The Response of Lateral Flow to Peak River Discharge in a Macrotidal Estuary
Abstract
1. Introduction
2. Study Area and Methodology
2.1. Study Area and Observations
2.2. Model Configuration
2.3. Validation
2.4. Experimental Design
3. Results
3.1. Salinity and Stratification
3.2. Lateral Flow
4. Discussion
4.1. Momentum Balance Analysis
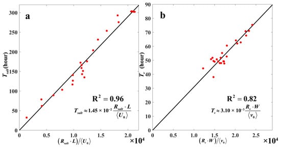
4.2. Recovery Time
5. Conclusions
Author Contributions
Funding
Conflicts of Interest
References
- Geyer, W.R.; MacCready, P. The estuarine circulation. Annu. Rev. Fluid Mech. 2014, 46, 175–197. [Google Scholar] [CrossRef]
- Gibbs, R.J. Circulation in the Amazon River estuary and adjacent Atlantic Ocean. J. Mar. Res. 1970, 28, 113–123. [Google Scholar]
- Fricke, A.T.; Nittrouer, C.A.; Ogston, A.S.; Nowacki, D.J.; Asp, N.E.; Souza Filho, P.W.M. Morphology and dynamics of the intertidal floodplain along the Amazon tidal river. Earth Surf. Proc. Land. 2019, 44, 204–218. [Google Scholar] [CrossRef]
- Hamza, W. The Nile Estuary. In The Handbook of Environmental Chemistry; Wangersky, P.J., Ed.; Springer: Berlin, Germany, 2005; Volume 5, pp. 149–173. [Google Scholar]
- Snedden, G.A.; Cable, J.E.; Wiseman, W.J. Subtidal sea level variability in a shallow Mississippi River deltaic estuary, Louisiana. Estuar. Coast. 2007, 30, 802–812. [Google Scholar] [CrossRef]
- Robert, R.L.; John, W.D.; Brian, D.M.; Enrique, R.; Emily, H.; Jason, N.D. The effects of riverine discharge on temperature, salinity, suspended sediment and chlorophyll a in a Mississippi delta estuary measured using a flow-through system. Estuar. Coast. Shelf Sci. 2007, 74, 145–154. [Google Scholar]
- Beardsley, R.C.; Limeburner, R.; Yu, H.; Cannon, G.A. Discharge of the Changjiang (Yangtze river) into the East China sea. Cont. Shelf Res. 1985, 4, 57–76. [Google Scholar] [CrossRef]
- Song, D.; Wang, X.H.; Cao, Z.; Guan, W. Suspended sediment transport in the Deepwater Navigation Channel, Yangtze River Estuary, China, in the dry season 2009: 1. Observations over spring and neap tidal cycles. J. Geophys. Res. Oceans 2013, 118, 5555–5567. [Google Scholar] [CrossRef]
- Song, D.; Wang, X.H.; Kiss, A.E.; Bao, X. The contribution to tidal asymmetry by different combinations of tidal constituents. J. Geophys. Res. Oceans 2011, 116, C12007. [Google Scholar] [CrossRef]
- Milliman, J.D. Sediment discharge to the ocean from small mountainous rivers: The New Guinea example. Geo-Mar. Lett. 1995, 15, 127–133. [Google Scholar] [CrossRef]
- Liu, J.P.; Liu, C.S.; Xu, K.H.; Milliman, J.D.; Chiu, J.K.; Kao, S.J.; Lin, S.W. Flux and fate of small mountainous rivers derived sediments into the Taiwan Strait. Mar. Geol. 2008, 256, 65–76. [Google Scholar]
- Milliman, J.D.; Syvitski, J.P.M. Geomorphic/tectonic control of sediment discharge to the ocean: The importance of small mountainous rivers. J. Geol. 1992, 100, 525–544. [Google Scholar] [CrossRef]
- Yu, Q.; Wang, Y.; Gao, S.; Flemming, B. Modeling the formation of a sand bar within a large funnel-shaped, tide-dominated estuary: Qiantangjiang Estuary, China. Mar. Geol. 2012, 299, 63–76. [Google Scholar] [CrossRef]
- Wheatcroft, R.A.; Goñ i, M.A.; Hatten, J.A.; Pasternack, G.B.; Warrick, J.A. The role of effective discharge in the ocean delivery of particulate organic carbon by small, mountainous river systems. Limnol. Oceanogr. 2010, 55, 161–171. [Google Scholar] [CrossRef]
- Rayson, M.D.; Gross, E.S.; Hetland, R.D.; Fringer, O.B. Time scales in Galveston Bay: An unsteady estuary. J. Geophys. Res. Oceans 2016, 121, 2268–2285. [Google Scholar] [CrossRef]
- Iadanza, C.; Napolitano, F. Sediment transport time series in the Tiber River. Phys. Chem. Earth 2006, 31, 1212–1227. [Google Scholar] [CrossRef]
- Kuehl, S.A.; Brunskill, G.J.; Burns, K.; Fugate, D.; Kniskern, T.; Meneghini, L. Nature of sediment dispersal off the Sepik River, Papua New Guinea: Preliminary sediment budget and implications for margin processes. Cont. Shelf Res. 2004, 24, 2417–2429. [Google Scholar] [CrossRef]
- Hirabayashi, Y.; Mahendran, R.; Koirala, S.; Konoshima, L.; Yamazaki, D.; Watanabe, S.; Kim, H.; Kanae, S. Global flood risk under climate change. Nat. Clim. Chang. 2013, 3, 816–821. [Google Scholar]
- Syvitski, J.P.M.; Vörösmarty, C.J.; Kettner, A.J.; Green, P. Impact of humans on the flux of terrestrial sediment to the global coastal ocean. Science 2005, 308, 376–380. [Google Scholar] [CrossRef]
- MacCready, P. Estuarine adjustment to changes in river flow and tidal mixing. J. Phys. Oceanogr. 1999, 29, 708–726. [Google Scholar] [CrossRef]
- MacCready, P. Estuarine adjustment. J. Phys. Oceanogr. 2007, 37, 2133–2145. [Google Scholar]
- Hetland, R.D.; Geyer, W.R. An idealized study of the structure of long, partially mixed estuaries. J. Phys. Oceanogr. 2004, 34, 2677–2691. [Google Scholar] [CrossRef]
- Cheng, P.; Wilson, R.E.; Chant, R.J.; Fugate, D.C.; Flood, R.D. Modeling influence of stratification on lateral circulation in a stratified estuary. J. Phys. Oceanogr. 2009, 39, 2324–2337. [Google Scholar] [CrossRef]
- Zhu, L.; He, Q.; Shen, J. Modeling lateral circulation and its influence on the along-channel flow in a branched estuary. Ocean Dyn. 2018, 68, 177–191. [Google Scholar] [CrossRef]
- Lerczak, J.A.; Geyer, W.R. Modeling the lateral circulation in straight, stratified estuaries. J. Phys. Oceanogr. 2004, 34, 1410–1428. [Google Scholar] [CrossRef]
- Huijts, K.M.H.; Schuttelaars, H.M.; de Swart, H.E.; Valle-Levinson, A. Lateral entrapment of sediment in tidal estuaries: An idealized model study. J. Geophys. Res. Oceans 2006, 111, C12016. [Google Scholar] [CrossRef]
- Chen, S.N.; Sanford, L.P. Lateral circulation driven by boundary mixing and the associated transport of sediments in idealized partially mixed estuaries. Cont. Shelf Res. 2009, 29, 101–118. [Google Scholar] [CrossRef]
- Chen, S.N.; Sanford, L.P.; Ralston, D.K. Lateral circulation and sediment transport driven by axial winds in an idealized, partially mixed estuary. J. Geophys. Res. Oceans 2009, 114, C12006. [Google Scholar]
- Huijts, K.M.H.; de Swart, H.E.; Schramkowski, G.P.; Schuttelaars, H.M. Transverse structure of tidal and residual flow and sediment concentration in estuaries. Ocean Dyn. 2011, 61, 1067–1091. [Google Scholar] [CrossRef][Green Version]
- Li, M.; Cheng, P.; Chant, R.; Valle-Levinson, A.; Arnott, K. Analysis of vortex dynamics of lateral circulation in a straight tidal estuary. J. Phys. Oceanogr. 2014, 44, 2779–2795. [Google Scholar] [CrossRef]
- Cheng, P.; Wang, A.; Jia, J. Analytical study of lateral-circulation-induced exchange flow in tidally dominated well-mixed estuaries. Cont. Shelf Res. 2017, 140, 1–10. [Google Scholar] [CrossRef]
- Guo, X.; Valle-Levinson, A. Wind effects on the lateral structure of density-driven circulation in Chesapeake Bay. Cont. Shelf Res. 2008, 28, 2450–2471. [Google Scholar] [CrossRef]
- Li, Y.; Li, M. Wind-driven lateral circulation in a stratified estuary and its effects on the along-channel flow. J. Geophys. Res. Oceans 2012, 117, C09005. [Google Scholar] [CrossRef]
- Xie, X.; Li, M.; Boicourt, W.C. Baroclinic effects on wind-driven lateral circulation in Chesapeake Bay. J. Phys. Oceanogr. 2017, 47, 433–445. [Google Scholar] [CrossRef]
- Chant, R.J. Secondary circulation in a region of flow curvature: Relationship with tidal forcing and river discharge. J. Geophys. Res. Oceans 2002, 107, 3131. [Google Scholar]
- Scully, M.E.; Geyer, W.R.; Lerczak, J.A. The influence of lateral advection on the residual estuarine circulation: A numerical modeling study of the Hudson River estuary. J. Phys. Oceanogr. 2009, 39, 107–124. [Google Scholar] [CrossRef]
- Burchard, H.; Hetland, R.D. Quantifying the contributions of tidal straining and gravitational circulation to residual circulation in periodically stratified tidal estuaries. J. Phys. Oceanogr. 2010, 40, 1243–1262. [Google Scholar] [CrossRef]
- Burchard, H.; Schuttelaars, H.M. Analysis of tidal straining as driver for estuarine circulation in well-mixed estuaries. J. Phys. Oceanogr. 2012, 42, 261–271. [Google Scholar] [CrossRef]
- Cheng, P.; Valle-Levinson, A.; de Swart, H.E. A numerical study of residual circulation induced by asymmetric tidal mixing in tidally dominated estuaries. J. Geophys. Res. Oceans 2011, 116, C01017. [Google Scholar] [CrossRef]
- Cheng, P. Decomposition of residual circulation in estuaries. J. Atmos. Oceanic Tech. 2014, 31, 698–713. [Google Scholar] [CrossRef]
- Fugate, D.C.; Friedrichs, C.T.; Sanford, L.P. Lateral dynamics and associated transport of sediment in the upper reaches of a partially mixed estuary, Chesapeake Bay, USA. Cont. Shelf Res. 2007, 27, 679–698. [Google Scholar]
- Ralston, D.K.; Geyer, W.R.; Warner, J.C. Bathymetric controls on sediment transport in the Hudson River estuary: Lateral asymmetry and frontal trapping. J. Geophys. Res. Oceans 2012, 117, C10013. [Google Scholar] [CrossRef]
- Shang, S.; Fan, D.; Yin, P.; Burr, G.; Zhang, M.; Wang, Q. Late Quaternary environmental change in Oujiang delta along the northeastern Zhe-Min Uplift zone (Southeast China). Palaeogeogr. Palaeoclimatol. Palaeoecol. 2018, 492, 64–80. [Google Scholar]
- Vorobyev, S.N.; Pokrovsky, O.S.; Serikova, S.; Manasypov, R.M.; Krickov, I.V.; Shirokova, L.S.; Lim, A.; Kolesnichenko, L.G.; Kirpotin, S.N.; Karlsson, J. Permafrost Boundary Shift in Western Siberia May Not Modify Dissolved Nutrient Concentrations in Rivers. Water 2017, 9, 985. [Google Scholar] [CrossRef]
- Mao, Z.; Shen, H. Comparative Study of Turbidity Maximum in the Changjiang and Oujiang Estuaries. Marin. Sci. Bull. 2001, 20, 8–14, (In Chinese with English Abstract). [Google Scholar]
- Song, L.; Xia, X.M.; Liu, Y.F.; Cai, T.L. Variations in water and sediment fluxes from Oujiang River to estuary. J. Sediment Res. 2012, 1, 46–52, (In Chinese with English Abstract). [Google Scholar]
- Zuo, L.Q.; Lu, Y.; Li, H. Further study on back silting and regulation of mouth bar in Oujing estuary. Hydro-Sci. Eng. 2012, 3, 6–13, (In Chinese with English Abstract). [Google Scholar]
- Chen, C.; Liu, H.; Beardsley, R.C. An unstructured grid, finite-volume, three-dimensional, primitive equations ocean model: Application to coastal ocean and estuaries. J. Atmos. Oceanic Tech. 2003, 20, 159–186. [Google Scholar] [CrossRef]
- Chen, C.; Beardsley, R.C.; Cowles, G. An unstructured grid, finite-volume coastal ocean model (FVCOM) system. Oceanography 2006, 19, 78–89. [Google Scholar] [CrossRef]
- Ding, Y.; Bao, X.; Yao, Z.; Song, D.; Song, J.; Gao, J.; Li, J. Effect of coastal-trapped waves on the synoptic variations of the Yellow Sea Warm Current during winter. Cont. Shelf Res. 2018, 167, 14–31. [Google Scholar]
- Gao, Q.; Xu, Z.L. Distribution pattern of zooplankton in the Oujiang Estuary during summer and autumn. J. Fish. Sci. China 2009, 3, 68–76, (In Chinese with English Abstract). [Google Scholar]
- Yao, S.; Li, S.; Liu, H.; Lu, Y.; Zhang, C. Experiment study on effects of waterway regulation structures on flood capacity of river. Port Waterw. Eng. 2010, 6, 120–126, (In Chinese with English Abstract). [Google Scholar]
- Murphy, A.H. Skill scores based on the mean square error and their relationships to the correlation coefficient. Mon. Weather Rev. 1988, 116, 2417–2424. [Google Scholar] [CrossRef]
- Allen, G.P.; Salomon, J.C.; Bassoullet, P.; Du Penhoat, Y.; de Grandpré, C. Effects of tides on mixing and suspended sediment transport in macrotidal estuaries. Sediment. Geol. 1980, 26, 69–90. [Google Scholar] [CrossRef]
- Chen, Y.; He, Q.; Shen, J.; Du, J. The alteration of lateral circulation under the influence of human activities in a multiple channel system, Changjiang Estuary. Estuar. Coast. Shelf Sci. 2020, 106823. [Google Scholar] [CrossRef]











| Station | Observation Date | Day of the Year | SS | CC |
|---|---|---|---|---|
| JXS | 15 June–16 July | 166–197 | 0.952 | 0.978 |
| QSB | 20 June–5 July | 171–186 | 0.949 | 0.976 |
| YFS | 20 June–5 July | 171–186 | 0.954 | 0.975 |
| WN | 20 June–5 July | 171–186 | 0.971 | 0.983 |
| ZY | 20 June–5 July | 171–186 | 0.970 | 0.982 |
| LW | 20 June–5 July | 166–197 | 0.966 | 0.982 |
| QLG | 20 June–5 July | 171–186 | 0.979 | 0.987 |
| HH | 20 June–5 July | 171–186 | 0.980 | 0.987 |
| WXT | 20 June–5 July | 171–186 | 0.984 | 0.989 |
| LY | 20 June–6 July | 171–187 | 0.969 | 0.982 |
| XMD | 20 June–6 July | 171–187 | 0.982 | 0.988 |
| LX | 20 June–6 July | 171–187 | 0.945 | 0.969 |
| ZYA | 20 June–6 July | 171–187 | 0.986 | 0.990 |
| DT | 15 June–16 July | 166–197 | 0.978 | 0.988 |
| No. | Spring Tide | Neap Tide | ||||||
|---|---|---|---|---|---|---|---|---|
| U_SS | U_CC | V_SS | V_CC | U_SS | U_CC | V_SS | V_CC | |
| 1 | 0.901 | 0.924 | 0.815 | 0.895 | 0.778 | 0.915 | 0.802 | 0.934 |
| 2 | 0.862 | 0.926 | 0.693 | 0.857 | 0.894 | 0.931 | 0.707 | 0.912 |
| 3 | - | - | - | - | 0.932 | 0.942 | 0.608 | 0.756 |
| 4 | - | - | - | - | 0.967 | 0.953 | 0.763 | 0.927 |
| 5 | - | - | - | - | 0.920 | 0.954 | 0.802 | 0.951 |
| 6 | 0.942 | 0.939 | <0.20 | <0.20 | - | - | - | - |
| 7 | 0.908 | 0.932 | 0.821 | 0.912 | - | - | - | - |
| 8 | 0.939 | 0.938 | 0.658 | 0.870 | 0.972 | 0.952 | <0.20 | <0.20 |
| 9 | 0.737 | 0.915 | <0.20 | 0.466 | - | - | - | - |
| 10 | 0.860 | 0.924 | 0.789 | 0.921 | - | - | - | - |
| 11 | 0.822 | 0.880 | 0.276 | 0.561 | 0.886 | 0.917 | <0.20 | 0.577 |
| No. | Spring Tide | Neap Tide | ||||||
|---|---|---|---|---|---|---|---|---|
| Surface | Bottom | Surface | Bottom | |||||
| SS | CC | SS | CC | SS | CC | SS | CC | |
| 1 | * | * | * | * | 0.546 | 0.906 | 0.545 | 0.884 |
| 2 | * | * | * | * | 0.576 | 0.841 | 0.678 | 0.926 |
| 3 | - | - | - | - | 0.673 | 0.892 | 0.792 | 0.925 |
| 4 | - | - | - | - | 0.808 | 0.905 | 0.891 | 0.911 |
| 5 | - | - | - | - | 0.639 | 0.850 | 0.833 | 0.927 |
| 6 | <0.20 | 0.718 | 0.824 | 0.883 | - | - | - | - |
| 7 | <0.20 | 0.784 | 0.773 | 0.856 | - | - | - | - |
| 8 | <0.20 | 0.636 | 0.780 | 0.876 | 0.623 | 0.892 | 0.879 | 0.923 |
| 9 | <0.20 | 0.859 | 0.611 | 0.802 | - | - | - | - |
| 10 | <0.20 | 0.733 | 0.735 | 0.823 | - | - | - | - |
| 11 | <0.20 | 0.733 | 0.856 | 0.910 | 0.580 | 0.822 | 0.452 | 0.769 |
| Run | Discharge Type | Peak Discharge (m3·s−1) |
|---|---|---|
| 0 | Real condition | - |
| 1 | Peak river discharge | 5000 |
| 2 | Low-discharge | 500 |
| 3 | Peak river discharge | 1250 |
| 4 | Peak river discharge | 2500 |
| 5 | Peak river discharge | 3750 |
| 6 | Peak river discharge | 6250 |
| 7 | Peak river discharge | 7500 |
| 8 | Peak river discharge | 8750 |
| 9 | Peak river discharge | 10,000 |
| 10 | Peak river discharge | 11,250 |
| 11 | Peak river discharge | 12,500 |
| 12 | Peak river discharge | 13,750 |
| 13 | Peak river discharge | 15,000 |
| Transect I | Transect II | |||||
|---|---|---|---|---|---|---|
| Run 2 | Run 1 | Change RMS | Run 2 | Run 1 | Change RMS | |
| vt | 1.39 | 0.84 | 1.84 | −0.69 | −0.66 | 7.99 |
| −uvx−fu | 29.97 | 25.28 | 14.06 | −76.87 | −79.58 | 12.33 |
| Pty | −44.68 | −39.94 | 12.27 | 95.93 | 100.25 | 17.16 |
| Pcy | 28.74 | 26.65 | 7.35 | −30.31 | −29.46 | 12.84 |
| −vvx−wvz | −14.37 | −17.65 | 9.60 | 2.76 | 2.78 | 11.88 |
| (Kvvz)z | 1.55 | 5.37 | 6.59 | 8.03 | 6.04 | 10.21 |
| (Amvx)x+(Amvy)y | 0.18 | 1.13 | 2.29 | −0.23 | −0.69 | 2.77 |
| Run 3 (1250) | Run 4 (2500) | Run 5 (3750) | Run 1 (5000) | |||||||||
| S | u | v | S | u | v | S | u | v | S | u | v | |
| Transect I | 78.7 | 46.7 | 38.0 | 140.8 | 46.5 | 47.7 | 175.8 | 46.7 | 49.2 | 204.0 | 46.5 | 49.5 |
| Transect II | 32.3 | 44.3 | 44.2 | 62.0 | 43.3 | 50.7 | 89.3 | 43.3 | 51.8 | 103.3 | 42.8 | 50.8 |
| Run 6 (6250) | Run 7 (7500) | Run 8 (8750) | Run 9 (10,000) | |||||||||
| S | u | v | S | u | v | S | u | v | S | u | v | |
| Transect I | 231.3 | 46.5 | 55.2 | 253.7 | 46.7 | 70.8 | 275.7 | 46.8 | 71.0 | 293.0 | 46.8 | 75.3 |
| Transect II | 116.8 | 42.7 | 60.5 | 126.5 | 42.5 | 51.8 | 135.0 | 42.5 | 52.7 | 143.2 | 42.7 | 48.0 |
| Run 10 (11,250) | Run 11 (12,500) | Run 12 (13,750) | Run 13 (15,000) | |||||||||
| S | u | v | S | u | v | S | u | v | S | u | v | |
| Transect I | 302.2 | 46.8 | 67.7 | 302.5 | 46.8 | 64.2 | 303.0 | 46.8 | 62.0 | 303.5 | 46.8 | 62.8 |
| Transect II | 151.3 | 42.8 | 49.3 | 158.8 | 43.3 | 48.0 | 166.2 | 43.7 | 49.2 | 172.5 | 44.0 | 49.0 |
Publisher’s Note: MDPI stays neutral with regard to jurisdictional claims in published maps and institutional affiliations. |
© 2020 by the authors. Licensee MDPI, Basel, Switzerland. This article is an open access article distributed under the terms and conditions of the Creative Commons Attribution (CC BY) license (http://creativecommons.org/licenses/by/4.0/).
Share and Cite
Yan, Y.; Song, D.; Bao, X.; Ding, Y. The Response of Lateral Flow to Peak River Discharge in a Macrotidal Estuary. Water 2020, 12, 3571. https://doi.org/10.3390/w12123571
Yan Y, Song D, Bao X, Ding Y. The Response of Lateral Flow to Peak River Discharge in a Macrotidal Estuary. Water. 2020; 12(12):3571. https://doi.org/10.3390/w12123571
Chicago/Turabian StyleYan, Yuhan, Dehai Song, Xianwen Bao, and Yang Ding. 2020. "The Response of Lateral Flow to Peak River Discharge in a Macrotidal Estuary" Water 12, no. 12: 3571. https://doi.org/10.3390/w12123571
APA StyleYan, Y., Song, D., Bao, X., & Ding, Y. (2020). The Response of Lateral Flow to Peak River Discharge in a Macrotidal Estuary. Water, 12(12), 3571. https://doi.org/10.3390/w12123571

