Long-Term Homogeneity, Trend, and Change-Point Analysis of Rainfall in the Arid District of Ananthapuramu, Andhra Pradesh State, India
Abstract
1. Introduction
2. Study Area and Data Used
3. Methodology
- Homogeneity tests;
- Testing for serial correlation;
- Trend tests;
- Trend change-point tests.
3.1. Homogeneity Tests
3.1.1. Alexandersson’s Standard Normal Homogeneity Test
3.1.2. Buishand’s Range Test
3.1.3. Pettitt’s Test
3.1.4. Von Neumann’s Ratio Test
3.2. Testing for Serial Correlation
3.3. Trend Tests
3.3.1. Mann–Kendall Test
3.3.2. Spearman’s Rank Correlation Coefficient Test
3.3.3. Sen’s Slope Estimator
3.3.4. Pre-Whitening
3.3.5. Trend-Free Pre-Whitening
3.3.6. Bias-Corrected Pre-whitening
3.3.7. Variance Correction Approaches
3.4. Trend Change-Point Tests
3.4.1. Distribution-Free CUSUM Test
3.4.2. Sequential Mann–Kendall Test
3.5. Software Packages, “modifiedmk” and “trendchange”
4. Results and Discussion
4.1. Homogeneity of Rainfall Data
- Useful, if none or only one of the above four tests reject the null hypothesis;
- Doubtful, if two of the four tests reject the null hypothesis;
- Suspect, if three or all the tests reject the null hypothesis.
4.2. Serial Correlation Analysis
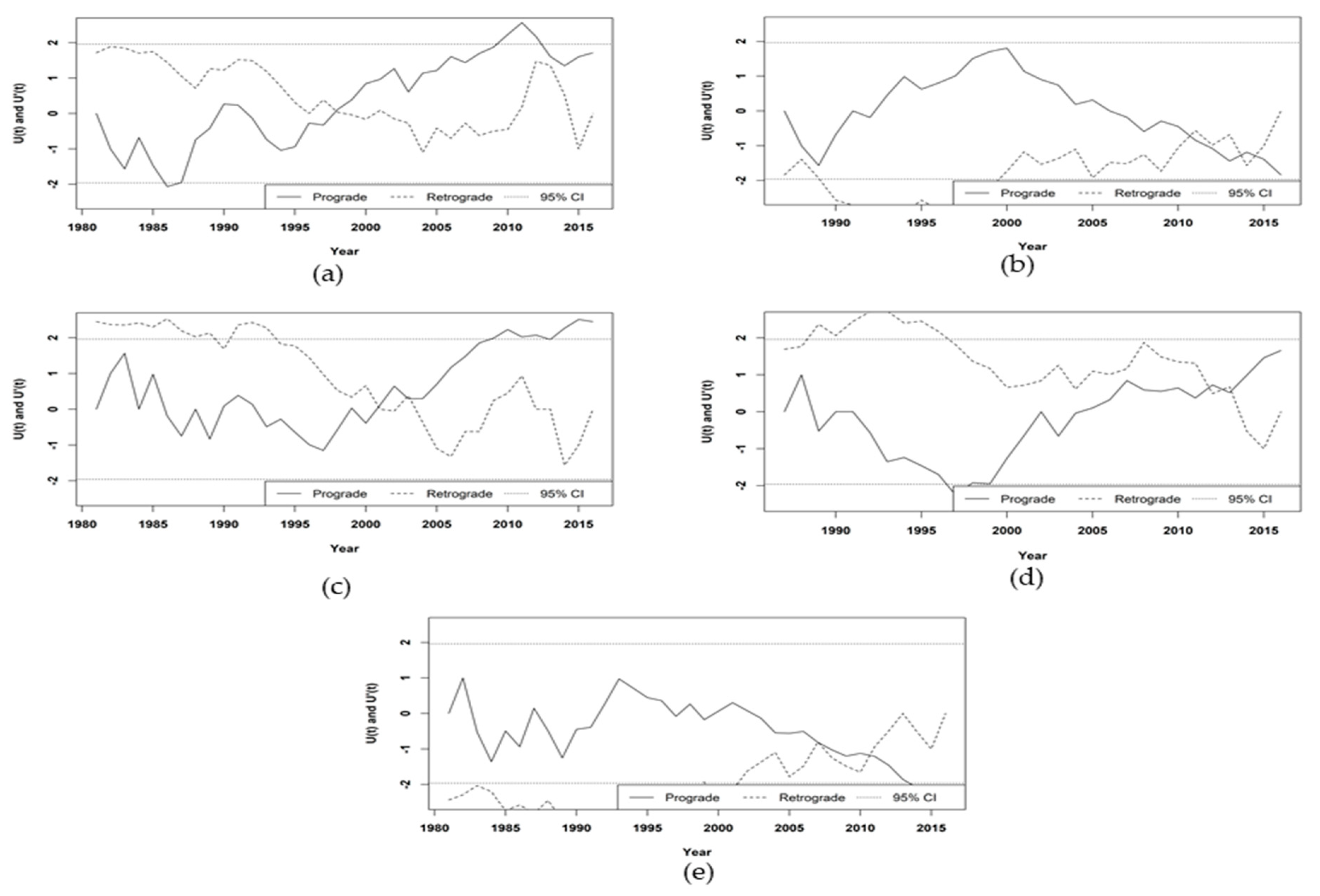
4.3. Rainfall Trend Analysis
4.4. Total Rainfall Trend versus Trend in Number of Rainy Days
4.5. Trend Change-Point Analysis
5. Conclusions
Author Contributions
Funding
Acknowledgments
Conflicts of Interest
References
- IPCC. Climate Change 2007: Impacts, Adaptation and Vulnerability: Contribution of Working Group II to the Fourth Assessment Report of the Intergovernmental Panel; Cambridge University Press: Cambridge, UK, 2007; ISBN 9780521880107. [Google Scholar]
- Gadgil, S.S.; Gadgil, S.S. The Indian monsoon, GDP and agriculture. Econ. Polit. Wkly. 2006, 41, 4887–4895. [Google Scholar]
- Gosain, A.K.; Rao, S.; Arora, A. Climate change impact assessment of water resources of India. Curr. Sci. 2011, 101, 356–371. [Google Scholar]
- O’Brien, K.; Leichenko, R.; Kelkar, U.; Venema, H.; Aandahl, G.; Tompkins, H.; Javed, A.; Bhadwal, S.; Barg, S.; Nygaard, L.; et al. Mapping vulnerability to multiple stressors: Climate change and globalization in India. Glob. Environ. Chang. 2004, 14, 303–313. [Google Scholar] [CrossRef]
- Gopalakrishnan, R.; Jayaraman, M.; Bala, G.; Ravindranath, N.H. Climate change and Indian forests. Curr. Sci. 2011, 101, 348–355. [Google Scholar]
- Khan, S.A.; Kumar, S.; Hussain, M.Z.; Kalra, N. Climate Change, Climate Variability and Indian Agriculture: Impacts Vulnerability and Adaptation Strategies. In Climate Change and Crops; Singh, S.N., Ed.; Springer: Berlin/Heidelberg, Germany, 2009; pp. 19–38. ISBN 978-3-540-88245-9. [Google Scholar]
- Bush, K.F.; Luber, G.; Kotha, S.R.; Dhaliwal, R.S.; Kapil, V.; Pascual, M.; Brown, D.G.; Frumkin, H.; Dhiman, R.C.; Hess, J.; et al. Impacts of climate change on public health in India: Future research directions. Environ. Health Perspect. 2011, 119, 765–770. [Google Scholar] [CrossRef]
- Bisht, D.S.; Chatterjee, C.; Raghuwanshi, N.S.; Sridhar, V. Spatio-temporal trends of rainfall across Indian river basins. Theor. Appl. Climatol. 2017, 1–18. [Google Scholar] [CrossRef]
- Bisht, D.S.; Sridhar, V.; Mishra, A.; Chatterjee, C.; Raghuwanshi, N.S. Drought characterization over India under projected climate scenario. Int. J. Climatol. 2019, 39, 1889–1911. [Google Scholar] [CrossRef]
- Bisht, D.S.; Chatterjee, C.; Raghuwanshi, N.S.; Sridhar, V. An analysis of precipitation climatology over Indian urban agglomeration. Theor. Appl. Climatol. 2018, 133, 421–436. [Google Scholar] [CrossRef]
- Hoekema, D.J.; Sridhar, V. Relating climatic attributes and water resources allocation: A study using surface water supply and soil moisture indices in the Snake River basin, Idaho. Water Resour. Res. 2011, 47, 1–17. [Google Scholar] [CrossRef]
- Hoekema, D.J.; Sridhar, V. A System Dynamics Model for Conjunctive Management of Water Resources in the Snake River Basin. J. Am. Water Resour. Assoc. 2013, 49, 1327–1350. [Google Scholar] [CrossRef]
- Hossain, I.; Esha, R.; Imteaz, M.A. An attempt to use non-linear regression modelling technique in long-term seasonal rainfall forecasting for australian capital territory. Geosciences 2018, 8, 282. [Google Scholar] [CrossRef]
- Hossain, I.; Rasel, H.M.; Imteaz, M.A.; Mekanik, F. Long-term seasonal rainfall forecasting using linear and non-linear modelling approaches: A case study for Western Australia. Meteorol. Atmos. Phys. 2019. [Google Scholar] [CrossRef]
- Abbot, J.; Marohasy, J. Skilful rainfall forecasts from artificial neural networks with long duration series and single-month optimization. Atmos. Res. 2017, 197, 289–299. [Google Scholar] [CrossRef]
- Şen, Z.; Zekâi, Ş. Innovative Trend Analysis Methodology. J. Hydrol. Eng. 2011, 17, 1042–1046. [Google Scholar] [CrossRef]
- Milly, P.C.D.; Betancourt, J.; Falkenmark, M.; Hirsch, R.M.; Kundzewicz, Z.W.; Lettenmaier, D.P.; Stouffer, R.J. Stationarity Is Dead: Whither Water Management? Science 2005, 319, 573–574. [Google Scholar] [CrossRef] [PubMed]
- Aguilar, E.; Auer, I.; Brunet, M.; Peterson, T.C.; Wieringa, J. Guidance on metadata and homogenization. Wmo Td 2003, 1186, 53. [Google Scholar]
- Peterson, T.C.; Easterling, D.R.; Karl, T.R.; Groisman, P.; Nicholls, N.; Plummer, N.; Torok, S.; Auer, I.; Boehm, R.; Gullett, D.; et al. Homogeneity Adjustsments of in situ Atmospheric Climate Data: A Review. Int. J. Climatol. 1998, 18, 1493–1517. [Google Scholar] [CrossRef]
- Guentchev, G.; Barsugli, J.J.; Eischeid, J. Homogeneity of gridded precipitation datasets for the Colorado River Basin. J. Appl. Meteorol. Climatol. 2010, 49, 2404–2415. [Google Scholar] [CrossRef]
- Hänsel, S.; Medeiros, D.M.; Matschullat, J.; Petta, R.A.; de Mendonça Silva, I. Assessing Homogeneity and Climate Variability of Temperature and Precipitation Series in the Capitals of North-Eastern Brazil. Front. Earth Sci. 2016, 4, 1–21. [Google Scholar] [CrossRef]
- Ahmad, N.H.; Deni, S.M. Homogeneity Test on Daily Rainfall Series for Malaysia. Matematika 2013, 29, 141–150. [Google Scholar]
- Partal, T.; Kahya, E. Trend analysis in Turkish precipitation data. Hydrol. Process. 2006, 20, 2011–2026. [Google Scholar] [CrossRef]
- Onyutha, C.; Tabari, H.; Taye, M.T.; Nyandwaro, G.N.; Willems, P. Analyses of rainfall trends in the Nile River Basin. J. Hydro-Environ. Res. 2016, 13, 36–51. [Google Scholar] [CrossRef]
- Emmanuel, L.; Hounguè, N.; Biaou, C.; Badou, D. Statistical Analysis of Recent and Future Rainfall and Temperature Variability in the Mono River Watershed (Benin, Togo). Climate 2019, 7, 8. [Google Scholar] [CrossRef]
- Toreti, A.; Kuglitsch, F.G.; Xoplaki, E.; Della-Marta, P.M.; Aguilar, E.; Prohom, M.; Luterbacher, J. A note on the use of the standard normal homogeneity test to detect inhomogeneities in climatic time series. Int. J. Climatol. 2011, 31, 630–632. [Google Scholar] [CrossRef]
- Costa, A.C.; Soares, A. Homogenization of climate data: Review and new perspectives using geostatistics. Math. Geosci. 2009, 41, 291–305. [Google Scholar] [CrossRef]
- Sonali, P.; Nagesh Kumar, D. Review of trend detection methods and their application to detect temperature changes in India. J. Hydrol. 2013, 476, 212–227. [Google Scholar] [CrossRef]
- Wagholikar, N.K.; Sinha Ray, K.C.; Sen, P.N.; Pradeep Kumar, P. Trends in seasonal temperatures over the Indian region. J. Earth Syst. Sci. 2014, 123, 673–687. [Google Scholar] [CrossRef][Green Version]
- Shimola, K.; Krishnaveni, M. A Study on Farmers’ Perception to Climate Variability and Change in a Semi-arid Basin. In On a Sustainable Future of the Earth’s Natural Resources; Springer Earth System Sciences, Springer: Berlin, Heidelberg, Germany, 2013; pp. 509–516. ISBN 978-3-642-32916-6. [Google Scholar]
- Jaiswal, R.K.; Lohani, A.K.; Tiwari, H.L. Statistical Analysis for Change Detection and Trend Assessment in Climatological Parameters. Environ. Process. 2015, 2, 729–749. [Google Scholar] [CrossRef]
- Helsel, D.R.; Hirsch, R.M. Trend Analysis. In Statistical Methods in Water Resources; Techniques of Water-Resources Investigations B. 4: Reston, VA, USA, 2002; Chapter A3; pp. 323–355. [Google Scholar]
- Murumkar, A.R.; Arya, D.S.; Rahman, M.M. Seasonal and Annual Variations of Rainfall Pattern in the Jamuneswari Basin, Bangladesh. In Sustainable Future of the Earth’s Natural Resources; Ramkumar, M., Ed.; Springer: Berlin/Heidelberg, Germany, 2013; pp. 349–362. ISBN 978-3-642-32917-3. [Google Scholar]
- Cox, D.R.; Stuart, A. Some Quick Sign Tests for Trend in Location and Dispersion. Biometrika 1955, 42, 80–95. [Google Scholar] [CrossRef]
- Von Storch, H.; Navarra, A. Misuses of Statistical Analysis in Climate Research. In Analysis of Climate Variability-Applications of Statistical Techniques; Springer: Berlin/Heidelberg, Germany, 1995; pp. 11–26. ISBN 9783642085604. [Google Scholar]
- Mann, H.B. Nonparametric Tests Against Trend. Econometrica 1945, 13, 245–259. [Google Scholar] [CrossRef]
- Kendall, M.G. Rank Correlation Methods; Charles Griffin: London, UK, 1955. [Google Scholar]
- Spearman, C. The proof and measurement of association between two things. Am. J. Psychol. 1904, 15, 72–101. [Google Scholar] [CrossRef]
- Lehman, E.L. Nonparametric Statistical Methods Based on Ranks; Holden-Day: San Francisco, CA, USA, 1975. [Google Scholar]
- Theil, H. A rank-invariant method of linear and polynominal regression analysis (Parts 1-3). In Proceedings of the Nederlandsche Akademie van Wetenschappen Series. A. Available online: https://www.dwc.knaw.nl/DL/publications/PU00018789.pdf (accessed on 11 January 2020).
- Sen, P.K. Estimates of the Regression Coefficient Based on Kendall’s Tau. J. Am. Stat. Assoc. 1968, 63, 1379. [Google Scholar] [CrossRef]
- Yue, S.; Pilon, P.; Cavadias, G. Power of the Mann-Kendall and Spearman’s rho tests for detecting monotonic trends in hydrological series. J. Hydrol. 2002, 259, 254–271. [Google Scholar] [CrossRef]
- Kulkarni, A.; von Storch, H. Monte Carlo experiments on the effect of serial correlation on the Mann-Kendall test of trend. Meteorol. Zeitschrift 1995, 4, 82–85. [Google Scholar] [CrossRef]
- Yue, S.; Pilon, P.; Phinney, B.; Cavadias, G. The influence of autocorrelation on the ability to detect trend in hydrological series. Hydrol. Process. 2002, 16, 1807–1829. [Google Scholar] [CrossRef]
- Hamed, K.H. Enhancing the effectiveness of prewhitening in trend analysis of hydrologic data. J. Hydrol. 2009, 368, 143–155. [Google Scholar] [CrossRef]
- Hamed, K.H.; Ramachandra Rao, A. A modified Mann-Kendall trend test for autocorrelated data. J. Hydrol. 1998, 204, 182–196. [Google Scholar] [CrossRef]
- Yue, S.; Wang, C.Y. The Mann-Kendall test modified by effective sample size to detect trend in serially correlated hydrological series. Water Resour. Manag. 2004, 18, 201–218. [Google Scholar] [CrossRef]
- Önöz, B.; Bayazit, M. Block bootstrap for Mann-Kendall trend test of serially dependent data. Hydrol. Process. 2012, 26, 3552–3560. [Google Scholar] [CrossRef]
- Kundzewicz, Z.W.; Robson, A. Detecting Trend and Other Changes in Hydrological Data. World Climate Programme—Water, World Climate Programme Data and Monitoring; WCDMP-45, WMO/TD no. 1013; World Meteorological Organization: Geneva, Switzerland, 2000. [Google Scholar]
- Machiwal, D.; Gupta, A.; Jha, M.K.; Kamble, T. Analysis of trend in temperature and rainfall time series of an Indian arid region: Comparative evaluation of salient techniques. Theor. Appl. Climatol. 2019, 136, 301–320. [Google Scholar] [CrossRef]
- Rama Rao, C.A.; Raju, B.M.K.; Subba Rao, A.V.M.; Rao, K.V.; Rao, V.U.M.; Ramachandran, K.; Venkateswarlu, B.; Sikka, A.K. Atlas on Vulnerability of Indian Agriculture to Climate Change; Central Research Institute for Dryland Agriculture: Hyderabad, India, 2013. [Google Scholar]
- Guhathakurta, P.; Rajeevan, M. Trends in the rainfall pattern over India. Int. J. Climatol. 2008, 28, 1453–1469. [Google Scholar] [CrossRef]
- Kaur, S.; Diwakar, S.K.; Das, A.K. Long term rainfall trend over meteorological sub divisions and districts of India. Mausam 2017, 68, 439–450. [Google Scholar]
- Mondal, A.; Khare, D.; Kundu, S. Spatial and temporal analysis of rainfall and temperature trend of India. Theor. Appl. Climatol. 2015, 122, 143–158. [Google Scholar] [CrossRef]
- Sivajothi, R.; Karthikeyan, K. Spatial and temporal variation of precipitation trends in Andhra Pradesh, India. IOP Conf. Ser. Mater. Sci. Eng. 2017, 263, 042146. [Google Scholar] [CrossRef]
- Naveen, P. An Analysis of Anantapur Climate; International Crop Research Institute for the Semi-Arid Tropics: Hyderabad, India, 1991. [Google Scholar]
- Reddy, S.; Centre, M.; Studies, S.; Livelihoods, S.R.; Managem, N.R.; Extension, A. Drought in Anantapur District: An Overview. Asian Econ. Rev. 2008, 50, 539–560. [Google Scholar]
- Rao, V.; Manikandan, N.; Singh, N.P.; Bantilan, M.C.S.; Satyanarayana, T.; Rao, A.V.M.S.; Rao, G.G.S.N. Trends of heavy rainfall events in Anantapur and Mahabubnagar districts of Andhra Pradesh. J. Agrometeorol. 2009, 11, 195–199. [Google Scholar]
- Gopinath, K.A.; Dixit, S.; Srinivasarao, C.; Raju, B.M.K.; Chary, G.R.; Osman, M.; Ramana, D.B.V.; Nataraja, K.C.; Devi, K.G.; Venkatesh, G.; et al. Improving the Existing Rainfed Farming Systems of Small and Marginal Farmers in Anantapur District, Andhra Pradesh. Indian J. Dryl. Agric. Res. Dev. 2012, 27, 43–47. [Google Scholar]
- Rukmani, R.; Manjula, M. Designing Rural Technology Delivery Systems for Mitigating Agricultural Distress. A Study of Anantapur District; M.S. Swaminathan Research Foundation: Chennai, India, 2009. [Google Scholar]
- Subba Rao, N.; Devadas, D.J.; Srinivasa Rao, K.V. Interpretation of groundwater quality using principal component analysis from Anantapur district, Andhra Pradesh, India. Environ. Geosci. 2006, 13, 239–259. [Google Scholar] [CrossRef]
- McGilchrist, C.A.; Woodyer, K.D. Note on a distribution-free cusum technique. Technometrics 1975, 17, 321–325. [Google Scholar] [CrossRef]
- Taubenheim, J. An easy procedure for detecting a discontinuity in a digital time series. Zeitschrift für Meteorol. 1989, 39, 344–347. [Google Scholar]
- Sneyers, R. On the Statistical Analysis of Series of Observations; World Meterological Organizaion: Geneva, Switzerland, 1990. [Google Scholar]
- Patakamuri, S.K.; O’Brien, N. modifiedmk: Modified Mann-Kendall Trend Tests; The R project for Statistical Computing: Vienna, Austria, 2019. [Google Scholar]
- Patakamuri, S.K. trendchange: Innovative Trend Analysis and Time-Series Change Point Analysis; The R project for Statistical Computing: Vienna, Austria, 2019. [Google Scholar]
- Cheif Planning Officer. Hand Book of Statistics-Ananthapuramu District; Government of Andhrapradesh: Ananthapuramu, India, 2013.
- Pai, D.S.; Sridhar, L.; Rajeevan, M.; Sreejith, O.P.; Satbhai, N.S.; Mukhopadhyay, B. Development of a new high spatial resolution (0.25° × 0.25°) long period (1901-2010) daily gridded rainfall data set over India and its comparison with existing data sets over the region. Mausam 2014, 65, 1–18. [Google Scholar]
- Alexandersson, H. A homogeneity test applied to precipitation data. J. Climatol. 1986, 6, 661–675. [Google Scholar] [CrossRef]
- Alexandersson, H.; Moberg, A. Homogenization of Swedish Temperature Data. Part I: Homogeneity Test for Linear Trends. Int. J. Climatol. 1997, 17, 25–34. [Google Scholar] [CrossRef]
- Štěpánek, P. AnClim-Software for Time Series Analysis; Masaryk University: Brno, Czech Republic, 2008. [Google Scholar]
- Buishand, T.A. Some methods for testing the homogeneity of rainfall records. J. Hydrol. 1982, 58, 11–27. [Google Scholar] [CrossRef]
- Pettitt A Non-parametric to the Approach Problem. Appl. Stat. 1979, 28, 126–135. [CrossRef]
- Von Neumann, J. Distribution of the Ratio of the Mean Square Successive Difference to the Variance; Ann. Math. Stat. 1941, 12, 367–395. [Google Scholar] [CrossRef]
- Khaliq, M.N.; Ouarda, T.B.M.J. On the critical values of the standard normal homogeneity test (SNHT). Int. J. Climatol. 2007, 27, 681–687. [Google Scholar] [CrossRef]
- Onyutha, C. Statistical Uncertainty in Hydrometeorological Trend Analyses. Adv. Meteorol. 2016, 2016, 8701617. [Google Scholar] [CrossRef]
- Kendall, M.G.; Stuart, A. The Advanced Theory of Statistics; Charles Griffin & Company Ltd.: London, UK, 1968; Volume 2, ISBN 0-85264-069-2. [Google Scholar]
- Salas, J.D.; Delleur, J.W.; Yevjevich, V.M.; Lane, W.L. Applied Modeling of Hydrologic Time Series; Water Resources Publication: Littleton, CO, USA, 1980; ISBN 0-918334-37-3. [Google Scholar]
- Yevjevich, V.M. Stochastic Processes in Hydrology; Water Resources Publication: Fort Collins, CO, USA, 1971; ISBN 978-0918334015. [Google Scholar]
- Jenkins, G.M.; Watts, D.G. Spectral Analysis and Its Applications; Holden-Day Series in Time Series Analysis: London, UK, 1968. [Google Scholar]
- Anderson, R.L. Distribution of the Serial Correlation Coefficient. Ann. Math. Stat. 1942, 13, 1–13. [Google Scholar] [CrossRef]
- Chattopadhyay, S.; Edwards, D. Long-Term Trend Analysis of Precipitation and Air Temperature for Kentucky, United States. Climate 2016, 4, 10. [Google Scholar] [CrossRef]
- Gocic, M.; Trajkovic, S. Analysis of changes in meteorological variables using Mann-Kendall and Sen’s slope estimator statistical tests in Serbia. Glob. Planet. Chang. 2013, 100, 172–182. [Google Scholar] [CrossRef]
- Pingale, S.M.; Khare, D.; Jat, M.K.; Adamowski, J. Spatial and temporal trends of mean and extreme rainfall and temperature for the 33 urban centers of the arid and semi-arid state of Rajasthan, India. Atmos. Res. 2014, 138, 73–90. [Google Scholar] [CrossRef]
- Basistha, A.; Arya, D.S.; Goel, N.K. Analysis of historical changes in rainfall in the Indian Himalayas. Int. J. Climatol. 2009, 29, 555–572. [Google Scholar] [CrossRef]
- Van Giersbergen, N.P.A. On the effect of deterministic terms on the bias in stable AR models. Econ. Lett. 2005, 89, 75–82. [Google Scholar] [CrossRef]
- R Core Team. R: A Language and Environment for Statistical Computing; R Core Team: Vienna, Austria, 2018. [Google Scholar]
- Schönwiese, C.-D.; Rapp, J. Climate Trend Atlas of Europe—Based on Observations 1891-1990; Kluwer: Dordrecht, The Netherlands, 1997; ISBN 0792344839. [Google Scholar]
- Wijngaard, J.B.; Klein Tank, A.M.G.; Können, G.P. Homogeneity of 20th century European daily temperature and precipitation series. Int. J. Climatol. 2003, 23, 679–692. [Google Scholar] [CrossRef]
- Jaspers, A.M.J.; ter Maat, H.W.; Supit, I.; Kondaiah, S.A.R. Climate Proofing Bio-Intensive Rainfed Farming Systems, Accion Fraterna Ecology Centre Anantapur, India; Alterra: Wageningen, The Netherlands, 2012. [Google Scholar]
- Malla Reddy, Y.V. Local Impact of Climate Change: Worsening the Farmers Distress in Drought Prone Rayalaseema Region; AF Ecology Centre: Anantapuramu, India, 2015. [Google Scholar]
- Department of Mines and Geology—Govt.of Andhra Pradesh. District Survey Report—Anantappuramu District; Government of Andhra Pradesh: Andhra Pradesh, India, 2018.



| Serial Number | Station | Latitude | Longitude | Elevation (in Meters) | Record Period |
|---|---|---|---|---|---|
| 1 | Amadagur | 13°53′ | 78°01′ | 675 | 1987–2016 |
| 2 | Anantapur | 14°40′ | 77°36′ | 352 | 1981–2016 |
| 3 | Atmakur | 14°38′ | 77°21′ | 497 | 1981–2016 |
| 4 | Brahmasamudram | 14°32′ | 76°56′ | 511 | 1987–2016 |
| 5 | Bukkapatnam | 14°11′ | 77°48′ | 445 | 1981–2016 |
| 6 | Chennekothapalle | 14° 16′ | 77°37′ | 438 | 1981–2016 |
| 7 | Dharmavaram | 14°24′ | 77°43′ | 376 | 1981–2016 |
| 8 | Gooty | 15°07′ | 77°38′ | 384 | 1981–2016 |
| 9 | Guntakal | 14°09′ | 77°23′ | 456 | 1981–2016 |
| 10 | Hindupur | 13°49′ | 77°29′ | 626 | 1981–2016 |
| 11 | Kadiri | 14°06′ | 78°09′ | 520 | 1981–2016 |
| 12 | Kalyandurg | 14°32′ | 77°06′ | 556 | 1981–2016 |
| 13 | Kanaganapalle | 14°26′ | 77°31′ | 436 | 1981–2016 |
| 14 | Kanekal | 14°48′ | 77°04′ | 456 | 1981–2016 |
| 15 | Kudair | 14°43′ | 77°25′ | 422 | 1981–2016 |
| 16 | Madakasira | 13°56′ | 77°16′ | 664 | 1981–2016 |
| 17 | Mudigubba | 14°20′ | 77°57′ | 404 | 1987–2016 |
| 18 | Peddapappur | 14°55′ | 77°51′ | 262 | 1987–2016 |
| 19 | Penukonda | 14°04′ | 77°35′ | 566 | 1981–2016 |
| 20 | Puttaparthi | 14°10′ | 77°48′ | 459 | 1987–2016 |
| 21 | Rayadurg | 14°41′ | 76°51′ | 555 | 1981–2016 |
| 22 | Rolla | 13°50′ | 77°06′ | 715 | 1987–2016 |
| 23 | Singanamala | 14°48′ | 77°43′ | 310 | 1981–2016 |
| 24 | Tadimarri | 14°33′ | 77°51′ | 317 | 1987–2016 |
| 25 | Tadpatri | 14°54′ | 78°00′ | 238 | 1981–2016 |
| 26 | Tanakal | 13°55′ | 78°11′ | 612 | 1981–2016 |
| 27 | Uravakonda | 14°56′ | 77°15′ | 479 | 1981–2016 |
| Station Name | Absolute Homogeneity | Relative Homogeneity | ||
|---|---|---|---|---|
| Doubtful | Suspect | Doubtful | Suspect | |
| Amadagur | - | - | January | - |
| Anantapur | - | - | September | - |
| Atmakur | May October | Annual Summer Southwest monsoon | - | January September |
| Brahmasamudram | - | - | Annual Northeast monsoon | January |
| Chennekothapalle | January September October | - | - | Annual |
| Gooty | April Summer | - | April | - |
| Guntakal | January | April May Summer | - | - |
| Kalyandurg | - | Summer | - | - |
| Kanaganapalle | - | Summer | Northeast monsoon | - |
| Kanekal | December | Summer | - | - |
| Kudair | March | August Annual Summer | September | January |
| Mudigubba | - | - | - | January |
| Peddapappur | February March | - | Annual | February |
| Penukonda | April October Summer | - | - | - |
| Rayadurg | December | Summer | - | September |
| Singanamala | May October | - | October Northeast monsoon | Annual |
| Tadimarri | - | January | Annual | January |
| Tadpatri | October | - | - | Annual |
| Uravakonda | Summer | - | Winter | - |
| Station Name | Annual | Winter | Summer | Southwest Monsoon | Northeast Monsoon | ||||||||||
|---|---|---|---|---|---|---|---|---|---|---|---|---|---|---|---|
| MK | SS | SRC | MK | SS | SRC | MK | SS | SRC | MK | SS | SRC | MK | SS | SRC | |
| Amadaguru | −1.070 | −3.674 | −1.120 | 0.946 | 0.000 | 1.462 | 0.946 | 1.417 | 1.010 | −0.856 | −2.552 | −0.837 | −0.357 | −0.933 | −0.213 |
| Anantapur | 0.150 | 0.349 | 0.307 | 1.158 | 0.000 | 1.473 | 1.703 * | 1.825 | 1.750 * | −0.477 | −1.254 | −0.338 | −0.708 | −0.767 | −0.745 |
| Atmakur | IH | IH | IH | 1.090 | 0.000 | 1.724 * | IH | IH | IH | IH | IH | IH | 0.913 | 1.008 | 0.953 |
| Brahmasamudram | −1.534 | −5.906 | −1.622 | 0.535 | 0.000 | 0.801 | 0.999 | 1.129 | 1.244 | −1.285 | −4.447 | −1.171 | −1.820 * | −3.165 | −1.705 * |
| Bukkapatnam | 0.150 | 0.583 | 0.173 | 0.150 | 0.000 | 0.295 | 1.267 | 0.974 | 1.569 | −0.014 | −0.073 | 0.116 | −0.449 | −0.787 | −0.499 |
| Chennekottapalle | IH | IH | IH | 1.539 | 0.000 | 2.131 # | 0.844 | 0.495 | 0.746 | −0.341 | −0.729 | −0.278 | −0.640 | −1.005 | −0.797 |
| Dharmavaram | 0.000 | −0.102 | −0.077 | 0.504 | 0.000 | 0.554 | 1.171 | 1.030 | 1.213 | −0.313 | −0.827 | −0.171 | SC | SC | SC |
| Gooty | −0.218 | −0.711 | −0.179 | 0.163 | 0.000 | 0.318 | 2.438 # | 1.811 | 2.673 ⸸ | −1.022 | −2.051 | −0.843 | −0.014 | −0.007 | −0.094 |
| Guntakal | 1.839 * | 4.805 | 1.822 * | 1.131 | 0.000 | 1.642 | IH | IH | IH | 0.613 | 1.123 | 0.666 | 0.804 | 0.819 | 0.817 |
| Hindupur | −0.204 | −0.675 | −0.272 | SC | SC | SC | 1.566 | 1.490 | 1.616 | −0.817 | −2.299 | −0.773 | −0.177 | −0.176 | −0.028 |
| Kadiri | −0.259 | −0.776 | −0.202 | −0.014 | 0.000 | −0.041 | 1.444 | 1.243 | 1.729 * | −0.286 | −1.118 | −0.536 | 0.000 | 0.004 | 0.253 |
| Kalyanadurg | 1.076 | 3.322 | 1.215 | 0.395 | 0.000 | 0.729 | IH & SC | IH & SC | IH & SC | 0.477 | 0.855 | 0.633 | 0.000 | 0.060 | 0.402 |
| Kanaganapalle | 0.041 | 0.124 | 0.236 | 1.022 | 0.000 | 1.394 | IH | IH | IH | −0.232 | −0.578 | −0.202 | −0.885 | −0.894 | −0.547 |
| Kanekal | SC | SC | SC | 0.095 | 0.000 | 0.231 | IH | IH | IH | 0.232 | 0.758 | 0.283 | −0.041 | −0.106 | −0.317 |
| Kudair | IH | IH | IH | 1.553 | 0.000 | 2.525 # | IH | IH | IH | 0.477 | 0.942 | 0.573 | 0.558 | 0.461 | 0.528 |
| Madakasira | −0.150 | −0.296 | −0.187 | 0.790 | 0.000 | 1.243 | 1.566 | 1.726 | 1.636 | −0.422 | −0.950 | −0.581 | 0.259 | 0.467 | 0.746 |
| Mudigubba | −0.963 | −4.740 | −0.949 | 0.553 | 0.000 | 0.783 | 0.321 | 0.250 | 0.301 | −1.213 | −4.088 | −0.974 | SC | SC | SC |
| Pedapappuru | −2.034 # | −7.648 | −2.053 # | 0.517 | 0.000 | 0.633 | 0.517 | 0.447 | 0.656 | −1.820 * | −4.750 | −1.827 * | −1.606 | −3.189 | −1.449 |
| Penukonda | SC | SC | SC | 1.131 | 0.000 | 1.514 | 1.866 * | 1.901 | 2.080 # | SC | SC | SC | 0.831 | 1.166 | 1.033 |
| Puttaparthi | SC | SC | SC | 0.571 | 0.000 | 0.887 | 1.659 * | 1.763 | 1.716 * | −0.285 | −1.413 | −0.269 | −0.731 | −1.308 | −0.760 |
| Rayadurg | 0.667 | 2.201 | 0.663 | 0.313 | 0.000 | 0.512 | IH | IH | IH | −0.082 | −0.207 | −0.078 | SC | SC | SC |
| Rolla | −1.606 | −7.135 | −1.688 * | −0.054 | 0.000 | −0.061 | 0.178 | 0.240 | 0.335 | −0.821 | −3.933 | −0.879 | −1.392 | −3.300 | −1.444 |
| Singanamala | IH | IH | IH | 1.158 | 0.000 | 1.465 | 0.000 | −0.005 | −0.041 | −1.103 | −2.429 | −1.032 | −2.411 # | −2.716 | −2.221 # |
| Tadimarri | −0.285 | −1.175 | −0.264 | 1.463 | 0.000 | 2.172 # | 0.821 | 0.692 | 1.032 | −0.071 | −0.117 | 0.001 | SC | SC | SC |
| Tadipatri | IH | IH | IH | 0.640 | 0.000 | 0.852 | 0.123 | 0.074 | 0.139 | −0.749 | −2.002 | −0.678 | −0.736 | −1.179 | −0.826 |
| Tanakal | −0.245 | −1.052 | −0.211 | 0.913 | 0.000 | 1.280 | 0.640 | 0.504 | 0.601 | −0.504 | −1.506 | −0.443 | −0.667 | −0.799 | −0.615 |
| Uravakonda | SC | SC | SC | 0.613 | 0.000 | 1.011 | 1.812 * | 1.241 | 1.961 # | −1.703 * | −3.706 | −1.883 * | −1.076 | −1.633 | −0.934 |
| Station Name | Time Series | PW | TFPW | BCPW | MMKH | MMKY |
|---|---|---|---|---|---|---|
| Amadaguru | August | −0.47 | −0.17 | −0.51 | −1.17 | −2.45 # |
| Brahmasamudram | June | 0.54 | 0.51 | 0.43 | −0.10 | −0.30 |
| Chennekothapalle | May | 0.06 | 0.00 | 0.09 | 0.31 | 0.86 |
| Dharmavaram | May | 0.65 | 0.48 | 0.68 | 0.79 | 1.85 * |
| Dharmavaram | Northeast monsoon | −0.48 | −0.37 | −0.51 | −0.54 | −1.15 |
| Gooty | October | 0.48 | 0.28 | 0.51 | 0.71 | 0.69 |
| Hindupur | February | −0.06 | −0.06 | −0.06 | 0.51 | 0.88 |
| Hindupur | May | 1.96 # | 1.51 | 2.07 # | 1.42 | 3.19 ⸸ |
| Hindupur | June | 0.17 | 0.31 | 0.06 | 0.65 | 1.16 |
| Hindupur | Winter | 0.30 | 0.30 | 0.30 | 1.40 | 1.79 * |
| Kalyanadurg | Summer | IH | IH | IH | IH | IH |
| Kanekal | Annual | 0.28 | 0.28 | 0.48 | −0.01 | −0.02 |
| Mudigubba | May | 0.28 | 0.13 | 0.28 | 0.68 | 1.68 * |
| Mudigubba | North−east monsoon | −0.51 | −0.51 | −0.58 | −0.10 | −0.11 |
| Pedapappuru | November | −0.09 | −0.09 | −0.09 | −0.21 | −0.50 |
| Penukonda | Annual | 0.71 | 1.14 | 0.60 | 0.84 | 1.87 * |
| Penukonda | Southwest monsoon | 0.00 | −0.17 | −0.03 | −0.40 | −0.73 |
| Puttaparthi | Annual | −0.54 | −0.43 | −0.51 | −0.78 | −1.32 |
| Puttaparthi | Northeast monsoon | −1.18 | −0.96 | −1.14 | −0.73 | −2.25 # |
| Singanamala | May | −0.13 | −0.23 | −0.18 | −0.64 | −0.92 |
| Tadimarri | October | −1.74 * | −1.44 | −1.86 * | −1.64 | −2.45 # |
| Tadimarri | Northeast monsoon | −0.96 | −0.81 | −0.99 | −0.96 | −2.21 # |
| Tadipatri | November | −0.77 | −0.77 | −0.82 | −0.38 | −0.95 |
| Uravakonda | May | 1.73 * | 1.45 | 1.85 * | 1.66 * | 1.33 |
| Uravakonda | October | −0.09 | −0.03 | −0.09 | −0.42 | −0.88 |
| Uravakonda | Annual | −0.03 | −0.57 | 0.00 | −0.90 | −2.30 # |
| Stations | Series | CUSUM | SQMK |
|---|---|---|---|
| Anantapur | Summer | 1995 # | 1998 |
| Atmakur | Winter | 2015 | - |
| Brahmasamudram | Northeast monsoon | 2003 * | 2011 |
| Chennekottapalle | Winter | 2012 | - |
| Gooty | Summer | 1997 # | 2001 |
| Guntakal | Annual | 1995 | 1995 |
| Kadiri | Summer | 1999 | 1995 |
| Kudair | Winter | 2012 | - |
| Pedapappuru | Annual | 2001 | 2011 |
| Pedapappuru | Southwest monsoon | 2001 | 2001 |
| Penukonda | Summer | 1999 | 2003 |
| Puttaparthi | Summer | 1999 * | 2012 |
| Rolla | Annual | 1991 | 1993 |
| Singanamala | Northeast monsoon | 2002 * | 2011 |
| Tadimarri | Winter | 2012 | - |
| Uravakonda | Summer | 2001 | 2001 |
| Uravakonda | Southwest monsoon | 2001 | 2012 |
© 2020 by the authors. Licensee MDPI, Basel, Switzerland. This article is an open access article distributed under the terms and conditions of the Creative Commons Attribution (CC BY) license (http://creativecommons.org/licenses/by/4.0/).
Share and Cite
Patakamuri, S.K.; Muthiah, K.; Sridhar, V. Long-Term Homogeneity, Trend, and Change-Point Analysis of Rainfall in the Arid District of Ananthapuramu, Andhra Pradesh State, India. Water 2020, 12, 211. https://doi.org/10.3390/w12010211
Patakamuri SK, Muthiah K, Sridhar V. Long-Term Homogeneity, Trend, and Change-Point Analysis of Rainfall in the Arid District of Ananthapuramu, Andhra Pradesh State, India. Water. 2020; 12(1):211. https://doi.org/10.3390/w12010211
Chicago/Turabian StylePatakamuri, Sandeep Kumar, Krishnaveni Muthiah, and Venkataramana Sridhar. 2020. "Long-Term Homogeneity, Trend, and Change-Point Analysis of Rainfall in the Arid District of Ananthapuramu, Andhra Pradesh State, India" Water 12, no. 1: 211. https://doi.org/10.3390/w12010211
APA StylePatakamuri, S. K., Muthiah, K., & Sridhar, V. (2020). Long-Term Homogeneity, Trend, and Change-Point Analysis of Rainfall in the Arid District of Ananthapuramu, Andhra Pradesh State, India. Water, 12(1), 211. https://doi.org/10.3390/w12010211

