Analysis of Peak Flow Distribution for Bridge Collapse Sites
Abstract
1. Introduction
2. Methods
2.1. Identification of Bridge Collapse Sites
- Existence of a stream gauge listed in the US Geological Survey (USGS) National Water Information System Database.
- The gage station being at the bridge location, near the bridge location (on the same tributary of the river), or at a further distance (not the same tributary, but on the same river).
- Bridges were apparently collapsed (complete or partial collapse) due to floods.
2.2. Flood Frequency Analysis
2.3. Fitting Distributions
2.3.1. Generalized Extreme Value (GEV)
2.3.2. Generalized Pareto (GP)
2.3.3. Poisson Process (PP)
2.4. Calculating Return Periods
3. Results
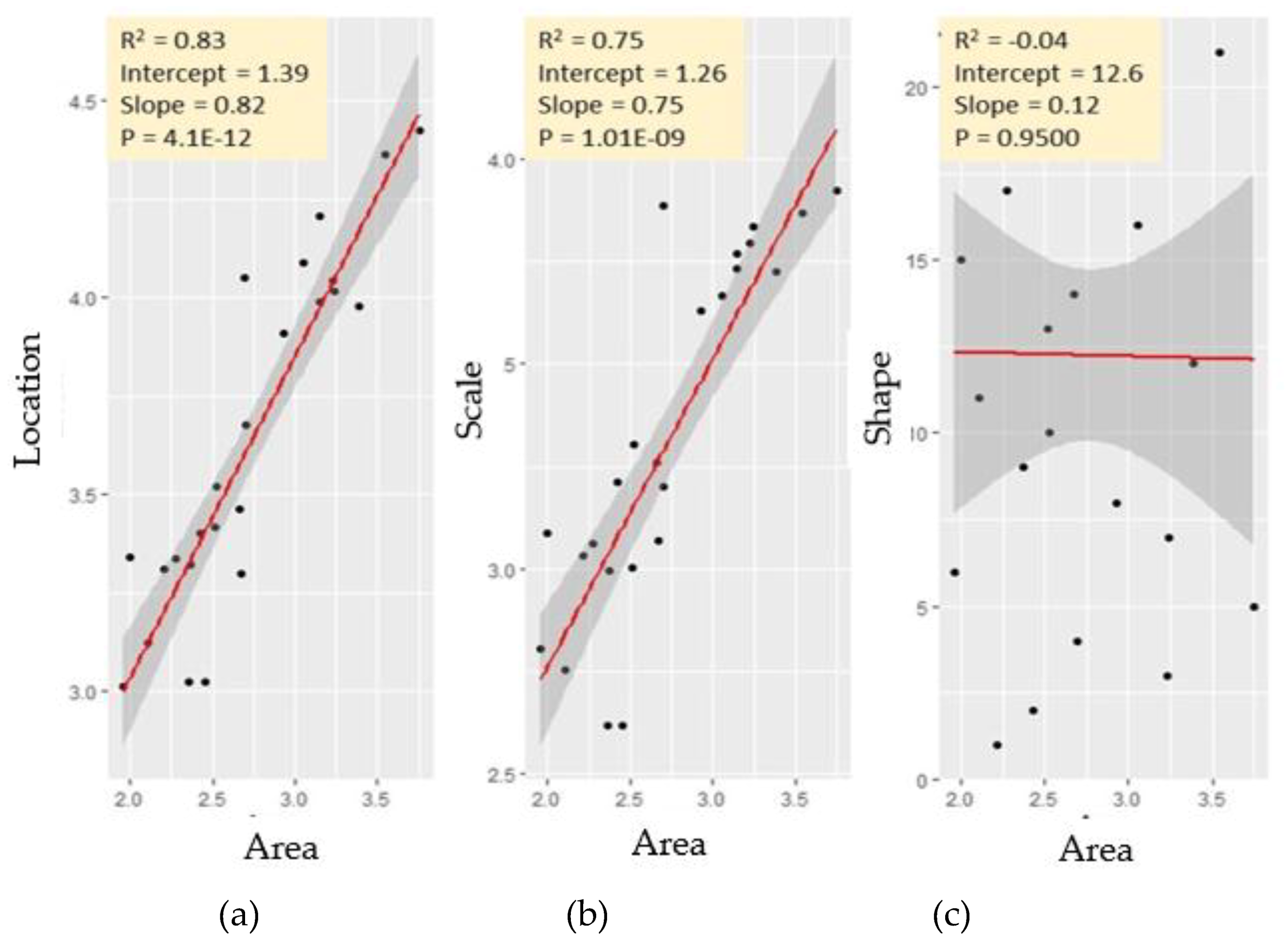
3.1. Analyzing GEV Parameters
3.2. Analyzing GEV Flood Index Values
3.3. Peak Over Threshold Analysis
3.4. Comparing GEV, GP, and PP
- GEV predicts a higher median flow as compared to GP and PP (for return period ≥50 years).
- GP overestimates flow as compared to PP (particularly for return period ≥100 years). For instance, for a site in NY (Failure database ID 811) the 50-year flow is about 2861, 1666, and 1639 cfs for GEV, GP, and PP models, respectively.
- For all larger flood events (for return period ≥50 years), an outlier is identified in GP models, implying that an extremely high flood event can be expected for a return period higher than 50 years. GEV and PP models do not identify any outliers.
- The confidence interval is larger for the PP model as compared to GP and GEV models, indicating greater uncertainty when using the PP approach.
3.5. Calculating Return Periods for Maximum Flows in Collapse Year Using GEV, GP, and PP
4. Discussion
4.1. Heavy Tail Distribution
4.2. GEV, GP, PP
4.3. Collapse Cause
- Maximum flow return periods in the collapse year were found to be in a significantly wide range. For some sites (#350, #462, #992) maximum flow return periods were calculated significantly lower based on available daily and annual peak flow data. It is possible that other hydraulic events may induce scour, accumulating over a long period of time even at low flows, resulting in total/partial bridge collapse. In fact, in the Appalachian Highland (a) debris jam causing increased flooding, (b) high erodible soil causing accelerated rate of channel widening, lateral migration and vertical degradation, and (c) high channel modification resulting in destabilized channels, led to accelerated scour even at low flows [54,55,56].
- For some sites (#118—dam failure, #825—regulation, snowmelt, hurricane, debris jam, #826, #829, ##830—snowmelt, hurricane, ice-jam, debris jam, #1455, #1464—historic peak), max flow return period in the collapse year coincides with the maximum recorded flow, which suggests that the bridges collapsed at unprecedent events at the sites. For these unprecedent events, annual peak flow data appear to be consistent with the recorded event by the United States Geological Survey (USGS). The calculated extremely high return periods (GP and PP estimates, 784.5 years to infinity) also indicate unprecedented events with no such previous record at these sites.
5. Conclusions
- The bridge collapse return period varies widely (very low to very high) although the apparent collapse cause is flood.
- Bridge collapses can be attributed to unprecedent events that could not have informed the bridge design.
- Bridge collapse due to scour can be expected even at low flows within the context of other hydraulic events, i.e., debris jam, ice-jam, high rate of channel migration, and destabilized channel due to channel modification.
- Channels with mostly low flows throughout the year can experience an unprecedent extreme flow. Such incidents are not a surprising event but rather expected for peak flows with heavy tail distributions.
Author Contributions
Funding
Conflicts of Interest
References
- Cook, W.; Barr, P.J.; Halling, M.W. Bridge failure rate. J. Perform. Constr. Facil. 2015, 29. [Google Scholar] [CrossRef]
- Arneson, L.; Zevenbergen, L.; Lagasse, P.; Clopper, P. Evaluating Scour at Bridges, 5th ed.; HEC-18: FHWA-HIF-12-003; FHWA: Washington, DC, USA, 2012.
- Kattell, J.; Eriksson, M. Bridge Scour Evaluation: Screening, Analysis, & Countermeasures; USDA Forest Service: Washington, DC, USA, 1998.
- National Resources Conservation Service. Urban Hydrology for Small Watersheds; TR-55; USDA: Washington, DC, USA, 1986.
- Hydrology Subcommittee. Bulletin 17C Guidelines for Determining Flood Flow Frequency; USGS Interagency Advisory Committee on Water Data: Reston, VA, USA, 2019.
- Atkins, J.B.; Hummel, P.R.; Gray, M.; Dusenbury, R.; Jennings, M.E.; Kirby, W.H.; Riggs, H.C.; Sauer, V.B.; Thomas, W.O., Jr. The national streamflow statistics program: A computer program for estimating streamflow statistics for ungaged sites. In Hydrologic Analysis and Interpretation. Section A: Statistical Analysis; Ries, K.G., Ed.; USGS: Washington, DC, USA, 2007. [Google Scholar]
- Eljabri, S.S.M. New Statistical Models for Extreme Values. Ph.D. Thesis, The University of Manchester, Manchester, UK, 2013. [Google Scholar]
- Tyralis, H.; Papacharalampous, G.A.; Tantanee, S. How to explain and predict the shape parameter of the generalized extreme value distribution of streamflow extremes using a big dataset. J. Hydrol. 2019, 574, 628–645. [Google Scholar] [CrossRef]
- Lima, C.H.R.; Lall, U.; Troy, T.; Devineni, N. A hierarchical Bayesian GEV model for improving local and regional flood quantile estimates. J. Hydrol. 2016, 541, 816–823. [Google Scholar] [CrossRef]
- Morrison, J.E.; Smith, J.A. Stochastic modeling of flood peaks using the generalized extreme value distribution. Water Resour. Res. 2002, 38, 41-1–41-12. [Google Scholar] [CrossRef]
- Kuzuha, Y.; Tomosugi, K.; Kishii, T.; Komatsu, K. Coefficient of variation of annual flood peaks: Variability of flood peak and rainfall intensity. Hydrol. Process. 2009, 23, 546–558. [Google Scholar] [CrossRef]
- Veneziano, D.; Langousis, A. Scaling and fractals in hydrology. In Advances in Data-Based Approaches for Hydrologic Modeling and Forecasting; Sivakumar, B., Berndtsson, R., Eds.; World Scientific: Singapore, 2010. [Google Scholar] [CrossRef]
- Blöschl, G.; Sivapalan, M. Process controls on regional flood frequency: Coefficient of variation and basin scale. Water Resour. Res. 1997, 33, 2967–2980. [Google Scholar] [CrossRef]
- Vogel, R.M.; Sankarasubramanian, A. Spatial scaling properties of annual streamflow in the United States. Hydrol. Sci. J. 2000, 45, 465–476. [Google Scholar] [CrossRef]
- Rosberg, D.; Madsen, H.; Rasmussen, P.F. Prediction in partial duration series with generalized Pareto distributed exceedences. Water Resour. Res. 1992, 28, 3001–3010. [Google Scholar] [CrossRef]
- Gumbel, E.J. Statistics of Extremes; Columbia University Press: Columbia, NY, USA, 1958. [Google Scholar]
- Pickands, J. Statistical inference using extreme order statistics. Ann. Stat. 1975, 3, 119–131. [Google Scholar]
- Lang, M.; Ouarda, T.B.M.J.; Bobee, B. Towards operational guidelines for over-threshold modeling. J. Hydrol. 1999, 225, 103–117. [Google Scholar] [CrossRef]
- Salas, J.D. Analysis and modeling of hydrologic time series. In Handbook of Hydrology; Maidment, D.R., Ed.; McGraw Hill, Inc.: New York, NY, USA, 1993; pp. 19.1–19.72. [Google Scholar]
- Villarini, G.; Serinaldi, F.; Smith, J.A.; Krajewski, W.F. On the stationarity of annual flood peaks in the continental United States during the 20th century. Water Resour. Res. 2009, 45, W08417. [Google Scholar] [CrossRef]
- Gilleland, E.; Katz, R.W. extRemes 2.9: An extreme value analysis package in R. J. Stat. Softw. 2016, 72. [Google Scholar] [CrossRef]
- Akaike, H. A new look at the statistical model identification. IEEE Trans. Autom. Control 1974, 19, 716–723. [Google Scholar] [CrossRef]
- Schwarz, G. Estimating the dimension of a model. Ann. Stat. 1978, 6, 461–464. [Google Scholar] [CrossRef]
- Coles, G.S. An Introduction to Statistical Modeling of Extreme Values; Springer: New York, NY, USA, 2001. [Google Scholar] [CrossRef]
- Dey, D.K.; Roy, D.; Yan, J. Univariate Extreme Value Analysis. In Extreme Value Modeling and Risk Analysis, Methods and Applications; Dey, D.K., Yan, J., Eds.; CRC Press: Boca Raton, FL, USA, 2016; pp. 1–22. [Google Scholar]
- Stedinger, J.R.; Vogel, R.M.; Foufoula-Georgiou, E. Frequency Analysis of Extreme Events. In Handbook of Hydrology, 1st ed.; Maidment, D.R., Ed.; McGraw Hill Education: New York, NY, USA, 1993; pp. 18.1–18.66. [Google Scholar]
- Hosking, J.R.M.; Wallis, J.R. Regional Frequency Analysis; Cambridge University Press: New York, NY, USA, 1997. [Google Scholar] [CrossRef]
- Koutsoyiannis, D. Statistics of extremes and estimation of extreme rainfall: I. Theoretical investigation. Hydrol. Sci. J. 2004, 49, 575–590. [Google Scholar] [CrossRef]
- Northrop, P.J. Likelihood-based approaches to flood frequency estimation. J. Hydrol. 2004, 292, 96–113. [Google Scholar] [CrossRef]
- Villarini, G.; Smith, J.A. Flood peak distributions for the eastern United States. Water Resour. Res. 2010, 46. [Google Scholar] [CrossRef]
- Smith, J.A.; Villarini, G.; Baeck, M.L. Mixture Distributions and the Hydroclimatology of Extreme Rainfall and Flooding in the Eastern United States. J. Hydrometeorol. 2011, 12, 294–309. [Google Scholar] [CrossRef]
- Villarini, G.; Smith, J.A.; Baeck, M.L.; Krajewski, W.F. Examining Flood Frequency Distributions in the Midwest, U.S. J. Am. Water Resour. Assoc. 2011, 47, 447–463. [Google Scholar] [CrossRef]
- Villarini, G.; Smith, J.A.; Serinaldi, F.; Ntelekos, A.A. Analyses of seasonal and annual maximum daily discharge records for central Europe. J. Hydrol. 2011, 399, 299–312. [Google Scholar] [CrossRef]
- Villarini, G.; Smith, J.A.; Serinaldi, F.; Ntelekos, A.A.; Schwarz, U. Analyses of extreme flooding in Austria over the period 1951–2006. Int. J. Climatol. 2012, 32, 1178–1192. [Google Scholar] [CrossRef]
- Gupta, V.K.; Waymire, E. Multiscaling properties of spatial rainfall and river flow distributions. J. Geophys. Res. 1990, 95, 1999–2009. [Google Scholar] [CrossRef]
- Wallis, J.R.; Schaefer, M.G.; Barker, B.L.; Taylor, G.H. Regional precipitation frequency analysis and spatial mapping for 24-hour and 2-hour durations for Washington State. Hydrol. Earth Syst. Sci. 2007, 11, 415–442. [Google Scholar] [CrossRef]
- He, J.; Anderson, A.; Valeo, C. Bias compensation in flood frequency analysis. Hydrol. Sci. J. 2015, 60, 381–401. [Google Scholar] [CrossRef]
- Burlando, P.; Rosso, R. Scaling and multiscaling models of depth-durationfrequency curves for storm precipitation. J. Hydrol. 1996, 187, 45–64. [Google Scholar] [CrossRef]
- Archfield, S.A. Estimation of Continuous Daily Streamflow at Un-Gaged Locations in Southern New England. Ph.D. Thesis, Tufts University, Middlesex County, MA, USA, 2009. [Google Scholar]
- Fennessey, N.M. A Hydro-Climatological Model of Daily Streamflow for the Northeast United States. Ph.D. Thesis, Tufts University, Middlesex County, MA, USA, 1994. [Google Scholar]
- Vogel, R.M.; Fennessey, N.M. L moment Diagrams should replace product moment diagrams. Water Resour. Res. 1993, 29, 1745–1752. [Google Scholar] [CrossRef]
- Taesombut, V.; Yevjevich, V. Use of Partial Duration Series for Estimating the Distribution of Maximum Annual Flood Peak Hydrology; Colorado State University: Fort Collins, CO, USA, 1978; p. 71. [Google Scholar]
- Gvoždíková, B.; Müller, M. Evaluation of extensive floods in western/central Europe. Hydrol. Earth Syst. Sci. 2017, 21, 3715–3725. [Google Scholar] [CrossRef]
- Smith, R.; Shively, T. Point Process Approach to Modeling Trends in Tropospheric Ozone. Atmos. Environ. 1995, 29, 3489–3499. [Google Scholar] [CrossRef]
- Konecny, F.; Nachtnebel, H.P. Extreme value process and the evaluation of risk in flood analysis. Appl. Math. Model. 1985, 9, 11–15. [Google Scholar] [CrossRef]
- Dalrymple, T. Fllod frequency analysis. U.S. Geological Survey Water Supply, Paper No. 1534A. Man. Hydrol. 1960, 3, 60. [Google Scholar]
- Waylen, P.R.; Woo, M.K. Stochastic analysis of high flows in some central British Columbia rivers. Can. J. Civil Eng. 1983, 10, 639–648. [Google Scholar] [CrossRef]
- Irvine, K.N.; Waylen, P.R. Partial series analysis f high flows in Canadian rivers. Can. Water Resour. J. 1986, 11, 83–91. [Google Scholar] [CrossRef][Green Version]
- Davison, A.C.; Smith, R.L. Models for exceedances over high thresholds. J. R. Stat. Soc. 1990, 52, 393–442. [Google Scholar] [CrossRef]
- Naden, P.S.; Bayliss, A.C. Flood estimation: Peak-over threshold techniques. In Proceedings of the MAFF Conference of River and Coastal Engineers, University of Loughborough, Loughborough, UK, 5–7 July 1993; pp. 9.1.1–9.1.18. [Google Scholar]
- Cruise, J.F.; Arora, K. A hydroclimatic application strategy for the Poisson partial duration model. Water Resour. Bull. 1990, 26, 431–442. [Google Scholar] [CrossRef]
- Flint, M.; Fringer, O.; Billington, S.L.; Freyberg, D.; Diffenbaugh, N.S. Historical analysis of hydraulic bridge collapses in the continental United States. J. Infrastruct. Syst. 2017, 23, 04017005. [Google Scholar] [CrossRef]
- Nair, J.; Wierman, A.; Zwart, B. The Fundamentals of Heavy-tails: Properties, Emergence, and Identification. ACM SIGMETRICS Perform. Eval. Rev. 2013, 41, 387, ISSN 0163-5999. Available online: https://resolver.caltech.edu/CaltechAUTHORS:20161206-160007274 (accessed on 20 June 2019). [CrossRef]
- Johnson, P.A. Physiographic characteristics of bridge-stream intersections. River Res. Appl. 2006, 22, 617–630. [Google Scholar] [CrossRef]
- Church, M. Bed material transport and the morphology of alluvial river channels. Ann. Rev. Earth Planet. Sci. 2006, 34, 325–354. [Google Scholar] [CrossRef]
- Ashraf, F.; Flint, M. A novel paradigm of risk study of bridge infrastructure. In Proceedings of the World Environmental and Water Resources Congress, Pittsburgh, PA, USA, 19–23 May 2019. [Google Scholar]













| Site# | NYSDOT Database Bridge ID/State | USGS Station ID (Sample Size in Superscript) | Basin Area (km2) | GEV Shape Parameter | GEV Location Parameter | GEV Scale Parameter | AIC/BIC | Co-Efficient of Variation of Location Parameter | Kendall’s /p Value |
|---|---|---|---|---|---|---|---|---|---|
| 1 | 50/WV 1 | 0161150095 | 1,749,990.2 | 3.1 × 10−1 | 1.0 × 104 | 6.8 × 103 | 2013/2021.3 | 7.6 × 10−1 | −0.05/0.45 |
| 2 | 57/WV 1 | 0318250088 | 1398.59 | 1.4 × 10-1 | 1.6 × 104 | 5.9 × 103 | 1835.1/1842.5 | 4.1 × 10−1 | 0.14/0.06 |
| 3 | 118/NJ 1 | 0146585051 | 167.05 | 1.6 × 10−1 | 630.8 | 341.1 | 771.2/777 | 6.0 × 10−1 | 0.079/0.42 |
| 4 | 195 */VA 1 | 0162480030 | 189.069 | 1.4 × 10−1 | 2163.8 | 1151.2 | 530.8/535 | 6.0 × 10−1 | 0.02/0.89 |
| 5 | 246 */NY 1 | 0421350077 | 1129.23 | 1.7 × 10−1 | 1.2 × 104 | 4.6 × 103 | 1555.1/1562.1 | 4.3 × 10−1 | −0.14/0.09 |
| 6 | 283/GA 1 | 0221830051 | 2434.59 | 2.1 × 10−1 | 9470.4 | 5295.9 | 1054.1/1059.9 | 6.3 × 10−1 | −0.35/0.00027 |
| 7 | 285/GA 1 | 0221830051 | 2434.59 | 2.1 × 10−1 | 9470.4 | 5295.9 | 1054.1/1059.9 | 6.3 × 10−1 | −0.35/0.00027 |
| 8 | 287 */GA 1 | 0220845045 | 468.788 | 0.19 | 1986.9 | 1175.1 | 790.5/795.9 | 6.8 × 10−1 | −0.12/0.27 |
| 9 | 288 */GA 1 | 0221900045 | 455.838 | 2.8 × 10−2 | 2.9 × 103 | 1.8 × 103 | 822.3/827.7 | 7.1 × 10−1 | −0.26/0.01 |
| 10 | 456/MD 1 | 0164350068 | 162.65 | 6.2 × 10−1 | 2044.7 | 1077.8 | 1211.8/1218.5 | 6.1 × 10−1 | 0.18/0.03 |
| 11 | 462 */ME 1 | 0101000067 | 3473.17 | −2.4 × 10−1 | 23,121.7 | 7393.6 | 1389/1395.6 | 3.5 × 10−1 | 0.16/0.06 |
| 12 | 503/MT 2 | 0609170041 | 229.21 | 3.6 × 10−1 | 2249.7 | 1119.8 | 727.8/733 | 0.6 | 0.03/0.76 |
| 13 | 506/MT 2 | 0610800063 | 284.90 | 1.0 | 517 | 587.03 | 1061/1067.4 | 1.3 | −0.27/0.002 |
| 14 | 512/MT 2 | 0609320044 | 229.21 | 0.48 | 1005.9 | 555.45 | 728.4/733.8 | 0.6 | −0.15/0.16 |
| 15 | 513/MT 2 | 0609320044 | 91.17 | 0.48 | 1005.9 | 555.45 | 728.4/733.78 | 0.6 | −0.15/0.16 |
| 16 | 515/MT 2 | 0610800063 | 5599.55 | 1.0 | 517 | 587.03 | 1061/1067.5 | 1.3 | −0.27/0.002 |
| 17 | 524/MT 3 | 0606150077 | 5599.55 | 0.3 | 209.4 | 113.2461 | 1003.4/1010.4 | 0.6 | −0.04/0.6 |
| 18 | 811 */NY 1 | 0423900066 | 326.34 | 5.3 × 10−2 | 1.1 × 103 | 4.2 × 102 | 1015.6/1022.2 | 4.4 × 10−1 | −0.12/0.17 |
| 19 | 812 */NY 1 | 0424001066 | 1411.54 | 5.3 × 10−2 | 1.1 × 103 | 4.2 × 102 | 1015.6/1022.2 | 4.4 × 10−1 | −0.12/0.17 |
| 20 | 825 */NY 1 | 0423900066 | 127.17 | 5.3 × 10−2 | 1.1 × 103 | 4.2 × 102 | 1015.6/1022.2 | 4.4 × 10−1 | −0.12/0.17 |
| 21 | 826/NY 1 | 0423300077 | 499.87 | 0.34 | 1022.7 | 641.11 | 1270.6/1277.6 | 7.4 × 10−1 | −0.05/0.53 |
| 22 | 829/NY 1 | 0153033232 | 233.10 | 4.3 × 10−1 | 2.7 × 104 | 8.4 × 103 | 712.7/717.1 | 3.7 × 10−1 | −0.17/0.17 |
| 23 | 830/NY 1 | 0153033232 | 233.10 | 4.3 × 10−1 | 2.7 × 104 | 8.4 × 103 | 712.7/717.1 | 3.7 × 10−1 | −0.17/0.17 |
| 24 | 864/NY 1 | 0423400092 | 497.28 | 2.1 × 10−1 | 2600.3 | 1010.8 | 1594.2/1601.7 | 4.4 × 10−1 | −0.09/0.21 |
| 25 | 901 */NY 2 | 0421650086 | 99.20 | 8.3 × 10−2 | 833 | 411.2 | 1321.1/1328.5 | 0.57 | −0.09/0.23 |
| 26 | 904 */NY 2 | 0421650086 | 852.11 | 8.3 × 10−2 | 833 | 411.2 | 1321.1/1328.5 | 0.57 | −0.1/0.22 |
| 27 | 992 */SC 1 | 0219600074 | 1686.08 | −3.0 × 10−2 | 9721.1 | 5403.8 | 1504.9/1511.9 | 6.17 × 10−1 | −0.14/0.09 |
| 28 | 1044/VA 1 | 0202150089 | 266.77 | 2.8 × 10−1 | 8100.5 | 4257.2 | 1806/1813.5 | 6.01 × 10−1 | 0.05/0.48 |
| 29 | 1164/WV 1 | 0160650091 | 1,749,990.2 | 5.1 × 10−1 | 1.1 × 104 | 6.3 × 103 | 1924.3/1931.9 | 6.63 × 10−1 | 0.04/0.59 |
| 30 | 1168/WV 1 | 0160750076 | 1398.59 | 6.1 × 10−1 | 2524.9 | 1630.5 | 1425/1432 | 7.19 × 10−1 | −0.28/0.0003 |
| 31 | 1177/WV 1 | 03182500 | 1398.6 | 1.4 × 10−1 | 1.6 × 104 | 5.9 × 103 | 1835.1/1842.5 | 4.12 × 10−1 | 0.14/0.06 |
| 32 | 1251/VA 1 | 0206850089 | 334.11 | 2.4 × 10−1 | 3312.4 | 2017.6 | 1670/1677.5 | 6.93 × 10−1 | 0.03/0.70 |
| 33 | 1262 */MD 4 | 0158509023 | 647.50 | 6.2 × 10−1 | 952.4 | 501.8 | 365.7/369.1 | 0.59 | 0.40/0.01 |
| 34 | 1450 */KS 2 | 0689235044 | 3206.41 | −3.9 × 10−2 | 4.9 × 104 | 3.0 × 104 | 1043.9/1049.3 | 0.66 | −0.06/0.57 |
| 35 | 1455/KS 2 | 0688800061 | 396.27 | 2.2 × 10−1 | 4778.3 | 3794.3 | 1218.2/1224.6 | 0.91 | 0.06/0.49 |
| 36 | 1464/KS 2 | 0688850065 | 396.27 | 2.2 × 10−1 | 4778.3 | 3794.3 | 1218.2/1224.6 | 0.94 | 0.06/0.49 |
| 37 | 1482/MD 1 | 0159650069 | 57.24 | 2.2 × 10−1 | 1319.9 | 569.3 | 1118.2/1124.9 | 4.76 × 10−1 | 0.01/0.91 |
| 38 | 1484 *MD 1 | 0161352513 | 57.24 | −2.3 × 10−1 | 4757.7 | 1594.1 | 234.1/235.8 | 3.70 × 10−1 | −0.36/0.1 |
| 39 | 1547 */ME 1 | 0104600047 | 3206.41 | 2.6 × 10−1 | 2097.8 | 994.1 | 811/816.6 | 5.66 × 10−1 | 0.009/0.93 |
| 40 | 1548 */ME 1 | 0104600047 | 154,767.33 | 2.6 × 10−1 | 2097.8 | 994.1 | 811/816.6 | 5.66 × 10−1 | 0.009/0.93 |
| 41 | 1630/NY 1 | 0136250086 | 629.37 | 4.4 × 10−1 | 1.1 × 104 | 7.7 × 103 | 1844.3/1851.6 | 7.70 × 10−1 | 0.07/0.32 |
| 42 | 3619 */NY 1 | 0136500081 | 629.37 | 1.8 × 10−1 | 2181.3 | 1224.3 | 1427/1434.1 | 6.59 × 10−1 | 0.03/0.68 |
| NYSDOT Database Bridge ID/State | USGS Station (Sample Size Is Given in Superscript) | Distance to Gauge (km) | Basin Area (km2) | Length of Peak Flow Data (Years) | Mean Annual Flow (m3/s) | Q100 (m3/s) | Q500 (m3/s) | Flood Index for 100-Year Flow | Flood Index for 500-Year Flow |
|---|---|---|---|---|---|---|---|---|---|
| 50/WV | 0161150095 | 3.20 | 1,749,990.2 | 95 | 291.6 | 2272.6 | 3973.0 | 7.8 | 13.6 |
| 57/WV | 0318250088 | 22.22 | 1398.59 | 88 | 455.9 | 1520.1 | 2079.7 | 3.3 | 4.6 |
| 118/NJ | 0146585051 | 7.69 | 167.05 | 51 | 17.8 | 82.8 | 119.1 | 4.65 | 6.69 |
| 195/VA | 0162480030 | 6.68 | 189.069 | 30 | 61.2 | 271.1 | 382.7 | 4.43 | 6.25 |
| 246/NY | 0421350077 | 9.05 | 1129.23 | 77 | 348.2 | 1249.9 | 1766.3 | 3.59 | 5.07 |
| 283/GA | 0221830051 | 13.80 | 2434.59 | 51 | 268.1 | 1429.5 | 2185.0 | 5.33 | 8.15 |
| 285/GA | 0221830051 | 11.46 | 2434.59 | 51 | 268.1 | 1429.5 | 2185.0 | 5.33 | 8.15 |
| 287/GA | 0220845045 | 8.68 | 468.788 | 45 | 56.2 | 302 | 454 | 5.37 | 8.08 |
| 288/GA | 0221900045 | 12.89 | 455.838 | 45 | 81.8 | 335 | 432 | 4.10 | 5.28 |
| 456/MD | 0164350068 | 7.41 | 162.65 | 68 | 57.9 | 869.1 | 2358.8 | 15.01 | 40.74 |
| 462/ME | 0101000067 | 25.15 | 3473.17 | 67 | 654.7 | 1234.8 | 1326.4 | 1.89 | 2.03 |
| 811/NY | 0609170041 | 18.83 | 229.21 | 66 | 30 | 91.3 | 116.6 | 3.04 | 3.89 |
| 812/NY | 0610800063 | 96.01 | 284.90 | 66 | 30 | 91.3 | 116.6 | 3.04 | 3.89 |
| 825/NY | 0609320044 | 14.05 | 229.21 | 66 | 30 | 91.3 | 116.6 | 3.04 | 3.89 |
| 826/NY | 0609320044 | 9.03 | 91.17 | 77 | 28.9 | 230.4 | 416.4 | 7.97 | 14.41 |
| 829/NY | 0610800063 | 32.93 | 5599.55 | 32 | 756.0 | 4151.7 | 8049.4 | 5.49 | 10.65 |
| 830/NY | 0606150077 | 8.07 | 5599.55 | 32 | 756.0 | 4151.7 | 8049.4 | 5.49 | 10.65 |
| 864/NY | 0423900066 | 13.75 | 326.34 | 92 | 73.6 | 292.3 | 432.6 | 3.97 | 5.88 |
| 992/SC | 0424001066 | 17.56 | 1411.54 | 74 | 275.2 | 933 | 1143 | 3.39 | 4.15 |
| 1482/MD | 0423900066 | 4.44 | 127.17 | 69 | 37.3 | 167.2 | 255.2 | 4.48 | 6.84 |
| 1484/MD | 0423300077 | 2.61 | 499.87 | 13 | 134.7 | 261.8 | 282.6 | 1.94 | 2.10 |
| 1547/ME | 0153033232 | 21.13 | 233.10 | 47 | 59.4 | 305.9 | 487.7 | 5.15 | 8.21 |
| 1548/ME | 0153033232 | 21.13 | 233.10 | 47 | 59.4 | 305.9 | 487.7 | 5.15 | 8.21 |
| 1630/NY | 0423400092 | 2.84 | 497.28 | 86 | 320 | 3610.2 | 7563.3 | 11.28 | 23.64 |
| 3619/NY | 0421650086 | 5.22 | 99.20 | 81 | 61.7 | 312.2 | 463.5 | 5.06 | 7.51 |
| 1044/VA | 0421650086 | 1.86 | 852.11 | 89 | 229.3 | 305.9 | 487.7 | 1.33 | 2.13 |
| 1164/WV | 0219600074 | 19.34 | 1686.08 | 91 | 311.4 | 1368.5 | 2273.6 | 4.39 | 7.30 |
| 1168/WV | 0202150089 | 6.33 | 266.77 | 76 | 71.4 | 1227.7 | 3264.8 | 17.2 | 45.7 |
| 1177/WV | 0160650091 | 8.51 | 1398.6 | 96 | 455.9 | 1520.1 | 2079.7 | 3.3 | 4.56 |
| 1251/VA | 0160750076 | 13.04 | 334.11 | 89 | 93.7 | 576.8 | 920.8 | 6.16 | 9.83 |
| 503/MT 2 | 0318250090 | 22.22 | 647.50 | 41 | 63.7 | 435 | 794.6 | 6.8 | 12.5 |
| 506/MT 2 | 0206850089 | 8.40 | 3206.41 | 63 | 14.6 | 1899 | 10,148.4 | 130 | 695 |
| 512/MT 2 | 0158509023 | 0.50 | 396.27 | 44 | 28.4 | 294.7 | 645.3 | 10.38 | 22.72 |
| 513/MT 2 | 0689235044 | 5.83 | 396.27 | 44 | 28.4 | 294.7 | 645.3 | 10.38 | 22.72 |
| 901/NY 2 | 0688800061 | 14.98 | 57.24 | 86 | 23.5 | 88.8 | 118.3 | 3.78 | 5.03 |
| 904/NY 2 | 0688850065 | 12.14 | 57.24 | 86 | 23.5 | 88.8 | 118.3 | 3.78 | 5.03 |
| 515/MT 2 | 0159650069 | 2.49 | 3206.41 | 63 | 14.6 | 1899 | 10148.4 | 130 | 695.1 |
| 1450/KS 2 | 0161352513 | 6.56 | 154,767.33 | 44 | 1379 | 4821.5 | 5888.7 | 3.50 | 4.27 |
| 1455/KS 2 | 0104600047 | 3.21 | 629.37 | 61 | 135.3 | 989.0 | 1559.4 | 7.31 | 11.53 |
| 1464/KS 2 | 0104600047 | 1.49 | 629.37 | 65 | 135.3 | 989.0 | 1559.4 | 7.31 | 11.53 |
| 524/MT 3 | 0136250086 | 1.87 | 497.28 | 77 | 5.9 | 36.8 | 61.9 | 6.2 | 10.5 |
| 1262/MD 4 | 0136500081 | 3.15 | 7.07 | 23 | 27 | 102.5 | 134.6 | 3.80 | 4.99 |
| NYSDOT Failure Database Bridge ID | Length of Daily Flow Data (Years) | GP | PP | Extremal Index | ||||
|---|---|---|---|---|---|---|---|---|
| Threshold | Average Number of Exceedances Per Year | AIC, BIC | Threshold | Average Number of Exceedances Per Year | AIC, BIC | |||
| 50 | 95 | 3400 | 7.76 | 13,565.0, 13,574.3 | 5220 | 3.55 | 6196.4, 6208 | 0.33 |
| 57 | 90 | × | × | × | × | × | × | × |
| 118 | 32 | 250 | 11.31 | 7932.7, 7941.7 | 500 | 1.85 | 1479.8, 1487.8 | 0.18 |
| 195 | 30 | 310 | 8.45 | 3616.6, 3623.8 | 595 | 3.55 | 1505, 1513.1 | 0.35 |
| 246 | 8 | 6000 | 2.67 | 3857.4, 3864.2 | 8000 | 1.22 | 1942.8, 1950.6 | 0.64 |
| 283 | 42 | 8850 | 2.88 | 2254.7, 2260.3 | × | × | × | 0.27 |
| 285 | 42 | 8850 | 2.88 | 2254.7, 2260.3 | × | × | × | 0.27 |
| 287 | 5 | 1200 | 5.90 | 4347.8, 4355.1 | 3000 | 0.63 | 567, 570.3 | 0.3 |
| 288 | 48 | 1350 | 3.93 | 4697.8, 4705.2 | 1839 | 2.30 | 2460.1, 2469.1 | 0.3 |
| 456 | 63 | 670 | 2.14 | 2220.8, 2226.9 | 670 | 2.14 | 2296.6, 2305.7 | 0.56 |
| 462 | 69 | 17,500 | 5.73 | 7671.8, 7679.8 | 19,900 | 3.59 | 4665.9, 4676.4 | 0.24 |
| 503 | 40 | 1490 | 14.65 | 9411.9, 9420.8 | × | × | × | 0.10 |
| 506 | 64 | 370 | 19.67 | 18,288.1, 18,298.4 | × | × | × | 0.05 |
| 512 | 45 | 1500 | 1.04 | 718.7, 722.5 | × | × | × | 0.33 |
| 513 | 45 | 1500 | 1.04 | 718.7, 722.5 | × | × | × | 0.34 |
| 515 | 64 | 370 | 19.67 | 18,288.1, 18,298.4 | × | × | × | 0.05 |
| 524 | 78 | × | × | × | × | × | × | × |
| 811 | 68 | 850 | 2.77 | 2353.2, 2359.8 | 1100 | 0.57 | 615.9, 620.9 | 0.41 |
| 812 | 49 | 790 | 3.90 | 3317.6, 3324.8 | 805.3 | 3.61 | 2926.3, 2936.8 | 0.36 |
| 825 | 68 | 790 | 3.90 | 3317.6, 3324.8 | 1000 | 1.07 | 1061, 1067.9 | 0.36 |
| 826 | 75 | 390 | 2 | 1991.8, 1997.8 | 390 | 2 | 2087.1, 2096.2 | 0.52 |
| 829 | 9 | 6900 | 25.36 | 5253.7, 5260.9 | 16,048 | 3.27 | 654, 658.70 | 0.17 |
| 830 | 9 | 6900 | 25.36 | 5253.7, 5260.9 | 16,048 | 3.27 | 654, 658.70 | 0.17 |
| 864 | 94 | 1370 | 3.62 | 5146.5, 5154.2 | 2500 | 0.61 | 1083.3, 1089.4 | 0.63 |
| 901 | 72 | 390 | 1.16 | 1573.8, 1579.5 | 500 | 0.60 | 1033.4, 1040 | 0.75 |
| 904 | 72 | 390 | 1.16 | 1573.8, 1579.5 | 500 | 0.60 | 1033.4, 1040 | 0.75 |
| 992 | 74 | 8200 | 1.66 | 2372.9, 2378.6 | 12,500 | 0.52 | 876.1, 881.6 | 0.46 |
| 1044 | 91 | 3900 | 3.08 | 4916.2, 4923.5 | 3900 | 3.08 | 876., 881.6 | 0.60 |
| 1164 | 91 | 2900 | 10.97 | 2296.6, 2305.7 | × | × | × | 0.28 |
| 1168 | 76 | 790 | 7.18 | 17,790.2, 17,800 | 5220 | 3.78 | 4665.9, 4676.4 | 0.44 |
| 1177 | 90 | × | × | × | × | × | × | × |
| 1251 | 78 | 620 | 6.5 | 1505, 1513.1 | × | × | × | 0.35 |
| 1262 | 23 | 43 | 6.4 | 9004.242, 9013.114 | 878 | 3.427083 | 4848, 4859.2 | 0.76 |
| 1450 | 102 | 40,200 | 8.1 | 1448.1, 1454.2 | × | × | × | 0.13 |
| 1455 | 45 | 750 | 3.96 | 18,184, 18,193.5 | 1500 | 1 | 2841.2, 2850.5 | 0.31 |
| 1464 | 65 | 750 | 3.96 | 5401.8, 5409.5 | 1500 | 1.95 | 1479.8, 1487.8 | 0.31 |
| 1482 | 7 | 641.08 | 4.0 | 3686, 3692.3 | 750 | 1 | 2290.8, 2300.2 | 0.18 |
| 1484 | 13 | 1500 | 5.6 | 3434.4, 3441.5 | × | × | × | 0.47 |
| 1547 | 49 | 1500 | 2.0 | 2521.5, 2527.8 | 2300 | 1 | 876.1, 881.6 | 0.43 |
| 1548 | 49 | 1500 | 1.89 | 2521.5, 2527.8 | 2300 | 0.53 | 876.1, 881.6 | 0.43 |
| 1630 | 87 | 3250 | 5.34 | 2521.5, 2527.8 | 3850 | 0.53 | 5489.6, 5500.9 | 0.54 |
| 3619 | 81 | 780 | 2.71 | 8258.3, 8266.7 | 780 | 3.58 | 3186.2, 3196.5 | 0.62 |
| NYSDOT Database Bridge ID/State | USGS Station ID | Built-Collapse Year | Maximum Flow (m3/s) in Collapse Year | Return Period, T (Year) | ||||||
|---|---|---|---|---|---|---|---|---|---|---|
| Daily Mean Fitted with GP and PP | Peak Fitted with GEV | T for Daily Mean (Max) | T for Annual Peak | |||||||
| GP | PP | GEV | GP | PP | GEV | |||||
| 50/WV 1 | 01611500 | –1996 | 206.43 | 4.5 | 2.1 | 1.24 | ||||
| 57/WV 1 | 03182500 | –1996 | 1124.18 | 1741.49 | 25.1 | 197 | ||||
| 118/NJ 1 | 01465850 | 1931–2004 | 98.26 | 117.80 A | 4313.2 | 4183.2 | 208.3 | 8450.7 | 784.5 | 474.7 |
| 195 */VA 1 | 01624800 | 1935–1996 | 129.97 | 458.73 | 618.95 | 269.67 | 6.9 | 78,593 | 33,598.5 | 1257 |
| 246 */NY 1 | 04213500 | 1983–2009 | 521.03 | 920.30 | 62.56 | 30.67 | 3.8 | 1855.0 | 3180.7 | 27.3 |
| 283/GA 1 | 02218300 | –1990 | 583.33 | 897.64 | 70.9 | 6.2 | 90,027,071 | 20.8 | ||
| 285/GA 1 | 02218300 | –1990 | 583.33 | 897.64 | 70.9 | 6.2 | 90,027,071 | 20.8 | ||
| 287 */GA 1 | 02208450 | –1990 | 183.21 | 215.77 | 240.2 | 88.4 | 18 | 564.7 | 1637.4 | 30.5 |
| 288 */GA 1 | 02219000 | –1990 | 174.71 | NA | 156.1 | 92.6 | 6.3 | |||
| 456/MD 1 | 01643500 | 1928– | NA | NA | ||||||
| 462 */ME 1 | 01010000 | 1935–1959 | 455.90 | 461.56 | 1 | 1 | 1.1 | 1 | 1 | 1.1 |
| 503/MT 2 | 06091700 | 1949–1964 | NA | NA | ||||||
| 506/MT 2 | 06108000 | 1919–1964 | 566.34 | 2018.99 | 4611.8 | 31.6 | 109,244 | 106 | ||
| 512/MT 2 | 06093200 | 1924–1964 | NA | NA | ||||||
| 513/MT 2 | 06093200 | 1924–1964 | NA | NA | ||||||
| 515/MT 2 | 06108000 | 1936–1965 | 48.99 | 56.63 | 4611.8 | 31.6 | 109,244 | 106 | ||
| 524/MT 3 | 06061500 | 1934–1981 | 54.65 | 65.13 | 337.3 | 588.5 | ||||
| 811 */NY 1 | 04239000 | 1913–1920 | NA | NA | ||||||
| 812 */NY 1 | 04240010 | 1915–1920 | NA | NA | ||||||
| 825 */NY 1 | 04239000 | 1915–1972 | 42.76 | 90.61 B | 73.4 | 19 | 3.4 | 68,349,243 | inf | 95.3 |
| 826/NY 1 | 04233000 | –1972 | 47.86 | 135.92 C | 80.9 | 82.9 | 3 | 23,179.7 | 26,595.9 | 25.9 |
| 829/NY 1 | 01530332 | –1972 | NA | 6654.46 C | inf | inf | 315.8 | |||
| 830/NY 1 | 01530332 | –1972 | NA | 6654.46 C | inf | inf | 315.8 | |||
| 864/NY 1 | 04234000 | 1920–1981 | 199.92 | 68.53 | 392 | 132.6 | 23.7 | 5.34 | 1 | 1.4 |
| 901 */NY 2 | 04216500 | 1950–1989 | NA | 82.12 | 14,092.8 | 993,412.7 | 1.9 | |||
| 904 */NY 2 | 04216500 | 1934–1989 | NA | 82.12 | 14,092.8 | 993,412.7 | 1.9 | |||
| 992 */SC 1 | 02196000 | 1975–1977 | 255.42 | 504.04 | 1.26 | 1 | 1.5 | 11.96 | 3.4 | 5.1 |
| 1044/VA 1 | 02021500 | –1985 | 1175.15 | 199.92 | 1531.3 | 1515.1 | 62.9 | 4.7 | 4.7 | 1.4 |
| 1164/WV 1 | 01606500 | –1985 | 2180.40 | 356.79 | 9452.2 | 38.1 | 34.25 | 1.8 | ||
| 1168/WV 1 | 01607500 | –1985 | 212.38 | 53.80 D | 725.3 | 6.5 | 6.2 | 7.3 | 1 | 1.3 |
| 1177/WV 1 | 03182500 | –1985 | 1257.27 | 322.81 | 25.1 | 197 | ||||
| 1251/VA 1 | 02068500 | 1977–1992 | 127.14 | 348.30 E | 91.9 | 2.3 | 1438.4 | 21.0 | ||
| 1262 */MD 4 | 01585090 | –1971 | NA | NA | ||||||
| 1450 */KS 2 | 06892350 | 1904–1951 | 13,760.99 | NA | 1417.6 | |||||
| 1455/KS 2 | 06888000 | –1951 | NA | 750.40 F | 1513.92 | 1098.6 | 41.3 | |||
| 1464/KS 2 | 06888500 | 1882–1951 | NA | 750.40 F | 1513.92 | 1098.6 | 41.3 | |||
| 1482/MD 1 | 01596500 | 1940–1996 | 56.63 | 187.46 | 67.9 | 45.1 | 3.41 | 65,093.7 | 56,049.8 | 152.9 |
| 1484 *MD 1 | 01613525 | 1950–1996 | NA | NA | ||||||
| 1547 */ME 1 | 01046000 | 1957–1987 | NA | NA | ||||||
| 1548 */ME 1 | 01046000 | 1957–1987 | NA | NA | ||||||
| 1630/NY 1 | 01362500 | 1976–2005 | 492.71 | 1563.09 E | 52.9 | 41.3 | 2.5 | 960.96 | 1126.1 | 17.7 |
| 3619 */NY 1 | 01365000 | 1956–2011 | 102.22 | 232.20 C | 204.2 | 218.9 | 3.4 | 22,292.9 | 29,187.9 | 33.8 |
Unprecedented event (extremely high flow).
Return period cannot be calculated because of the unavailability of data or invalidity of peak over threshold analysis.© 2019 by the authors. Licensee MDPI, Basel, Switzerland. This article is an open access article distributed under the terms and conditions of the Creative Commons Attribution (CC BY) license (http://creativecommons.org/licenses/by/4.0/).
Share and Cite
Ashraf, F.U.; Flint, M.M. Analysis of Peak Flow Distribution for Bridge Collapse Sites. Water 2020, 12, 52. https://doi.org/10.3390/w12010052
Ashraf FU, Flint MM. Analysis of Peak Flow Distribution for Bridge Collapse Sites. Water. 2020; 12(1):52. https://doi.org/10.3390/w12010052
Chicago/Turabian StyleAshraf, Fahmidah U., and Madeleine M. Flint. 2020. "Analysis of Peak Flow Distribution for Bridge Collapse Sites" Water 12, no. 1: 52. https://doi.org/10.3390/w12010052
APA StyleAshraf, F. U., & Flint, M. M. (2020). Analysis of Peak Flow Distribution for Bridge Collapse Sites. Water, 12(1), 52. https://doi.org/10.3390/w12010052
