Calibrations of Suspended Sediment Concentrations in High-Turbidity Waters Using Different In Situ Optical Instruments
Abstract
1. Introduction
2. Materials and Methods
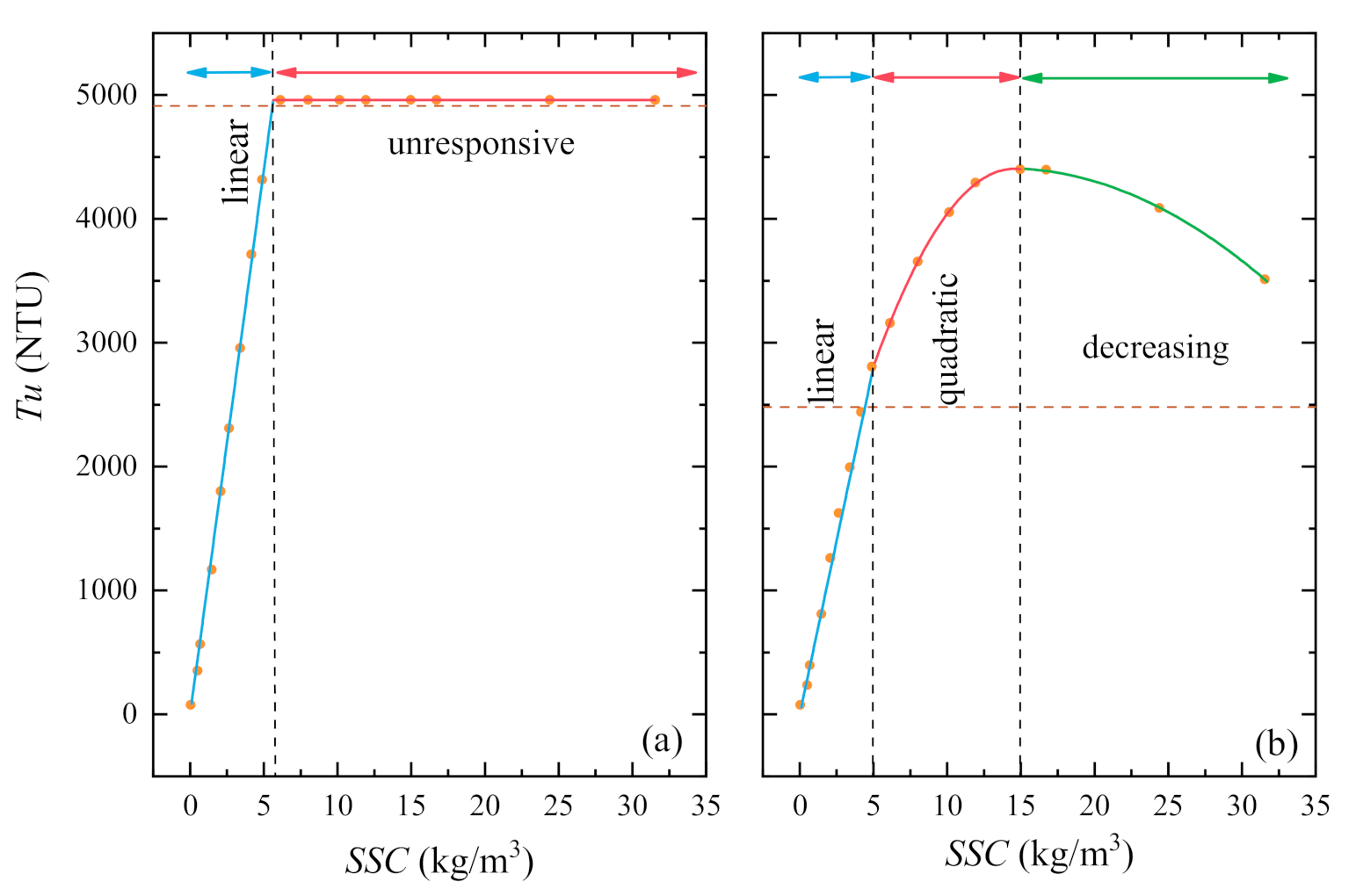
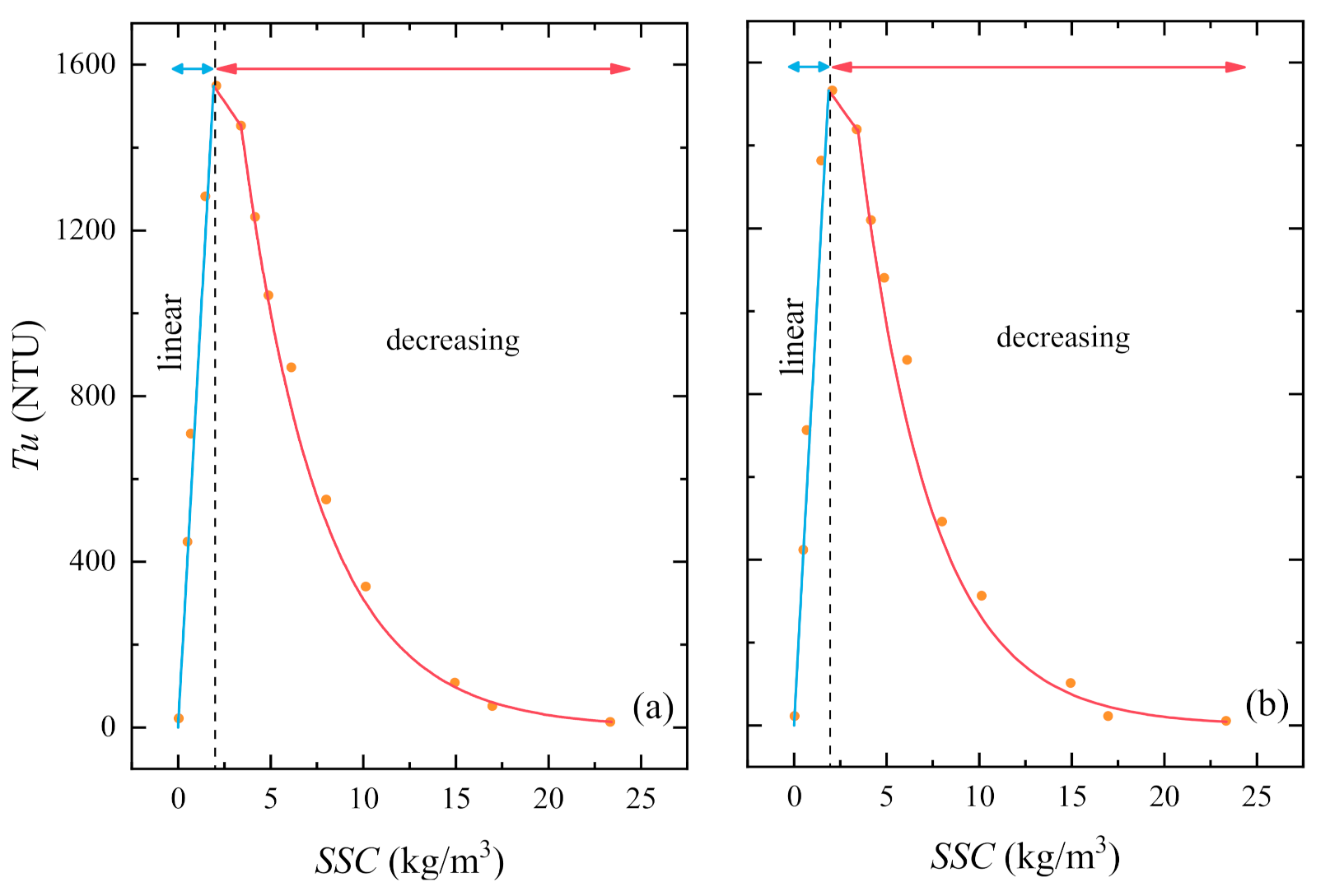
3. Results
4. Discussion
4.1. Applications of the Calibration Curves
4.2. Comparisons with Previous Studies
4.3. Comparison of the Performance of the Three Instruments
5. Conclusions
Author Contributions
Funding
Acknowledgments
Conflicts of Interest
References
- Nittrouer, C.A.; Austin, J.A., Jr.; Field, M.E.; Kravitz, J.H.; Syvitski, J.P.M.; Wiberg, P.L. Writing a Rosetta Stone: Insights into Continental-Margin Sedimentary Processes and Strata. In Continental Margin Sedimentation; Nittrouer, C.A., Austin, J.A., Field, M.E., Kravitz, J.H., Syvitski, J.P.M., Wiberg, P.L., Eds.; Wiley: Hoboken, NJ, USA, 2007; pp. 1–48. [Google Scholar] [CrossRef]
- Eidam, E.F.; Ogston, A.S.; Nittrouer, C.A. Formation and removal of a coastal flood deposit. J. Geophys. Res. Ocean. 2019, 124, 1045–1062. [Google Scholar] [CrossRef]
- Becker, M.; Maushake, C.; Winter, C. Observations of mud-induced periodic stratification in a hyperturbid estuary. Geophys. Res. Lett. 2018, 45, 5461–5469. [Google Scholar] [CrossRef]
- Venkatesan, M.I.; Merino, O.; Baek, J.; Northrup, T.; Sheng, Y.; Shisko, J. Trace organic contaminants and their sources in surface sediments of Santa Monica Bay, California, USA. Mar. Environ. Res. 2010, 69, 350–362. [Google Scholar] [CrossRef] [PubMed]
- Dethier, E.N.; Renshaw, C.E.; Magilligan, F.J. Toward improved accuracy of remote sensing approaches for quantifying suspended sediment: Implications for suspended-sediment monitoring. J. Geophys. Res. Earth Surf. 2020, 125, e2019JF005033. [Google Scholar] [CrossRef]
- Downing, J. Twenty-five years with OBS sensors: The good, the bad, and the ugly. Cont. Shelf Res. 2006, 26, 2299–2318. [Google Scholar] [CrossRef]
- Wang, A.; Ye, X.; Du, X.; Zheng, B. Observations of cohesive sediment behaviors in the muddy area of the northern Taiwan Strait, China. Cont. Shelf Res. 2014, 90, 60–69. [Google Scholar] [CrossRef]
- Weiss, A.; Clark, S.P.; Rennie, C.D.; Moore, S.A.; Ahmari, H. Estimation of total suspended solids concentration from aDcp backscatter and hydraulic measurements. J. Hydraul. Res. 2015, 53, 670–677. [Google Scholar] [CrossRef]
- Fettweis, M.; Riethmüller, R.; Verney, R.; Becker, M.; Backers, J.; Baeye, M.; Chapalain, M.; Claeys, S.; Claus, J.; Cox, T.; et al. Uncertainties associated with in situ high-frequency long-term observations of suspended particulate matter concentration using optical and acoustic sensors. Prog. Oceanogr. 2019, 178, 102162. [Google Scholar] [CrossRef]
- Maa, J.P.Y.; Xu, J.; Victor, M. Notes on the performance of an optical backscatter sensor for cohesive sediments. Mar. Geol. 1992, 104, 215–218. [Google Scholar] [CrossRef]
- Kineke, G.C.; Sternberg, R.W. Measurements of high concentration suspended sediments using the optical backscatterance sensor. Mar. Geol. 1992, 108, 253–258. [Google Scholar] [CrossRef]
- Sutherland, T.F.; Lane, P.M.; Amos, C.L.; Downing, J. The calibration of optical backscatter sensors for suspended sediment of varying darkness levels. Mar. Geol. 2000, 162, 587–597. [Google Scholar] [CrossRef]
- Shao, Y.; Maa, J.P.-Y. Comparisons of different instruments for measuring suspended cohesive sediment concentrations. Water 2017, 9, 968. [Google Scholar] [CrossRef]
- Yu, Q.; Wang, Y.; Shi, B.; Wang, Y.P.; Gao, S. Physical and sedimentary processes on the tidal flat of central Jiangsu Coast, China: Headland induced tidal eddies and benthic fluid mud layers. Cont. Shelf Res. 2017, 133, 26–36. [Google Scholar] [CrossRef]
- Rymszewicz, A.; O’Sullivan, J.J.; Bruen, M.; Turner, J.N.; Lawler, D.M.; Conroy, E.; Kelly-Quinn, M. Measurement differences between turbidity instruments, and their implications for suspended sediment concentration and load calculations: A sensor inter-comparison study. J. Environ. Manag. 2017, 199, 99–108. [Google Scholar] [CrossRef]
- Wright, L.D.; Friedrichs, C.T. Gravity-driven sediment transport on continental shelves: A status report. Cont. Shelf Res. 2006, 26, 2092–2107. [Google Scholar] [CrossRef]
- Liu, J.T.; Wang, Y.-H.; Yang, R.J.; Hsu, R.T.; Kao, S.-J.; Lin, H.-L.; Kuo, F.H. Cyclone-induced hyperpycnal turbidity currents in a submarine canyon. J. Geophys. Res. Ocean. 2012, 117, C04033. [Google Scholar] [CrossRef]
- Baek, Y.S.; Chun, S.S.; Chang, T.S.; Kim, J.K. The role of fluid mud in the formation of extensive mud sheets during summer on the Duuri macrotidal flat, west coast of Korea. Geosci. J. 2018, 22, 19–32. [Google Scholar] [CrossRef]
- van Rijn, L.C. Unified View of Sediment Transport by Currents and Waves. I: Initiation of Motion, Bed Roughness, and Bed-Load Transport. J. Hydraul. Eng. 2007, 133, 649–667. [Google Scholar] [CrossRef]
- Xu, J.P. Converting near-bottom OBS measurements into suspended sediment concentrations. Geo-Mar. Lett. 1997, 17, 154–161. [Google Scholar] [CrossRef]
- Bunt, J.A.C.; Larcombe, P.; Jago, C.F. Quantifying the response of optical backscatter devices and transmissometers to variations in suspended particulate matter. Cont. Shelf Res. 1999, 19, 1199–1220. [Google Scholar] [CrossRef]
- Landers, M.N.; Sturm, T.W. Hysteresis in suspended sediment to turbidity relations due to changing particle size distributions. Water Resour. Res. 2013, 49, 5487–5500. [Google Scholar] [CrossRef]
- Druine, F.; Verney, R.; Deloffre, J.; Lemoine, J.-P.; Chapalain, M.; Landemaine, V.; Lafite, R. In situ high frequency long term measurements of suspended sediment concentration in turbid estuarine system (Seine Estuary, France): Optical turbidity sensors response to suspended sediment characteristics. Mar. Geol. 2018, 400, 24–37. [Google Scholar] [CrossRef]
- River, M.; Richardson, C.J. Suspended sediment mineralogy and the nature of suspended sediment particles in stormflow of the southern piedmont of the USA. Water Resour. Res. 2019, 55, 5665–5678. [Google Scholar] [CrossRef]








Publisher’s Note: MDPI stays neutral with regard to jurisdictional claims in published maps and institutional affiliations. |
© 2020 by the authors. Licensee MDPI, Basel, Switzerland. This article is an open access article distributed under the terms and conditions of the Creative Commons Attribution (CC BY) license (http://creativecommons.org/licenses/by/4.0/).
Share and Cite
Wang, Y.; Peng, Y.; Du, Z.; Lin, H.; Yu, Q. Calibrations of Suspended Sediment Concentrations in High-Turbidity Waters Using Different In Situ Optical Instruments. Water 2020, 12, 3296. https://doi.org/10.3390/w12113296
Wang Y, Peng Y, Du Z, Lin H, Yu Q. Calibrations of Suspended Sediment Concentrations in High-Turbidity Waters Using Different In Situ Optical Instruments. Water. 2020; 12(11):3296. https://doi.org/10.3390/w12113296
Chicago/Turabian StyleWang, Yunwei, Yun Peng, Zhiyun Du, Hangjie Lin, and Qian Yu. 2020. "Calibrations of Suspended Sediment Concentrations in High-Turbidity Waters Using Different In Situ Optical Instruments" Water 12, no. 11: 3296. https://doi.org/10.3390/w12113296
APA StyleWang, Y., Peng, Y., Du, Z., Lin, H., & Yu, Q. (2020). Calibrations of Suspended Sediment Concentrations in High-Turbidity Waters Using Different In Situ Optical Instruments. Water, 12(11), 3296. https://doi.org/10.3390/w12113296

