cvijović, G.; Jednak, T.; Vrvić, M.M. Initial microbial degradation of polycyclic aromatic hydrocarbons. Chem. Ind. Chem. Eng. Q. 2016, 22, 293–299. [Google Scholar] [CrossRef]
- Arealinformation, Cartographical Information and Orthophotos for Denmark with Regards to e.g., Landscape Characteristics, Nature Types, Road Systems and City Areas. Available online: https://arealinformation.miljoeportal.dk/html5/index.html?viewer=distribution (accessed on 3 July 2020).
- Markiewicz, A.; Bjorklund, K.; Eriksson, E.; Kalmykova, Y.; Stromvall, A.; Siopi, A. Emissions of organic pollutants from traffic and roads: Priority pollutants selection and substance flow analysis. Sci. Total Environ. 2017, 580, 1162–1174. [Google Scholar] [CrossRef]
- Miljøstyrelsen. Miljøfremmede stoffer i overfladeafstrømning fra befæstede arealer. Miljøprojekt nr. 355. Environmental pollutants in stormwater runoff from impervious urban catchments. Environmental project nr. 355, Danish Environmental Agency; Danish Environmental Agency: Odense, Denmark, 1997. [Google Scholar]
- Tromp, K.; Lima, A.T.; Barendregt, A.; Verhoeven, J.T.A. Retention of heavy metals and poly-aromatic hydrocarbons from road water in constructed wetland and the effect of de-icing. J. Hazard. Mater. 2012, 203, 290–298. [Google Scholar] [CrossRef]
- Stotz, G. Investigations of the properties of the surface water run-off from Federal Highways in the FRG. Sci. Total Environ. 1987, 59, 329–337. [Google Scholar] [CrossRef]
- El-Mufleh, A.; Béchet, B.; Basile-Doelsch, I.; Geffroy-Rodier, C.; Gaudin, A.; Ruban, V. Distribution of PAHs and trace metals in urban stormwater sediments: Combination of density fractionation, mineralogy and microanalysis. Environ. Sci. Pollut. Res. 2014, 21, 9764–9776. [Google Scholar] [CrossRef] [PubMed]
- Miljødirektoratet. Miljødirektoratet. Grenseverdier for klassifisering av vann, sediment og biota. Miljødirektoratet 2016, M-608, 26. [Google Scholar]
- Heintzman, L.J.; Anderson, T.A.; Carr, D.L.; McIntyre, N.E. Local and landscape influences on PAH contamination in urban stormwater. Landsc. Urban Plan. 2015, 142, 29–37. [Google Scholar] [CrossRef]
- Yoon, S.J.; Hong, S.; Kim, T.; Lee, J.; Kwon, B.O.; Allam, A.A.; Al-khedhairy, A.A.; Khim, J.S. Occurrence and bioaccumulation of persistent toxic substances in sediments and biota from intertidal zone of Abu Ali Island, Arabian Gulf. Mar. Pollut. Bull. 2019, 144, 243–252. [Google Scholar] [CrossRef]
- Viñas, L.; Franco, A.; Blanco, X.; Bargiela, J.; Soriano, J.A.; Perez-Fernandez, B.; Gonzalez, J.J. Temporal and spatial changes of PAH concentrations in Mytilus galloprovincialis from Ria de Vigo (NW Spain). Environ. Sci. Pollut. Res. 2012, 19, 529–539. [Google Scholar] [CrossRef]
- Szczybelski, A.S.; van den Heuvel-Greve, M.J.; Kampen, T.; Wang, C.; van den Brink, N.W.; Koelmans, A.A. Bioaccumulation of polycyclic aromatic hydrocarbons, polychlorinated biphenyls and hexachlorobenzene by three Arctic benthic species from Kongsfjorden (Svalbard, Norway). Mar. Pollut. Bull. 2016, 112, 65–74. [Google Scholar] [CrossRef] [PubMed]
- Thuy, H.T.T.; Loan, T.T.C.; Phuong, T.H. The potential accumulation of polycyclic aromatic hydrocarbons in phytoplankton and bivalves in Can Gio coastal wetland, Vietnam. Environ. Sci. Pollut. Res. 2018, 25, 17240–17249. [Google Scholar] [CrossRef]
- Szczybelski, A.S.; Diepens, N.J.; van den Heuvel-Greve, M.J.; van den Brink, N.W.; Koelmans, A.A. Bioaccumulation of polycyclic aromatic hydrocarbons by arctic and temperate benthic species. Environ. Toxicol. Chem. 2019, 38, 883–895. [Google Scholar] [CrossRef] [PubMed]




| Classification | Site | Coordinate (x,y) * | Sampling | Damselfly | Dragonfly | Snail | Leeches | |
|---|---|---|---|---|---|---|---|---|
| SWRPs | ||||||||
| Residential | PR1 | Silkeborg | (534071,6227834) | 21 April | X | X | ||
| PR2 | Århus | (570625,6222793) | 26 April | X | ||||
| PR3 | Lemming | (533686,6232904) | 9 May | X | ||||
| Industrial/ Commercial | PI1 | Sæby | (587261,6353092) | 4 May | X | X | X | |
| PI2 | Odense | (584458,6135647) | 6 May | X | X | |||
| PI3 | Viborg ** | (525377,6258999) | 30 August | X | X | X | ||
| Highway | PH1 | Vodskov | (563858,6330263) | 13 July | X | X | ||
| PH2 | Poulstrup | (561916,6356514) | 15 July | X | X | X | ||
| PH3 | Harlev | (564291,6223660) | 27 July | X | ||||
| Lakes | ||||||||
| City | LC1 | Virklund | (535053,6221399) | 4 August | X | |||
| Farmland | LA1 | Rostrup | (557462,6289429) | 21 July | X | |||
| LA2 | Ø. Doense | (552512,6285226) | 21 July | X | ||||
| LA3 | Dybvad | (581489,6348425) | 9 July | X | X | |||
| LA4 | Dorf | (577434,6342819) | 19 May | X | ||||
| Plantation | LP1 | Sjørup | (504357,6253734) | 16 May | X | X | ||
| LP2 | Auning | (590514,6254288) | 21 May | X | X | |||
| LP3 | Gl. Rye | (543589,6212513) | 20 August | X | X | |||
| LP4 | Havris Hede | (490942,6265182) | 25 August | X | ||||
| Forest | LF1 | Poulstrup | (556420,6315024) | 13 May | X | X | X | X |
| LF2 | Hundsø | (533678,6210669) | 23 May | X | X |
| Environmental Quality Standards, EQS | ||||||
|---|---|---|---|---|---|---|
| Freshwater Sediment µg·(kg·DM)−1 | Biota µg·(kg·WW)−1 | |||||
| Compound | Canada | Norway | HELCOM | Canada | Norway | HELCOM |
| Napththalene | 34.6 | 27 | - | - | 2400 | - |
| Acenapththylene | 5.87 | 33 | - | - | - | - |
| Acenapththene | 6.71 | 100 | - | - | - | - |
| Fluorene | 21.2 | 150 | - | - | - | - |
| Phenanthrene | 41.9 | 780 | - | - | - | - |
| Anthracene | 46.9 | 4.6 | - | - | 2400 | - |
| Fluoranthene | 111 | 400 | 24 | - | 30 | 30 * |
| Pyrene | 53.0 | 84 | 2000 | - | - | - |
| Benz(a)anthracene | 31.7 | 60 | - | - | 304 | - |
| Chrysene | 57.1 | 280 | - | - | - | - |
| Benzo(a)pyrene | 31.9 | 180 | - | - | 5 | 5 * |
| Dibenz(a,h)anthracene | 6.22 | 27 | - | - | - | - |
© 2020 by the authors. Licensee MDPI, Basel, Switzerland. This article is an open access article distributed under the terms and conditions of the Creative Commons Attribution (CC BY) license (http://creativecommons.org/licenses/by/4.0/).
Share and Cite
Stephansen, D.A.; Arias, C.A.; Brix, H.; Fejerskov, M.L.; Nielsen, A.H. Relationship between Polycyclic Aromatic Hydrocarbons in Sediments and Invertebrates of Natural and Artificial Stormwater Retention Ponds. Water 2020, 12, 2020. https://doi.org/10.3390/w12072020
Stephansen DA, Arias CA, Brix H, Fejerskov ML, Nielsen AH. Relationship between Polycyclic Aromatic Hydrocarbons in Sediments and Invertebrates of Natural and Artificial Stormwater Retention Ponds. Water. 2020; 12(7):2020. https://doi.org/10.3390/w12072020
Chicago/Turabian StyleStephansen, Diana A., Carlos A. Arias, Hans Brix, Morten L. Fejerskov, and Asbjørn H. Nielsen. 2020. "Relationship between Polycyclic Aromatic Hydrocarbons in Sediments and Invertebrates of Natural and Artificial Stormwater Retention Ponds" Water 12, no. 7: 2020. https://doi.org/10.3390/w12072020
APA StyleStephansen, D. A., Arias, C. A., Brix, H., Fejerskov, M. L., & Nielsen, A. H. (2020). Relationship between Polycyclic Aromatic Hydrocarbons in Sediments and Invertebrates of Natural and Artificial Stormwater Retention Ponds. Water, 12(7), 2020. https://doi.org/10.3390/w12072020

