Water Use Efficiency of Soybean under Water Stress in Different Eroded Soils
Abstract
1. Introduction
2. Materials and Methods
2.1. Study Area
2.2. Pot Experiments
2.2.1. Soil Selection and Pots Collection
2.2.2. Soil Water Selection and Control for Each Pot
2.2.3. Crop Growth Indexes Measurement
2.3. Soil Physicochemical Properties
2.4. Data Analyses
3. Results
3.1. B, ET, Y, and HI under the Optimal Soil Moisture Conditions
3.2. Yield Response to Water Stress
3.3. WUE-SF under Water Stresses for Different Eroded Soils
3.3.1. Water Use Efficiency under the Optimal Soil Moisture Conditions
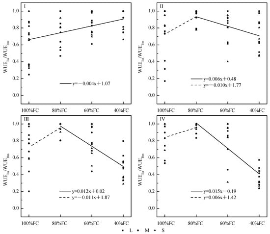
3.3.2. WUE-SF Response to Water Stress
4. Discussion
4.1. Optimal Moisture Conditions for Different Eroded Soils in Y and B
4.2. Yield and Biomass Response to Water Stress
4.3. WUE-SF under Water Stresses for Different Eroded Soils
5. Conclusion
- (1)
- For B and Y, the optimal water content was 80% FC, for L, and 100% FC, for both M and S. Yield was best in M, with a value of 3.12 t ha−1, which was 4.6% and 85.5% higher than L and S, respectively. For ET, the optimal water content was 100% FC for three eroded soils. Under the conditions of adequate water supply, there was no significant change in Land M, but values were significantly different for the S ( < 0.05);
- (2)
- The values of WUEY and WUEB for the three eroded soils were the best at 80% FC. The value of WUEY and WUEB for L was 9.36 kg ha−1 mm−1 and 17.48 kg ha−1 mm−1, which was 5.1% and 11.7% higher than that of M, and 51.9% and 35.2% higher than that of S, respectively. In different growth stages, the optimal water supply conditions of WUEB for three eroded soils were 40% FC in the branching stage, and 80% FC in other stages;
- (3)
- Y and B were sensitive to water stress except in the branching stage. There was no significant difference among the three eroded soils in the functions of the soybean yield after water stress;
- (4)
- The SF values of the three eroded soils were not significantly different. In the entire growth period, the SF value was 0.019 in the case of water shortage, which implies that, when the soil moisture decreased by 10%, WUEY decreased by 19%, which was 4.8 times that under waterlogging stress. In the flowering and pod formation stage, the SF reached the maximum under waterlogging stress, the soil water content decreased by 10% and WUEB decreased by 10%. In the seed filling stage, the SF reached the maximum under the water shortage stress, the soil water content decreased by 10% and WUEB decreased by 15%, which was 2.5 times more powerful than the waterlogging stress.
Author Contributions
Funding
Conflicts of Interest
References
- Uri, N.; Atwood, J.; Sanabria, J. The environmental benefits and costs of conservation tillage. Sci. Total. Environ. 1998, 216, 13–32. [Google Scholar] [CrossRef]
- Deng, X.-P.; Shan, L.; Zhang, H.; Turner, N.C. Improving agricultural water use efficiency in arid and semiarid areas of China. Agric. Water Manag. 2006, 80, 23–40. [Google Scholar] [CrossRef]
- Su, Z.; Zhang, J.; Wu, W.; Cai, D.; Lv, J.; Jiang, G.; Huang, J.; Gao, J.; Hartmann, R.; Gabriels, D. Effects of conservation tillage practices on winter wheat water-use efficiency and crop yield on the Loess Plateau, China. Agric. Water Manag. 2007, 87, 307–314. [Google Scholar] [CrossRef]
- Ravina, I.; Magier, J. Hydraulic Conductivity and Water Retention of Clay Soils Containing Coarse Fragments. Soil Sci. Soc. of Am. J. 1984, 48, 736–740. [Google Scholar] [CrossRef]
- Goudie, A.S. Techniques for Desert Reclamation; Wiley: Chichester, UK, 1990; p. 286. [Google Scholar]
- Mannion, A.M. Agriculture and Environmental Change: Temporal and Spatial Dimensions; John Wiley & Sons: Chichester, UK, 1995; p. 405. [Google Scholar]
- Rabot, E.; Wiesmeier, M.; Schlüter, S.; Vogel, H.-J. Soil structure as an indicator of soil functions: A review. Geoderma 2018, 314, 122–137. [Google Scholar] [CrossRef]
- Bhattarai, S.P.; Huber, S.; Midmore, D.J. Aerated subsurface irrigation water gives growth and yield benefits to zucchini, vegetable soybean and cotton in heavy clay soils. Ann. Appl. Boil. 2004, 144, 285–298. [Google Scholar] [CrossRef]
- Abuarab, M.; Mostafa, E.; Ibrahim, M. Effect of air injection under subsurface drip irrigation on yield and water use efficiency of corn in a sandy clay loam soil. J. Adv. Res. 2013, 4, 493–499. [Google Scholar] [CrossRef]
- Bhattarai, S.P.; Midmore, D.J.; Pendergast, L. Yield, water-use efficiencies and root distribution of soybean, chickpea and pumpkin under different subsurface drip irrigation depths and oxygation treatments in vertisols. Irrig. Sci. 2008, 26, 439–450. [Google Scholar] [CrossRef]
- Laraus, J. The problems of sustainable water use in the Mediterranean and research requirements for agriculture. Ann. Appl. Boil. 2004, 144, 259–272. [Google Scholar] [CrossRef]
- Blanco-Canqui, H.; Lal, R. No-Tillage and Soil-Profile Carbon Sequestration: An On-Farm Assessment. Soil Sci. Soc. Am. J. 2008, 72, 693–701. [Google Scholar] [CrossRef]
- Morris, N.; Miller, P.; Orson, J.H.; Froud-Williams, R. The adoption of non-inversion tillage systems in the United Kingdom and the agronomic impact on soil, crops and the environment—A review. Soil Tillage Res. 2010, 108, 1–15. [Google Scholar] [CrossRef]
- Poesen, J. Soil erosion in the Anthropocene: Research needs. Earth Surf. Process. Landf. 2018, 43, 64–84. [Google Scholar] [CrossRef]
- Qin, S.; Zhang, J.; Dai, H.; Wang, D.; Li, D. Effect of ridge–furrow and plastic-mulching planting patterns on yield formation and water movement of potato in a semi-arid area. Agric. Water Manag. 2014, 131, 87–94. [Google Scholar] [CrossRef]
- Zhao, H.; Wang, R.-Y.; Ma, B.-L.; Xiong, Y.-C.; Qiang, S.-C.; Wang, C.-L.; Liu, C.-A.; Li, F.-M. Ridge-furrow with full plastic film mulching improves water use efficiency and tuber yields of potato in a semiarid rainfed ecosystem. Field Crop. Res. 2014, 161, 137–148. [Google Scholar] [CrossRef]
- Li, Q.; Li, H.; Zhang, L.; Zhang, S.; Chen, Y. Mulching improves yield and water-use efficiency of potato cropping in China: A meta-analysis. Field Crop. Res. 2018, 221, 50–60. [Google Scholar] [CrossRef]
- Ren, J.; Zhang, L.; Duan, Y.; Zhang, J.; Evers, J.B.; Zhang, Y.; Su, Z.; Van Der Werf, W. Intercropping potato (Solanum tuberosum L.) with hairy vetch (Vicia villosa) increases water use efficiency in dry conditions. Field Crop. Res. 2019, 240, 168–176. [Google Scholar] [CrossRef]
- He, H.; Cheng, G.L.; Zhao, S.W. Effect of different water and fertilizer conditions on water use efficiency of potato. Agric. Res. Arid Areas 1999, 17, 59–66. [Google Scholar]
- Amouzou, K.A.; Naab, J.B.; Lamers, J.P.; Borgemeister, C.; Becker, M.; Vlek, P.L. CROPGRO-Cotton model for determining climate change impacts on yield, water- and N- use efficiencies of cotton in the Dry Savanna of West Africa. Agric. Syst. 2018, 165, 85–96. [Google Scholar] [CrossRef]
- Dang, T.H. Effects of fertilization on water use efficiency of winter wheat in arid highland. Eco-Agric. Res. 1999, 7, 28–31. [Google Scholar]
- Yang, X.; Chen, X.; Yang, X. Effect of organic matter on phosphorus adsorption and desorption in a black soil from Northeast China. Soil Tillage Res. 2019, 187, 85–91. [Google Scholar] [CrossRef]
- Lal, R. Soil Erosion Problems on an Alfisol in Western Nigeria and Their Control; IITA Monogr: I. Ibadan, Nigeria, 1976; p. 208. [Google Scholar]
- Frye, W.W.; Ebelhar, S.A.; Murdock, L.W.; Blevins, R.L. Soil Erosion Effects on Properties and Productivity of Two Kentucky Soils. Soil Sci. Soc. Am. J. 1982, 46, 1051–1055. [Google Scholar] [CrossRef]
- Wendt, R.C.; Alberts, E.E.; Hjelmfelt, A.T. Variability of Runoff and Soil Loss from Fallow Experimental Plots 1. Soil Sci. Soc. Am. J. 1986, 50, 730–736. [Google Scholar] [CrossRef]
- Battiston, L.A.; Miller, M.H.; Shelton, I.J. SOIL EROSION AND CORN YIELD IN ONTARIO. I. FIELD EVALUATION. Can. J. Soil Sci. 1987, 67, 731–745. [Google Scholar] [CrossRef]
- Murphree, C.E.; McGregor, K.C. RUNOFF AND SEDIMENT YIELD FROM A FLATLAND WATERSHED IN SOYBEANS. Trans. ASAE 1991, 34, 407–411. [Google Scholar] [CrossRef]
- Andraski, B.J.; Lowery, B. Erosion Effects on Soil Water Storage, Plant Water Uptake, and Corn Growth. Soil Sci. Soc. Am. J. 1992, 56, 1911–1919. [Google Scholar] [CrossRef]
- Lampurlanes, J.; Angás, P.; Cantero-Martı́nez, C. Tillage effects on water storage during fallow, and on barley root growth and yield in two contrasting soils of the semi-arid Segarra region in Spain. Soil Tillage Res. 2002, 65, 207–220. [Google Scholar] [CrossRef]
- Baetens, J.M.; Verbist, K.; Cornelis, W.M.; Gabriels, D.; Soto, G. On the influence of coarse fragments on soil water retention. Water Resour. Res. 2009, 45, 45. [Google Scholar] [CrossRef]
- Novák, V.; Kňava, K.; Simunek, J. Determining the influence of stones on hydraulic conductivity of saturated soils using numerical method. Geoderma 2011, 161, 177–181. [Google Scholar] [CrossRef]
- Coppola, A.; Dragonetti, G.; Comegna, A.; Lamaddalena, N.; Caushi, B.; Haikal, M.; Basile, A. Measuring and modeling water content in stony soils. Soil Tillage Res. 2013, 128, 9–22. [Google Scholar] [CrossRef]
- Zhang, R.; Gou, X.M.; Zhao, Y.Z.; Wang, Z.Q. Influence of Soil Erosion on Soil Water Capacity in the Black Soil Area of Northeast China. J. Soil Water Conserv. 2015, 29, 62–65. (In Chinese) [Google Scholar]
- Yang, W.; Guo, S.; Li, P.; Song, R.; Yu, J. Foliar antitranspirant and soil superabsorbent hydrogel affect photosynthetic gas exchange and water use efficiency of maize grown under low rainfall conditions. J. Sci. Food Agric. 2019, 99, 350–359. [Google Scholar] [CrossRef] [PubMed]
- Wu, Y.; Zheng, Q.; Zhang, Y.; Liu, B.; Cheng, H.; Wang, Y. Development of gullies and sediment production in the black soil region of northeastern China. Geomorphology 2008, 101, 683–691. [Google Scholar] [CrossRef]
- Hu, G.; Wu, Y.; Liu, B.; Yu, Z.; You, Z.; Zhang, Y. Short-term gully retreat rates over rolling hill areas in black soil of Northeast China. Catena 2007, 71, 321–329. [Google Scholar] [CrossRef]
- Zhang, Y.; Wu, Y.; Liu, B.; Zheng, Q.; Yin, J. Characteristics and factors controlling the development of ephemeral gullies in cultivated catchments of black soil region, Northeast China. Soil Tillage Res. 2007, 96, 28–41. [Google Scholar] [CrossRef]
- Liu, X.; Zhang, X.; Wang, Y.; Sui, Y.; Zhang, S.; Herbert, S.; Ding, G. Soil degradation: a problem threatening the sustainable development of agriculture in Northeast China. Plant Soil Environ. 2010, 56, 87–97. [Google Scholar] [CrossRef]
- Huang, D.; Du, P.; Wang, J.; Wei, X.; Liu, B.; Xu, J. Using reservoir deposits to quantify the source contributions to the sediment yield in the Black Soil Region, Northeast China, based on the fingerprinting technique. Geomorphology 2019, 339, 1–18. [Google Scholar] [CrossRef]
- Li, Z.; Sun, Z. Optimized single irrigation can achieve high corn yield and water use efficiency in the Corn Belt of Northeast China. Eur. J. Agron. 2016, 75, 12–24. [Google Scholar] [CrossRef]
- Yang, L.; Haishun, Y.; Yanfeng, L.; Haijun, Y.; Jiusheng, L. Modeling the effects of plastic film mulching on irrigated maize yield and water use efficiency in sub-humid Northeast China. Int. J. Agric. Biol. Eng. 2017, 10, 69–84. [Google Scholar] [CrossRef][Green Version]
- Wu, D.; Xu, X.; Chen, Y.; Shao, H.; Sokolowski, E.; Mi, G. Effect of different drip fertigation methods on maize yield, nutrient and water productivity in two-soils in Northeast China. Agric. Water Manag. 2019, 213, 200–211. [Google Scholar] [CrossRef]
- He, J.; Li, H.; Kuhn, N.J.; Wang, Q.; Zhang, X. And Effect of ridge tillage, no-tillage, and conventional tillage on soil temperature, water use, and crop performance in cold and semi-arid areas in Northeast China. Soil Res. 2010, 48, 737–744. [Google Scholar] [CrossRef]
- Zhou, K.; Liu, X.; Zhang, X.; Sui, Y.; Herbert, S.J.; Xia, Y. Corn root growth and nutrient accumulation improved by five years of repeated cattle manure addition to eroded Chinese Mollisols. Can. J. Soil Sci. 2012, 92, 521–527. [Google Scholar] [CrossRef]
- Wang, Q.; Lu, C.; Li, H.; He, J.; Sarker, K.K.; Rasaily, R.G.; Liang, Z.; Qiao, X.; Li, H.; McHugh, A.D.J. The effects of no-tillage with subsoiling on soil properties and maize yield: 12-Year experiment on alkaline soils of Northeast China. Soil Tillage Res. 2014, 137, 43–49. [Google Scholar] [CrossRef]
- Zhou, K.; Sui, Y.; Liu, X.; Zhang, X.; Jin, J.; Wang, G.; Herbert, S. Crop rotation with nine-year continuous cattle manure addition restores farmland productivity of artificially eroded Mollisols in Northeast China. Field Crop. Res. 2015, 171, 138–145. [Google Scholar] [CrossRef]
- Xu, H.; Tian, Z.; He, X.; Wang, J.; Sun, L.; Fischer, G.; Fan, D.; Zhong, H.; Wu, W.; Pope, E.; et al. Future increases in irrigation water requirement challenge the water-food nexus in the northeast farming region of China. Agric. Water Manag. 2019, 213, 594–604. [Google Scholar] [CrossRef]
- Liu, X.; Jin, J.; Wang, G.; Herbert, S. Soybean yield physiology and development of high-yielding practices in Northeast China. Field Crop. Res. 2008, 105, 157–171. [Google Scholar] [CrossRef]
- Lin, H.; Xie, Y.; Liu, G.; Zhai, J.; Li, S. Soybean and maize simulation under different degrees of soil erosion. Field Crop. Res. 2019, 230, 1–10. [Google Scholar] [CrossRef]
- Daryanto, S.; Wang, L.; Jacinthe, P.-A. Can ridge-furrow plastic mulching replace irrigation in dryland wheat and maize cropping systems? Agric. Water Manag. 2017, 190, 1–5. [Google Scholar] [CrossRef]
- Smith, M. The application of climatic data for planning and management of sustainable rainfed and irrigated crop production. Agric. For. Meteorol. 2000, 103, 99–108. [Google Scholar] [CrossRef]
- Liu, L.; Zhang, K.; Zhang, Z.; Qiu, Q. Identifying soil redistribution patterns by magnetic susceptibility on the black soil farmland in Northeast China. Catena 2015, 129, 103–111. [Google Scholar] [CrossRef]
- Zhangtao, Y.; Yongqiu, W. Causes and damages of gully erosion in black land. J. Beijing Norm. Univ. Nat. Sci. Ed. 2003, 39, 701–705. [Google Scholar]
- Li, Q.S.; Willardson, L.S.; Deng, W.; Li, X.J.; Liu, C.J. Crop water deficit estimation and irrigation scheduling in western Jilin province, Northeast China. Agric. Water Manag. 2005, 71, 47–60. [Google Scholar] [CrossRef]
- Li, F.; Bao, W.; Wu, N.; You, C. Growth, biomass partitioning, and water-use efficiency of a leguminous shrub (Bauhinia faberi var. microphylla) in response to various water availabilities. New For. 2008, 36, 53–65. [Google Scholar] [CrossRef]
- A Fischer, R.; Turner, N.C. Plant Productivity in the Arid and Semiarid Zones. Annu. Rev. Plant Physiol. 1978, 29, 277–317. [Google Scholar] [CrossRef]
- Blum, A. Effective use of water (EUW) and not water-use efficiency (WUE) is the target of crop yield improvement under drought stress. Field Crop. Res. 2009, 112, 119–123. [Google Scholar] [CrossRef]
- Dorenboos, J.; Kassam, A.H. Yield response to water. In FAO Irrigation and Drainage, Paper No. 33; Food and Agriculture Organization of the United Nations; Water Resources and Development Service: Rome, Italy, 1979; pp. 7–13. [Google Scholar]
- Steduto, P.; Hsiao, T.C.; Fereres, E.; Raes, D. Crop yield response to water. FAO Rome 2012, 6–8. [Google Scholar]
- Lovelli, S.; Perniola, M.; Ferrara, A.; Di Tommaso, T. Yield response factor to water (Ky) and water use efficiency of Carthamus tinctorius L. and Solanum melongena L. Agric. Water Manag. 2007, 92, 73–80. [Google Scholar] [CrossRef]
- Al-Karaki, G.N. Benefit, cost and water-use efficiency of arbuscular mycorrhizal durum wheat grown under drought stress. Mycorrhiza 1998, 8, 41–45. [Google Scholar] [CrossRef]
- Sharpley, A.N.; Williams, J.R. EPIC-erosion/productivity impact calculator: 1. Model documentation 1990. Available online: http://epicapex.tamu.edu/files/2015/05/EpicModelDocumentation.pdf (accessed on 28 January 2020).
- Steduto, P.; Hsiao, T.C.; Raes, D.; Fereres, E. AquaCrop—The FAO crop model to simulate yield response to water: I. Concepts and underlying principles. Agron. J. 2009, 101, 426–437. [Google Scholar] [CrossRef]
- Gerard, K.R.; Nizeyimana, E. Effects of Soil Erosion on Corn Yields of Seven Illinois Soils. jpa 1988, 1, 13–19. [Google Scholar] [CrossRef]
- Bauder, J.W.; Randall, G.W.; Swann, J.B. Effect of Four Continuous Tillage Systems on Mechanical Impedance of a Clay Loam Soil. Soil Sci. Soc. Am. J. 1981, 45, 802–806. [Google Scholar] [CrossRef]
- Gerard, C.J.; Sexton, P.; Shaw, G. Physical Factors Influencing Soil Strength and Root Growth1. Agron. J. 1982, 74, 875–879. [Google Scholar] [CrossRef]
- Jones, C.A. Effect of Soil Texture on Critical Bulk Densities for Root Growth1. Soil Sci. Soc. Am. J. 1983, 47, 1208. [Google Scholar] [CrossRef]
- Merrill, S.D.; Tanaka, D.L.; Hanson, J.D. Root length growth of eight crop species in Haplustoll soils. Soil Sci. Soc. Am. J. 2002, 66, 913–923. [Google Scholar] [CrossRef]
- Nyawade, S.O.; Gachene, C.K.; Karanja, N.N.; Gitari, H.I.; Schulte-Geldermann, E.; Parker, M.L. Controlling soil erosion in smallholder potato farming systems using legume intercrops. Geoderma Reg. 2019, 17, e00225. [Google Scholar] [CrossRef]
- Singh, S.P.; Mahapatra, B.S.; Pande, P.; Chandra, S. Influence of different irrigation levels, planting methods and mulching on yield, water-use efficiency and nutrient uptake in yellow sarson (Brassica rapa). Indian J. Agron. 2019, 64, 123–128. [Google Scholar]
- Rosadi, R.A.B.; Afandi; Senge, M.; Ito, K.; Adomako, J.T. The effect of water stress in regulated deficit irrigation on soybean yield (Glycine max [L.] Merr.). Paddy Water Environ. 2007, 5, 163–169. [Google Scholar] [CrossRef]
- Stegman, E.; Schatz, B.; Gardner, J. Yield sensitivities of short season soybeans to irrigation management. Irrig. Sci. 1990, 11, 111–119. [Google Scholar] [CrossRef]
- Foroud, N.; Mündel, H.H.; Saindon, G.; Entz, T. Effect of level and timing of moisture stress on soybean plant development and yield components. Irrig. Sci. 1993, 13, 149–155. [Google Scholar] [CrossRef]
- Karam, F.; Masaad, R.; Sfeir, T.; Mounzer, O.; Rouphael, Y. Evapotranspiration and seed yield of field grown soybean under deficit irrigation conditions. Agric. Water Manag. 2005, 75, 226–244. [Google Scholar] [CrossRef]
- Eck, H.; Mathers, A.; Musick, J. Plant water stress at various growth stages and growth and yield of soybeans. Field Crop. Res. 1987, 17, 1–16. [Google Scholar] [CrossRef]
- Wen, S.G.; Zhao, D.Y. Spring soybean water production function research. Shanxi Hydro. Techn. Ics. 1998, 4, 87. (In Chinese) [Google Scholar]
- Yu, G.R.; Wang, Q.F.; Mi, N. Ecophysiology of Plant Photosynthesis, Transpiration, and Water Use; Science Press: Beijing, China, 2010; Volume 64, pp. 171–172. (In Chinese) [Google Scholar]
- Kumari, S. The effects of soil moisture stress on the development and yield of millet. Agron. J. 1988, 57, 480–487. [Google Scholar]
- Ibrahim, Y.; Marcarian, V.; Dobrenz, A. Pearl Millet response to different irrigation water levels: II. Porometer parameters, photosynthesis, and water use efficiency. Emir. J. Food Agric. 1995, 7, 20–38. [Google Scholar] [CrossRef][Green Version]
- Reca, J.; Roldán, J.; Alcaide, M.; López, R.; Camacho, E. Optimisation model for water allocation in deficit irrigation systems: I. Description of the model. Agric. Water Manag. 2001, 48, 103–116. [Google Scholar] [CrossRef]
- Seghatoleslami, M.J.; Kafi, M.; Majidi, E. Effect of drought stress at different growth stages on yield and water use efficiency of five proso millet (Panicum miliaceum L.) genotypes. Pak. J. Bot 2008, 40, 1427–1432. [Google Scholar]
- Baghel, L.; Kataria, S.; Guruprasad, K.N. Effect of static magnetic field pretreatment on growth, photosynthetic performance and yield of soybean under water stress. Photosynthetica 2018, 56, 718–730. [Google Scholar] [CrossRef]
- Jaybhay, S.A.; Varghese, P.; Taware, S.P.; Idhol, B.D.; Waghmare, B.N.; Salunkhe, D.H. Response of Soybean [Glycine max (L.) Merrill] to Irrigation at Different Growth Stages. Agric. Sci. Dig 2019, 39, 132–135. [Google Scholar] [CrossRef]







| Erosion Degree | Indication | Sample Location |
|---|---|---|
| Lightly | 30 cm depth of horizon A remaining. | Contour tillage in the 2° slope |
| Moderately | 20 cm depth of horizon A remaining. | Conventional tillage in the 2.4° slope |
| Severely | 0 cm depth of horizon A remaining. | Conventional tillage in the 3.1° slope |
| Types | FC (%) | WP (%) | Clay (%) | Silt (%) | Sand (%) | BD (g cm−3) | SOM (%) | AN (mg kg−1) | PH | AP (mg kg−1) | AK (mg kg−1) |
|---|---|---|---|---|---|---|---|---|---|---|---|
| L | 38.8 | 15.2 | 34.88 | 34.30 | 30.82 | 1.23 | 5.85 | 241 | 5.69 | 18.7 | 41.36 |
| M | 25.5 | 10.1 | 31.71 | 24.95 | 43.34 | 1.47 | 4.56 | 157 | 5.96 | 33.22 | 65.33 |
| S | 17.3 | 6.7 | 16.52 | 15.35 | 68.13 | 1.67 | 1.96 | 157 | 5.83 | 41.46 | 49.35 |
© 2020 by the authors. Licensee MDPI, Basel, Switzerland. This article is an open access article distributed under the terms and conditions of the Creative Commons Attribution (CC BY) license (http://creativecommons.org/licenses/by/4.0/).
Share and Cite
Li, S.; Xie, Y.; Liu, G.; Wang, J.; Lin, H.; Xin, Y.; Zhai, J. Water Use Efficiency of Soybean under Water Stress in Different Eroded Soils. Water 2020, 12, 373. https://doi.org/10.3390/w12020373
Li S, Xie Y, Liu G, Wang J, Lin H, Xin Y, Zhai J. Water Use Efficiency of Soybean under Water Stress in Different Eroded Soils. Water. 2020; 12(2):373. https://doi.org/10.3390/w12020373
Chicago/Turabian StyleLi, Shuang, Yun Xie, Gang Liu, Jing Wang, Honghong Lin, Yan Xin, and Junrui Zhai. 2020. "Water Use Efficiency of Soybean under Water Stress in Different Eroded Soils" Water 12, no. 2: 373. https://doi.org/10.3390/w12020373
APA StyleLi, S., Xie, Y., Liu, G., Wang, J., Lin, H., Xin, Y., & Zhai, J. (2020). Water Use Efficiency of Soybean under Water Stress in Different Eroded Soils. Water, 12(2), 373. https://doi.org/10.3390/w12020373
