Abstract
Designing environmental flows in lowland river sections and estuaries is a challenge for researchers and managers, given their complexity and their importance, both for nature conservation and economy. The Ebro River and its delta belong to a Mediterranean area with marked anthropogenic pressures. This study presents an assessment of the relationships between mean flows (discharges) computed at different time scales and (i) ecological quality based on fish populations in the lower Ebro, (ii) bird populations, and (iii) two shellfish fishery species of socioeconomic importance (prawn, or Penaeus kerathurus, and mantis shrimp, or Squilla mantis). Daily discharge data from 2000 to 2015 were used for analyses. Mean annual discharge was able to explain the variation in fish-based ecological quality, and model performance increased when aquatic vegetation was incorporated. Our results indicate that a good ecological status cannot be reached only through changes on discharge, and that habitat characteristics, such as the coverage of macrophytes, must be taken into account. In addition, among the different bird groups identified in our study area, predators were related to river discharge. This was likely due to its influence on available resources. Finally, prawn and mantis shrimp productivity were influenced up to a certain degree by discharge and physicochemical variables, as inputs from rivers constitute major sources of nutrients in oligotrophic environments such as the Mediterranean Sea. Such outcomes allowed revisiting the environmental flow regimes designed for the study area, which provides information for water management in this or in other similar Mediterranean zones.
1. Introduction
Deltas and estuaries are complex ecosystems largely recognized for their productivity and importance, both for the economy and the conservation of nature (e.g., [1,2,3]). However, the rapid growth of human population has put these areas under increasing pressure that threatens their ecological integrity and economic value [4]. In Mediterranean aquatic ecosystems, the impacts produced by anthropogenic pressures are magnified by their increased, and often extreme, natural hydrological variability [5]. Human response to such hydrological fluctuations includes flow regulation and water extraction that frequently disrupt aquatic ecosystems and produce accentuated environmental stress [6,7,8].
There is a need to harmonize nature conservation with socioeconomic activities. The provision of environmental flow regimes (hereafter, e-flows) in the context of the Brisbane Declaration [9,10] “to sustain aquatic ecosystems which, in turn, support human cultures, economies, sustainable livelihoods, and well-being” constitutes an essential tool towards this direction. The 2012 European Commission’s “Blueprint to Safeguard Europe’s Water Resources” proposed the development of a guidance document [11] in the framework of a Common Implementation Strategy (CIS) that would provide a European definition of e-flows and a common understanding of how they should be calculated in general terms. Such a document constituted a complement for the EU Water Framework Directive (WFD) [12], which established the objective of achieving a good ecological status (which categories may be high, good, moderate, poor, or bad) in European water courses.
The ecological status of rivers in the European Union must be assessed through ecological indices (Water Framework Directive; [12]). Those based on fish offer the best sensitiveness to hydromorphological pressures [13,14], such as hydrological variations. The official index in Spain is the Mediterranean Index of Biotic Integrity (IBIMED), based on the Index of Biotic Integrity for Catalan rivers (IBICAT2010) [15] and intercalibrated in Europe [16].
Studies developed in the lower Ebro have linked fish-based ecological quality or alien fish species with flow regimes. Using data from summer 2016, Caiola et al. [17] found that the success (establishment and dispersal) of alien fishes is enhanced by flow reduction, which resulted in decreased flow velocity in the littoral zone. They determined that water velocities lower than 0.4 m/s are associated with an impacted community dominated by alien species (i.e., alien-to-native species ratio greater than 0.5). Belmar et al. [18] used interannual field data sampled between 2006 and 2015 in the lower Ebro and found relationships between hydrological indices associated with the magnitude and variability of flow regimes (using daily and hourly flow records) and ecological quality, assessed using different fish-based indices. They concluded that the index IBICAT2010 [15] is more suitable than IBICAT2b (its variant) [15] and the Improvement and Spatial extension of the European Fish Index (EFI+) [19,20] to detect ecohydrological relationships in the lower Ebro River, depending on the spatial and temporal scales considered. On one side, this further suggested that the time period considered to characterize hydrologic regimes determined the ability to observe relationships between flow indices and ecological quality. On the other side, the ability to detect such ecohydrological relationships depended on the location of the transect, even with those located within the same water unit (“masa de agua”; subdivision of surface waters to implement the WFD in Spain).
The e-flows proposed for the lower Ebro (Table 1) have little in common with the requirements of natural ecosystems or natural flow regimes, as they are not an exception to the common tendency of water management to set minimum flows that are constant for long periods [21]. The Hydrological Plan published in 1996 established such e-flows as the 10% of the natural mean interannual runoff (5% when the mean flow was greater than 80 m3/s) in the river, maintaining a provision of 100 m3/s for the mouth. In 2001, the National Hydrological Plan (PHN, in Spanish) developed the Integral Protection Plan of the Ebro Delta (PIPDE, in Spanish) to maintain its “special ecological conditions” but e-flows were defined using the same criteria as in 1996. This simplistic approach was criticized arguing that the classical methods of determining environmental flows in rivers are neither designed nor adequate for the objective of maintaining the deltas and estuaries in a good ecological status [22]. In 2007, the Commission for the Sustainability of the Ebro Land (CSTE, in Catalan), including representatives from the Catalan and Spanish governments, issued a report proposal of monthly e-flows for the river. In addition, the Royal Decree of Hydrological Planning [23] and the Technical Instruction of Hydrological Planning [24] developed normative contents regarding e-flow assessments. The Ebro’s Hydrological Plan for 2010–2015, approved in 2014, defined e-flows for the lower part of the river, much lower than those proposed by CSTE in 2007 and 2015 [25]. Finally, the Hydrological Plan for the period 2016–2021 used the same environmental regime (Table 1). Therefore, the e-flows for the lower Ebro are based solely on defining flow magnitudes. Although such magnitudes may change among months and types of year, there are not explicit rules to adjust flow variability (e.g., coefficient of variation).
Table 1.
Environmental flow regimes (in m3/s, except when flows are expressed as percentage of the natural mean interannual runoff) proposed and implemented for the lower Ebro River (and its delta) in the last 20 years (CHE (in Spanish): Ebro’s Hydrographic Confederation; PIDPE (in Spanish): Integral Protection Plan of the Ebro Delta; CSTE (in Catalan): Commission for the Sustainability of the Ebro’s Land).
Advances in measuring flow-ecology relationships allow inferring conclusions on the ecological impacts of specific flow regimes on communities, including e-flows, but further research is still necessary in order to determine the patterns of habitat complexity that may explain differences in ecohydrological relationships (sensu [26]) among river transects (and water units). Exceptional rises in magnitude, together with a general reduction in flow magnitude and variability, are common in Mediterranean main stems (such as the lower Ebro) because of dam management (with consequences on river habitats) [27]. Given the relevance of flow magnitude in e-flow regimes (Table 1), basing such flow-ecology relationships on mean discharges results relevant from a water management perspective (see examples in [28,29]). In addition, the sustainability of deltas cannot be guaranteed only with the allocation of e-flows for the fish inhabiting the low section of the river, which is the current practice in Spain and most countries. E-flows must be determined not only for the river ecosystem but also for the associated coastal and marine systems, which represents a challenge for scientists and water managers [22]. The possible effects of water quality (e.g., nutrient content) have also to be considered. In this context, a relationship between freshwater inputs from the Ebro River and coastal fishery species such as anchovy (Engraulis encransicolus) has been highlighted [30]. Major river outflows are one of the nutrient enrichment processes that maintain fishery production worldwide [31], and similar results have been obtained in other areas in Mexico [32] and Australia [33]. In this context, the littoral of the Ebro delta is suitable to study the relationship between river outflows and two shellfish fishery species: prawn (Penaeus kerathurus) and mantis shrimp (Squilla mantis). Due to their commercial value and their dependence on deltaic habitats, the delta is the only fishing ground of these species exploited by the corresponding fishermen’s society (the most important in Catalonia in terms of income). Therefore, significant relationships between river outflows and these species would have socioeconomic implications relevant for water management at catchment scale (particularly, for e-flow assessment). In addition, the delta is characterized as one of the main feeding and breeding areas of several endangered bird species, amongst which Audouin’s gull (Larus audouinii) stands out. Determining relationships between flow regimes and bird communities in the delta and in similar Mediterranean areas, as it has been done in (scarce) studies developed in other areas [34], may be essential for nature conservation.
The present study, developed in the lower Ebro and its delta, aimed to (i) deepen into the ecohydrological relationships found in Belmar et al. [18] in order to obtain additional conclusions for water managers; and (ii) complete such conclusions using other groups of organisms relevant for ecological conservation and socioeconomic activities at the delta and its littoral zone [22]. This will also provide conclusions useful for water management. Specific tasks were planned to:
- Determine the relationship between mean discharge (instead of the original set of hydrological indices in Belmar et al. [18]) averaged along the same time periods and ecological status in order to use the obtained models to calculate e-flows to preserve the good ecological status in the lower Ebro (assessing the suitability of the proposals presented up-to-date). Fish communities were characterized using not only ecological quality indices (IBICAT2010, IBICAT2b, and EFI+) but also the ratio of alien species (both in terms of richness and abundance). This allowed determination of the relationship between ecological quality and alien species, in order to validate the 0.5 threshold used by Caiola et al. [17] to consider a community as impacted.
- Introduce habitat and riparian characteristics in the models to determine the influence of habitat complexity.
- Identify potential relationships among discharge, water quality, and two (shellfish) fishery species with socioeconomic relevance (prawn, or Penaeus kerathurus, and mantis shrimp, or Squilla mantis), as well as between flows and bird populations (ecological relevance) at the delta.
2. Materials and Methods
2.1. Study Area
The Ebro Delta is one of the largest wetlands in the western Mediterranean and one of the most important estuarine zones in Europe [35,36]. Declared a Natural Park in 1983, a Special Protection Area (SPA) under the Birds Directive [37] in 2006 and a World Biosphere Reserve in 2013, more than 8000 ha are protected by the Spanish legislation. The delta has a great diversity of habitats, with endemic faunal (ornithological and ichthyologic) and halophilic floral composition [38], together with important human activities such as rice agriculture, fisheries, aquaculture, and tourism [22].
The lower Ebro River is located upstream of the delta, between the Flix Reservoir and the Tortosa Estuary (Figure 1). The lower Ebro’s hydrology, geomorphology, and ecology are strongly impacted by the operation of three dams and two weirs. This river section is divided in four water units (Figure 1) according to the current Hydrological Plan: ES091463 (from the Xerta weir to Tortosa), ES091461 (from Ascó Weir to Xerta Weir), ES091460 (from Flix dam to Ascó Weir), and ES091459 (Flix Meander). The water unit ES091461 is by far longer than the others (Figure 1). The rest of the basin is strongly regulated by nearly 200 dams, most of them built from 1940 to 1970 [39,40].
Figure 1.
Study area showing the sampling transects and gauging stations located on the water units (masses) of the low Ebro River (dams and weirs are also showed).
2.2. Data
2.2.1. Fish Data at the Lower Ebro River
Fishes were sampled from six sampling transects in the lower Ebro River (Figure 1) from 2006 to 2015, during summer or early autumn, using electrofishing. The dataset belongs to a long-term sampling developed with generalists’ objectives, where transects were selected to represent different hydromorphological typologies in the river section (for more details, see [17]) and to capture as much variability as possible. They also provided a weighed representation of the water units in the study area (as the greatest number of transects was located in the longest water unit): ES091463 (transect 1; from Xerta weir to Tortosa), ES091461 (transects 2, 3, and 4; from Ascó to Xerta), ES091460 (transect 5; from Flix to Ascó), and ES091459 (transect 6; Flix meander), respectively. One survey per year was carried out between summer and early autumn. At each transect, fish were caught with boat-based electrofishing gear that generated up to 400 V and 10 A pulsed DC, working from the downstream to the upstream direction. Following the CEN’s (“Comité Européen de Normalisation”) standards for fishing with electricity [41], each transect was 2 km long and was sampled in ten equidistant points in the littoral zone, either on the left or the right bank. At each sampling point, habitat variables (presence of aquatic vegetation and riparian land cover types; Table 2) were additionally recorded. All fish catches from the sampling points of each transect were aggregated to ensure an adequate sampling effort [17]. The habitat descriptors were expressed at the transect level calculating the proportion of the corresponding categories (aquatic vegetation and riparian land cover types) using the ten points included in each transect.
Table 2.
Habitat variables recorded at each sampling point. All point measurements were converted to percentages to describe their relative distribution at each transect.
All diadromous species were removed, as the Xerta weir prevents their movement upstream and these species can only be found in the lowermost sampling transect (Figure 1). By doing so, we ensured that this transect was comparable with the rest. Then, fish-based ecological quality was characterized through the indices IBICAT2010, IBICAT2b, and EFI+ in each sampling transect. Captures in transects 2, 3, and 4 were combined to account for the increased length of water unit ES091461, thus obtaining results comparable to those in Belmar et al. [18]. Finally, the ratio between alien and native species was computed, using richness and abundance (CPUEs; Catches Per Unit Effort).
2.2.2. Bird and Fishery Data at the Delta
The census of birds and the records of fish landings were obtained from the Ebro’s Delta Natural Park and the Verge del Carme fishermen’s society (Tarragona, Spain), respectively. The bird census consisted of species abundances in winter each year in the delta (including nesting species), which were grouped by families. Fisheries data consisted of the number of boats and the biomass fished, by means of trawling and artisanal techniques. Prawn (Penaeus kerathurus) and mantis shrimp (Squilla mantis) catches were expressed as kilograms per number of boats. They were complemented with physicochemical data (Table 3) obtained from different regional and national organizations: Ebro’s Hydrographic Confederation (CHE, in Spanish), Tarragona’s Water Consortium (CAT, in Catalan), and Catalan Water Agency (ACA, in Catalan).
Table 3.
Physicochemical variables obtained from Ebro’s Hydrographic Confederation (CHE, in Spanish), Tarragona’s Water Consortium (CAT, in Catalan), and Catalan Water Agency (ACA, in Catalan).
The abundances of bird populations (around 140 species) showed a growing tendency since the 70’s that did not cease until the 00’s, which was probably influenced by protection measures after the creation of the Natural Park. We selected, for analyses, a posterior time series (2005–2015) to ensure that the variability in bird populations was mainly caused by environmental change. Such period also allowed using coetaneous data of fish (river) and birds. Fishery data (delta) covered the same period (2005–2015).
2.2.3. Hydrological Records
Daily discharge data for the Tortosa (A027), Ascó (A163), and Flix (E002) stations (Figure 1) were obtained from the automatic network of gauging stations (SAIH, Automatic System of Hydrologic Information, in Spanish) in the Ebro Basin. Tortosa (A027) was assigned to the water unit ES091463 (transect 1), Ascó (A163) was assigned to the water units ES091461 (transects 2, 3, and 4), and ES091460 (transect 5), and Flix (E002) was assigned to the water unit ES091459 (transect 6), considering the location of the weirs and transects in the study area. Finally, Tortosa was also assigned to the delta and its littoral zone. The period 2000–2015 was selected in order to encompass the period with biological data (2005–2015; Figure 2) and at least the four previous years, to average flows along the same periods as in Belmar et al. [18].
Figure 2.
Flow series recorded in Tortosa (A027), Ascó (A163), and Flix (E002) from 2005 to 2015.
2.3. Analyses
For river fish, daily records from the three gauging stations (Tortosa, Ascó and Flix) were used to compute mean discharge values in the lower Ebro for periods of 1, 3, 6, 9, 12, 24, 36, and 48 months prior to sampling, similarly to the process applied in Belmar et al. [18]. In addition, the Pearson correlation coefficient between total annual runoff and the runoff generated only by sudden flow rises each year was computed to guide the interpretation of the effects of mean discharge on river communities. For birds, mean annual flows on a hydrological-year basis (October–September) were computed from the data of the Tortosa gauge (A027). This temporal scale has been used previously to assess relationships between flow regimes and birds [34]. For fisheries, annual flows using the hydrological year were also employed, as the hydrologic year practically matches the starting of the trawl-fishing season. Relationships among flows, fish-based ecological quality, birds, and fisheries in the low Ebro River and its delta were assessed as described below.
First, a set of general linear models (GLMs) was employed to investigate relationships between the mean discharge values, computed for the different time periods, and ecological quality (fish indices) at the lower Ebro. Given the different hydromorphological typologies represented by the transects, these models were developed to understand the ecohydrological relationships of each specific transect using temporal series, which may allow to provide water managers with useful information. Aquatic vegetation and riparian land cover were considered as independent habitat variables representing the patterns of complexity that may explain differences in ecohydrological relationships among transects. GLMs were also used to investigate the relationships between ecological quality and the ratio of alien species. Then, using the equations of the models, the values to obtain moderate or good ecological qualities (sensu the WFD) were computed.
A second set of general linear models (GLMs) was employed to test the significance of the relationships between mean annual discharge values, on one side, and birds and fisheries, on the other.
For all bird taxa, a two-step procedure was followed. (i) A between-years dissimilarity matrix was constructed using Bray–Curtis distances. This matrix was used to develop a permutational multivariate analysis of variance (PERMANOVA; [42]) for fitting linear models to the distance matrix using a permutation test with pseudo-F ratios. (ii) The Pearson correlation was used to search for relationships between mean annual discharge values and bird families and species counts, developing GLMs between discharge values and those taxa with a correlation (discharge–taxa) greater than 70% [18]. In addition, using sequentially longer periods, an iterative process was carried out to determine the possible effect of the temporal period selected on the results of two endangered species: Larus audouinii and Larus genei (the two species of Larus with enough data to use this approach).
For fisheries, the second set of GLMs was developed with the two selected species (and fishing methods) as dependent variables. Mean annual discharge values (on a hydrological-year basis) and physicochemical variables (to represent nutrient availability) were used as independent variables. Mean discharges computed using the natural year and the months of autumn, spring, and March (the month with maximum flow values) for each year were also used as independent variables. This last set of mean discharges was computed using also the flow records of the one and two years before each year. Stepwise procedures were employed to discard variables in the GLMs [43]. The assumptions of Gaussian models were verified (data series were also tested to discard the presence of autocorrelation). In addition, monthly data were used to run an integrated, autoregressive, moving average (ARIMA; [44]) time series model using flows and physicochemical variables as covariables. ARIMAs are fitted models to time series data either to better understand the data or to predict future points in these series (forecasting). The use of covariables allows determining if they improve the model, which is indicated by a reduction in the Akaike Information Criterion (AIC). All analyses were developed in R [45].
3. Results
3.1. Relationships between Flows and Fish-Based Ecological Quality in the Lower Ebro River
Total annual runoff and the runoff generated by sudden flow rises each year were highly correlated (Pearson correlation coefficient: 0.98; p < 0.001; Figure S1, Supplementary Material). Statistically significant correlations were also observed between the 9-, 12-, 24-, 36-, and 48-month average discharge values and the IBICAT2010 index, with the strongest correlation for the 12-month average (Table S1a, Supplementary Material). Transect 4 had the greatest number of significant cases and the highest R2 values observed. Transects 5 and 6 also showed statistically significant relationships between mean flows and IBICAT2010. On the contrary, transects 1, 2, and 3 did not show statistically significant results. Finally, the results obtained when transects within the water unit ES091461 (transects 2, 3, and 4) were combined were similar to those obtained in transect 4 (i.e., the means computed using periods between nine and 36 months produced statistically significant results).
In all transects, which showed an ecological status between poor and bad, the minimum flow needed to guarantee a moderate or good ecological status decreased as the period used to compute the mean flow increased (Figure 3; Table S1b, Supplementary Material). Interestingly, the greatest mean discharges were those provided by the combination of the transects 2, 3 and 4. Such flows were by far above the current mean discharge (around 300 m3/s), which is why their use was discarded from subsequent analyses (i.e., addition of habitat variables, which may in fact result unrealistic at combined scale). Transects that showed statistically significant relationships between fish indices and discharge also showed them between fish indices and the ratio of alien species (with the exception of the combination of transects 2, 3, and 4). The indices IBICAT2b and EFI+ showed less statistically significant relationships with flows, but a greater number of relationships with alien fishes was detected using IBICAT2b. All transects showed statistically significant relationships with the richness of alien species (Table S2a, Supplementary Material). A proportion of 0.5 would imply a status below moderate in almost all of them and below good in all of them (Figure 3; Table S2b, Supplementary Material). In addition, whereas transect 6 showed a relative tolerance to alien individuals to achieve a moderate ecological status, transect 5 showed a very low tolerance (Figure 3).
Figure 3.
Mean discharges (m3/s) computed with different periods (9, 12, 24, 36, and 48 months) and maximum proportion of alien individuals and species acceptable to ensure moderate (left) and good (right) ecological status in the transects with statistically significant results (significance levels: * p < 0.05; ** p < 0.01; *** p < 0.001).
When habitat variables (aquatic vegetation and riparian land cover) were added to mean flow (12-month period, as it provided the greatest coefficients of determination) to explain variations in ecological quality (IBICAT2010, given its greater sensitiveness to flows), results improved for all transects, with coefficients of determination that reached even almost 90% (Table 4). Whereas the use of mean flows did not provide statistically significant results in transects 2 and 3, the overall coverage of aquatic vegetation and the coverage of specific aquatic macrophytes (Ceratophyllum) produced significant p-values. In addition, by considering a coverage of 0% (to simulate the suppression of macrophytes), the flows necessary to achieve a moderate or good ecological status in transect 5 diminished (Figure 4; Table S3, Supplementary Material).
Table 4.
Coefficients of determination (R2) of the general linear models (GLMs) for the different river transects (T) using ecological quality (IBICAT2010) as dependent variable and mean discharge (12-month period; “qmean_12”) and habitat variables as independent variables, through a stepwise selection procedure.
Figure 4.
Mean discharges computed with a 12-month period necessary to achieve a moderate and good ecological status in the transects (T) in the absence of aquatic vegetation (significance levels: * p < 0.05; *** p < 0.001).
3.2. Relationships between Flows, Birds, and Fisheries at the Ebro Delta
Although the PERMANOVA analysis revealed that the bird community was not related to annual flows (p > 0.05), some species did show correlations. Such was the case of Circus aeruginosus, Accipiter nisus, Grus grus, and Tringa stagnatilis. After inspecting the GLMs, the latter was discarded because it did not fit the assumptions of Gaussian models. Regarding taxonomic groups, only predators were significantly correlated with mean annual flows (Table 5). No statistically significant relationship was found between nesting species and mean flows (p > 0.05). Finally, the iteration process carried out to determine the effect of the temporal framework on Larus species revealed that the results were not significant in practically any case. The coefficients of determination obtained were never greater than 0.25, independently of the time series used (Table 6).
Table 5.
Coefficients of determination (R2) of the general linear models (GLMs) using bird species and groups as dependent variable and mean annual discharge as independent variable. Taxa and groups with non-significant values are not shown.
Table 6.
Coefficients of determination (R2) of the general linear models (GLMs), using two endangered bird species (Larus audouinii and Larus genei) as the dependent variable and mean annual discharge as the independent variable, within an iteration process with different years.
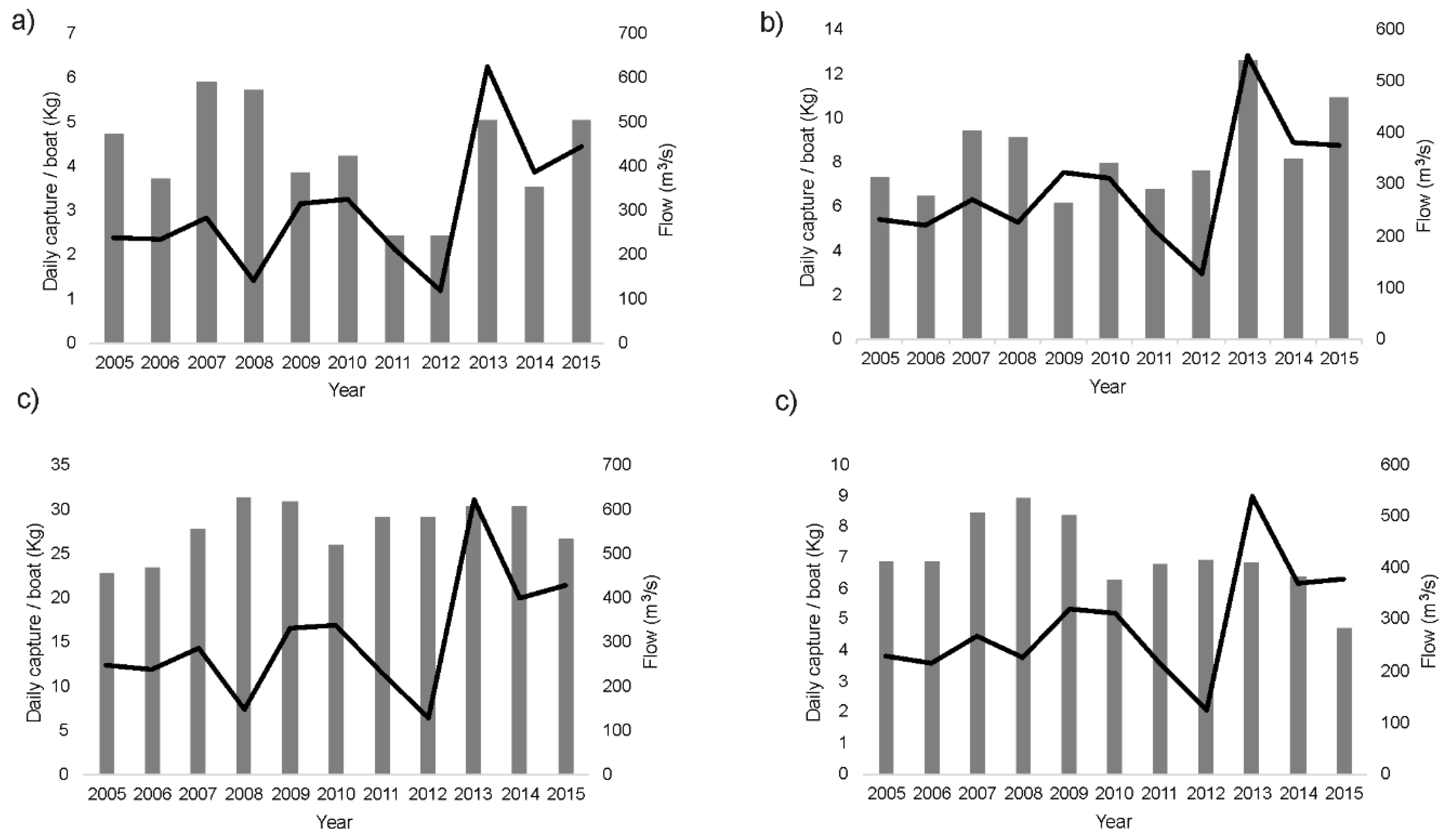
The studied fisheries in the delta seemed to respond to annual flows in the case of prawns (Penaeus kerathurus; Figure 5), but they were significantly related only for those fished through traditional techniques (Table 7a). The models did not improve using physicochemical variables. The only exception was the case of mantis shrimps fished through trawling, but the model discarded annual flows (Table 7b). On the contrary, at a monthly scale, the ARIMA analysis showed that only the use of physicochemical covariables improved the models: dissolved inorganic phosphorous, phytoplankton, and zooplankton mainly (Table 8). Monthly flows did not have the ability to reduce the AIC. However, the flows of the previous two years, spring, March, and the previous two autumns did provide some additional statistically significant results according to the corresponding GLMs (Table 9).
Figure 5.
Annual average captures by number of boats (columns, first axis) and flows (line, secondary axis) and for the fishery species selected and the two techniques used: (a) Prawn and trawling, (b) prawn and other techniques; (c) mantis shrimp and trawling; and (d) mantis shrimp and other techniques.
Table 7.
(a) Coefficients of determination (R2) of general linear models (GLMs) using the selected fishery taxa and techniques (a: trawling; b: other techniques) as the dependent variable and annual flows based on hydrological year (Flow) as the independent variable. (b) Results using annual flows and physicochemical variables (see Table 3 for details) as independent variables, through a stepwise selection procedure.
Table 8.
Akaike Information Criterion (AIC) for different covariables (see details in Table 3), obtained employing integrated, autoregressive, moving average (ARIMA) time series models on the selected fishery taxa and technique (a: trawling; b: other techniques). The co-variables that reduced the AIC are in bold.
Table 9.
Coefficients of determination (R2) and signs of coefficients of general linear models (GLMs) developed using the selected fishery taxa and technique (a: trawling; b: other techniques) as the dependent variable and flows averaged along different periods as the independent variables (“Indep. var.”; “-2” indicates that it is the value from two years ago), through a stepwise selection procedure. Only variables with relevant results are shown.
4. Discussion
This study shows relationships between water discharge, riverine fishes, bird diversity, and coastal (shellfish) fisheries. Based on a dataset with more than ten years of records (which is scarce in bibliography), it constitutes a contribution to validating sustainable management strategies in the lower Ebro River and its delta (and in similar areas), and; therefore, to water management. The environmental flow regimes proposed up-to-date would result as insufficient in the river, according to the models developed. However, controlling the development of macrophytes may allow for the achievement of the same objectives of quality with lower volumes. This is coherent with previous research that highlighted that some consequences of flow alterations can be remedied by physical habitat alterations, such as encroaching aquatic vegetation removed by mechanical clearing in absence of scouring flows, but pointed out that the long-term effectiveness and sustainability of such actions are in many cases likely to be low [15]. This study contributes to the understanding of the connection among flows, macrophytes, and fish, as well as ecological (i.e., birds) and socioeconomical (i.e., fisheries) components of the delta, in order to provide water managers with valuable information to guide their decisions.
4.1. Fish-Based Ecological Quality and Flows in the Lower Ebro
Fish-based ecological quality may respond to mean discharge, depending on the spatial and temporal scale considered, but water management and e-flow assessment must pay attention to the specific mechanisms that explain such variability. Like in the study developed by Belmar et al. [18], ecological quality (IBICAT2010) showed positive relationships with flow magnitude in the lower Ebro River and a 12-months span provided the best results, which is likely related to the relationship between total annual runoff and the runoff caused by sudden flow rises (given their ecological relevance). Such results were conditioned by spatial heterogeneity (sensu [46]), as local conditions (e.g., aquatic vegetation) influenced fish communities. Fish-based indices are not focused on one “objective” species, contrarily to habitat suitability models, which means that ecohydrological relationships are more difficult to establish using only hydrological information. Nevertheless, approaches at community level like this one are necessary because the use of “objective” species ignore vital ecological linkages [47]. Our results indicate that combining transects to obtain results representative at a greater spatial scale for a long water unit [18] may condition the applicability of the results, given that this may provide too high discharge thresholds to achieve a predefined ecological status or not be realistic (as aquatic vegetation must also be considered). Additional research will allow better understanding this output, which seems to evidence the importance of considering the influence of multiple environmental factors (i.e., not just flow) and spatial scale on the ability of species to complete their life cycles and thus persist as members of a community, as Poff [47] highlighted. This helps to anticipate under what circumstances flow interventions will be successful in sustaining socially valued ecological characteristics. In this sense, the choice of a suitable quality index to establish meaningful ecohydrological relationships may depend on the specific objective. IBICAT2b showed greater sensitiveness to the ratio of the richness of alien species (as the relationships were statistically significant in all transects). The fact that a proportion above 0.5 would imply an ecological status below good in all of them seems to confirm the suitability of such criterion to define a community as impacted within the approach to biologically validate environmental flows proposed by Caiola et al. [17].
Ecological quality may be improved both with relatively high mean flows during a short period and with lower flows during longer periods, given that the relationship between time span and flow magnitude is inverse. Such inverse relationship must be interpreted with caution, as it has been observed within the temporal framework established by Belmar et al. [18], who did not find relationships between daily flow records and ecological quality out of the temporal range observed here (between 9 and 48 months). Additional factors, such as aquatic habitats, may help to better understand this inverse relationship (see text about macrophytes in the paragraph below). Within the stated temporal range, longer periods (more months) involve greater uncertainty, as they are associated with lower coefficients of determination. In general, both a good and a moderate ecological status are unreachable only through increases in mean flows, as the required flow values are way greater than the current mean values. The annual mean for the series considered in this study is around 300 m3/s (period 2005–2015), whereas the historical annual mean discharge (423 m3/s for the period 1912–2014) is greater, similar to the flow necessary to achieve a moderate ecological status when the span considered increases up to 36 months (435 m3/s) and also similar to the value necessary to achieve a good status (492 m3/s). This evidences that the current ecological status of the river is the result of a process of degradation caused by a gradual increase in hydrologic stress (mostly caused by water demands) and also that flow regimes closer to the natural regime would be capable to provide a better ecological status. Nevertheless, we must emphasize the necessity to interpret our results with caution. Given that all samples showed an ecological status between poor and bad, the discharge needed to achieve a moderate and good status had to be extrapolated, which involves incertitude. Despite this limitation, the dataset employed in this study results very valuable because biological series with more than 10 years of data are scarce in bibliography.
Measures additional to water provisioning are needed to improve the ecological quality in the lower Ebro River, such as controlling aquatic vegetation (macrophyte development). Such vegetation showed to represent spatial heterogeneity effectively, as it improved the models in those transects where flows provided poor results on their own (practically all of them except transect 4). The coverage of aquatic vegetation seems to be in general inversely related to ecological quality (IBICAT2010), which was also the case of Ceratophilum and Myriophyllum (associated with stagnant waters). Therefore, in those transects where both discharge and macrophytes influence ecological quality, reducing their coverage would imply lower discharges to achieve the same ecological status (e.g., transect 5). This could be related to the inverse relationship between water discharge and macrophytes observed in the study area by Ibáñez et al. [48]. They showed that flows with enough magnitude and duration reduced macrophyte abundance, given that lower discharges can allow vegetation to encroach into river channels. Our results also suggest that increased macrophyte coverage is accompanied by an increase in alien species. During the fieldwork conducted, alien species were more abundant than native species in habitats rich in aquatic macrophytes, which have spread in the study area as the degree of regulation has increased during the last years together with the corresponding reductions in mean discharge [48] (given that both alien plants and animals are more vulnerable to flood scour [49]). The effects of flows on ecological quality (fish communities) seem thus to be direct and indirect. Direct effects would be related to the suitability of the conditions generated by flows (e.g., depth, sediment transport, etc.) for fish, whereas indirect effects would be associated with other factors that may also influence fish communities (i.e., macrophytes). The ecological index employed (which uses metrics based on alien species) and the fact that flow discharge is currently below the natural regime may help to understand the inverse relationship between time span and flow magnitude observed to achieve a certain ecological status. Greater flows (more close to the natural regime) may produce flood scour in a shorter period, with a positive effect on ecological quality (given its negative effect on alien species). Further research is necessary to fully understand the relationships among these factors, as well as to understand the ecological responses to individual hydrologic events or sequences of events at other ecological resolution such as process rates and species traits [47].
4.2. Effects of River Flows on Birds and Fisheries in the Delta
The relationship between flows and bird communities showed as being restricted to a few taxa. Only some species typical of lacustrine or riverine environments (Accipiter nisus is associated with forests, but can also inhabit riparian understory; [50]), and the group of predators, were related to mean annual discharge. Lowland species that feed on submerged prey or macrophytes from the water surface are vulnerable to changes in flow regimes, because such species may display negative relationships with high flow frequency and duration [34], as foraging efficiency is likely to be severely compromised under conditions of elevated water velocity, depth and turbidity [51]. However, we found a positive relationship between flows and predators. This might be due to an indirect relationship between river flow and abundance of prey birds in the delta caused by an increase in their availability in rainy years, but this issue requires further research. Marine birds such as seagulls did not provide correlations greater than 70%. The iterative process developed on two Larus species revealed a small effect of the temporal framework on the results, as the coefficients of determination were always low (and usually non-significant). However, the last iterations (from 1995–2012 to 1995–2014) showed a reduction in the values of the coefficients that also deserves further investigation. Such reduction may indicate a weakening in the dependence of these species on flows, probably caused by other factors associated with the decreasing trends in populations detected in the last years such as changes in fishing practices by boats (e.g., prohibition of returning fishing discards to sea).
The significant relationships between discharge (together with the additional indices calculated for fisheries) and some fishery groups detected evidence that flow magnitude may have implications for socioeconomic activities, although other factors must be considered. The influence of water physicochemical characteristics associated with river nutrients on populations at a monthly scale is relevant for seasonal water management, as nutrients determine the availability of nourishment in an oligotrophic environment such as the Mediterranean Sea [52]. For example, monitoring variations in the parameters highlighted in this study (chlorophyll, phytoplankton, zooplankton, dissolved inorganic phosphorous, total organic carbon, and suspended matter) may allow anticipating monthly variations in the fishery groups selected. Fishery management must also take into consideration that the effect of discharge on populations depends on the temporal scale, species, and fishing technique considered. For example, only prawns caught with traditional techniques showed a statistically significant annual response. In addition, the flows experienced in March, spring, and during the two previous years are good candidates to be taken into consideration by water managers in order to anticipate changes in fish productivity. Such relationships are also related to nutrient enrichment processes caused by discharge [31,32,33], but further research is necessary to explain the specific mechanisms that link river flows and fish productivity in coastal areas like this one. In this context, the relationships observed in this study involve a reduced number of factors (i.e., hydrologic regime and nutrient content), which results as relevant for water management at the catchment scale to assess environmental flow regimes. More accurate models could be developed to account for more variables associated with other factors, such as water pollution (which was out of the scope and would require a greater number of cases). In addition, analyses based on other species may allow a broader knowledge in terms of how fisheries respond to river flows. Distinguishing among reproductive strategies and species’ location in the water column will result as essential.
Supplementary Materials
The following are available online at https://www.mdpi.com/2073-4441/11/5/918/s1, Figure S1: Plot showing the relationship between annual runoff and the runoff caused by sudden flow rises (hm3) each year, Table S1: (a) Coefficients of determination (R2) of the General Linear Models (GLMs) for the different river transects (T) developed using IBICAT2010 as the dependent variable and (i) the mean discharge (qmean) computed with different months, (ii) the proportion of alien individuals (CPUEI_I_T) and (iii) the proportion of alien species (R_I_T), as independent variables (Indep. var.) (b) Modelled mean discharges (m3/s) to achieve the moderate and good ecological status for each transect at each period, Table S2: (a) Coefficients of determination (R2) of the General Linear Models (GLMs) for the different river transects (T) developed using IBICAT2b and EFI+ as dependent variables (Dep. var.) and (i) the mean discharge (qmean) computed with different months, (ii) the proportion of alien individuals (CPUEI_I_T) and (iii) the proportion of alien species (R_I_T) as independent variables (Indep. var.). (b) Modelled mean discharges (m3/s) to achieve moderate and good ecological status for each transect at each period, Table S3: Coefficients of determination (R2) using only mean annual flow (12-month period) as the independent variable to explain ecological quality using the IBICAT2010 index.
Author Contributions
Conceptualization, C.I. and N.C.; data curation, O.B. and A.F.; formal analysis, O.B.; methodology, O.B.; supervision, C.I. and N.C.; writing—original draft, O.B.; writing—review and editing, C.I. and N.C.
Funding
This study was developed through an agreement on the ecological status of the low Ebro River and its estuary between IRTA (“Institut de Recerca i Tecnologia Agroalimentàries”) and ACA (“Agència Catalana de l’Aigua”), which acted as financial supporter.
Acknowledgments
We wish to thank “Confederación Hidrográfica del Ebro” for providing their flow records, Antoni Curcó for its guidance on bird data and Carles Alcaraz, Núria Vila-Martínez, David Mateu and Lluis Jornet for the fieldwork conducted. The authors also acknowledge support from the CERCA Programme/Generalitat de Catalunya.
Conflicts of Interest
The authors declare no conflicts of interest. The funders had no role in the design of the study; in the collection, analyses, or interpretation of data; in the writing of the manuscript, or in the decision to publish the results.
References
- McLusky, D.S. Estuarine benthic ecology: A European perspective. Aust. Ecol. 1999, 24, 302–311. [Google Scholar] [CrossRef]
- Peirson, W.; Bishop, K.; Van Senden, D.; Horton, P.; Adamantidis, C. Environmental Water Requirements to Maintain Estuarine Processes; Environment Australia: Canberra, Australia, 2002.
- Russell, M.J.; Montagna, P.A.; Kalke, R.D. The effect of freshwater inflow on net ecosystem metabolism in Lavaca Bay, Texas. Estuar. Coast. Shelf Sci. 2006, 68, 231–244. [Google Scholar] [CrossRef]
- Dauer, D.M.; Ranasinghe, J.A.; Weisberg, S.B. Relationships between benthic community condition, water quality, sediment quality, nutrient loads, and land use patterns in Chesapeake Bay. Estuaries 2000, 23, 80–96. [Google Scholar] [CrossRef]
- Gasith, A.; Resh, V.H. Streams in Mediterranean climate regions: Abiotic influences and biotic responses to predictable seasonal events. Annu. Rev. Ecol. Syst. 1999, 30, 51–81. [Google Scholar] [CrossRef]
- Caiola, N.; Vargas, M.J.; de Sostoa, A. Feeding ecology of the endangered Valencia toothcarp, Valencia hispanica (Actinopterygii: Valenciidae). Hydrobiologia 2001, 448, 97–105. [Google Scholar] [CrossRef]
- Caiola, N.A.; Vargas, M.J.; de Sostoa, A. Life history pattern of the endangered Valencia toothcarp, Valencia hispanica (Actinopterygii: Valenciidae) and its implications for conservation. Arch. Hydrobiol. 2001, 150, 473–489. [Google Scholar] [CrossRef]
- Ferreira, T.; Oliveira, J.; Caiola, N.; De Sostoa, A.; Casals, F.; Cortes, R.; Economou, A.; Zogaris, S.; Garcia-Jalon, D.; Ilhéu, M. Ecological traits of fish assemblages from Mediterranean Europe and their responses to human disturbance. Fish. Manag. Ecol. 2007, 14, 473–481. [Google Scholar] [CrossRef]
- Arthington, A.H.; Bhaduri, A.; Bunn, S.E.; Jackson, S.E.; Tharme, R.E.; Tickner, D.; Young, B.; Acreman, M.; Baker, N.; Capon, S.; et al. The Brisbane Declaration and Global Action Agenda on Environmental Flows (2018). Front. Environ. Sci. 2018, 6, 45. [Google Scholar] [CrossRef]
- Brisbane Declaration. The Brisbane Declaration: Environmental flows are essential for freshwater ecosystem health and human well-being. In Proceedings of the 10th International River Symposium, Brisbane, Australia, 3–6 September 2007. [Google Scholar]
- European Commission. A Blueprint to Safeguard Europe’s Water Resources; European Commission: Brussels, Belgium, 2012. [Google Scholar]
- European Commission. Ecological Flows in the Implementation of the Water Framework Directive. Guidance Document No. 31; European Commission: Brussels, Belgium, 2015. [Google Scholar]
- Ormerod, S.J. Current issues with fish and fisheries: editor’s overview and introduction. J. Appl. Ecol. 2003, 40, 204–213. [Google Scholar] [CrossRef]
- Schinegger, R.; Pucher, M.; Aschauer, C.; Schmutz, S. Configuration of multiple human stressors and their impacts on fish assemblages in Alpine river basins of Austria. Sci. Total Environ. 2018, 616, 17–28. [Google Scholar] [CrossRef] [PubMed]
- Sostoa, A.D.; Caiola, N.; Casals, F.; García-Berthou, E.; Alcaraz Cazorla, C.; Benejam Vidal, L.; Maceda-Veiga, A.; Solà, C.; Munné, A. Ajust de L’índex d’Integritat Biòtica (IBICAT) Basat en L’ús Dels Peixos Com a Indicadors de La Qualitat Ambiental Als Rius de Catalunya; Generalitat de Catalunya: Barcelona, Spain, 2010. [Google Scholar]
- Segurado, P.; Caiola, N.; Pont, D.; Oliveira, J.M.; Delaigue, O.; Ferreira, M.T. Comparability of fish-based ecological quality assessments for geographically distinct Iberian regions. Sci. Total Environ. 2014, 476, 785–794. [Google Scholar] [CrossRef] [PubMed]
- Caiola, N.; Ibáñez, C.; Verdú, J.; Munné, A. Effects of flow regulation on the establishment of alien fish species: A community structure approach to biological validation of environmental flows. Ecol. Indic. 2014, 45, 598–604. [Google Scholar] [CrossRef]
- Belmar, O.; Vila-Martínez, N.; Ibáñez, C.; Caiola, N. Linking fish-based biological indicators with hydrological dynamics in a Mediterranean river: Relevance for environmental flow regimes. Ecol. Indic. 2018, 95, 492–501. [Google Scholar] [CrossRef]
- Pont, D.; Hugueny, B.; Beier, U.; Goffaux, D.; Melcher, A.; Noble, R.; Rogers, C.; Roset, N.; Schmutz, S. Assessing river biotic condition at a continental scale: A European approach using functional metrics and fish assemblages. J. Appl. Ecol. 2006, 43, 70–80. [Google Scholar] [CrossRef]
- Pont, D.; Hugueny, B.; Rogers, C. Development of a fish-based index for the assessment of river health in Europe: The European Fish Index. Fish. Manag. Ecol. 2007, 14, 427–439. [Google Scholar] [CrossRef]
- Renöfält, B.M.; Jansson, R.; Nilsson, C. Effects of hydropower generation and opportunities for environmental flow management in Swedish riverine ecosystems. Freshw. Biol. 2010, 55, 49–67. [Google Scholar] [CrossRef]
- Ibáñez, C.; Prat, N. The environmental impact of the Spanish national hydrological plan on the lower Ebro river and delta. Int. J. Water Resour. Dev. 2003, 19, 485–500. [Google Scholar] [CrossRef]
- MAM. Real Decreto 907/2007, de 6 de julio, por el que se aprueba el Reglamento de la Planificación Hidrológica. In Boletín Oficial del Estado; Ministerio de Medio Ambiente: Madrid, Spain, 2007; Volume 162, pp. 1–53. [Google Scholar]
- MARM. Orden ARM 2656/2008, de 10 de septiembre, por la que se aprueba la Instrucción de Planificación Hidrológica. In Boletín Oficial del Estado; Ministerio de Medio Ambiente, y Medio Rural y Marino: Madrid, Spain, 2008; Volume 229, pp. 38472–38582. [Google Scholar]
- CSTE. Revisió i Actualització de la Proposta de Règim de Cabals Ecològics al Tram Final del Riu Ebre, Delta i Estuari; CSTE, Generalitat de Catalunya: Barcelona, Spain, 2015. [Google Scholar]
- Livingston, R.J.; Diaz, R.J.; White, D.C. Field Validation of Laboratory-Derived Multispecies Aquatic Test Systems; United States Environmental Protection Agency, Office of Research and Development, Environmental Research Laboratory: Gulf Breeze, FL, USA, 1985.
- Belmar, O.; Bruno, D.; Martínez-Capel, F.; Barquín, J.; Velasco, J. Effects of flow regime alteration on fluvial habitats and riparian quality in a semiarid Mediterranean basin. Ecol. Indic. 2013, 30, 52–64. [Google Scholar] [CrossRef]
- Feyrer, F.; Healey, M.P. Fish community structure and environmental correlates in the highly altered southern Sacramento-San Joaquin Delta. Environ. Biol. Fish. 2003, 66, 123–132. [Google Scholar] [CrossRef]
- Costa, M.J.; Vasconcelos, R.; Costa, J.L.; Cabral, H.N. River flow influence on the fish community of the Tagus estuary (Portugal). Hydrobiologia 2007, 587, 113–123. [Google Scholar] [CrossRef]
- Lloret, J.; Palomera, I.; Salat, J.; Sole, I. Impact of freshwater input and wind on landings of anchovy (Engraulis encrasicolus) and sardine (Sardina pilchardus) in shelf waters surrounding the Ebre (Ebro) River delta (north-western Mediterranean). Fish. Oceanogr. 2004, 13, 102–110. [Google Scholar] [CrossRef]
- Caddy, J.; Bakun, A. A tentative classification of coastal marine ecosystems based on dominant processes of nutrient supply. Ocean. Coast. Manag. 1994, 23, 201–211. [Google Scholar] [CrossRef]
- Deegan, L.A.; Day, J.W.; Gosselink, J.G.; Yáñez-Arancibia, A.; Chávez, G.S.; Sánchez-Gil, P. Relationships among physical characteristics, vegetation distribution and fisheries yield in Gulf Mexico estuaries. In Estuarine Variability; Wolfe, D.A., Ed.; Academic Press: Cambridge, MA, USA, 1986; pp. 83–100. [Google Scholar]
- Loneragan, N.R. River flows and estuarine ecosystems: Implications for coastal fisheries from a review and a case study of the Logan River, southeast Queensland. Aust. J. Ecol. 1999, 24, 431–440. [Google Scholar] [CrossRef]
- Royan, A.; Hannah, D.M.; Reynolds, S.J.; Noble, D.G.; Sadler, J.P. River birds’ response to hydrological extremes: New vulnerability index and conservation implications. Biol. Conserv. 2014, 177, 64–73. [Google Scholar] [CrossRef]
- Colomé, J.V.F.; Sancho, J.C.; Comín, F.A. Los medios acuáticos del Delta del Ebro y su capacidad de producción. Rev. Obras Publ. 1997, 3368, 67–71. [Google Scholar]
- Day, J.W., Jr.; Maltby, E.; Ibáñez, C. River basin management and delta sustainability: A commentary on the Ebro Delta and the Spanish National Hydrological Plan. Ecol. Eng. 2006, 26, 85–99. [Google Scholar] [CrossRef]
- European Parlament. Directive 2009/147/EC of the European Parliament and of the Council of 30 November 2009 on the conservation of wild birds. Off. J. Eur. Union 2010, 20, 7–25. [Google Scholar]
- Ibáñez, C.; Prat, N.; Canicio, A.; Curcó, A. El delta del Ebro: Un Sistema Amenazado; Bakeaz: Bilbao, Spain, 1999. [Google Scholar]
- Ibáñez, C.; Alcaraz, C.; Caiola, N.; Rovira, A.; Trobajo, R.; Alonso, M.; Duran, C.; Jiménez, P.J.; Munné, A.; Prat, N. Regime shift from phytoplankton to macrophyte dominance in a large river: Top-down versus bottom-up effects. Sci. Total Environ. 2012, 416, 314–322. [Google Scholar] [CrossRef]
- Nebra, A.; Caiola, N.; Ibáñez, C. Community structure of benthic macroinvertebrates inhabiting a highly stratified Mediterranean estuary. Sci. Mar. 2011, 75, 577–584. [Google Scholar]
- CEN. Water Quality—Sampling of Fish with Electricity. European Standard EN; CEN: Brussels, Belgium, 2003. [Google Scholar]
- McArdle, B.H.; Anderson, M.J. Fitting multivariate models to community data: A comment on distance-based redundancy analysis. Ecology 2001, 82, 290–297. [Google Scholar] [CrossRef]
- Venables, W.; Ripley, B. Random and mixed effects. In Modern Applied Statistics with S; Springer: Berlin, Germany, 2002; pp. 271–300. [Google Scholar]
- Box, G.E.; Jenkins, G.M. Time Series Analysis: Forecasting and Control; Holden-Day: San Francisco, CA, USA, 1976. [Google Scholar]
- R Core Team. R: A Language and Environment for Statistical Computing; R Core Team: Vienna, Austria, 2017. [Google Scholar]
- Livingston, R.J. Field sampling in estuaries: The relationship of scale to variability. Estuaries 1987, 10, 194–207. [Google Scholar] [CrossRef]
- Poff, N.L. Beyond the natural flow regime? Broadening the hydro-ecological foundation to meet environmental flows challenges in a non-stationary world. Freshw. Biol. 2018, 63, 1011–1021. [Google Scholar] [CrossRef]
- Ibáñez, C.; Caiola, N.; Rovira, A.; Real, M. Monitoring the effects of floods on submerged macrophytes in a large river. Sci. Total Environ. 2012, 440, 132–139. [Google Scholar] [CrossRef]
- Power, M.E.; Dietrich, W.E.; Finlay, J.C. Dams and downstream aquatic biodiversity: Potential food web consequences of hydrologic and geomorphic change. Environ. Manag. 1996, 20, 887–895. [Google Scholar] [CrossRef]
- SEO/BirdLife. Guía de Aves. Available online: https://www.seo.org/listado-aves/ (accessed on 29 April 2019).
- Vilches, A.; Arizaga, J.; Salvo, I.; Miranda, R. An experimental evaluation of the influence of water depth and bottom color on the common kingfisher’s foraging performance. Behav. Process. 2013, 98, 25–30. [Google Scholar] [CrossRef]
- Margalef, R. Introduction to the Mediterranean. In Key Environments: Western Mediterranean; Pergamon Press: Oxford, UK, 1985. [Google Scholar]
© 2019 by the authors. Licensee MDPI, Basel, Switzerland. This article is an open access article distributed under the terms and conditions of the Creative Commons Attribution (CC BY) license (http://creativecommons.org/licenses/by/4.0/).




