Modelling the Impact of Leaky Barriers with a 1D Godunov-Type Scheme for the Shallow Water Equations
Abstract
1. Introduction
2. Materials and Methods
2.1. Conceptual Model
- Gate operating freely, no weir overflow
- Gate submerged by tailwater, no weir overflow
- Gate and weir operating freely
- Gate submerged by tailwater, weir operating freely
- Gate and weir submerged by tailwater
2.2. Flume Experiments
- (a)
- No barrier, 1 experiment;
- (b)
- ( m, m), 7 free flow experiments;
- (c)
- ( m, m), 15 free flow experiments; and
- (d)
- ( m, m), 30 free flow and 2 submerged experiments.
2.3. Numerical Model
2.3.1. Godunov-Type Scheme
2.3.2. Leaky Barriers as Internal Boundary Conditions
2.3.3. Establishing Discharge Coefficients and Energy Losses
3. Results
3.1. Benchmark Tests
3.1.1. Subcritical Flow
3.1.2. Transcritical Flow
3.1.3. Riemann Problem
3.1.4. Sluice Gate Riemann Problems
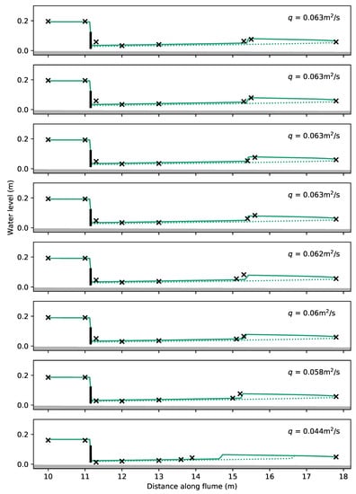
3.2. Steady-State Flume Experiments
3.3. Transient Flume Experiments
4. Discussion
5. Conclusions
Supplementary Materials
Author Contributions
Funding
Acknowledgments
Conflicts of Interest
Appendix A








References
- Arnell, N.; Gosling, S. The impacts of climate change on river flood risk at the global scale. Clim. Chang. 2016, 134, 387–401. [Google Scholar] [CrossRef]
- Dadson, S.J.; Hall, J.W.; Murgatroyd, A.; Acreman, M.; Bates, P.; Beven, K.; Heathwaite, L.; Holden, J.; Holman, I.P.; Lane, S.; et al. A restatement of the natural science evidence concerning catchment-based ’natural’ flood management in the UK. Proc. R. Soc. A-Math. Phys. 2017, 473. [Google Scholar] [CrossRef] [PubMed]
- Chiverrell, R.C.; Sear, D.A.; Warburton, J.; Macdonald, N.; Schillereff, D.N.; Dearing, J.A.; Croudace, I.W.; Brown, J.; Bradley, J. Using lake sediment archives to improve understanding of flood magnitude and frequency: Recent extreme flooding in northwest UK. Earth Surf. Process. Landf. 2019, 44, 2366–2376. [Google Scholar] [CrossRef]
- Jacobson, C.R. Identification and quantification of the hydrological impacts of imperviousness in urban catchments: A review. J. Environ. Manag. 2011, 92, 1438–1448. [Google Scholar] [CrossRef] [PubMed]
- Hewett, C.J.; Quinn, P.F.; Wilkinson, M.E. The decision support matrix (DSM) approach to reducing environmental risk in farmed landscapes. Agric. Water Manag. 2016, 172, 74–82. [Google Scholar] [CrossRef]
- Grigg, D.B. The Agricultural Systems of the World: An Evolutionary Approach; Cambridge Geographical Studies; Cambridge University Press: Cambridge, UK, 1974. [Google Scholar]
- Ramankutty, N.; Foley, J.A. Estimating historical changes in global land cover: Croplands from 1700 to 1992. Glob. Biogeochem. Cycles 1999, 13, 997–1027. [Google Scholar] [CrossRef]
- Goldewijk, K.K. Estimating Global Land Use Change over the Past 300 Years: The HYDE Database. Glob. Biogeochem. Cycles 2001, 15, 417–433. [Google Scholar] [CrossRef]
- O’Connell, E.; Ewen, J.; O’Donnell, G.; Quinn, P. Is there a link between agricultural land-use management and flooding? Hydrol. Earth Syst. Sci. 2007, 11, 96–107. [Google Scholar] [CrossRef]
- Kendon, E.J.; Roberts, N.M.; Fowler, H.J.; Roberts, M.J.; Chan, S.C.; Senior, C.A. Heavier summer downpours with climate change revealed by weather forecast resolution model. Nat. Clim. Chang. 2014, 4, 570. [Google Scholar] [CrossRef]
- Forzieri, G.; Feyen, L.; Russo, S.; Vousdoukas, M.; Alfieri, L.; Outten, S.; Migliavacca, M.; Bianchi, A.; Rojas, R.; Cid, A. Multi-hazard assessment in Europe under climate change. Clim. Chang. 2016, 137, 105–119. [Google Scholar] [CrossRef]
- Mitsch, W. Ecological Engineering: A New Paradigm for Engineers and Ecologists in Engineering within Ecological Constraints. In Engineering within Ecological Constraints; Schulze, P.C., Ed.; National Academy Press: Washington, DC, USA, 1996; pp. 111–128. [Google Scholar] [CrossRef]
- Wilkinson, M.; Quinn, P.; Barber, N.; Jonczyk, J. A framework for managing runoff and pollution in the rural landscape using a Catchment Systems Engineering approach. Sci. Total Environ. 2014, 468–469, 1245–1254. [Google Scholar] [CrossRef] [PubMed]
- Hewett, C.; Mark, E.; Wilkinson, M.; Jonczyk, J.; Quinn, P. Catchment Systems Engineering: An Holistic Approach to Catchment Management. WIREs Water 2019, in press. [Google Scholar]
- Eggermont, H.; Balian, E.; Azevedo, M.; Beumer, V.; Brodin, T.; Claudet, J.; Fady, B.; Grube, M.; Keune, H.; Lamarque, P.; et al. Nature-based Solutions: New Influence for Environmental Management and Research in Europe. GAIA 2015, 24, 243–248. [Google Scholar] [CrossRef]
- Nesshöver, C.; Assmuth, T.; Irvine, K.N.; Rusch, G.M.; Waylen, K.A.; Delbaere, B.; Haase, D.; Jones-Walters, L.; Keune, H.; Kovacs, E.; et al. The science, policy and practice of nature-based solutions: An interdisciplinary perspective. Sci. Total Environ. 2017, 579, 1215–1227. [Google Scholar] [CrossRef] [PubMed]
- Howgate, O.R.; Kenyon, W. Community cooperation with natural flood management: A case study in the Scottish Borders. Area 2009, 41, 329–340. [Google Scholar] [CrossRef]
- Forbes, H.; Ball, K.; McLay, F. Natural Flood Management Handbook; Technical Report; Scottish Environmental Protection Agency: Edinburgh, UK, 2015. [Google Scholar]
- Lane, S.N. Natural flood management. WIREs Water 2017, 4, e1211. [Google Scholar] [CrossRef]
- Mahmoud, N.; Selman, P. Natural Infrastructure Concept in Arid Regions: Two Case Studies in Egyptian Context. Int. J. Sustain. Dev. Plan. 2011, 6, 336–359. [Google Scholar] [CrossRef]
- Bridges, T.S.; Lillycrop, J.; Wilson, J.; Fredette, T.; Suedel, B.; Banks, C.; Russo, E. Engineering with nature promotes triple-win outcomes. Terra Aqua 2014, 135, 17–23. [Google Scholar]
- Ngai, R.; Wilkinson, M.; Nisbet, T.; Harvey, R.; Addy, S.; Burgess-Gamble, L.; Rose, S.; Maslen, S.; Nicholson, A.; Page, T.; et al. Working with Natural Processes Evidence Directory: Literature Review; Technical Report; Environment Agency: Bristol, UK, 2017. [Google Scholar]
- Tzoulas, K.; Korpela, K.; Venn, S.; Yli-Pelkonen, V.; Kaźmierczak, A.; Niemela, J.; James, P. Promoting ecosystem and human health in urban areas using Green Infrastructure: A literature review. Landsc. Urban Plan. 2007, 81, 167–178. [Google Scholar] [CrossRef]
- Everett, G.; Lawson, E.; Lamond, J. Green infrastructure and urban water management. In Handbook on Green Infrastructure: Planning, Design and Implementation; Sinnett, D., Burgess, S., Smith, N., Eds.; Edward Elgar: Cheltenham, UK, 2015; Chapter 3; pp. 50–66. [Google Scholar] [CrossRef]
- Everett, G.; Lamond, J.; Morzillo, A.T.; Chan, F.K.S.; Matsler, A.M. Sustainable drainage systems: Helping people live with water. Proc. Inst. Civil Eng. 2015, 169, 94–104. [Google Scholar] [CrossRef]
- Thorne, C.; Lawson, E.; Ozawa, C.; Hamlin, S.; Smith, L. Overcoming uncertainty and barriers to adoption of Blue-Green Infrastructure for urban flood risk management. J. Flood Risk Manag. 2018, 11, S960–S972. [Google Scholar] [CrossRef]
- Wilkinson, M.E.; Quinn, P.F.; Welton, P. Runoff management during the September 2008 floods in the Belford catchment, Northumberland. J. Flood Risk Manag. 2010, 3, 285–295. [Google Scholar] [CrossRef]
- Metcalfe, P.; Beven, K.; Hankin, B.; Lamb, R. A modelling framework for evaluation of the hydrological impacts of nature-based approaches to flood risk management, with application to in-channel interventions across a 29-km2 scale catchment in the United Kingdom. Hydrol. Process. 2017, 31, 1734–1748. [Google Scholar] [CrossRef]
- Wilkinson, M.E.; Addy, S.; Quinn, P.F.; Stutter, M. Natural flood management: Small-scale progress and larger-scale challenges. Scott. Geogr. J. 2019, 135, 23–32. [Google Scholar] [CrossRef]
- Quinn, P.; O’Donnell, G.; Nicholson, A.; Wilkinson, M.; Owen, G.; Jonczyk, J.; Barber, N.; Mardwick, M.; Davies, G. Potential Use of Runoff Attenuation Features in Small Rural Catchments for Flood Mitigation; Technical Report; Newcastle University: Newcastle upon Tyne, UK, 2013. [Google Scholar]
- Young, W.J. Flume study of the hydraulic effects of large woody debris in lowland rivers. Regul. Rivers Res. Manag. 1991, 6, 203–211. [Google Scholar] [CrossRef]
- Shields, F.D.; Morin, N.; Cooper, C.M. Large Woody Debris Structures for Sand-Bed Channels. J. Hydraul. Eng. 2004, 130, 208–217. [Google Scholar] [CrossRef]
- Manners, R.B.; Doyle, M.W.; Small, M.J. Structure and hydraulics of natural woody debris jams. Water Resour. Res. 2007, 43. [Google Scholar] [CrossRef]
- Bennett, S.J.; Ghaneeizad, S.M.; Gallisdorfer, M.S.; Cai, D.; Atkinson, J.F.; Simon, A.; Langendoen, E.J. Flow, turbulence, and drag associated with engineered log jams in a fixed-bed experimental channel. Geomorphology 2015, 248, 172–184. [Google Scholar] [CrossRef]
- Cabaneros, S.; Danieli, F.; Formetta, G.; Gonzalez, R.; Grinfield, M.; Hankin, B.; Hewitt, I.; Johnstone, T.; Kamilova, A.; Kovacs, A.; et al. JBA Trust Challenge: A Risk-based Analysis of Small Scale, Distributed, “Nature-Based” Flood Risk Management Measures Deployed on River Networks; Technical Report; Maths Foresees: Leeds, UK, 2018. [Google Scholar]
- Dixon, S.J.; Sear, D.A.; Odoni, N.A.; Sykes, T.; Lane, S.N. The effects of river restoration on catchment scale flood risk and flood hydrology. Earth Surf. Process. Landf. 2016, 41, 997–1008. [Google Scholar] [CrossRef]
- Nyssen, J.; Pontzeele, J.; Billi, P. Effect of beaver dams on the hydrology of small mountain streams: Example from the Chevral in the Ourthe Orientale basin, Ardennes, Belgium. J. Hydrol. 2011, 402, 92–102. [Google Scholar] [CrossRef]
- Gallisdorfer, M.S.; Bennett, S.J.; Atkinson, J.F.; Ghaneeizad, S.M.; Brooks, A.P.; Simon, A.; Langendoen, E.J. Physical-scale model designs for engineered log jams in rivers. J. Hydron.-Environ. Res. 2014, 8, 115–128. [Google Scholar] [CrossRef]
- Bradshaw, S. Leaky Woody Dams—What Are the Differences and What Works Best? 2017. Available online: http://slowtheflow.net/leaky-woody-dams-what-are-the-differences-and-what-works-best/ (accessed on 28 March 2019).
- Yorkshire Dales Rivers Trust. Leaky Dams—Slowing the Movement of Water. 2018. Available online: http://www.yorkshiredalesriverstrust.com/wp-content/uploads/2018/01/Natural-Flood-Management-Techniques-Leaky-Dams.pdf (accessed on 22 June 2019).
- Brooks, A.; Abbe, T.; Cohen, T.; Marsh, N.; Mika, S.; Boulton, A.; Broderick, T.; Borg, D.; Rutherfurd, I. Design Guidelines for the Reintroduction of Wood into Australian Streams; Land & Water Australia: Canberra, Australia, 2006. [Google Scholar]
- Environment Agency. Working with Natural Processes: One Page Summaries. 2017. Available online: https://www.gov.uk/government/publications/working-with-natural-processes-to-reduce-flood-risk (accessed on 3 July 2019).
- Bokhove, O.; Kelmanson, M.; Kent, T. On Using Flood-Excess Volume to Assess Natural Flood Management, Exemplified for Extreme 2007 and 2015 Floods in Yorkshire. 2018. Available online: https://eartharxiv.org/87z6w/ (accessed on 6 December 2019).
- Slow the Flow Calderdale. Projects: What Our Volunteers Have Achieved So Far. 2019. Available online: http://slowtheflow.net/ (accessed on 14 November 2019).
- Nisbet, T.; Roe, P.; Marrington, S.; Thomas, H.; Broadmeadow, S.; Valatin, G. Defra FCERM Multi-Objective Flood Management Demonstration Project; Technical Report; Defra: London, UK, 2015. [Google Scholar]
- Slowing the Flow Partnership. Slowing the Flow Partnership Briefing: Boxing Day 2015 Flood Event; Technical Report; Forest Research: Farnham, UK, 2016. [Google Scholar]
- Thomas, H.; Nisbet, T. Modelling the hydraulic impact of reintroducing large woody debris into watercourses. J. Flood Risk Manag. 2012, 5, 164–174. [Google Scholar] [CrossRef]
- Clark, A. Slowing the Flow in Hebden Bridge: A Pilot Study Using Small Weirs. Master’s Thesis, University of Leeds, Leeds, UK, 2016. [Google Scholar]
- Pattison, I.; Lane, S.N.; Hardy, R.J.; Reaney, S.M. The role of tributary relative timing and sequencing in controlling large floods. Water Resour. Res. 2014, 50, 5444–5458. [Google Scholar] [CrossRef]
- Hankin, B.; Burgess-Gamble, L.; Bentley, S.; Rose, S. How to Model and Map Catchment Processes When Flood Risk Management Planning; Technical Report; Environment Agency: Bristol, UK, 2016. [Google Scholar]
- Hutton Institute. Modelling the Hydrological Effects of in-Channel Leaky Barriers for Flood Risk and Natural Flood Management. 2019. Available online: https://www.hutton.ac.uk/research/srp2016-21/wp122/modelling-hydrological-effects-channel-leaky-barriers-flood-risk-and-natural-flood (accessed on 3 December 2019).
- Norbury, M.; Shaw, D.; Jones, P. Combining Hydraulic Modelling with Partnership Working: Towards a Practical Natural Flood Management Approach. Proc. Inst. Civil Eng.-Eng. Sustain. 2018, 1–43. [Google Scholar] [CrossRef]
- Odini, N.A.; Lane, S.N. Assessment of the Impact of Upstream Land Management Measures on Flood Flows in Pickering Beck Using OVERFLOW; Technical Report; Durham University: Durham, UK, 2010. [Google Scholar]
- Kitts, D. The Hydraulic and Hydrological Performance of Large Wood Accumulation in a Low-Order Forest Stream. Ph.D. Thesis, University of Southampton, Southampton, UK, 2010. [Google Scholar]
- Rasche, D.; Reinhardt-Imjela, C.; Schulte, A.; Wenzel, R. Hydrodynamic simulation of the effects of stable in-channel large wood on the flood hydrographs of a low mountain range creek, Ore Mountains, Germany. Hydrol. Earth Syst. Sci. 2019, 23, 4349–4365. [Google Scholar] [CrossRef]
- Addy, S.; Wilkinson, M.E. Representing natural and artificial in-channel large wood in numerical hydraulic and hydrological models. WIREs Water 2019, 6, e1389. [Google Scholar] [CrossRef]
- Sholtes, J.; Doyle, M. Effect of Channel Restoration on Flood Wave Attenuation. J. Hydraul. Eng. 2011, 137, 196–208. [Google Scholar] [CrossRef]
- Valverde, R. Roughness and Geometry Effects of Engineered Log Jams on 1-D Flow Characteristics. Master’s Thesis, Oregon State University, Corvallis, OR, USA, 2013. [Google Scholar]
- Milledge, D.; Odoni, N.; Allott, R.; Evans, M.; Pilkington, M.; Walker, J. Annex 6. Flood risk modelling. In Restoration of Blanket Bogs; Flood Risk Reduction and Other Ecosystem Benefits; Pilkington, M., Ed.; Moors for the Future Partnership: Edale, UK, 2015. [Google Scholar]
- Wallerstein, N.; Alonso, C.; Bennett, S.; Thorne, C. Distorted Froude-scaled flume analysis of large woody debris. Earth Surf. Process. Landf. 2001, 26, 1265–1283. [Google Scholar] [CrossRef]
- Samani, J.M.V.; Mazaheri, M. Combined flow over weir and under gate. J. Hydraul. Eng. 2009, 135, 224–227. [Google Scholar] [CrossRef]
- Swamee, P. Sluice-Gate Discharge Equations. J. Irrig. Drain. Eng. 1992, 118, 56–60. [Google Scholar] [CrossRef]
- Negm, A.A.M.; Al-Brahim, A.M.; Alhamid, A.A. Combined-free flow over weirs and below gates. J. Hydraul. Res. 2002, 40, 359–365. [Google Scholar] [CrossRef]
- Negm, A.A.M.; Al-Brahim, A.M.; Alhamid, A.A.; Altan Sakarya, B.; Aydin, I.; Ger, A.M. Combined-free flow over weirs and below gates. J. Hydraul. Res. 2004, 42, 559–562. [Google Scholar] [CrossRef]
- Duru, A. Numerical Modelling of Contracted Sharp Crested Weirs. Master’s Thesis, Middle East Technical University, Ankara, Turkey, 2014. [Google Scholar]
- Toro, E.F. Shock-Capturing Methods for Free-Surface Shallow Flows; John Wiley: New York, NY, USA, 2001. [Google Scholar]
- Toro, E.F. Riemann Solvers and Numerical Methods for Fluid Dynamics: A Practical Introduction; Springer: Heidelberg/Berlin, Germany, 2009. [Google Scholar]
- Liang, Q.; Marche, F. Numerical resolution of well-balanced shallow water equations with complex source terms. Adv. Water Resour. 2009, 32, 873–884. [Google Scholar] [CrossRef]
- Harten, A.; Lax, P.D.; van Leer, B. On Upstream Differencing and Godunov-Type Schemes for Hyperbolic Conservation Laws. SIAM Rev. 1983, 25, 35–61. [Google Scholar] [CrossRef]
- Glenis, V.; Kutija, V.; Kilsby, C. A fully hydrodynamic urban flood modelling system representing buildings, green space and interventions. Environ. Model. Softw. 2018, 109, 272–292. [Google Scholar] [CrossRef]
- Van Leer, B. MUSCL, A New Approach to Numerical Gas Dynamics. In Proceedings of the Second European Conference on Computational Physics, Garching, 27–30 April 1976. [Google Scholar]
- Cozzolino, L.; Cimorelli, L.; Covelli, C.; Della Morte, R.; Pianese, D. The analytic solution of the Shallow-Water Equations with partially open sluice-gates: The dam-break problem. Adv. Water Resour. 2015, 80, 90–102. [Google Scholar] [CrossRef]
- Bogoni, M.; Canestrelli, A.; Lanzoni, S. Finite volume modelling of a stratified flow with the presence of submerged weirs. J. Appl. Water Eng. Res. 2015, 3, 43–52. [Google Scholar] [CrossRef]
- Lin, C.; Yen, J.; Tsai, C. Influence of Sluice Gate Contraction Coefficient on Distinguishing Condition. J. Irrig. Drain. Eng. 2002, 128, 249–252. [Google Scholar] [CrossRef]
- Henry, H.R. Discussion on ‘Diffusion of submerged jets’. Trans. Am. Soc. Civil Eng. 1950, 115, 639–697. [Google Scholar]
- Sepulveda, C.; Gomez, M.; Rodellar, J. Benchmark of Discharge Calibration Methods for Submerged Sluice Gates. J. Irrig. Drain. Eng. 2009, 135, 676–682. [Google Scholar] [CrossRef]
- Villemonte, J.R. Submerged weir discharge studies. Eng. News-Rec. 1947, 139, 54–56. [Google Scholar]
- Franzini, F.; Hoedenaeken, D.; Soares-Frazão, S. Modeling the Flow Around Islands in Rivers Using a One-Dimensional Approach; Gourbesville, P., Cunge, J., Caignaert, G., Eds.; Advances in Hydroinformatics; Springer: Singapore, 2018; pp. 127–143. [Google Scholar] [CrossRef]
- Delestre, O.; Lucas, C.; Ksinant, P.A.; Darboux, F.; Laguerre, C.; Vo, T.N.T.; James, F.; Cordier, S. SWASHES: A compilation of shallow water analytic solutions for hydraulic and environmental studies. Int. J. Numer. Methods Fluids 2013, 72, 269–300. [Google Scholar] [CrossRef]
- Tuoi, V. One-Dimensional Saint-Venant System. Master’s Thesis, University of Orleans, Orleans, France, 2008. [Google Scholar]
- Roberts, S.; Nielsen, O.; Gray, D.; Sexton, J.; Davies, G. ANUGA User Manual Release 2.0.3; Technical Report; Geoscience Australia: Canberra, Australia, 2019. [Google Scholar]












© 2020 by the authors. Licensee MDPI, Basel, Switzerland. This article is an open access article distributed under the terms and conditions of the Creative Commons Attribution (CC BY) license (http://creativecommons.org/licenses/by/4.0/).
Share and Cite
Leakey, S.; Hewett, C.J.M.; Glenis, V.; Quinn, P.F. Modelling the Impact of Leaky Barriers with a 1D Godunov-Type Scheme for the Shallow Water Equations. Water 2020, 12, 371. https://doi.org/10.3390/w12020371
Leakey S, Hewett CJM, Glenis V, Quinn PF. Modelling the Impact of Leaky Barriers with a 1D Godunov-Type Scheme for the Shallow Water Equations. Water. 2020; 12(2):371. https://doi.org/10.3390/w12020371
Chicago/Turabian StyleLeakey, Shannon, Caspar J. M. Hewett, Vassilis Glenis, and Paul F. Quinn. 2020. "Modelling the Impact of Leaky Barriers with a 1D Godunov-Type Scheme for the Shallow Water Equations" Water 12, no. 2: 371. https://doi.org/10.3390/w12020371
APA StyleLeakey, S., Hewett, C. J. M., Glenis, V., & Quinn, P. F. (2020). Modelling the Impact of Leaky Barriers with a 1D Godunov-Type Scheme for the Shallow Water Equations. Water, 12(2), 371. https://doi.org/10.3390/w12020371

