Simulation of the Potential Impacts of Projected Climate Change on Streamflow in the Vakhsh River Basin in Central Asia under CMIP5 RCP Scenarios
Abstract
1. Introduction
2. Materials and Methods
2.1. Study Area
2.2. Data
Measured and GCM-Based Climate Datasets
2.3. The Digital Elevation Model (DEM), Land Cover, and Soil Data
2.4. Soil and Water Assessment Tool (SWAT)
2.4.1. Sequential Uncertainty Fitting Version 2 (SUFI-2)
2.4.2. Elevation Bands
2.5. Calibration, Validation, and Sensitivity Analysis
Assessment of the Hydrological Model’s Performance
2.6. Additive and Multiplicative Methods of Change Factors
3. Results
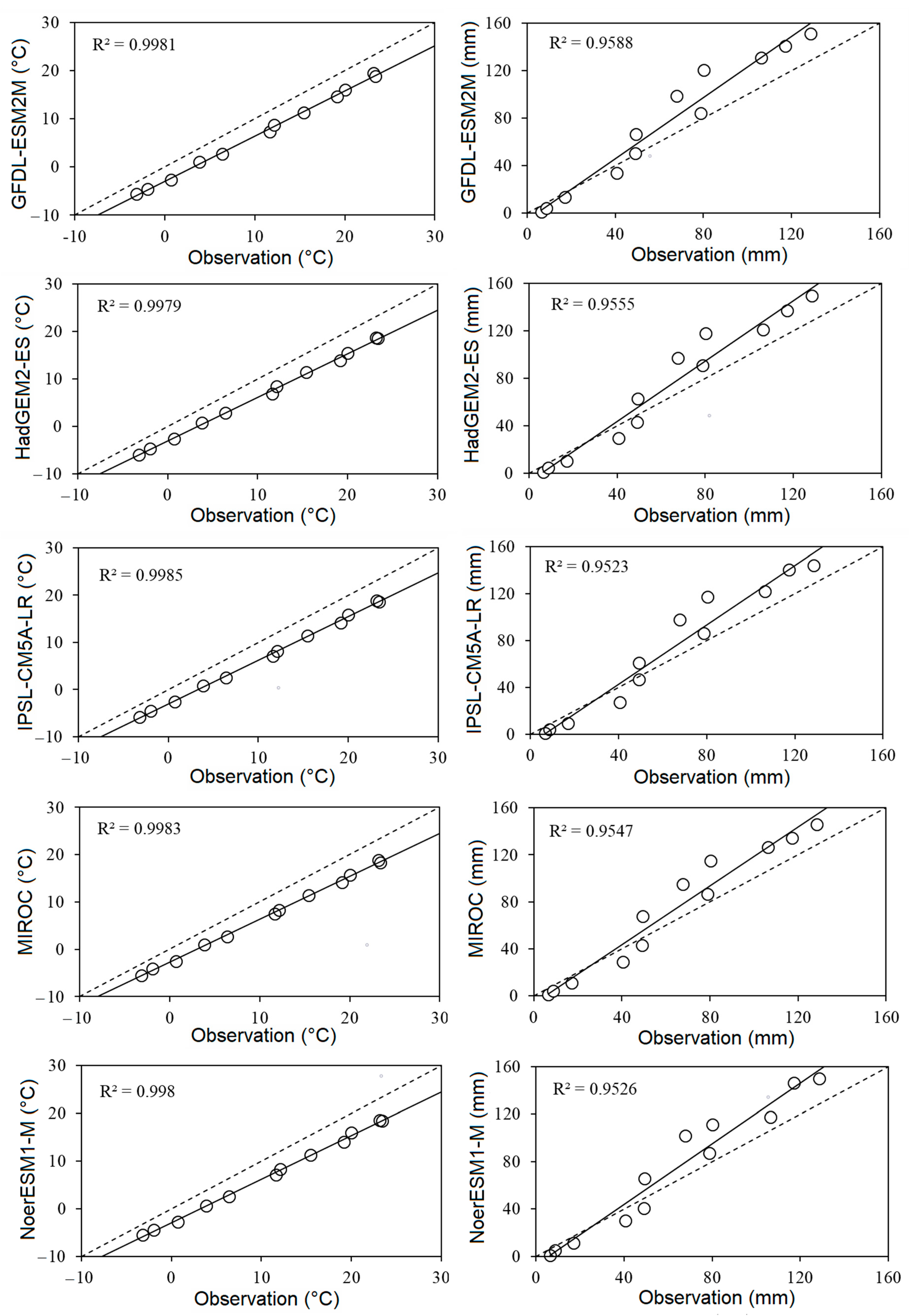
3.1. Correlation between GCMs and Data Observed In Situ
3.2. Changes in Annual Precipitation and Temperature
3.3. Changes in Future Seasonal Maximum/Minimum Temperature and Precipitation
3.4. Hydrological Modeling Results
3.5. Projected Effect of Climate Change on Streamflow
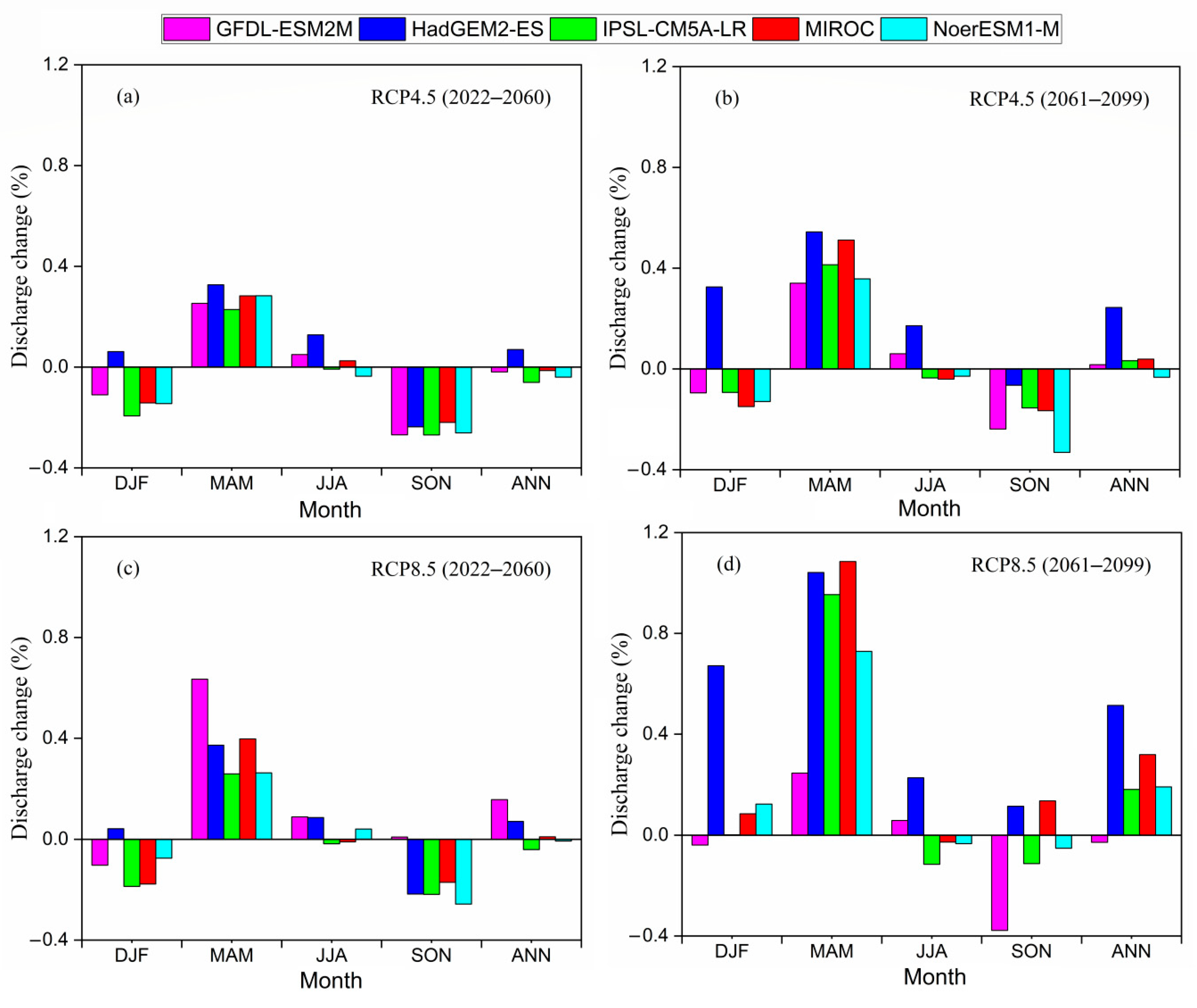
3.5.1. Future Changes in the Annual and Seasonal Streamflow
3.5.2. Future Changes in Extreme Discharges
3.5.3. Discharge and Snowmelt Changes under Future Scenarios and Shifts in the Peak Flows
4. Discussion
5. Conclusions
- (1)
- Based on the values of uncertainty and statistical evaluation indices of the simulated streamflow, it is concluded that under altering climatic conditions in the Vakhsh River Basin in Central Asia, the hydrological SWAT model is reliable to simulate the streamflow.
- (2)
- The maximum/minimum temperatures are expected to increase consistently in the future time periods of 2022–2060 and 2061–2099 relative to the baseline condition (1966–2004) under both RCP4.5 and RCP8.5.
- (3)
- The results of three GCMs indicated a decreasing tendency of annual average precipitation (from −1.7% to −16.0% under RCP4.5 and from −3.4% to −29.8% under RCP8.5). Under RCP8.5, two GCMs (HadGEM2-ES and MIROC) indicated an increase (from 2.3% to 5.3%) in the average annual precipitation in the 2061–2099 time period. Among the five GCMs, the IPSL-CM5A-LR model showed a significant decreasing trend in annual precipitation over two future time periods, 2022–2060 and 2061–2099, under RCPs 4.5 and 8.5. In winter, the GCMs mostly showed a decreasing trend; however, the HadGEM2-ES model showed a significant increasing trend during two future periods under RCPs 4.5 and 8.5 in winter. The current findings indicate that the probable mean annual precipitation varied in the range of uncertainty. The range of variation in average annual precipitation generally decreased. The multi-model ensemble (MME) predicted a decrease in mean annual precipitation (from −4.46% to −7.42%) during the two future time period and under both RCPs. However, the MME predicted an increase in winter precipitation in the 2022–2060 and 2061–2099 time periods (from 0.42% to 5.1% under RCPs 4.5 and 8.5).
- (4)
- Modeled flow results for almost all five GCMs revealed an increasing trend in average annual flow in the 2061–2099 future time period under RCP4.5 and RCP8.5, except for one GCM (NoerESM1-M) under RCP4.5 which indicated a decreasing trend. Generally, the seasonal variation of the two future periods under both RCPs showed a clear decrease in average flow during fall and winter and increasing trends in spring and summer. Simulated results of the multi-model ensemble indicated an increasing trend of annual average flow in the far (2061–2099) future time period under both RCP4.5 (6.90%) and RCP8.5 (28.73%). For the annual average flow in the near (2022–2060), RCP4.5 (−1.25%) showed opposite trends to RCP8.5 (0.73%). From the aspect of seasonal variation, under both RCPs, the MME indicated a decreasing trend of the fall and winter flows in the near future time period (from −24.06% to −24.36% and from −11.25% to −13.92%). However, in fall and winter seasons, flows are expected to increase in the end of the 21st century under both RCPs (3.75% and 12.75%). The MME revealed an increasing trend in summer and spring flows during the future time periods 2022–2060 and 2061–2099 under both RCPs 4.5 and 8.5 (from 1.72% to 2.65% and from 30.59% to 95.69%). In this study, uncertainty in flow simulation existed because we treated the ice melt of glaciers as snowmelt in the SWAT model. In the GCM models, uncertainties also exist, which are propagated into SWAT. The streamflow, snowmelt simulation, and results description could be influenced by GCM uncertainties.
- (5)
- Analysis of the flow duration curves revealed, for all GCMs, a possible increase in the high flows projected under both RCPs for the two future time periods. However, in the basin, the low flow was projected to decrease under RCP4.5 and RCP8.5 in the 2022–2060 and 2061–2099 time periods compared to the baseline condition (1966–2004). We found that the high flow was projected to increase more strongly in the future compared to the median and low flows. The possible decrease in the low flow was higher than the decrease in the median flow.
- (6)
- It is expected that snowmelt might increase continuously with increasing temperature, and the average monthly peak discharge in the Vakhsh River Basin might shift to earlier in the summer season, from July to June, while a significant decreasing tendency in the average monthly peak discharge was found in August and September for the two future time periods under both the RCP4.5 and RCP8.5 scenarios.
Author Contributions
Funding
Acknowledgments
Conflicts of Interest
References
- Arheimer, B.; Donnelly, C.; Lindström, G. Regulation of snow-fed rivers affects flow regimes more than climate change. Nat. Commun. 2017, 8, 62. [Google Scholar] [CrossRef] [PubMed]
- Jiang, Z.; Li, W.; Xu, J.; Li, L. Extreme precipitation indices over China in CMIP5 models. Part I: Model evaluation. J. Clim. 2015, 28, 8603–8619. [Google Scholar] [CrossRef]
- Piao, S.; Ciais, P.; Huang, Y.; Shen, Z.; Peng, S.; Li, J.; Zhou, L.; Liu, H.; Ma, Y.; Ding, Y. The impacts of climate change on water resources and agriculture in China. Nature 2010, 467, 43. [Google Scholar] [CrossRef]
- Zhao, G.; Tian, P.; Mu, X.; Jiao, J.; Wang, F.; Gao, P. Quantifying the impact of climate variability and human activities on streamflow in the middle reaches of the Yellow River basin, China. J. Hydrol. 2014, 519, 387–398. [Google Scholar] [CrossRef]
- Schlüter, M.; Savitsky, A.G.; McKinney, D.C.; Lieth, H. Optimizing long-term water allocation in the Amudarya River delta: A water management model for ecological impact assessment. Environ. Modell. Softw. 2005, 20, 529–545. [Google Scholar] [CrossRef]
- Jalilov, S.-M.; Keskinen, M.; Varis, O.; Amer, S.; Ward, F.A. Managing the water–energy–food nexus: Gains and losses from new water development in Amu Darya River Basin. J. Hydrol. 2016, 539, 648–661. [Google Scholar] [CrossRef]
- ICWC. Interstate Commission for Water Coordination in Central Asia. Basin Water Organization of Amu Darya River Basin. Available online: http://www.icwc-aral.uz/bwoamuru.htm (accessed on 7 February 2019).
- Barontini, S.; Grossi, G.; Kouwen, N.; Maran, S.; Scaroni, P.; Ranzi, R. Impacts of climate change scenarios on runoff regimes in the southern Alps. Hydrol. Earth Syst. Sci. Discus. 2009, 6, 3089–3141. [Google Scholar] [CrossRef]
- Shiyin, L.; Yong, Z.; Yingsong, Z.; Yongjian, D. Estimation of glacier runoff and future trends in the Yangtze River source region, China. J. Glaciol. 2009, 55, 353–362. [Google Scholar] [CrossRef]
- Jeelani, G.; Feddema, J.J.; van der Veen, C.J.; Stearns, L. Role of snow and glacier melt in controlling river hydrology in Liddar watershed (western Himalaya) under current and future climate. Water Resour. Res. 2012, 48. [Google Scholar] [CrossRef]
- Bavay, M.; Grünewald, T.; Lehning, M. Response of snow cover and runoff to climate change in high Alpine catchments of Eastern Switzerland. Adv. Water Resour. 2013, 55, 4–16. [Google Scholar] [CrossRef]
- Deng, H.; Chen, Y.; Wang, H.; Zhang, S. Climate change with elevation and its potential impact on water resources in the Tianshan Mountains, Central Asia. Glob. Planet. Chang. 2015, 135, 28–37. [Google Scholar] [CrossRef]
- Omani, N.; Srinivasan, R.; Karthikeyan, R.; Reddy, V.; Smith, P.K. Impacts of climate change on the glacier melt runoff from five river basins. Trans. ASABE 2016, 59, 829–848. [Google Scholar]
- Mahmood, R.; Jia, S. Assessment of impacts of climate change on the water resources of the transboundary Jhelum River basin of Pakistan and India. Water 2016, 8, 246. [Google Scholar] [CrossRef]
- Garee, K.; Chen, X.; Bao, A.; Wang, Y.; Meng, F. Hydrological modeling of the upper indus basin: A case study from a high-altitude glacierized catchment Hunza. Water 2017, 9, 17. [Google Scholar] [CrossRef]
- Immerzeel, W.W.; Van Beek, L.P.; Bierkens, M.F. Climate change will affect the Asian water towers. Science 2010, 328, 1382–1385. [Google Scholar] [CrossRef]
- White, C.J.; Tanton, T.W.; Rycroft, D.W. The impact of climate change on the water resources of the Amu Darya basin in central Asia. Water Res. Manag. 2014, 28, 5267–5281. [Google Scholar] [CrossRef]
- Kayumov, A.; Novikov, V. (Eds.) The Third National Communication of the Republic of Tajikistan Under the United Nation Framework Convention on Climate Change; The Government of the Republic of Tajikistan: Dushanbe, Tajikistan, 2014; p. 155.
- Konovalov, V. Extreme and Average Glacier Runoff in the Amudarya River Basin; Springer: Dordrecht, The Netherlands, 2009; pp. 371–376. [Google Scholar]
- Luo, Y.; Wang, X.; Piao, S.; Sun, L.; Ciais, P.; Zhang, Y.; Ma, C.; Gan, R.; He, C. Contrasting streamflow regimes induced by melting glaciers across the Tien Shan–Pamir–North Karakoram. Sci. Rep. 2018, 8, 16470. [Google Scholar] [CrossRef]
- Lutz, A.; Immerzeel, W.; Shrestha, A.; Bierkens, M. Consistent increase in High Asia’s runoff due to increasing glacier melt and precipitation. Nat. Clim. Chang. 2014, 4, 587. [Google Scholar] [CrossRef]
- You, Q.; Min, J.; Kang, S. Rapid warming in the Tibetan Plateau from observations and CMIP5 models in recent decades. Int. J. Climatol. 2016, 36, 2660–2670. [Google Scholar] [CrossRef]
- Mannig, B.; Müller, M.; Starke, E.; Merkenschlager, C.; Mao, W.; Zhi, X.; Podzun, R.; Jacob, D.; Paeth, H. Dynamical downscaling of climate change in Central Asia. Glob. Planet. Chang. 2013, 110, 26–39. [Google Scholar] [CrossRef]
- Reyer, C.P.; Otto, I.M.; Adams, S.; Albrecht, T.; Baarsch, F.; Cartsburg, M.; Coumou, D.; Eden, A.; Ludi, E.; Marcus, R. Climate change impacts in Central Asia and their implications for development. Reg. Environ. Chang. 2017, 17, 1639–1650. [Google Scholar] [CrossRef]
- Bollasina, M.A.; Ming, Y.; Ramaswamy, V. Anthropogenic aerosols and the weakening of the South Asian summer monsoon. Science 2011, 334, 502–505. [Google Scholar] [CrossRef] [PubMed]
- Xin, J.; Gong, C.; Wang, S.; Wang, Y. Aerosol direct radiative forcing in desert and semi-desert regions of northwestern China. Atmos. Res. 2016, 171, 56–65. [Google Scholar] [CrossRef]
- Li, Z.; Chen, Y.; Fang, G.; Li, Y. Multivariate assessment and attribution of droughts in Central Asia. Sci. Rep. 2017, 7, 1316. [Google Scholar] [CrossRef]
- Unger-Shayesteh, K.; Vorogushyn, S.; Farinotti, D.; Gafurov, A.; Duethmann, D.; Mandychev, A.; Merz, B. What do we know about past changes in the water cycle of Central Asian headwaters? A review. Glob. Planet. Chang. 2013, 110, 4–25. [Google Scholar] [CrossRef]
- Meng, X.; Long, A.; Wu, Y.; Yin, G.; Wang, H.; Ji, X. Simulation and spatiotemporal pattern of air temperature and precipitation in Eastern Central Asia using RegCM. Sci. Rep. 2018, 8, 3639. [Google Scholar] [CrossRef]
- Malsy, M.; aus der Beek, T.; Flörke, M. Evaluation of large-scale precipitation data sets for water resources modelling in Central Asia. Environ. Earth Sci. 2015, 73, 787–799. [Google Scholar] [CrossRef]
- Liu, Q.; Cui, B. Impacts of climate change/variability on the streamflow in the Yellow River Basin, China. Ecol. Modell. 2011, 222, 268–274. [Google Scholar] [CrossRef]
- Zhang, Y.; You, Q.; Chen, C.; Ge, J. Impacts of climate change on streamflows under RCP scenarios: A case study in Xin River Basin, China. Atmos. Res. 2016, 178, 521–534. [Google Scholar] [CrossRef]
- Tabari, H.; Willems, P. Seasonally varying footprint of climate change on precipitation in the Middle East. Sci. Rep. 2018, 8, 4435. [Google Scholar] [CrossRef]
- Ozturk, T.; Turp, M.T.; Türkeş, M.; Kurnaz, M.L. Projected changes in temperature and precipitation climatology of Central Asia CORDEX Region 8 by using RegCM4. 3.5. Atmos. Res. 2017, 183, 296–307. [Google Scholar] [CrossRef]
- Luo, K.; Tao, F.; Moiwo, J.P.; Xiao, D. Attribution of hydrological change in Heihe River Basin to climate and land use change in the past three decades. Sci. Rep. 2016, 6, 33704. [Google Scholar] [CrossRef]
- Babur, M.; Babel, M.; Shrestha, S.; Kawasaki, A.; Tripathi, N. Assessment of climate change impact on reservoir inflows using multi climate-models under RCPs—The case of Mangla Dam in Pakistan. Water 2016, 8, 389. [Google Scholar] [CrossRef]
- Christensen, N.; Lettenmaier, D.P. A multimodel ensemble approach to assessment of climate change impacts on the hydrology and water resources of the Colorado River Basin. Hydrol. Earth Syst. Sci. Discus. 2006, 3, 3727–3770. [Google Scholar] [CrossRef]
- Hayhoe, K.; Wake, C.P.; Huntington, T.G.; Luo, L.; Schwartz, M.D.; Sheffield, J.; Wood, E.; Anderson, B.; Bradbury, J.; DeGaetano, A. Past and future changes in climate and hydrological indicators in the US Northeast. Clim. Dyn. 2007, 28, 381–407. [Google Scholar] [CrossRef]
- Velázquez, J.; Schmid, J.; Ricard, S.; Muerth, M.; Gauvin St-Denis, B.; Minville, M.; Chaumont, D.; Caya, D.; Ludwig, R.; Turcotte, R. An ensemble approach to assess hydrological models’ contribution to uncertainties in the analysis of climate change impact on water resources. Hydrol. Earth Syst. Sci. 2013, 17, 565–578. [Google Scholar] [CrossRef]
- Akhtar, M.; Ahmad, N.; Booij, M.J. Use of regional climate model simulations as input for hydrological models for the Hindukush-Karakorum-Himalaya region. Hydrol. Earth Syst. Sci. 2009, 13, 1075–1089. [Google Scholar] [CrossRef]
- Schewe, J.; Heinke, J.; Gerten, D.; Haddeland, I.; Arnell, N.W.; Clark, D.B.; Dankers, R.; Eisner, S.; Fekete, B.M.; Colón-González, F.J. Multimodel assessment of water scarcity under climate change. Proc. Natl. Acad. Sci. USA 2014, 111, 3245–3250. [Google Scholar] [CrossRef]
- Mueller Schmied, H.; Adam, L.; Eisner, S.; Fink, G.; Flörke, M.; Kim, H.; Oki, T.; Portmann, F.T.; Reinecke, R.; Riedel, C. Variations of global and continental water balance components as impacted by climate forcing uncertainty and human water use. Hydrol. Earth Syst. Sci. 2016, 20, 2877–2898. [Google Scholar] [CrossRef]
- Olesen, J.E.; Carter, T.R.; Diaz-Ambrona, C.; Fronzek, S.; Heidmann, T.; Hickler, T.; Holt, T.; Minguez, M.I.; Morales, P.; Palutikof, J.P. Uncertainties in projected impacts of climate change on European agriculture and terrestrial ecosystems based on scenarios from regional climate models. Clim. Chang. 2007, 81, 123–143. [Google Scholar] [CrossRef]
- Mango, L.M.; Melesse, A.M.; McClain, M.E.; Gann, D.; Setegn, S. Land use and climate change impacts on the hydrology of the upper Mara River Basin, Kenya: Results of a modeling study to support better resource management. Hydrol. Earth Syst. Sci. 2011, 15, 2245–2258. [Google Scholar] [CrossRef]
- Van Liew, M.W.; Feng, S.; Pathak, T.B. Assessing climate change impacts on water balance, runoff, and water quality at the field scale for four locations in the heartland. Trans. ASABE 2013, 56, 883–900. [Google Scholar]
- Fu, G.; Charles, S.P.; Chiew, F.H. A two-parameter climate elasticity of streamflow index to assess climate change effects on annual streamflow. Water Resour. Res. 2007, 43. [Google Scholar] [CrossRef]
- Sankarasubramanian, A.; Vogel, R.M. Annual hydroclimatology of the United States. Water Resour. Res. 2002, 38. [Google Scholar] [CrossRef]
- Her, Y.; Chaubey, I. Impact of the numbers of observations and calibration parameters on equifinality, model performance, and output and parameter uncertainty. Hydrol. Process. 2015, 29, 4220–4237. [Google Scholar] [CrossRef]
- Chai, Y.; Li, Y.; Yang, Y.; Zhu, B.; Li, S.; Xu, C.; Liu, C. Influence of Climate Variability and Reservoir Operation on Streamflow in the Yangtze River. Sci. Rep. 2019, 9, 5060. [Google Scholar] [CrossRef]
- Elliott, J.; Deryng, D.; Mueller, C.; Frieler, K.; Konzmann, M.; Gerten, D.; Glotter, M.; Florke, M.; Wada, Y.; Best, N.; et al. Constraints and potentials of future irrigation water availability on agricultural production under climate change. Proc. Natl. Acad. Sci. USA 2014, 111, 3239–3244. [Google Scholar] [CrossRef]
- Bicknell, B.R.; Imhoff, J.C.; Kittle, J.L., Jr.; Donigian, A.S., Jr.; Johanson, R.C. Hydrological Simulation Program-FORTRAN. User’s Manual for Release 11; United States Environmental Protection Agency: Washington, DC, USA, 1997. [Google Scholar]
- Anjum, M.N.; Ding, Y.; Shangguan, D. Simulation of the projected climate change impacts on the river flow regimes under CMIP5 RCP scenarios in the westerlies dominated belt, northern Pakistan. Atmos. Res. 2019, 227, 233–248. [Google Scholar] [CrossRef]
- Luo, M.; Meng, F.; Liu, T.; Duan, Y.; Frankl, A.; Kurban, A.; De Maeyer, P. Multi–model ensemble approaches to assessment of effects of local Climate Change on water resources of the Hotan River Basin in Xinjiang, China. Water 2017, 9, 584. [Google Scholar] [CrossRef]
- Rouholahnejad, E.; Abbaspour, K.C.; Srinivasan, R.; Bacu, V.; Lehmann, A. Water resources of the Black Sea Basin at high spatial and temporal resolution. Water Resour. Res. 2014, 50, 5866–5885. [Google Scholar] [CrossRef]
- Vaghefi, S.A.; Abbaspour, N.; Kamali, B.; Abbaspour, K.C. A toolkit for climate change analysis and pattern recognition for extreme weather conditions—Case study: California-Baja California Peninsula. Environ. Modell. Softw. 2017, 96, 181–198. [Google Scholar] [CrossRef]
- Hempel, S.; Frieler, K.; Warszawski, L.; Schewe, J.; Piontek, F. A trend-preserving bias correction–the ISI-MIP approach. Earth Syst. Dyn. 2013, 4, 219–236. [Google Scholar] [CrossRef]
- Jarvis, A.; Reuter, H.I.; Nelson, A.; Guevara, E. Hole-Filled SRTM for the Globe Version 4. The CGIAR-CSI SRTM 90 m Database. 2008, 15, 25–54. Available online: http://srtm.csi.cgiar.org (accessed on 16 July 2019).
- Arino, O.; Ramos Perez, J.J.; Kalogirou, V.; Bontemps, S.; Defourny, P.; Van Bogaert, E. Global Land Cover Map for 2009 (GlobCover 2009); European Space Agency: Paris, France; University College London: London, UK, 2012. [Google Scholar]
- Food and Agriculture Organization; International Institute for Applied Systems Analysis; International Soil Reference and Information Centre. JRC: Harmonized World Soil Database (Version 1.2); FAO: Rome, Italy; IIASA: Laxenburg, Austria, 2012. [Google Scholar]
- Arnold, J.G.; Srinivasan, R.; Muttiah, R.S.; Williams, J.R. Large area hydrologic modeling and assessment part I: Model development 1. JAWRA J. Am. Water Resour. Assoc. 1998, 34, 73–89. [Google Scholar] [CrossRef]
- Arnold, J.G.; Moriasi, D.N.; Gassman, P.W.; Abbaspour, K.C.; White, M.J.; Srinivasan, R.; Santhi, C.; Harmel, R.; Van Griensven, A.; Van Liew, M.W. SWAT: Model use, calibration, and validation. Trans. ASABE 2012, 55, 1491–1508. [Google Scholar] [CrossRef]
- Neitsch, S.L.; Arnold, J.G.; Kiniry, J.R.; Williams, J.R. Soil and Water Assessment Tool Theoretical Documentation Version 2009; Texas Water Resources Institute: College Station, TX, USA, 2011. [Google Scholar]
- Ahl, R.S.; Woods, S.W.; Zuuring, H.R. Hydrologic calibration and validation of swat in a snow-dominated rocky mountain watershed, montana, USA 1. JAWRA J. Am. Water Resour. Assoc. 2008, 44, 1411–1430. [Google Scholar] [CrossRef]
- Grusson, Y.; Sun, X.; Gascoin, S.; Sauvage, S.; Raghavan, S.; Anctil, F.; Sáchez-Pérez, J.-M. Assessing the capability of the SWAT model to simulate snow, snow melt and streamflow dynamics over an alpine watershed. J. Hydrol. 2015, 531, 574–588. [Google Scholar] [CrossRef]
- Duan, Y.; Liu, T.; Meng, F.; Luo, M.; Frankl, A.; De Maeyer, P.; Bao, A.; Kurban, A.; Feng, X. Inclusion of Modified Snow Melting and Flood Processes in the SWAT Model. Water 2018, 10, 1715. [Google Scholar] [CrossRef]
- Gao, Y.; Guo, Z.; Wang, D.; Zhang, Z.; Liu, Y. Multivariate Flood Risk Analysis at a Watershed Scale Considering Climatic Factors. Water 2018, 10, 1821. [Google Scholar] [CrossRef]
- Hasan, M.M. WITHDRAWN: Application of Soil and Water Assessment Tool (SWAT) to Predict the Impact of Climate Change on Hydropower: A Case Study; Elsevier: Amsterdam, The Netherlands, 2018. [Google Scholar]
- Zhang, Y.; Su, F.; Hao, Z.; Xu, C.; Yu, Z.; Wang, L.; Tong, K. Impact of projected climate change on the hydrology in the headwaters of the Yellow River basin. Hydrol. Proces. 2015, 29, 4379–4397. [Google Scholar] [CrossRef]
- Abbaspour, K. SWAT-CUP 2012: SWAT Calibration and Uncertainty Programs-A User Manual; Eawag-Swiss Federal Institute of Aquatic Science and Technology: Dübendorf, Switzerland, 2015. [Google Scholar]
- Abbaspour, K. User Manual for SWAT-CUP, SWAT Calibration and Uncertainty Analysis Programs; Eawag-Swiss Federal Institute of Aquatic Science and Technology: Duebendorf, Switzerland, 2007. [Google Scholar]
- Yang, J.; Reichert, P.; Abbaspour, K.C.; Xia, J.; Yang, H. Comparing uncertainty analysis techniques for a SWAT application to the Chaohe Basin in China. J. Hydrol. 2008, 358, 1–23. [Google Scholar] [CrossRef]
- Nash, J.E.; Sutcliffe, J.V. River flow forecasting through conceptual models part I—A discussion of principles. J. Hydrol. 1970, 10, 282–290. [Google Scholar] [CrossRef]
- Moriasi, D.N.; Arnold, J.G.; Van Liew, M.W.; Bingner, R.L.; Harmel, R.D.; Veith, T.L. Model evaluation guidelines for systematic quantification of accuracy in watershed simulations. Trans. ASABE 2007, 50, 885–900. [Google Scholar] [CrossRef]
- Touseef, M.; Chen, L.; Yang, K.; Chen, Y. Long-Term Rainfall Trends and Future Projections over Xijiang River Basin, China. Adv. Meteorol. 2020, 2020. [Google Scholar] [CrossRef]
- Kilsby, C.G.; Jones, P.; Burton, A.; Ford, A.; Fowler, H.J.; Harpham, C.; James, P.; Smith, A.; Wilby, R. A daily weather generator for use in climate change studies. Environ. Modell. Softw. 2007, 22, 1705–1719. [Google Scholar] [CrossRef]
- Akhtar, M.; Ahmad, N.; Booij, M.J. The impact of climate change on the water resources of Hindukush–Karakorum–Himalaya region under different glacier coverage scenarios. J. Hydrol. 2008, 355, 148–163. [Google Scholar] [CrossRef]
- Hay, L.E.; Wilby, R.L.; Leavesley, G.H. A comparison of delta change and downscaled GCM scenarios for three mountainous basins in the United States 1. JAWRA J. Am. Water Resour. Assoc. 2000, 36, 387–397. [Google Scholar] [CrossRef]
- Anandhi, A.; Frei, A.; Pierson, D.C.; Schneiderman, E.M.; Zion, M.S.; Lounsbury, D.; Matonse, A.H. Examination of change factor methodologies for climate change impact assessment. Water Resour. Res. 2011, 47. [Google Scholar] [CrossRef]
- Bokke, A.S.; Taye, M.T.; Willems, P.; Siyoum, S.A. Validation of General Climate Models (GCMs) over Upper Blue Nile River Basin, Ethiopia. Atmos. Clim. Sci 2017, 7, 65–75. [Google Scholar] [CrossRef]
- Fang, G.; Yang, J.; Chen, Y.; Zammit, C. Comparing bias correction methods in downscaling meteorological variables for a hydrologic impact study in an arid area in China. Hydrol. Earth Syst. Sci. 2015, 19, 2547–2559. [Google Scholar] [CrossRef]
- Ta, Z.; Yu, Y.; Sun, L.; Chen, X.; Mu, G.; Yu, R. Assessment of Precipitation Simulations in Central Asia by CMIP5 Climate Models. Water 2018, 10, 1516. [Google Scholar] [CrossRef]
- Schiemann, R.; Luthi, D.; Vidale, L.P.; Schar, C. The precipitation climate of Central Asia—Intercomparison of observational and numerical data sources in a remote semiarid region. Int. J. Climatol. 2008, 28, 295–314. [Google Scholar] [CrossRef]
- Schiemann, R.; Luthi, D.; Schar, C. Seasonality and Interannual Variability of the Westerly Jet in the Tibetan Plateau Region. J. Clim. 2009, 22, 2940–2957. [Google Scholar] [CrossRef]
- Abbaspour, K.C.; Rouholahnejad, E.; Vaghefi, S.; Srinivasan, R.; Yang, H.; Kløve, B. A continental-scale hydrology and water quality model for Europe: Calibration and uncertainty of a high-resolution large-scale SWAT model. J. Hydrol. 2015, 524, 733–752. [Google Scholar] [CrossRef]
- Liu, Y.; Cui, G.; Li, H. Optimization and Application of Snow Melting Modules in SWAT Model for the Alpine Regions of Northern China. Water 2020, 12, 636. [Google Scholar] [CrossRef]
- Tang, F.; Xu, H.; Xu, Z. Model calibration and uncertainty analysis for runoff in the Chao River Basin using sequential uncertainty fitting. Procedia Environ. Sci. 2012, 13, 1760–1770. [Google Scholar] [CrossRef]
- Aalto, J.; Kämäräinen, M.; Shodmonov, M.; Rajabov, N.; Venäläinen, A. Features of Tajikistan’s past and future climate. Int. J. Climatol. 2017, 37, 4949–4961. [Google Scholar] [CrossRef]
- Williams, M.; Konovalov, V. Central Asia Temperature and Precipitation Data, 1879–2003; USA National Snow and Ice Data Center: Boulder, CO, USA, 2008. [Google Scholar]
- World Bank. Key Issues for Consideration on the Proposed Rogun Hydropower Project. Available online: http://www.worldbank.org/content/dam/Worldbank/Event/ECA/central-asia/ (accessed on 27 May 2018).
- Hill, A.F.; Minbaeva, C.K.; Wilson, A.M.; Satylkanov, R. Hydrologic Controls and Water Vulnerabilities in the Naryn River Basin, Kyrgyzstan: A Socio-Hydro Case Study of Water Stressors in Central Asia. Water 2017, 9, 325. [Google Scholar] [CrossRef]
- Su, B.; Huang, J.; Gemmer, M.; Jian, D.; Tao, H.; Jiang, T.; Zhao, C. Statistical downscaling of CMIP5 multi-model ensemble for projected changes of climate in the Indus River Basin. Atmos. Res. 2016, 178, 138–149. [Google Scholar] [CrossRef]
- Xue, L.; Zhu, B.; Yang, C.; Wei, G.; Meng, X.; Long, A.; Yang, G. Study on the characteristics of future precipitation in response to external changes over arid and humid basins. Sci. Rep. 2017, 7, 15148. [Google Scholar] [CrossRef]
- Omani, N.; Srinivasan, R.; Karthikeyan, R.; Smith, P.K. Hydrological Modeling of Highly Glacierized Basins (Andes, Alps, and Central Asia). Water 2017, 9, 111. [Google Scholar] [CrossRef]
- Folini, D.; Wild, M. The effect of aerosols and sea surface temperature on China’s climate in the late twentieth century from ensembles of global climate simulations. J. Geophys. Res. Atmos. 2015, 120, 2261–2279. [Google Scholar] [CrossRef]
- Pendergrass, A.G.; Knutti, R.; Lehner, F.; Deser, C.; Sanderson, B.M. Precipitation variability increases in a warmer climate. Sci. Rep. 2017, 7, 17966. [Google Scholar] [CrossRef] [PubMed]
- Wang, C. Impact of anthropogenic absorbing aerosols on clouds and precipitation: A review of recent progresses. Atmos. Res. 2013, 122, 237–249. [Google Scholar] [CrossRef]
- Anjum, M.N.; Ding, Y.; Shangguan, D.; Liu, J.; Ahmad, I.; Ijaz, M.W.; Khan, M.I. Quantification of spatial temporal variability of snow cover and hydro-climatic variables based on multi-source remote sensing data in the Swat watershed, Hindukush Mountains, Pakistan. Meteorol. Atmos. Phys. 2019, 131, 467–486. [Google Scholar] [CrossRef]
- Liu, J.; Luo, M.; Liu, T.; Bao, A.; De Maeyer, P.; Feng, X.; Chen, X. Local climate change and the impacts on hydrological processes in an arid alpine catchment in Karakoram. Water 2017, 9, 344. [Google Scholar] [CrossRef]
- Siegfried, T.; Bernauer, T.; Guiennet, R.; Sellars, S.; Robertson, A.W.; Mankin, J.; Bauer-Gottwein, P.; Yakovlev, A. Will climate change exacerbate water stress in Central Asia? Clim. Chang. 2012, 112, 881–899. [Google Scholar] [CrossRef]
- Sorg, A.; Bolch, T.; Stoffel, M.; Solomina, O.; Beniston, M. Climate change impacts on glaciers and runoff in Tien Shan (Central Asia). Nat. Clim. Chang. 2012, 2, 725. [Google Scholar] [CrossRef]
- Olsson, O.; Gassmann, M.; Wegerich, K.; Bauer, M. Identification of the effective water availability from streamflows in the Zerafshan river basin, Central Asia. J. Hydrol. 2010, 390, 190–197. [Google Scholar] [CrossRef]













| Model | ISI-MIP Model | Institute | Emission Scenarios | Variable | Historical Period | Future Time Periods |
|---|---|---|---|---|---|---|
| GCM1 | GFDL-ESM2M | NOAA/Geophysical Fluid Dynamics Laboratory | RCPs 4.5 and 8.5 | Pr, Tmax, Tmin | 1966–2004 | 2022–2060, 2061–2099 |
| GCM2 | HadGEM2-ES | Met Office Hadley Center | RCPs 4.5 and 8.5 | Pr, Tmax, Tmin | 1966–2004 | 2022–2060, 2061–2099 |
| GCM3 | IPSL-CM5A-LR | L’Institute Pierre-Simon Laplace | RCPs 4.5 and 8.5 | Pr, Tmax, Tmin | 1966–2004 | 2022–2060, 2061–2099 |
| GCM4 | MIROC | AORI, NIES and JAMSTEC | RCPs 4.5 and 8.5 | Pr, Tmax, Tmin | 1966–2004 | 2022–2060, 2061–2099 |
| GCM5 | NoerESM1-M | Norwegian Climate Center | RCPs 4.5 and 8.5 | Pr, Tmax, Tmin | 1966–2004 | 2022–2060, 2061–2099 |
| Scenario | Period | Model | ∆P (%) | ∆Tmax (°C) | ∆Tmin (°C) | ||||||||||||
|---|---|---|---|---|---|---|---|---|---|---|---|---|---|---|---|---|---|
| Wi | Sp | Su | Fa | An | Wi | Sp | Su | Fa | An | Wi | Sp | Su | Fa | An | |||
| RCP4.5 | 2022–2060 | GFDL-ESM2M | 1.7 | 9.1 | 19.7 | −21.2 | 2.3 | 1.5 | 1.8 | 1.8 | 2.8 | 2.0 | 1.5 | 1.5 | 1.0 | 1.2 | 1.3 |
| HadGEM2-ES | 22.3 | 0.8 | −20.4 | −8.6 | −1.5 | 2.3 | 2.6 | 4.0 | 3.1 | 3.0 | 2.6 | 1.8 | 2.5 | 2.2 | 2.3 | ||
| IPSL-CM5A-LR | −3.8 | −10.9 | −50.3 | −23.2 | −22.1 | 1.7 | 2.6 | 3.5 | 3.4 | 2.8 | 1.8 | 2.2 | 2.6 | 3.2 | 2.5 | ||
| MIROC | −5.2 | −0.6 | 10.5 | 21.5 | 6.5 | 2.0 | 2.4 | 2.2 | 2.1 | 2.2 | 2.2 | 2.2 | 2.6 | 2.2 | 2.3 | ||
| NoerESM1-M | −4.0 | −7.7 | −29.5 | 11.0 | −7.5 | 2.0 | 2.8 | 2.3 | 2.3 | 2.3 | 2.0 | 2.3 | 2.0 | 2.3 | 2.2 | ||
| 2061–2099 | GFDL-ESM2M | 6.3 | 1.6 | −13.5 | −18.8 | −6.1 | 2.4 | 2.6 | 2.7 | 2.8 | 2.6 | 2.7 | 1.9 | 1.7 | 1.3 | 1.9 | |
| HadGEM2-ES | 15.6 | 2.3 | −27.6 | −10.4 | −5.0 | 3.4 | 3.6 | 5.4 | 4.1 | 4.1 | 2.8 | 2.5 | 2.9 | 2.6 | 2.7 | ||
| IPSL-CM5A-LR | −9.1 | −2.5 | −26.9 | −25.4 | −16.0 | 2.7 | 2.7 | 3.5 | 4.5 | 3.4 | 2.6 | 2.8 | 3.1 | 4.0 | 3.1 | ||
| MIROC | −14.1 | −2.7 | −2.5 | 12.6 | −1.7 | 2.8 | 3.6 | 3.2 | 3.4 | 3.3 | 3.1 | 3.1 | 3.3 | 2.9 | 3.1 | ||
| NoerESM1-M | 3.4 | −4.7 | −21.8 | −10.3 | −8.3 | 2.1 | 2.6 | 2.6 | 2.5 | 2.5 | 2.4 | 2.0 | 2.4 | 2.5 | 2.3 | ||
| RCP8.5 | 2022–2060 | GFDL-ESM2M | −0.8 | 9.2 | 4.2 | −15.1 | −0.6 | 2.7 | 2.6 | 2.9 | 3.6 | 2.9 | 2.7 | 2.1 | 1.1 | 1.3 | 1.8 |
| HadGEM2-ES | 29.5 | 3.6 | −37.3 | −11.2 | −3.9 | 4.5 | 3.7 | 5.7 | 4.6 | 4.6 | 4.5 | 2.7 | 4.0 | 3.8 | 3.7 | ||
| IPSL-CM5A-LR | −3.2 | −4.3 | −47.8 | −32.0 | −21.8 | 3.1 | 3.6 | 4.7 | 5.3 | 4.1 | 3.1 | 3.2 | 3.8 | 4.5 | 3.7 | ||
| MIROC | −10.6 | −1.5 | −3.6 | 15.5 | −0.05 | 3.1 | 4.0 | 3.5 | 3.5 | 3.5 | 3.4 | 3.7 | 4.0 | 3.4 | 3.6 | ||
| NoerESM1-M | −8.6 | −5.6 | 3.8 | −8.2 | −4.7 | 3.4 | 3.4 | 3.3 | 3.4 | 3.4 | 3.5 | 2.8 | 2.9 | 2.7 | 3.0 | ||
| 2061–2099 | GFDL-ESM2M | −9.7 | 2.0 | −25.1 | −10.9 | −10.9 | 4.7 | 4.7 | 6.3 | 5.9 | 5.4 | 4.0 | 3.5 | 3.1 | 2.9 | 3.4 | |
| HadGEM2-ES | 54.9 | 4.5 | −55.4 | 5.1 | 2.3 | 6.1 | 5.9 | 8.9 | 6.8 | 7.0 | 6.2 | 4.8 | 6.1 | 5.9 | 5.8 | ||
| IPSL-CM5A-LR | −7.7 | −13.1 | −57.1 | −41.2 | −29.8 | 5.8 | 6.8 | 7.3 | 7.9 | 6.9 | 5.5 | 6.0 | 6.4 | 7.1 | 6.2 | ||
| MIROC | −14.0 | −8.3 | 26.4 | 17.1 | 5.3 | 6.8 | 7.1 | 6.8 | 6.8 | 6.9 | 6.8 | 6.1 | 6.8 | 5.9 | 6.4 | ||
| NoerESM1-M | 2.0 | −11.0 | −11.7 | 7.1 | −3.4 | 5.2 | 5.5 | 5.3 | 5.5 | 5.4 | 5.8 | 4.5 | 5.0 | 4.8 | 5.0 | ||
| Parameters | Definition | Min | Max | Fitted Value | t-Stat | p-Value |
|---|---|---|---|---|---|---|
| v__GWQMN.gw | Threshold depth of water in the shallow aquifer required for return flow to occur (mm) | 0 | 1573 | 1193 | −0.79 | 0.43 |
| v__GW_REVAP.gw | Groundwater “revap” coefficient | 0.09 | 0.24 | 0.16 | −1.59 | 0.11 |
| v__REVAPMN.gw | Threshold depth of water in the shallow aquifer for “revap” to occur (mm) | 418 | 1807 | 1377 | −2.18 | 0.03 |
| v__RCHRG_DP.gw | Deep aquifer percolation fraction | 0.5 | 1 | 0.57 | −0.46 | 0.65 |
| v__ALPHA_BF.gw | Baseflow alpha factor (days) | 0 | 1 | 0.67 | −10.96 | 0.00 |
| r__CN2.mgt | SCS runoff curve number to moisture condition II | 0.76 | 1.13 | 1.07 | −0.29 | 0.76 |
| r__SOL_AWC().sol | Available water capacity of the soil layer (mm H2O/mm soil) | −0.15 | 0.25 | −0.04 | −0.16 | 0.88 |
| r__SOL_K().sol | Saturated hydraulic conductivity (mm/h) | −0.3 | 0.9 | 0.64 | −3.08 | 0.01 |
| r__SOL_BD().sol | Moist bulk density (g/cm3) | −0.2 | 0.9 | 0.20 | −3.76 | 0.001 |
| v__CH_K2.rte | Effective hydraulic conductivity in main channel alluvium | 0 | 80 | 75.6 | 49.61 | 0.001 |
| v__ESCO.hru | Soil evaporation compensation factor | 0.79 | 0.98 | 0.8 | 0.72 | 0.47 |
| r__OV_N.hru | Manning’s “n” value for overland flow | 0.2 | 0.7 | 0.30 | −0.40 | 0.69 |
| r__HRU_SLP.hru | Average slope steepness (m/m) | −0.7 | 0.2 | 0.07 | −2.76 | 0.01 |
| r__SLSUBBSN.hru | Average slope length (m) | 0.1 | 0.6 | 0.45 | 1.18 | 0.24 |
| Factors and Statistical Indices | Monthly | Daily | ||
|---|---|---|---|---|
| p-factor | 0.86 | 0.82 | 0.87 | 0.86 |
| r-factor | 0.83 | 0.84 | 1.15 | 1.08 |
| R2 | 0.93 | 0.92 | 0.79 | 0.81 |
| NSE | 0.92 | 0.90 | 0.78 | 0.79 |
| PBIAS | 4.6 | 6.4 | 5.3 | 10.8 |
| RSR | 0.29 | 0.31 | 0.47 | 0.45 |
| MSE | 2.1 | 2.8 | 6.4 | 6.7 |
| Model | Period | RCP4.5 | RCP8.5 | ||||||||
|---|---|---|---|---|---|---|---|---|---|---|---|
| Win | Spr | Sum | Fall | Ann | Win | Spr | Sum | Fall | Ann | ||
| GFDL-ESM2M | 2022–2060 | −13.9 | 27.1 | 4.4 | −25.8 | −2.1 | −6.3 | 27.3 | 5.3 | −37.7 | −2.8 |
| 2061–2099 | −12.1 | 38.6 | 5.7 | −23.0 | 2.3 | −12.5 | 70.3 | 8.5 | 3.5 | 17.5 | |
| HadGEM2-ES | 2022–2060 | 3.4 | 36.9 | 12.3 | −22.9 | 7.4 | 1.4 | 42.6 | 8.1 | −20.8 | 7.8 |
| 2061–2099 | 29.7 | 61.4 | 15.5 | −4.3 | 25.6 | 63.9 | 110.1 | 22.0 | 13.3 | 52.3 | |
| IPSL-CM5A-LR | 2022–2060 | −23.1 | 25.0 | −1.5 | −26.2 | −6.4 | −21.1 | 31.1 | −2.3 | −20.8 | −3.3 |
| 2061–2099 | −12.1 | 47.5 | −4.9 | −14.2 | 4.1 | −2.4 | 99.4 | −12.0 | −10.0 | 18.7 | |
| MIROC | 2022–2060 | −18.2 | 32.0 | 2.1 | −21.3 | −1.4 | −20.3 | 46.7 | −1.2 | −16.2 | 2.3 |
| 2061–2099 | −17.5 | 58.1 | −4.4 | −15.5 | 5.2 | 5.9 | 119.6 | −2.5 | 15.9 | 34.7 | |
| NoerESM1-M | 2022–2060 | −17.7 | 32.1 | −4.1 | −25.6 | −3.8 | −10.0 | 29.9 | 3.6 | −24.7 | −0.3 |
| 2061–2099 | −15.5 | 41.0 | −3.4 | −32.9 | −2.7 | 9.8 | 79.0 | −3.3 | −3.9 | 20.4 | |
| Model | Scenario | Q5 | Q50 | Q95 | |||
|---|---|---|---|---|---|---|---|
| 1FP 1 | 2FP 2 | 1FP 1 | 2FP 2 | 1FP 1 | 2FP 2 | ||
| GFDL-ESM2M | RCP4.5 | 40.7 | 49.2 | −18.2 | −16.1 | −54.9 | −52.1 |
| RCP8.5 | 43.9 | 66.9 | −24.1 | 16.3 | −55.0 | −47.9 | |
| HadGEM2-ES | RCP4.5 | 53.3 | 59.9 | −10.8 | 15.1 | −51.7 | −41.3 |
| RCP8.5 | 49.5 | 78.0 | −6.0 | 24.1 | −51.4 | −41.0 | |
| IPSL-CM5A-LR | RCP4.5 | 35.5 | 43.5 | −21.3 | −2.0 | −56.1 | −50.4 |
| RCP8.5 | 42.5 | 41.4 | −14.9 | 2.8 | −54.4 | −47.3 | |
| MIROC | RCP4.5 | 37.9 | 43.3 | −19.5 | −10.8 | −55.0 | −53.7 |
| RCP8.5 | 40.1 | 57.3 | −12.7 | 33.4 | −53.8 | −42.9 | |
| NoerESM1-M | RCP4.5 | 30.9 | 41.3 | −22.1 | −20.9 | −57.2 | −55.7 |
| RCP8.5 | 41.2 | 55.3 | −19.2 | 20.2 | −55.7 | −44.7 | |
© 2020 by the authors. Licensee MDPI, Basel, Switzerland. This article is an open access article distributed under the terms and conditions of the Creative Commons Attribution (CC BY) license (http://creativecommons.org/licenses/by/4.0/).
Share and Cite
Gulakhmadov, A.; Chen, X.; Gulahmadov, N.; Liu, T.; Anjum, M.N.; Rizwan, M. Simulation of the Potential Impacts of Projected Climate Change on Streamflow in the Vakhsh River Basin in Central Asia under CMIP5 RCP Scenarios. Water 2020, 12, 1426. https://doi.org/10.3390/w12051426
Gulakhmadov A, Chen X, Gulahmadov N, Liu T, Anjum MN, Rizwan M. Simulation of the Potential Impacts of Projected Climate Change on Streamflow in the Vakhsh River Basin in Central Asia under CMIP5 RCP Scenarios. Water. 2020; 12(5):1426. https://doi.org/10.3390/w12051426
Chicago/Turabian StyleGulakhmadov, Aminjon, Xi Chen, Nekruz Gulahmadov, Tie Liu, Muhammad Naveed Anjum, and Muhammad Rizwan. 2020. "Simulation of the Potential Impacts of Projected Climate Change on Streamflow in the Vakhsh River Basin in Central Asia under CMIP5 RCP Scenarios" Water 12, no. 5: 1426. https://doi.org/10.3390/w12051426
APA StyleGulakhmadov, A., Chen, X., Gulahmadov, N., Liu, T., Anjum, M. N., & Rizwan, M. (2020). Simulation of the Potential Impacts of Projected Climate Change on Streamflow in the Vakhsh River Basin in Central Asia under CMIP5 RCP Scenarios. Water, 12(5), 1426. https://doi.org/10.3390/w12051426

