Impact of Climate Change on Nearshore Waves at a Beach Protected by a Barrier Reef
Abstract
1. Introduction
2. Materials and Methods
2.1. Study Area
2.2. Modeling Approach and Input Parameters
2.3. Defined Scenarios and Events for Analysis
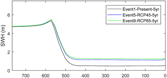
3. Results
3.1. Mean Wave Climate Scenarios
3.2. Extreme Wave Scenarios
4. Discussion
5. Conclusions
Supplementary Materials
Author Contributions
Funding
Acknowledgments
Conflicts of Interest
References
- Elliff, C.; Kikuchi, R.K.P. Ecosystem services provided by coral reefs in a Southwestern Atlantic Archipelago. Ocean. Coast. Manag. 2017, 136, 49–55. [Google Scholar] [CrossRef]
- Ferrario, F.; Beck, M.W.; Storlazzi, C.D.; Micheli, F.; Shepard, C.C.; Airoldi, L. The effectiveness of coral reefs for coastal hazard risk reduction and adaptation. Nat. Commun. 2014, 5, 3794. [Google Scholar] [CrossRef] [PubMed]
- Nemes, D.D.; Criado-Sudau, F.F.; Gallo, M. Beach Morphodynamic Response to a Submerged Reef. Water 2019, 11, 340. [Google Scholar] [CrossRef]
- Calabrese, M.; Vicinanza, D.; Buccino, M. 2D Wave setup behind submerged breakwaters. Ocean. Eng. 2008, 35, 1015–1028. [Google Scholar] [CrossRef]
- Sierra, J.P.; González-Marco, D.; Ridge, M.M.; Gironella, X.; Oliveira, T.C.; Cáceres, I.; Mösso, C. Numerical model for wave overtopping and transmission through permeable coastal structures. Environ. Model. Softw. 2010, 25, 1897–1904. [Google Scholar] [CrossRef]
- Sierra, J.P.; Dowding, D.D.; Persetto, V.; Oliveira, T.A.C.; Gironella, X.; Mösso, C.; Mestres, M. Wave reflection, transmission and spectral changes at permeable low-crested structures. J. Coast. Res. 2011, SI 64, 593–597. [Google Scholar]
- Vetter, O.; Becker, J.M.; Merrifield, M.A.; Pequignet, A.-C.; Aucan, J.; Boc, S.J.; Pollock, C.E. Wave setup over a Pacific Island fringing reef. J. Geophys. Res. Space Phys. 2010, 115, 12066. [Google Scholar] [CrossRef]
- Lowe, R.; Koseff, J.R.; Monismith, S.G. Oscillatory flow through submerged canopies: 1. Velocity structure. J. Geophys. Res. Space Phys. 2005, 110, 10016. [Google Scholar] [CrossRef]
- Hoeke, R.; Storlazzi, C.; Ridd, P. Hydrodynamics of a bathymetrically complex fringing coral reef embayment: Wave climate, in situ observations, and wave prediction. J. Geophys. Res. Space Phys. 2011, 116, 04018. [Google Scholar] [CrossRef]
- Sheremet, A.; Kaihatu, J.; Su, S.-F.; Smith, E.; Smith, J. Modeling of nonlinear wave propagation over fringing reefs. Coast. Eng. 2011, 58, 1125–1137. [Google Scholar] [CrossRef]
- Lowe, R.; Falter, J.L.; Koseff, J.R.; Monismith, S.G.; Atkinson, M.J. Spectral wave flow attenuation within submerged canopies: Implications for wave energy dissipation. J. Geophys. Res. Space Phys. 2007, 112, 05018. [Google Scholar] [CrossRef]
- Gardner, T.A.; Côté, I.M.; Gill, J.A.; Grant, A.; Watkinson, A.R. Hurricanes and Caribbean coral reefs: Impacts, recovery patterns, and role in long-term decline. Ecology 2005, 86, 174–184. [Google Scholar] [CrossRef]
- Beeden, R.; Maynard, J.; Puotinen, M.; Marshall, P.; Dryden, J.; Goldberg, J.; Williams, G. Impacts and Recovery from Severe Tropical Cyclone Yasi on the Great Barrier Reef. PLoS ONE 2015, 10, e0121272. [Google Scholar] [CrossRef] [PubMed]
- Hughes, T.P.; Kerry, J.T.; Connolly, S.R.; Baird, A.; Eakin, C.M.; Heron, S.F.; Hoey, A.S.; Hoogenboom, M.O.; Jacobson, M.; Liu, G.; et al. Ecological memory modifies the cumulative impact of recurrent climate extremes. Nat. Clim. Chang. 2018, 9, 40–43. [Google Scholar] [CrossRef]
- Puotinen, M.; Maynard, J.A.; Beeden, R.; Radford, B.; Williams, G.J. A robust operational model for predicting where tropical cyclone waves damage coral reefs. Sci. Rep. 2016, 6, 26009. [Google Scholar] [CrossRef]
- Harmelin-Vivien, M.L. The effects of storms and cyclones on coral reefs: A review. J. Coast. Res. 1994, 12, 211–231. [Google Scholar]
- Osorio-Cano, J.D.; Alcérreca-Huerta, J.C.; Mariño-Tapia, I.; Osorio, A.F.; Acevedo-Ramírez, C.; Enriquez, C.; Costa, M.; Pereira, P.; Mendoza, E.; Escudero, M.; et al. Effects of Roughness Loss on Reef Hydrodynamics and Coastal Protection: Approaches in Latin America. Chesap. Sci. 2019, 42, 1742–1760. [Google Scholar] [CrossRef]
- Baldock, T.; Golshani, A.; Callaghan, D.; Saunders, M.; Mumby, P.J. Impact of sea-level rise and coral mortality on the wave dynamics and wave forces on barrier reefs. Mar. Pollut. Bull. 2014, 83, 155–164. [Google Scholar] [CrossRef]
- Quataert, E.; Storlazzi, C.; Van Rooijen, A.; Cheriton, O.M.; Van Dongeren, A.; Van Dongeren, A. The influence of coral reefs and climate change on wave-driven flooding of tropical coastlines. Geophys. Res. Lett. 2015, 42, 6407–6415. [Google Scholar] [CrossRef]
- Franklin, G.L.; Torres-Freyermuth, A.; Medellín, G.; Allende-Arandia, M.E.; Appendini, C.M. The role of the reef–dune system in coastal protection in Puerto Morelos (Mexico). Nat. Hazards Earth Syst. Sci. 2018, 18, 1247–1260. [Google Scholar] [CrossRef]
- Baker, A.C.; Glynn, P.W.; Riegl, B. Climate change and coral reef bleaching: An ecological assessment of long-term impacts, recovery trends and future outlook. Estuar. Coast. Shelf Sci. 2008, 80, 435–471. [Google Scholar] [CrossRef]
- Jury, C.P.; Thomas, F.; Atkinson, M.J.; Toonen, R.J. Buffer Capacity, Ecosystem Feedbacks, and Seawater Chemistry under Global Change. Water 2013, 5, 1303–1325. [Google Scholar] [CrossRef]
- Ogston, A.S.; Field, M. Predictions of Turbidity Due to Enhanced Sediment Resuspension Resulting from Sea-Level Rise on a Fringing Coral Reef: Evidence from Molokai, Hawaii. J. Coast. Res. 2010, 26, 1027–1037. [Google Scholar] [CrossRef]
- Storlazzi, C.; Elias, E.; Field, M.E.; Presto, M.K. Numerical modeling of the impact of sea-level rise on fringing coral reef hydrodynamics and sediment transport. Coral Reefs 2011, 30, 83–96. [Google Scholar] [CrossRef]
- Grady, A.E.; Moore, L.J.; Storlazzi, C.; Elias, E.; Reidenbach, M.A. The influence of sea level rise and changes in fringing reef morphology on gradients in alongshore sediment transport. Geophys. Res. Lett. 2013, 40, 3096–3101. [Google Scholar] [CrossRef]
- Wegner, C.; Ellis, J. The Influence of Sea-Level Rise on Wave-Energy Dissipation and Wave-Driven Currents at Buck Island Reef National Monument. J. Coast. Res. 2017, 331, 56–66. [Google Scholar] [CrossRef]
- Filipot, J.-F.; Cheung, K.F. Spectral wave modeling in fringing reef environments. Coast. Eng. 2012, 67, 67–79. [Google Scholar] [CrossRef]
- Booij, N.; Ris, R.C.; Holthuijsen, L. A third-generation wave model for coastal regions: 1. Model description and validation. J. Geophys. Res. Space Phys. 1999, 104, 7649–7666. [Google Scholar] [CrossRef]
- Van Dongeren, A.; Lowe, R.; Pomeroy, A.; Trang, D.M.; Roelvink, D.; Symonds, G.; Ranasinghe, R. Numerical modeling of low-frequency wave dynamics over a fringing coral reef. Coast. Eng. 2013, 73, 178–190. [Google Scholar] [CrossRef]
- Lashley, C.H.; Roelvink, D.; Van Dongeren, A.; Buckley, M.L.; Lowe, R.J. Nonhydrostatic and surfbeat model predictions of extreme wave run-up in fringing reef environments. Coast. Eng. 2018, 137, 11–27. [Google Scholar] [CrossRef]
- Roelvink, D.; Reniers, A.J.; Van Dongeren, A.; Vries, J.V.T.D.; McCall, R.; Lescinski, J.; Van Dongeren, A. Modelling storm impacts on beaches, dunes and barrier islands. Coast. Eng. 2009, 56, 1133–1152. [Google Scholar] [CrossRef]
- McCabe, M.V.; Stansby, P.K.; Apsley, D.D. Random wave runup and overtopping a step seawall: Shallow-water and Boussinesq modelling with generalized breaking and wave impact algorithms validated against laboratory and field measurements. Coast. Eng. 2013, 74, 33–49. [Google Scholar] [CrossRef]
- Fang, K.-Z.; Yin, J.-W.; Liu, Z.-B.; Sun, J.-W.; Zou, Z.-L. Revisiting study on Boussinesq modeling of wave transformation over various reef profiles. Water Sci. Eng. 2014, 7, 306–318. [Google Scholar]
- Shimozono, T.; Tajima, Y.; Kennedy, A.; Nobuoka, H.; Sasaki, J.; Sato, S. Combined infragravity wave and sea-swell runup over fringing reefs by super typhoon Haiyan. J. Geophys. Res. Ocean. 2015, 120, 4463–4486. [Google Scholar] [CrossRef]
- Buckley, M.L.; Lowe, R.; Hansen, J.E. Evaluation of nearshore wave models in steep reef environments. Ocean. Dyn. 2014, 64, 847–862. [Google Scholar] [CrossRef]
- Zijlema, M.; Stelling, G.; Smit, P. SWASH: An operational public domain code for simulating wave fields and rapidily varied flows in coastal waters. Coast. Eng. 2011, 58, 992–1012. [Google Scholar] [CrossRef]
- Pearson, S.G.; Storlazzi, C.; Van Dongeren, A.; Tissier, M.; Reniers, A.J. A Bayesian-Based System to Assess Wave-Driven Flooding Hazards on Coral Reef-Lined Coasts. J. Geophys. Res. Ocean. 2017, 122, 10099–10117. [Google Scholar] [CrossRef]
- Church, J.A.; Clark, P.U.; Cazenave, A.; Gregory, J.M.; Jevrejeva, S.; Levermann, A.; Merrifield, M.A.; Milne, G.A.; Nerem, R.S. Sea level change. In Climate Change 2013: The Physical Science Basis. In Contribution of Working Group I to the Fifth Assessment Report of the Intergovernmental Panel on Climate Change; Stocker, T.F., Qin, D., Plattner, G.-K., Tignor, M., Allen, S.K., Boschung, J., Nauels, A., Xia, Y., Bex, V., Midgley, P.M., Eds.; Cambridge University Press: Cambridge, UK; New York, NY, USA, 2013. [Google Scholar]
- Baird, W.F. Study on Coastal Erosion in Mauritius; Report prepared for the Ministry of Environment: Port Louis, Mauritius, 2003. [Google Scholar]
- Camoin, G.F.; Colonna, M.; Montaggioni, L.F.; Casanova, J.; Faure, G.; Thomassin, B.A. Holocene sea level changes and reef development in the southwestern Indian Ocean. Coral Reefs 1997, 16, 247–259. [Google Scholar] [CrossRef]
- Daby, D. Effects of seagrass bed removal for tourism purposes in a Mauritian bay. Environ. Pollut. 2003, 125, 313–324. [Google Scholar] [CrossRef]
- Onaka, S.; Hashimoto, H.; Soogun, S.N.B.; Jheengut, A. Coastal Erosion and Demonstration Project as Coastal Adaptation Measures in Mauritius. In Handbook of Coastal Disaster Mitigation for Engineers and Planners; Elsevier BV: Amsterdam, The Netherlands, 2015; pp. 561–577. [Google Scholar]
- MMCS. Etude de Faisabilité pour la Mise en Place D’une ou Plusieurs Aires Marine Protégées sur la Côte Sud-Ouest de Maurice (Cartographie des Habitats et de la Valeur Patrimoniale); Report of the Mauritius Conservation Society: Port Louis, Mauritius, 2010. [Google Scholar]
- Callaghan, D.P.; Mumby, P.J.; Mason, M.S. Near-reef and nearshore tropical cyclone wave climate in the Great Barrier Reef with and without reef structure. Coast. Eng. 2020, 157, 103652. [Google Scholar] [CrossRef]
- Dee, D.P.; Uppala, S.M.; Simmons, A.J.; Berrisford, P.; Poli, P.; Kobayashi, S.; Andrae, U.; Balmaseda, M.A.; Balsamo, G.; Bauer, P.; et al. The ERA-Interim reanalysis: Configuration and performance of the data assimilation system. Q. J. R. Meteor. Soc. 2011, 137, 553–597. [Google Scholar] [CrossRef]
- ECMWF. Available online: https://www.ecmwf.int/en/forecasts/datasets (accessed on 15 January 2018).
- Naseef, T.M.; Kumar, V.S. Variations in return value estimate of ocean surface waves—A study based on measured buoy data and ERA-Interim reanalysis data. Nat. Hazards Earth Syst. Sci. 2017, 17, 1763–1778. [Google Scholar] [CrossRef]
- Sterl, A.; Caires, S. Climatology, variability and extrema of ocean waves: The Web-based KNMI/ERA-40 wave atlas. Int. J. Clim. 2005, 25, 963–977. [Google Scholar] [CrossRef]
- Rogers, J.S.; Monismith, S.G.; Koweek, D.A.; Dunbar, R.B. Wave dynamics of a P acific A toll with high frictional effects. J. Geophys. Res. Ocean. 2016, 121, 350–367. [Google Scholar] [CrossRef]
- Sheppard, C.; Dixon, D.J.; Gourlay, M.; Sheppard, A.; Payet, R. Coral mortality increases wave energy reaching shores protected by reef flats: Examples from the Seychelles. Estuar. Coast. Shelf Sci. 2005, 64, 223–234. [Google Scholar] [CrossRef]
- Lowe, R.; Falter, J.L.; Bandet, M.D.; Pawlak, G.; Atkinson, M.J.; Monismith, S.G.; Koseff, J.R. Spectral wave dissipation over a barrier reef. J. Geophys. Res. Space Phys. 2005, 110, 04001. [Google Scholar] [CrossRef]
- Monismith, S.G.; Rogers, J.S.; Koweek, D.A.; Dunbar, R.B. Frictional wave dissipation on a remarkably rough reef. Geophys. Res. Lett. 2015, 42, 4063–4071. [Google Scholar] [CrossRef]
- Wong, P.P.; Losada, I.J.; Gattuso, J.-P.; Hinkel, J.; Khattabi, A.; McInnes, K.; Sato, Y.; Sallenger, A. Coastal systems and low-lying areas. In Climate Change 2014: Impacts, Adaptation, and Vulnerability. Part A: Global and Sectoral Aspects. Contribution of Working Group II to the Fifth Assessment Report of the Intergovernmental Panel on Climate Change; Cambridge University Press: Cambridge, UK; New York, NY, USA, 2013; pp. 361–409. [Google Scholar]
- Holthuijsen, L.H. Waves in Oceanic and Coastal Waters by Leo H. Holthuijsen; Cambridge University Press (CUP): Cambridge, UK, 2007. [Google Scholar]
- Gupta, N.; Bhaskaran, P.K.; Dash, M.K. Recent trends in wind-wave climate for the Indian Ocean. Curr. Sci. 2015, 108, 2191–2201. [Google Scholar]
- Pascolo, S.; Petti, M.; Bosa, S. On the Wave Bottom Shear Stress in Shallow Depths: The Role of Wave Period and Bed Roughness. Water 2018, 10, 1348. [Google Scholar] [CrossRef]
- Beck, M.W.; Losada, I.J.; Menéndez, P.; Reguero, B.G.; Díaz-Simal, P.; Fernández, P.M. The global flood protection savings provided by coral reefs. Nat. Commun. 2018, 9, 2186. [Google Scholar] [CrossRef]
- Pascolo, S.; Petti, M.; Bosa, S. Wave–Current Interaction: A 2DH Model for Turbulent Jet and Bottom-Friction Dissipation. Water 2018, 10, 392. [Google Scholar] [CrossRef]
- Lentz, S.; Churchill, J.H.; Davis, K.A.; Farrar, J.T. Surface gravity wave transformation across a platform coral reef in the R ed S ea. J. Geophys. Res. Ocean. 2016, 121, 693–705. [Google Scholar] [CrossRef]
- Wild, C.; Hoegh-Guldberg, O.; Naumann, M.; Colombo-Pallotta, M.F.; Ateweberhan, M.; Fitt, W.; Iglesias-Prieto, R.; Palmer, C.; Bythell, J.; Ortiz, J.-C.; et al. Climate change impedes scleractinian corals as primary reef ecosystem engineers. Mar. Freshw. Res. 2011, 62, 205–215. [Google Scholar] [CrossRef]
- Pandolfi, J.M.; Connolly, S.R.; Marshall, D.J.; Cohen, A.L. Projecting Coral Reef Futures under Global Warming and Ocean Acidification. Sciences 2011, 333, 418–422. [Google Scholar] [CrossRef]
- McIntire, W.G.; Walker, H.J. Tropical cyclones and coastal morphology in mauritius1. Ann. Assoc. Am. Geogr. 1964, 54, 582–596. [Google Scholar] [CrossRef]
- Péquignet, A.-C.; Becker, J.M.; Merrifield, M.A.; Boc, S.J. The dissipation of wind wave energy across a fringing reef at Ipan, Guam. Coral Reefs 2011, 30, 71–82. [Google Scholar] [CrossRef]
- Costa, M.; Araújo, M.; Araújo, T.C.; Siegle, E. Influence of reef geometry on wave attenuation on a Brazilian coral reef. Geomorphoogy 2016, 253, 318–327. [Google Scholar] [CrossRef]
- Hilmi, N.; Safa, A.; Sumalia, U.R.; Cinar, E.M. Coral reefs management and decision making tools. Ocean. Coast. Manag. 2017, 146, 60–66. [Google Scholar] [CrossRef]
- Loiola, M.; Oliveira, M.D.; Kikuchi, R.K.P. Tolerance of Brazilian brain coral Mussismilia braziliensis to sediment and organic matter inputs. Mar. Pollut. Bull. 2013, 77, 55–62. [Google Scholar] [CrossRef]
- Roberts, M.; Hanley, N.; Williams, S.; Cresswell, W. Terrestrial degradation impacts on coastal reef health: Evidence from the Caribbean. Ocean Coast. Manag. 2017, 149, 52–68. [Google Scholar] [CrossRef]
- Brandão, C.D.S.; Malta, A.; Schiavetti, A. Temporal assessment of the management effectiveness of reef environments: The role of marine protected areas in Brazil. Ocean. Coast. Manag. 2017, 142, 111–121. [Google Scholar] [CrossRef]
- Chiappone, M.; Dienes, H.; Swanson, D.W.; Miller, S.L. Impacts of lost fishing gear on coral reef sessile invertebrates in the Florida Keys National Marine Sanctuary. Boil. Conserv. 2005, 121, 221–230. [Google Scholar] [CrossRef]
- Jenkins, M. The Coral Nursery with pollution, climate change and other threats ravaging Caribbean corals, a massive conservancy project is hand-planting nursery-grown replacements and setting the stage for a coral reef revival. Nat. Conserv. 2010, 60, 30. [Google Scholar]
- Langarica, J.D.J.A.T.; Cupul-Magaña, A.; Rodríguez-Troncoso, A.P.; Cupul-Magaña, A. Restoration of a degraded coral reef using a natural remediation process: A case study from a Central Mexican Pacific National Park. Ocean. Coast. Manag. 2014, 96, 12–19. [Google Scholar] [CrossRef]
- Lirman, D.; Thyberg, T.; Herlan, J.; Hill, C.; Young-Lahiff, C.; Schopmeyer, S.; Huntington, B.; Santos, R.; Drury, C. Propagation of the threatened staghorn coral Acropora cerviconis: Methods to minimize the impacts of fragment collection and maximize production. Coral Reefs 2010, 29, 729–735. [Google Scholar] [CrossRef]
- Young, C.; Schopmeyer, S.; Lirman, D. A Review of Reef Restoration and Coral Propagation Using the Threatened Genus Acropora in the Caribbean and Western Atlantic. Bull. Mar. Sci. 2012, 88, 1075–1098. [Google Scholar] [CrossRef]
- Elliff, C.; Silva, I.R. Coral reefs as the first line of defense: Shoreline protection in face of climate change. Mar. Environ. Res. 2017, 127, 148–154. [Google Scholar] [CrossRef]
- Cowburn, B.; Moritz, C.; Birrell, C.; Grimsditch, G.; Abdulla, A. Can luxury and environmental sustainability co-exist? Assessing the environmental impact of resort tourism on coral reefs in the Maldives. Ocean. Coast. Manag. 2018, 158, 120–127. [Google Scholar] [CrossRef]











| Location | Friction Coefficients | |
|---|---|---|
| Current Coral Condition | Dead Coral | |
| Reef Flat, Fore-reef/Buttress Zone (20 m) | 0.25 | 0.1 |
| Lagoon | 0.15 | 0.1 |
| Deep Fore Reef | 0.1 | 0.1 |
| Regional | Global | ||
|---|---|---|---|
| RCP4.5 | RCP8.5 | RCP8.5 | |
| Mean Sea Level Change (m) | 0.52 [0.30, 0.77] | 0.68 | 0.74 [0.52, 0.98] |
| Scenario | Description | SLR | Reef Condition | Water Level above LMWL (m) | |
|---|---|---|---|---|---|
| Present | Reference | Present conditions | N/A | Current | 0 |
| Sc4 | Present conditions + dead reef | N/A | Dead | 0 | |
| Future | Sc1 | Future conditions RCP4.5 | RCP4.5 (Reg. mean) | Dead | 0.52 |
| Sc2 | Future conditions RCP8.5 | RCP8.5 (Reg. mean) | Dead | 0.68 | |
| Sc3 | Future conditions RCP8.5 (upper 5%) | RCP8.5 (Up. limit) | Dead | 0.98 | |
| Sc5 | Future conditions RCP4.5 (same reef roughness, no grow) | RCP4.5 (Reg. mean) | Current | 0.52 | |
| Sc6 | Future conditions RCP4.5 +5% increase in Hs | RCP4.5 (Reg. mean) | Dead | 0.52 |
| Event | RP (Years) | Hs (m) | Tp (s) | Surge (m) | SLR | Reef State | SLR (m) Added | |
|---|---|---|---|---|---|---|---|---|
| Present | Ev1 | 5 | 5.0 | 10.5 | 0.16 | N/A | Current | 0 |
| Ev2 | 25 | 6.0 | 10.8 | 0.33 | N/A | Current | 0 | |
| Ev3 | 50 | 6.4 | 10.9 | 0.43 | N/A | Current | 0 | |
| Ev4 | 100 | 6.8 | 11.0 | 0.54 | N/A | Current | 0 | |
| Future | Ev5 | 5 | 5.0 | 10.5 | 0.16 | RCP4.5 | Dead | 0.52 |
| Ev6 | 25 | 6.0 | 10.8 | 0.33 | RCP4.5 | Dead | 0.52 | |
| Ev7 | 50 | 6.4 | 10.9 | 0.43 | RCP4.5 | Dead | 0.52 | |
| Ev8 | 100 | 6.8 | 11.0 | 0.54 | RCP4.5 | Dead | 0.52 | |
| Ev9 | 5 | 5.0 | 10.5 | 0.16 | RCP8.5 | Dead | 0.68 | |
| Ev10 | 25 | 6.0 | 10.8 | 0.33 | RCP8.5 | Dead | 0.68 | |
| Ev11 | 50 | 6.4 | 10.9 | 0.43 | RCP8.5 | Dead | 0.68 | |
| Ev12 | 100 | 6.8 | 11.0 | 0.54 | RCP8.5 | Dead | 0.68 |
| RP (Years) | RCP4.5 | RCP8.5 |
|---|---|---|
| 5 | 88% | 107% |
| 25 | 38% | 50% |
| 50 | 49% | 60% |
| 100 | 44% | 52% |
© 2020 by the authors. Licensee MDPI, Basel, Switzerland. This article is an open access article distributed under the terms and conditions of the Creative Commons Attribution (CC BY) license (http://creativecommons.org/licenses/by/4.0/).
Share and Cite
de Lalouvière, C.l.H.; Gracia, V.; Sierra, J.P.; Lin-Ye, J.; García-León, M. Impact of Climate Change on Nearshore Waves at a Beach Protected by a Barrier Reef. Water 2020, 12, 1681. https://doi.org/10.3390/w12061681
de Lalouvière ClH, Gracia V, Sierra JP, Lin-Ye J, García-León M. Impact of Climate Change on Nearshore Waves at a Beach Protected by a Barrier Reef. Water. 2020; 12(6):1681. https://doi.org/10.3390/w12061681
Chicago/Turabian Stylede Lalouvière, Claude la Hausse, Vicente Gracia, Joan Pau Sierra, Jue Lin-Ye, and Manuel García-León. 2020. "Impact of Climate Change on Nearshore Waves at a Beach Protected by a Barrier Reef" Water 12, no. 6: 1681. https://doi.org/10.3390/w12061681
APA Stylede Lalouvière, C. l. H., Gracia, V., Sierra, J. P., Lin-Ye, J., & García-León, M. (2020). Impact of Climate Change on Nearshore Waves at a Beach Protected by a Barrier Reef. Water, 12(6), 1681. https://doi.org/10.3390/w12061681

