The Science behind Scour at Bridge Foundations: A Review
Abstract
1. Introduction
“If a builder builds a house for a man and does not make its construction firm, and the house which he has built collapses and causes the death of the owner of the house, that builder shall be put to death. If it causes the death of a son of the owner of the house, they shall put to death a son of that builder. If it causes the death of a slave of the owner of the house, he shall give to the owner of the house a slave of equal value. If it destroys property, he shall restore whatever it destroyed, and because he did not make the house, which he built, firm, and it collapsed, he shall rebuild the house that collapsed from his own property (i.e., at his own expense).”—The Code of Hammurabi about 2250 B.C. [1]
2. Processes and Definitions
2.1. Different Types of Scour
- Natural scour: Natural scour occurs due to the natural variability of river stream flows and sediment regime, considering the influence from the catchment to the river scale. Gradation of the riverbed, lateral channel migration, bend, and confluence scour are part of the natural scour.
- Contraction scour: Contraction scour occurs due to flow contraction when flow velocity, and thus shear stresses, increase, for instance, between bridge abutments. Contraction scour normally takes place within the complete river stream width.
- Local scour: Local scour emerges due to a local concentration of turbulence generated by structures that obstruct and split the flow (e.g., bridge piers and abutments). Local scour occurs around these structures because of the limited influence range they have on the river flow.
- Total scour: Total scour is defined as the sum of effects of all the scour processes that take place at a given location.
- Initial phase: The scour process starts showing erosional patters on the lateral side of the cylindrical pier.
- Progressing phase: The erosional patterns progress from the lateral side to the front of the pier. From the moment the two scour patterns coincide at the front of the pier, the deepest scour depth is achieved.
- Developing phase: The scour process develops, and the scour rate slows down.
- Equilibrium phase: Erosion inside the scour-hole is negligible.
2.2. Sediment Particle Motion
3. Local Scour Depth Estimation
3.1. Physical Modelling and Controlling Scour Parameters
3.2. Equilibrium Scour and Temporal Evolution of Scour: Empirical Approaches
3.3. Scour Estimates: Numerical Approaches and Data-Driven Methods
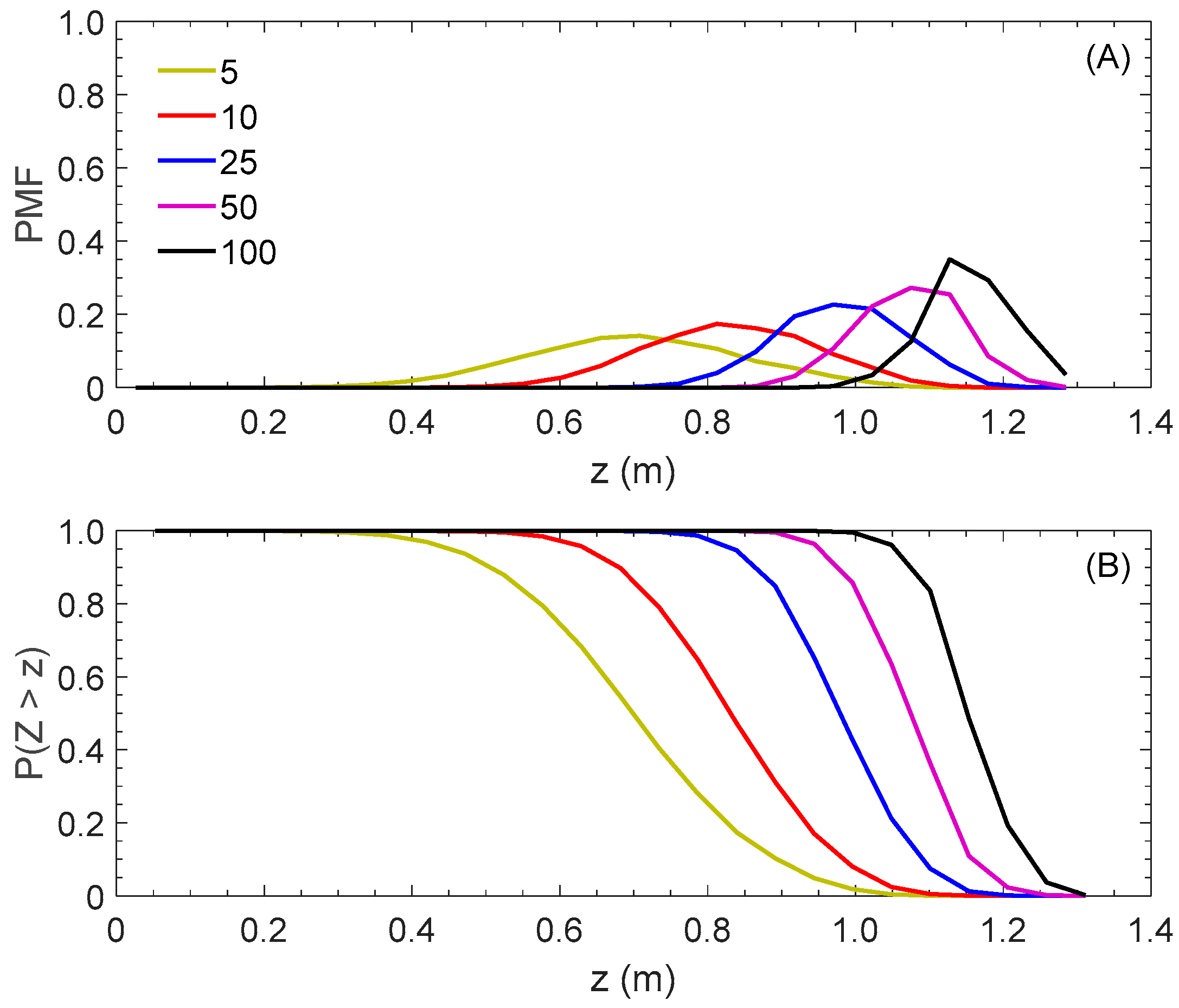
3.4. Non-Deterministic Approaches
4. Bridge Scour Monitoring
5. The Current Approach for Assessment and Design of Bridges Against Scour
- Screening: Identification of structures that are subject to water body actions and establishment of those that are at risk of scour, potentially.
- Initial assessment: Quantification of scour depths and comparison with existing level of protection. At this stage, the estimation of hydrologic and hydraulic variables is performed with views in the computation of potential scour depths. Additionally, a first categorization for low and high risk is performed that relies on whether or not the computed scour depth is larger than the foundation depth.
- Detailed assessment: Following the initial assessment, a detailed scour stage is established for high-risk-of-scour bridges. This consists in the estimation of scour depths in a more refined framework to confirm or change bridge categorization to scour. If the structures are still at high risk, a design process is usually performed for scour protection measures.
- Re-assessment: Following the already presented stages, a re-assessment process is frequently carried out with the intention to identify changes in the risk of bridges to scour.
6. Research Needs and Future Directions
Author Contributions
Funding
Conflicts of Interest
References
- Harper, R.F. The Code of Hammurabi, King of Babylon: About 2250 BC: Autographed Text, Transliteration, Translation, Glossary Index of Subjects, Lists of Proper Names, Signs, Numuerals…; The Lawbook Exchange, Ltd.: Clark, NJ, USA, 1999; ISBN 1584770031. [Google Scholar]
- Proske, D. Bridge Collapse Frequencies versus Failure Probabilities; Springer: Cham, Switzerland, 2018; ISBN 3319738321. [Google Scholar]
- Smith, D.W. Bridge failures. Proc. Inst. Civil Eng. 1976, 60, 367–382. [Google Scholar] [CrossRef]
- Kattell, J.; Eriksson, M. Bridge Scour Evaluation: Screening, Analysis, & Countermeasures; U.S. Department of Agriculture: Washington, DC, USA, 1998.
- Wardhana, K.; Hadipriono, F.C. Analysis of recent bridge failures in the United States. J. Perform. Constr. Facil. 2003, 17, 144–150. [Google Scholar] [CrossRef]
- Briaud, J.-L.; Brandimarte, L.; Wang, J.; D’Odorico, P. Probability of scour depth exceedance owing to hydrologic uncertainty. Georisk 2007, 1, 77–88. [Google Scholar] [CrossRef]
- Imam, B.M.; Marios, K. Causes and consequences of metallic bridge failures. Struct. Eng. Int. 2012, 22, 93–98. [Google Scholar] [CrossRef]
- Cook, W. Bridge Failure Rates, Consequences, and Predictive Trends; Utah State University: Logan, UT, USA, 2014; ISBN 1321576021. [Google Scholar]
- van Leuwen, Z.; Lamb, R. Flood and Scour Related Failure Incidents at Railway Assets between 1846 and 2013; JBA Trust: North Yorkshire, UK, 2014. [Google Scholar]
- Flooding after Storm Desmond; Zurich Insurance Group: Zurich, Switzerland; JBA Trust: North Yorkshire, UK, 2015; Available online: http://repo.floodalliance.net/jspui/handle/44111/2252 (accessed on 14 December 2019).
- Flooding and Scour Risk; Report No. T554; Safe Management of Railway Structures; Rail Safety and Standards Board: London, UK, 2005.
- Schulz, C. Identification of critical transport infrastructures. Clim. Chang. vulnerability challenges Spat. Plan. Civ. Prot. 2007. Available online: https://pdfs.semanticscholar.org/0631/a05746f68addae171a503348fa1249f57ff8.pdf (accessed on 14 December 2019).
- Kellermann, P.; Schönberger, C.; Thieken, A.H. Large-scale application of the flood damage model RAilway Infrastructure Loss (RAIL). Nat. Hazards Earth Syst. Sci. 2016, 16, 2357–2371. [Google Scholar] [CrossRef]
- Cumbria Floods November 2009: An Impact Assessment; Cumbria Intelligence Observatory: Cumbria, UK, 2010.
- Nemry, F.; Demirel, H. Impacts of Climate Change on Transport: A focus on road and rail transport infrastructures. Eur. Comm. Jt. Res. Cent. (JRC), Inst. Prospect. Technol. Stud. 2012. Available online: ftp://s-jrcsvqpx101p.jrc.es/pub/EURdoc/JRC72217.pdf (accessed on 14 December 2019).
- Brice, J.C.; Blodgett, J.C. Countermeasures for Hydraulic Problems at Bridges: Analysis and Assessment; Office of Research and Development, Federal Highway Administration: Washington, DC, USA, 1978; Volume 1. [Google Scholar]
- Shirole, A.M.; Holt, R.C. Planning for a comprehensive bridge safety assurance program. Transp. Res. Rec. 1991, 1290, 39–50. [Google Scholar]
- Macky, G.H. Survey of Roading Expenditure due to Scour; CR 90_09; Department of Scientific and Industrial Research, Hydrology Centre: Christchurch, New Zealand, 1990. [Google Scholar]
- Gholami, M.; Sam, A.R.B.M.; Yatim, J.M. Assessment of bridge management system in Iran. Proc. Eng. 2013, 54, 573–583. [Google Scholar] [CrossRef]
- Armitage, N.; Cunninghame, M.; Kabir, A.; Abban, B. Local Scour in Rivers; The Extent of the Problem in South Africa; The State of the Art of Numerical Modelling; University of Cape Town: Cape Town, South Africa, 2007. [Google Scholar]
- Regmi, M.B.; Hanaoka, S. A survey on impacts of climate change on road transport infrastructure and adaptation strategies in Asia. Environ. Econ. Policy Stud. 2011, 13, 21–41. [Google Scholar] [CrossRef]
- Scozzese, F.; Ragni, L.; Tubaldi, E.; Gara, F. Modal properties variation and collapse assessment of masonry arch bridges under scour action. Eng. Struct. 2019, 199, 109665. [Google Scholar] [CrossRef]
- Kirby, A.; Roca, M.; Kitchen, A.; Escarameia, M.; Chesterton, O. Manual on Scour at Bridges and Other Hydraulic Structures; CIRIA: London, UK, 2015; ISBN 0860177475. [Google Scholar]
- Zanke, U. Zusammenhänge zwischen Strömung und Sedimenttransport, Teil 2: Berechnung des Sedimenttransportes hinter befestigten Sohlenstrecken-Sonderfall zweidimensionaler Kolk; Franzius-Institus der TU Hannover: Hannover, Germany, 1978. [Google Scholar]
- Link, O. Untersuchung der Kolkung an einem Schlanken Zylindrischen Pheiler in Sandigem Boden. Ph.D. Thesis, Inst. fr Wasserbau und Wasserwirtschaft, Tech. Univ. Darmstadt, Darmstadt, Germany, 2006. [Google Scholar]
- Link, O.; Klischies, K.; Montalva, G.; Dey, S. Effects of bed compaction on scour at piers in sand-clay mixtures. J. Hydraul. Eng. 2013, 139, 1013–1019. [Google Scholar] [CrossRef]
- Ansari, S.A.; Kothyari, U.C.; Ranga Raju, K.G. Influence of cohesion on scour around bridge piers. J. Hydraul. Res. 2002, 40, 717–729. [Google Scholar] [CrossRef]
- Debnath, K.; Chaudhuri, S. Bridge pier scour in clay-sand mixed sediments at near-threshold velocity for sand. J. Hydraul. Eng. 2010, 136, 597–609. [Google Scholar] [CrossRef]
- Shields, A. Anwendung der Aehnlichkeitsmechanik und der Turbulenzforschung auf die Geschiebebewegung. Ph.D. Thesis, Technical University of Berlin, Berlin, Germany, 1936. [Google Scholar]
- Bonnefille, R. Essais de synthese des lois de debut d’entrainment des sediment sous l’action d’un courant en regime uniform. Bull. du CREC 1963, 5, 67–72. [Google Scholar]
- Yalin, M.S. Mechanics of Sediment Transport; Pergamon Press: Oxford, UK, 1976; ISBN 0080166466. [Google Scholar]
- Hjulstrom, F. Studies of the morphological activity of rivers as illustrated by the river fyris, bulletin. Geol. Inst. Upsalsa 1935, 25, 221–527. [Google Scholar]
- Yang, Y.; Gao, S.; Wang, Y.P.; Jia, J.; Xiong, J.; Zhou, L. Revisiting the problem of sediment motion threshold. Cont. Shelf Res. 2019, 187, 103960. [Google Scholar] [CrossRef]
- Lamb, M.P.; Dietrich, W.E.; Venditti, J.G. Is the critical shields stress for incipient sediment motion dependent on channel-bed slope? J. Geophys. Res. Earth Surf. 2008, 113. [Google Scholar] [CrossRef]
- Beheshti, A.A.; Ataie-Ashtiani, B. Analysis of threshold and incipient conditions for sediment movement. Coast. Eng. 2008, 55, 423–430. [Google Scholar] [CrossRef]
- Righetti, M.; Lucarelli, C. May the Shields theory be extended to cohesive and adhesive benthic sediments? J. Geophys. Res. Ocean. 2007, 112, C05039. [Google Scholar] [CrossRef]
- Bridge, J.S.; Bennett, S.J. A model for the entrainment and transport of sediment grains of mixed sizes, shapes, and densities. Water Resour. Res. 1992, 28, 337–363. [Google Scholar] [CrossRef]
- Paphitis, D.; Velegrakis, A.F.; Collins, M.B.; Muirhead, A. Laboratory investigations into the threshold of movement of natural sand-sized sediments under unidirectional, oscillatory and combined flows. Sedimentology 2001, 48, 645–659. [Google Scholar] [CrossRef]
- Nasr, A.; Kjellström, E.; Björnsson, I.; Honfi, D.; Ivanov, O.L.; Johansson, J. Bridges in a changing climate: A study of the potential impacts of climate change on bridges and their possible adaptations. Struct. Infrastruct. Eng. 2019, 1–12. [Google Scholar] [CrossRef]
- Soulsby, R.L.; Whitehouse, R.J.S. Threshold of sediment motion in coastal environments. In Pacific Coasts and Ports’ 97, Proceedings of the 13th Australasian Coastal and Ocean Engineering Conference and the 6th Australasian Port and Harbour Conference, Christchurch, New Zealand, 7–11 September 1997; Centre for Advanced Engineering, University of Canterbury: Christchurch, New Zealand, 1997; Volume 1, p. 145. [Google Scholar]
- Yang, Y.; Wang, Y.P.; Gao, S.; Wang, X.H.; Shi, B.W.; Zhou, L.; Wang, D.D.; Dai, C.; Li, G.C. Sediment resuspension in tidally dominated coastal environments: New insights into the threshold for initial movement. Ocean Dyn. 2016, 66, 401–417. [Google Scholar] [CrossRef]
- Winterwerp, J.C.; van Kesteren, W.G.M. Introduction to the Physics of Cohesive Sediment Dynamics in the Marine Environment; Elsevier: Amsterdam, The Netherlands, 2004; ISBN 0444515534. [Google Scholar]
- Chen, X.D.; Zhang, C.K.; Paterson, D.M.; Thompson, C.E.L.; Townend, I.H.; Gong, Z.; Zhou, Z.; Feng, Q. Hindered erosion: The biological mediation of noncohesive sediment behavior. Water Resour. Res. 2017, 53, 4787–4801. [Google Scholar] [CrossRef]
- Mavis, F.T.; Laushey, L.M. Formula for velocity at beginning of bed-load movement is reappraised. Civ. Eng. 1949, 19, 38–39. [Google Scholar]
- Novak, P.; Nalluri, C. Correlation of sediment incipient motion and deposition in pipes and open channels with fixed smooth bed. In Proceedings of the Third International Conference on Hydraulic Transport of Solids in Pipes, Golden, CO, USA, 15–17 May 1974; Volume 4, pp. 46–56. [Google Scholar]
- Zanke, U. Neuer Ansatz zur Berechnung des Transportbeginns von Sedimenten unter Strömungseinfluß (In German); Mitt. des Franzius-Institut, Technical Univ.: Hannover, Germany, 1977. [Google Scholar]
- Van Rijn, L.C. Principles of Sediment Transport in Rivers, Estuaries and Coastal Seas; Aqua Publications: Amsterdam, The Netherlands, 1993; Volume 1006. [Google Scholar]
- Richardson, E.V.; Davis, S.R. Evaluating Scour at Bridges; Hydraulic Engineering Circular (HEC) No. 18; U.S. Department of Transportation: Washington, DC, USA, 2001.
- Hager, W.H.; Oliveto, G. Shields’ entrainment criterion in bridge hydraulics. J. Hydraul. Eng. 2002, 128, 538–542. [Google Scholar] [CrossRef]
- Raudkivi, A.J. Functional Trends of Scour at Bridge Piers. J. Hydraul. Eng. 1986, 112, 1–13. [Google Scholar] [CrossRef]
- Chiew, Y.-M. Mechanics of riprap failure at bridge piers. J. Hydraul. Eng. 1995, 121, 635–643. [Google Scholar] [CrossRef]
- Mia, M.F.; Nago, H. Design method of time-dependent local scour at circular bridge pier. J. Hydraul. Eng. 2003, 129, 420–427. [Google Scholar] [CrossRef]
- Jones, S.; Sheppard, M. Scour at Wide Bridge Piers. Build. Partnerships 2000, 1–10. [Google Scholar] [CrossRef]
- Zanke, U. Kolke am Pfeiler in richtungskonstanter Strömung und unter Welleneinfluß. Mitteilungen des Franzius-Instituts für Wasserbau-und Küsteningenieurwes. der Univ. Hann. 1982, 54, 381–416. [Google Scholar]
- Breusers, H.N.C.; Nicollet, G.; Shen, H.W. Local scour around cylindrical piers. J. Hydraul. Res. 1977, 15, 211–252. [Google Scholar] [CrossRef]
- May, R.W.P.; Willoughby, I.R. Local Scour around Large Obstructions; Hydraulics Research Limited: Wallingford, UK, 1990. [Google Scholar]
- Miller Jr, W.; Sheppard, M.D. Time rate of local scour at a circular pile. In Proceedings of the First International Conference on Scour of Foundations, College Station, TX, USA, 17–20 November 2002. [Google Scholar]
- Pizarro, A.; Ettmer, B.; Manfreda, S.; Rojas, A.; Link, O. Dimensionless Effective Flow Work for Estimation of Pier Scour Caused by Flood Waves. J. Hydraul. Eng. 2017, 143, 06017006. [Google Scholar] [CrossRef]
- Manes, C.; Brocchini, M. Local scour around structures and the phenomenology of turbulence. J. Fluid Mech. 2015, 779, 309–324. [Google Scholar] [CrossRef]
- Ettmer, B.; Orth, F.; Link, O. Live-bed scour at bridge piers in a lightweight polystyrene bed. J. Hydraul. Eng. 2015, 141, 4015017. [Google Scholar] [CrossRef]
- Hamill, L. Bridge Hydraulics; CRC Press: Boca Raton, FL, USA, 2014; ISBN 148227163X. [Google Scholar]
- Melville, B.W.; Coleman, S.E. Bridge Scour; Water Resources Publication: Highlands Ranch, CO, USA, 2000; ISBN 1887201181. [Google Scholar]
- Ettema, R. Scour at Bridge Piers; University of Auckland: Auckland, New Zealand, 1980. [Google Scholar]
- Melville, B.W.; Sutherland, A.J. Design method for local scour at bridge piers. J. Hydraul. Eng. 1988, 114, 1210–1226. [Google Scholar] [CrossRef]
- Whitehouse, R. Scour at Marine Structures: A Manual for Practical Applications; Thomas Telford Ltd.: London, UK, 1998; ISBN 0727726552. [Google Scholar]
- Melville, B.W. Pier and abutment scour: Integrated approach. J. Hydraul. Eng. 1997, 123, 125–136. [Google Scholar] [CrossRef]
- Breusers, H.N.C.; Raudkivi, A.J. Scouring, hydraulic structures design manual. IAHR, AA Balkema, Rotterdam 1991, 2. [Google Scholar]
- Melville, B.W.; Chiew, Y.-M. Time scale for local scour at bridge piers. J. Hydraul. Eng. 1999, 125, 59–65. [Google Scholar] [CrossRef]
- Sheppard, D.M.; Odeh, M.; Glasser, T. Large scale clear-water local pier scour experiments. J. Hydraul. Eng. 2004, 130, 957–963. [Google Scholar] [CrossRef]
- Lee, S.O.; Sturm, T.W. Effect of sediment size scaling on physical modeling of bridge pier scour. J. Hydraul. Eng. 2009, 135, 793–802. [Google Scholar] [CrossRef]
- Lança, R.; Fael, C.; Cardoso, A. Effect of relative sediment size on clear-water equilibrium scour depth at single cylindrical piers. In Proceedings of the 34th World Congress of the International Association for Hydro-Environment Research and Engineering: 33rd Hydrology and Water Resources Symposium and 10th Conference on Hydraulics in Water Engineering, Brisbane, QLD, Australia, 26 June–1 July 2011; Engineers Australia: Barton, Australia, 2011; p. 3582. [Google Scholar]
- Chiew, Y.M. Local Scour at Bridge Piers; Report No. 355; University of Auckland: Auckland, New Zealand, 1984. [Google Scholar]
- Williams, P.; Balachandar, R.; Bolisetti, T. Examination of Blockage Effects on the Progression of Local Scour around a Circular Cylinder. Water 2019, 11, 2631. [Google Scholar] [CrossRef]
- Hodi, B. Effect of Blockage and Densimetric Froude Number on Circular Bridge Pier Local Scour. Master’s Thesis, University of Windsor, Windsor, ON, Canada, 2009. [Google Scholar]
- D’Alessandro, C. Effect of blockage on cylindrical bridge pier local scour. 2013. Available online: https://scholar.uwindsor.ca/etd/4966/ (accessed on 14 December 2019).
- Tejada, S. Effects of Blockage and Relative Coarseness on Clear Water Bridge Pier Scour. Master’s Thesis, University of Windsor, Windsor, ON, Canada, 2014. [Google Scholar]
- Williams, P.; Bolisetti, T.; Balachandar, R. Evaluation of governing parameters on pier scour geometry. Can. J. Civ. Eng. 2016, 44, 48–58. [Google Scholar] [CrossRef]
- Link, O.; Henríquez, S.; Ettmer, B. Physical scale modelling of scour around bridge piers. J. Hydraul. Res. 2019, 57, 227–237. [Google Scholar] [CrossRef]
- Bombar, G. Scour Evolution Around Bridge Piers Under Hydrographs with High Unsteadiness. Iran. J. Sci. Technol. Trans. Civ. Eng. 2019, 1–13. Available online: https://link.springer.com/article/10.1007%2Fs40996-019-00321-8 (accessed on 14 December 2019). [CrossRef]
- Schendel, A.; Welzel, M.; Hildebrandt, A.; Schlurmann, T.; Hsu, T.-W. Role and Impact of Hydrograph Shape on Tidal Current-Induced Scour in Physical-Modelling Environments. Water 2019, 11, 2636. [Google Scholar] [CrossRef]
- Gazi, A.H.; Afzal, M.S.; Dey, S. Scour around Piers under Waves: Current Status of Research and Its Future Prospect. Water 2019, 11, 2212. [Google Scholar] [CrossRef]
- Link, O.; Mignot, E.; Roux, S.; Camenen, B.; Escauriaza, C.; Chauchat, J.; Brevis, W.; Manfreda, S. Scour at Bridge Foundations in Supercritical Flows: An Analysis of Knowledge Gaps. Water 2019, 11, 1656. [Google Scholar] [CrossRef]
- Sheppard, D.M.; Melville, B. Scour at Wide Piers and Long Skewed Piers; NCHRP Report 682; Transportation Research Board: Washington, DC, USA, 2011. [Google Scholar]
- Sheppard, D.M.; Melville, B.; Demir, H. Evaluation of Existing Equations for Local Scour at Bridge Piers. J. Hydraul. Eng. 2014, 140, 14–23. [Google Scholar] [CrossRef]
- Gao, D.; Pasada, L.; Nordin, C.F. Pier Scour Equations Used in the Peoples Republic of China; FHWA-SA-93-076; Federal Highway Administration: Washington, DC, USA, 1993. [Google Scholar]
- Liang, F.; Wang, C.; Yu, X. Performance of Existing Methods for Estimation and Mitigation of Local Scour around Bridges: Case Studies. J. Perform. Constr. Facil. 2019, 33, 4019060. [Google Scholar] [CrossRef]
- Gaudio, R.; Grimaldi, C.; Tafarojnoruz, A.; Calomino, F. Comparison of formulae for the prediction of scour depth at piers. In Proceedings of the 1st IAHR European Division Congress, Edinburgh, UK, 4–6 May 2010. [Google Scholar]
- Park, C.-W.; Park, H.I.; Cho, Y.-K. Evaluation of the applicability of pier local scour formulae using laboratory and field data. Mar. Georesour. Geotechnol. 2017, 35, 1–7. [Google Scholar] [CrossRef]
- Qi, M.; Li, J.; Chen, Q. Comparison of existing equations for local scour at bridge piers: Parameter influence and validation. Nat. Hazards 2016, 82, 2089–2105. [Google Scholar] [CrossRef]
- Wang, C.; Yu, X.; Liang, F. Comparison and estimation of the local scour depth around pile groups and wide piers. In Geotechnical Frontiers 2017; Brandon, T.L., Valentine, R.J., Eds.; ASCE: Reston, VA, USA, 2017; pp. 11–19. [Google Scholar]
- Qi, M.; Li, J.; Chen, Q. Applicability Analysis of Pier-Scour Equations in the Field: Error Analysis by Rationalizing Measurement Data. J. Hydraul. Eng. 2018, 144, 4018050. [Google Scholar] [CrossRef]
- Pizarro, A.; Tubaldi, E. Quantification of modelling uncertainties in bridge scour risk assessment under multiple flood events. Geosciences 2019, 9, 445. [Google Scholar] [CrossRef]
- Froehlich, D.C. Analysis of onsite measurements of scour at piers. In Hydraulic Engineering, Proceedings of the 1988 National Conference on Hydraulic Engineering, Colorado Springs, CO, USA, 8–12 August 1988; ASCE: Reston, VA, USA, 1988; pp. 534–539. [Google Scholar]
- Johnson, P.A.; Torrico, E.F. Scour around wide piers in shallow water. Transp. Res. Rec. 1994, 66–70. Available online: https://pennstate.pure.elsevier.com/en/publications/scour-around-wide-piers-in-shallow-water (accessed on 14 December 2019).
- Williams, P.; Bolisetti, T.; Balachandar, R. Blockage correction for pier scour experiments. Can. J. Civ. Eng. 2018, 45, 1–5. [Google Scholar] [CrossRef]
- Dey, S. Time-Variation of Scour in the Vicinity of Circular Piers. Proc. Inst. Civ. Eng. Water Marit. Energy 1999, 136, 67–75. [Google Scholar] [CrossRef]
- Oliveto, G.; Hager, W.H. Temporal evolution of clear-water pier and abutment scour. J. Hydraul. Eng. 2002, 128, 811–820. [Google Scholar] [CrossRef]
- Sheppard, D.M.; Miller, W., Jr. Live-bed local pier scour experiments. J. Hydraul. Eng. 2006, 132, 635–642. [Google Scholar] [CrossRef]
- Pandey, M.; Sharma, P.K.; Ahmad, Z.; Singh, U.K. Evaluation of existing equations for temporal scour depth around circular bridge piers. Environ. Fluid Mech. 2017, 17, 981–995. [Google Scholar] [CrossRef]
- Kothyari, U.C.; Garde, R.C.J.; Ranga Raju, K.G. Temporal variation of scour around circular bridge piers. J. Hydraul. Eng. 1992, 118, 1091–1106. [Google Scholar] [CrossRef]
- Oliveto, G.; Hager, W.H. Further results to time-dependent local scour at bridge elements. J. Hydraul. Eng. 2005, 131, 97–105. [Google Scholar] [CrossRef]
- López, G.; Teixeira, L.; Ortega-Sánchez, M.; Simarro, G. Estimating final scour depth under clear-water flood waves. J. Hydraul. Eng. 2014, 140, 328–332. [Google Scholar] [CrossRef]
- Hager, W.H.; Unger, J. Bridge pier scour under flood waves. J. Hydraul. Eng. 2010, 136, 842–847. [Google Scholar] [CrossRef]
- Link, O.; Castillo, C.; Pizarro, A.; Rojas, A.; Ettmer, B.; Escauriaza, C.; Manfreda, S. A model of bridge pier scour during flood waves. J. Hydraul. Res. 2017, 55, 310–323. [Google Scholar] [CrossRef]
- Pizarro, A.; Samela, C.; Fiorentino, M.; Link, O.; Manfreda, S. BRISENT: An Entropy-Based Model for Bridge-Pier Scour Estimation under Complex Hydraulic Scenarios. Water 2017, 9, 889. [Google Scholar] [CrossRef]
- Link, O.; García, M.; Pizarro, A.; Alcayaga, H.; Palma, S. Local Scour and Sediment Deposition at Bridge Piers during Floods. J. Hydraul. Eng. 2020, 146, 04020003. [Google Scholar] [CrossRef]
- Foster, G.R.; Huggins, L.F. Deposition of sediment by overland flow on concave slopes. Soil Eros. Predict. Control 1977, 21, 167–182. [Google Scholar]
- Lu, J.-Y.; Hong, J.-H.; Su, C.-C.; Wang, C.-Y.; Lai, J.-S. Field measurements and simulation of bridge scour depth variations during floods. J. Hydraul. Eng. 2008, 134, 810–821. [Google Scholar] [CrossRef]
- Dey, S. Fluvial Hydrodynamics; Springer-Verlag: Berlin/Heidelberg, Germany, 2014; ISBN 3642190618. [Google Scholar]
- Meyer-Peter, E.; Müller, R. Formulas for bed-load transport. In Vol. A2 of Proc., 2nd IAHR Congress, 1–26; International Association for Hydro-Environment Engineering and Research: Delft, The Netherlands, 1948. [Google Scholar]
- Olsen, N.R.B.; Melaaen, M.C. Three-dimensional calculation of scour around cylinders. J. Hydraul. Eng. 1993, 119, 1048–1054. [Google Scholar] [CrossRef]
- Olsen, N.R.B.; Kjellesvig, H.M. Three-dimensional numerical flow modeling for estimation of maximum local scour depth. J. Hydraul. Res. 1998, 36, 579–590. [Google Scholar] [CrossRef]
- Tseng, M.H.; Yen, C.L.; Song, C.C.S. Computation of three-dimensional flow around square and circular piers. Int. J. Numer. Methods Fluids 2000, 34, 207–227. [Google Scholar] [CrossRef]
- Dargahi, B. Controlling mechanism of local scouring. J. Hydraul. Eng. 1990, 116, 1197–1214. [Google Scholar] [CrossRef]
- Salaheldin, T.M.; Imran, J.; Chaudhry, M.H. Numerical modeling of three-dimensional flow field around circular piers. J. Hydraul. Eng. 2004, 130, 91–100. [Google Scholar] [CrossRef]
- Roulund, A.; Sumer, B.M.; Fredsøe, J.; Michelsen, J. Numerical and experimental investigation of flow and scour around a circular pile. J. Fluid Mech. 2005, 534, 351–401. [Google Scholar] [CrossRef]
- Mutlu Sumer, B. Mathematical modelling of scour: A review. J. Hydraul. Res. 2007, 45, 723–735. [Google Scholar] [CrossRef]
- Khosronejad, A.; Kang, S.; Sotiropoulos, F. Experimental and computational investigation of local scour around bridge piers. Adv. Water Resour. 2012, 37, 73–85. [Google Scholar] [CrossRef]
- Brandimarte, L.; Paron, P.; Di Baldassarre, G. Bridge pier scour: A review of processes, measurements and estimates. Environ. Eng. Manag. J. 2012, 11, 975–989. [Google Scholar] [CrossRef]
- Baykal, C.; Sumer, B.M.; Fuhrman, D.R.; Jacobsen, N.G.; Fredsoe, J. Numerical investigation of flow and scour around a vertical circular cylinder. Philos. Trans. R. Soc. A Math. Phys. Eng. Sci. 2015, 373, 20140104. [Google Scholar] [CrossRef]
- Baykal, C.; Sumer, B.M.; Fuhrman, D.R.; Jacobsen, N.G.; Fredsøe, J. Numerical simulation of scour and backfilling processes around a circular pile in waves. Coast. Eng. 2017, 122, 87–107. [Google Scholar] [CrossRef]
- Cheng, M.Y.; Cao, M.T. Hybrid intelligent inference model for enhancing prediction accuracy of scour depth around bridge piers. Struct. Infrastruct. Eng. 2015, 11, 1178–1189. [Google Scholar] [CrossRef]
- Najafzadeh, M.; Barani, G.A.; Azamathulla, H.M. GMDH to predict scour depth around a pier in cohesive soils. Appl. Ocean Res. 2013, 40, 35–41. [Google Scholar] [CrossRef]
- Zounemat-Kermani, M.; Beheshti, A.A.; Ataie-Ashtiani, B.; Sabbagh-Yazdi, S.R. Estimation of current-induced scour depth around pile groups using neural network and adaptive neuro-fuzzy inference system. Appl. Soft Comput. J. 2009, 9, 746–755. [Google Scholar] [CrossRef]
- Hosseini, R.; Fazloula, R.; Saneie, M.; Amini, A. Bagged neural network for estimating the scour depth around pile groups. Int. J. River Basin Manag. 2018, 16, 401–412. [Google Scholar] [CrossRef]
- Jeng, D.S.; Bateni, S.M.; Lockett, E. Neural network assessment for scour depth around bridge piers. Civ. Eng. Res. Rep. R855 2005, 1–89. [Google Scholar]
- Lee, T.L.; Jeng, D.S.; Zhang, G.H.; Hong, J.H. Neural network modeling for estimation of scour depth around bridge piers. J. Hydrodyn. 2007, 19, 378–386. [Google Scholar] [CrossRef]
- Bateni, S.M.; Jeng, D.S.; Melville, B.W. Bayesian neural networks for prediction of equilibrium and time-dependent scour depth around bridge piers. Adv. Eng. Softw. 2007, 38, 102–111. [Google Scholar] [CrossRef]
- Firat, M.; Gungor, M. Generalized Regression Neural Networks and Feed Forward Neural Networks for prediction of scour depth around bridge piers. Adv. Eng. Softw. 2009, 40, 731–737. [Google Scholar] [CrossRef]
- Toth, E.; Brandimarte, L. Prediction of local scour depth at bridge piers under clear-water and live-bed conditions: Comparison of literature formulae and artificial neural networks. J. Hydroinform. 2011, 13, 812–824. [Google Scholar] [CrossRef]
- Barbe, D.E.; Cruise, J.F.; Singh, V.P. Probabilistic approach to local bridge pier scour. Transp. Res. Rec. 1992. Available online: http://hdl.handle.net/1969.1/164643 (accessed on 25 January 2020).
- Johnson, P.A. Reliability-based pier scour engineering. J. Hydraul. Eng. 1992, 118, 1344–1358. [Google Scholar] [CrossRef]
- Kwak, K.; Briaud, J.L.; Chen, H.C. SRICOS: Computer program for bridge pier scour. In Proceedings of the International Conference on Soil Mechanics and Geotechnical Engineering, Instanbul, Turkey, 27 August 2001; AA Balkema Publishers: Roterdam, The Netherlands, 2001; Volume 3, pp. 2235–2238. [Google Scholar]
- Johnson, P.A.; Hell, T.M. Bridge Scour-A Probabilistic Approach. Infrastructure 1996, 1, 24–30. [Google Scholar]
- Johnson, P.A.; Ayyub, B.M. Modeling uncertainty in prediction of pier scour. J. Hydraul. Eng. 1996, 122, 66–72. [Google Scholar] [CrossRef]
- Johnson, P.A.; Ayyub, B.M. Assessing time-variant bridge reliability due to pier scour. J. Hydraul. Eng. 1992, 118, 887–903. [Google Scholar] [CrossRef]
- Yanmaz, A.M.; Üstün, I. Generalized reliability model for local scour around bridge piers of various shapes. Turkish J. Eng. Environ. Sci. 2001, 25, 687–698. [Google Scholar]
- Yanmaz, A.M.; Cicekdag, O. Composite reliability model for local scour around cylindrical bridge piers. Can. J. Civ. Eng. 2001, 28, 520–535. [Google Scholar] [CrossRef]
- Brandimarte, L.; Montanari, A.; Briaud, J.-L.; D’Odorico, P. Stochastic flow analysis for predicting river scour of cohesive soils. J. Hydraul. Eng. 2006, 132, 493–500. [Google Scholar] [CrossRef]
- Briaud, J.L.; Chen, H.C.; Kwak, K.W.; Han, S.W.; Ting, F.C.K. Multiflood and multilayer method for scour rate prediction at bridge piers. J. Geotech. Geoenviron. Eng. 2001, 127, 114–125. [Google Scholar] [CrossRef]
- Briaud, J.L.; Ting, F.C.K.; Chen, H.C.; Cao, Y.; Han, S.W.; Kwak, K.W. Erosion function apparatus for scour rate predictions. J. Geotech. Geoenviron. Eng. 2001, 127, 105–113. [Google Scholar] [CrossRef]
- Lagasse, P.F.; Ghosn, M.; Johnson, P.A.; Zevenbergen, L.W.; Clopper, P.E. Risk-Based Approach for Bridge Scour Prediction; Final Report; Ayres Associates: Fort Collins, CO, USA, 2013. [Google Scholar]
- Johnson, P.A.; Clopper, P.E.; Zevenbergen, L.W.; Lagasse, P.F. Quantifying uncertainty and reliability in bridge scour estimations. J. Hydraul. Eng. 2015, 141, 4015013. [Google Scholar] [CrossRef]
- Tubaldi, E.; Macorini, L.; Izzuddin, B.A.; Manes, C.; Laio, F. A framework for probabilistic assessment of clear-water scour around bridge piers. Struct. Saf. 2017, 69, 11–22. [Google Scholar] [CrossRef]
- Manfreda, S.; Link, O.; Pizarro, A. A theoretically derived probability distribution of scour. Water 2018, 10, 1520. [Google Scholar] [CrossRef]
- Manfreda, S. On the derivation of flow rating-curves in data-scarce environments. J. Hydrol. 2018, 562, 151–154. [Google Scholar] [CrossRef]
- Prendergast, L.J.; Gavin, K. A review of bridge scour monitoring techniques. J. Rock Mech. Geotech. Eng. 2014, 6, 138–149. [Google Scholar] [CrossRef]
- Deng, L.; Cai, C.S. Bridge scour: Prediction, modeling, monitoring, and countermeasures. Pract. Period. Struct. Des. Constr. 2009, 15, 125–134. [Google Scholar] [CrossRef]
- Wang, C.; Yu, X.; Liang, F. A review of bridge scour: Mechanism, estimation, monitoring and countermeasures. Nat. Hazards 2017, 87, 1881–1906. [Google Scholar] [CrossRef]
- Yankielun, N.E.; Zabilansky, L. Laboratory investigation of time-domain reflectometry system for monitoring bridge scour. J. Hydraul. Eng. 1999, 125, 1279–1284. [Google Scholar] [CrossRef]
- Su, C.C.; Lu, J.Y. Measurements and prediction of typhoon-induced short-term general scours in intermittent rivers. Nat. Hazards 2013, 66, 671–687. [Google Scholar] [CrossRef]
- Chen, G.; Schafer, B.P.; Lin, Z.; Huang, Y.; Suaznabar, O.; Shen, J.; Kerenyi, K. Maximum scour depth based on magnetic field change in smart rocks for foundation stability evaluation of bridges. Struct. Heal. Monit. 2015, 14, 86–99. [Google Scholar] [CrossRef]
- Tang, F.; Chen, Y.; Guo, C.; Fan, L.; Chen, G.; Tang, Y. Field Application of Magnet-Based Smart Rock for Bridge Scour Monitoring. J. Bridg. Eng. 2019, 24, 4019015. [Google Scholar] [CrossRef]
- Briaud, J.-L.; Hurlebaus, S.; Chang, K.-A.; Yao, C.; Sharma, H.; Yu, O.-Y.; Darby, C.; Hunt, B.E.; Price, G.R. Realtime Monitoring of Bridge Scour Using Remote Monitoring Technology; Texas Transportation Institute: College Station, TX, USA; Texas A&M University System: College Station, TX, USA, 2011. [Google Scholar]
- Sohn, H.; Farrar, C.R.; Hemez, F.M.; Shunk, D.D.; Stinemates, D.W.; Nadler, B.R.; Czarnecki, J.J. A Review of Structural Health Monitoring Literature: 1996–2001; Los Alamos National Labaratory: Los Alamos, NM, USA, 2003; pp. 1–331. [Google Scholar]
- Lin, Y.-B.; Chen, J.-C.; Chang, K.-C.; Chern, J.-C.; Lai, J.-S. Real-time monitoring of local scour by using fiber Bragg grating sensors. Smart Mater. Struct. 2005, 14, 664. [Google Scholar] [CrossRef]
- Yu, X.; Asheesh, P.; Zhang, N.; Thapa, B.; Tjuatja, S. Thermo-TDR probe for measurement of soil moisture, density, and thermal properties. In Geo-CONGRESS 2014: Geo-Characterization and Modeling for Sustainability, Proceedings of the Geo-CONGRESS 2014, Atlanta, GA, USA, 23–26 February 2014; ASCE: Reston, VA, USA, 2014; pp. 2804–2813. [Google Scholar]
- Lo, K.-F.; Ni, S.-H.; Huang, Y.-H.; Zhou, X.M. Measurement of unknown bridge foundation depth by parallel seismic method. Exp. Tech. 2009, 33, 23–27. [Google Scholar] [CrossRef]
- Liang, F.; Li, Y.; Chen, H. Influence of scour depth on vertically cyclic behaviors of single pile with model tests. J. Tongji Univ. 2014, 42, 1511–1515. (in Chinese). [Google Scholar]
- Su, C.-C.; Lu, J.-Y. Comparison of Sediment Load and Riverbed Scour during Floods for Gravel-Bed and Sand-Bed Reaches of Intermittent Rivers: Case Study. J. Hydraul. Eng. 2016, 142, 5016001. [Google Scholar] [CrossRef]
- Hong, J.-H.; Guo, W.-D.; Chiew, Y.-M.; Chen, C.-H. A new practical method to simulate flood-induced bridge pier scour—A case study of Mingchu bridge piers on the Cho-Shui River. Water 2016, 8, 238. [Google Scholar] [CrossRef]
- Sturm, T.; Sotiropoulos, F.; Landers, M.; Gotvald, T.; Lee, S.; Ge, L.; Navarro, R.; Escauriaza, C. Laboratory and 3D Numerical Modeling with Field Monitoring of Regional Bridge Scour in Georgia; Final Report; Georgia Department of Transportation: Atlanta, GA, USA, 2004. [Google Scholar]
- Crotti, G.; Cigada, A. Scour at river bridge piers: Real-time vulnerability assessment through the continuous monitoring of a bridge over the river Po, Italy. J. Civ. Struct. Heal. Monit. 2019, 9, 1–16. [Google Scholar] [CrossRef]
- Maroni, A.; Tubaldi, E.; Douglas, J.; Ferguson, N.; Zonta, D.; McDonald, H.; Walker, D.; Greenoak, E.; Green, C. Using Bayesian networks for the assessment of underwater scour for road and railway bridges. In Proceedings of the Structural Faults and Repair 2018 and European Bridge Conference 2018, Edinburgh, UK, 15–17 May 2018. [Google Scholar]
- Arneson, L.A.; Zevenbergen, L.W.; Lagasse, P.F.; Clopper, P.E. Evaluating Scour at Bridges, 5th ed.; Hydraulic Engineering Circular No. 18, Publication No. FHWA-HIF-12-003; U.S. Department of Transportation: Washington, DC, USA, 2012.
- Chilean MOP (Chilean Ministry of Public Works). Highways Design Manual; Santiago de Chile: Santiage, Chile, 2000. (in Spanish) [Google Scholar]
- The assessment of scour and other hydraulic actions at highway structures. In Design Manual for Roads and Bridges, Vol. 3–Highway Structures: Inspection &Maintenance; Highways Agency: London, UK, 2012.
- Tubaldi, E.; Macorini, L.; Izzuddin, B.A. Three-dimensional mesoscale modelling of multi-span masonry arch bridges subjected to scour. Eng. Struct. 2018, 165, 486–500. [Google Scholar] [CrossRef]
- Flint, M.M.; Fringer, O.; Billington, S.L.; Freyberg, D.; Diffenbaugh, N.S. Historical Analysis of Hydraulic Bridge Collapses in the Continental United States. J. Infrastruct. Syst. 2017, 23, 4017005. [Google Scholar] [CrossRef]
- Ashraf, F.U.; Flint, M.M. Analysis of Peak Flow Distribution for Bridge Collapse Sites. Water 2020, 12, 52. [Google Scholar] [CrossRef]
- Dimitriadis, P.; Koutsoyiannis, D.; Papanicolaou, P. Stochastic similarities between the microscale of turbulence and hydro-meteorological processes. Hydrol. Sci. J. 2016, 61, 1623–1640. [Google Scholar] [CrossRef]
- Dimitriadis, P.; Koutsoyiannis, D. Climacogram versus autocovariance and power spectrum in stochastic modelling for Markovian and Hurst–Kolmogorov processes. Stoch. Environ. Res. Risk Assess. 2015, 29, 1649–1669. [Google Scholar] [CrossRef]
- Dimitriadis, P.; Koutsoyiannis, D. Stochastic synthesis approximating any process dependence and distribution. Stoch. Environ. Res. Risk Assess. 2018, 32(6), 1493–1515. [Google Scholar] [CrossRef]
- Barbetta, S.; Camici, S.; Moramarco, T. A reappraisal of bridge piers scour vulnerability: A case study in the Upper Tiber River basin (central Italy). J. Flood Risk Manag. 2017, 10, 283–300. [Google Scholar] [CrossRef]
- Federico, F.; Silvagni, G.; Volpi, F. Scour Vulnerability of River Bridge Piers. J. Geotech. Geoenviron. Eng. 2003, 129, 890–899. [Google Scholar] [CrossRef]
- Lamb, R.; Aspinall, W.; Odbert, H.; Wagener, T. Vulnerability of bridges to scour: Insights from an international expert elicitation workshop. Nat. Hazards Earth Syst. Sci. 2017, 17, 1393. [Google Scholar] [CrossRef]
- Richardson, E.V.; Huber, F.W. Evaluation of bridge vulnerability to hydraulic forces, stream instability, and scour. In Transportation Research Record 1290, TRB; National Research Council: Washington, DC, USA, 1991; pp. 25–38. [Google Scholar]
- Tanasić, N.; Hajdin, R. Management of bridges with shallow foundations exposed to local scour. Struct. Infrastruct. Eng. 2018, 14, 468–476. [Google Scholar] [CrossRef]
- Link, O.; Pfleger, F.; Zanke, U. Characteristics of developing scour-holes at a sand-embedded cylinder. Int. J. Sediment Res. 2008, 23, 258–266. [Google Scholar] [CrossRef]
- Pagliara, S.; Carnacina, I. Temporal scour evolution at bridge piers: Effect of wood debris roughness and porosity. J. Hydraul. Res. 2010, 48, 3–13. [Google Scholar] [CrossRef]








| Authors | Mathematical Expression | Observations | Equation N° |
|---|---|---|---|
| Mavis and Laushey [44] | d50 in mm in feet/s is dimensionless | (7) | |
| Novak [45] | g and d50 are in the international system of units (SI) | (8) | |
| Zanke [46] | Variables according to the SI. It accounts for the viscosity and cohesion effects as well as for the influence of the flow depth h. | (9) | |
| Van Rijn [47] | Valid for sand particles with a grain size between 0.05 and 2 mm and with a | (10) | |
| Richardson and Davis [48] | Sediments with density of | (11) | |
| Hager and Oliveto [49] | R = hydraulic radius. D* = dimensionless sedimentological grain size | (12) | |
| (13) | |||
| (14) |
| Authors | Mathematical Expression | Observations | Equation N° |
|---|---|---|---|
| Froehlich [93] | = projected width of pier. = flow depth. = Froude number. = factor for pier shape. | (17) | |
| Melville [66] | = factor for the angle of attack. | (18) | |
| Sheppard et al. [84] | (19) | ||
| Richardson and Davis [48] | = factor for the mode of sediment transport. = factor for armoring by bed material. = factor for very wide piers after Johnson and Torrico [94]. | (20) | |
| Gao et al. [85] | = incipient velocity for local scour at a pier. = shape and alignment factor. | (21) | |
| Williams et al. [77] | is the densimetric Froude number based on separation velocity () | (22) | |
| Williams et al. [95] | is the ratio of velocity along streamline at point of separation on pier to critical velocity of sediment | (23) |
| Authors | Mathematical Expression | Observations | Equation N° |
|---|---|---|---|
| Melville and Chiew [68] | Subscript “eq” means equilibrium. | (24) | |
| Hager and Unger [103] | Subscript “M” means at maximum or peak conditions. | (25) | |
| Pizarro et al. [105] | (26) | ||
| Link et al. [104] | are model parameters | (27) | |
| Link et al. [106] | is the sediment deposition over a time interval . is the sediment transport capacity. is the soil porosity. is the sediment density. are model parameters. | (28) |
| Instrument/Sensor | Easy to Install and Operate | Can Be Used during Floods? | Continuous Monitoring? | Able to Measure Refilling Process? | Affected by Traffic or Other Hydraulic Factors? | Expensive? * |
|---|---|---|---|---|---|---|
| Magnetic sliding collar | YES | YES | NO | NO | NO | II |
| Float-out device | YES | YES | NO | NO | NO | I |
| Smart rock | YES | YES | YES | NO | NO | I |
| Sonar | YES | YES | YES | YES | NO | II |
| Fiber Brag grating sensor | NO | YES | YES | YES | NO | III |
| TDR | YES | YES | YES | YES | NO | II |
| Tilt sensor and modal parameter | YES | YES | YES | YES | YES | I |
| Type of Structure | Type of Route | Return Period (Years) | Expected Structure Life (Years) | Risk of Failure (%) | ||
|---|---|---|---|---|---|---|
| Design | Verification | Design | Verification | |||
| Bridges and Viaducts | Highways | 200 | 300 | 50 | 22 | 15 |
| Roads | 100 | 150 | 50 | 40 | 28 | |
© 2020 by the authors. Licensee MDPI, Basel, Switzerland. This article is an open access article distributed under the terms and conditions of the Creative Commons Attribution (CC BY) license (http://creativecommons.org/licenses/by/4.0/).
Share and Cite
Pizarro, A.; Manfreda, S.; Tubaldi, E. The Science behind Scour at Bridge Foundations: A Review. Water 2020, 12, 374. https://doi.org/10.3390/w12020374
Pizarro A, Manfreda S, Tubaldi E. The Science behind Scour at Bridge Foundations: A Review. Water. 2020; 12(2):374. https://doi.org/10.3390/w12020374
Chicago/Turabian StylePizarro, Alonso, Salvatore Manfreda, and Enrico Tubaldi. 2020. "The Science behind Scour at Bridge Foundations: A Review" Water 12, no. 2: 374. https://doi.org/10.3390/w12020374
APA StylePizarro, A., Manfreda, S., & Tubaldi, E. (2020). The Science behind Scour at Bridge Foundations: A Review. Water, 12(2), 374. https://doi.org/10.3390/w12020374
