Numerical Modeling and Hydraulic Optimization of a Surge Tank Using Particle Swarm Optimization
Abstract
:1. Introduction
2. Material and Methods
2.1. Governing Equations
2.2. Method of Characteristics
2.3. Boundary Conditions
2.3.1. Reservoir
2.3.2. In-Line Surge Tank
2.3.3. Free Discharge Valve at the End
2.4. Stability Criteria
2.4.1. Minimum Area of Surge Tank
2.4.2. Vortex Control
- The minimum possible down surge that can be created in the system is calculated, which is defined as objective function 2 in Section 2.5.3;
- From this minimum water surface elevation, the bottom surface elevation of the surge tank is subtracted to obtain the height of the minimum water column in the tank;
- Then, the critical submergence for the possible suction vortex is calculated using the Gordon equation [42]:where Scr is the critical submergence depth; c is an empirical coefficient whose value ranges from 0.55 to 0.73 (c = 0.55 for symmetrical intake); V is the velocity at intake; and d is the diameter of the pipe at intake, and for this case, the velocity and the diameter of penstock pipe are considered to check vortex formation in the surge tank.
2.5. Optimization
2.5.1. Objective Function 1
2.5.2. Objective Function 2
2.5.3. Objective Function 3
2.6. Normalization
2.7. Variables and Constraints
2.8. Acceptance Region
2.9. Particle Swarm Optimization
3. Results and Discussions
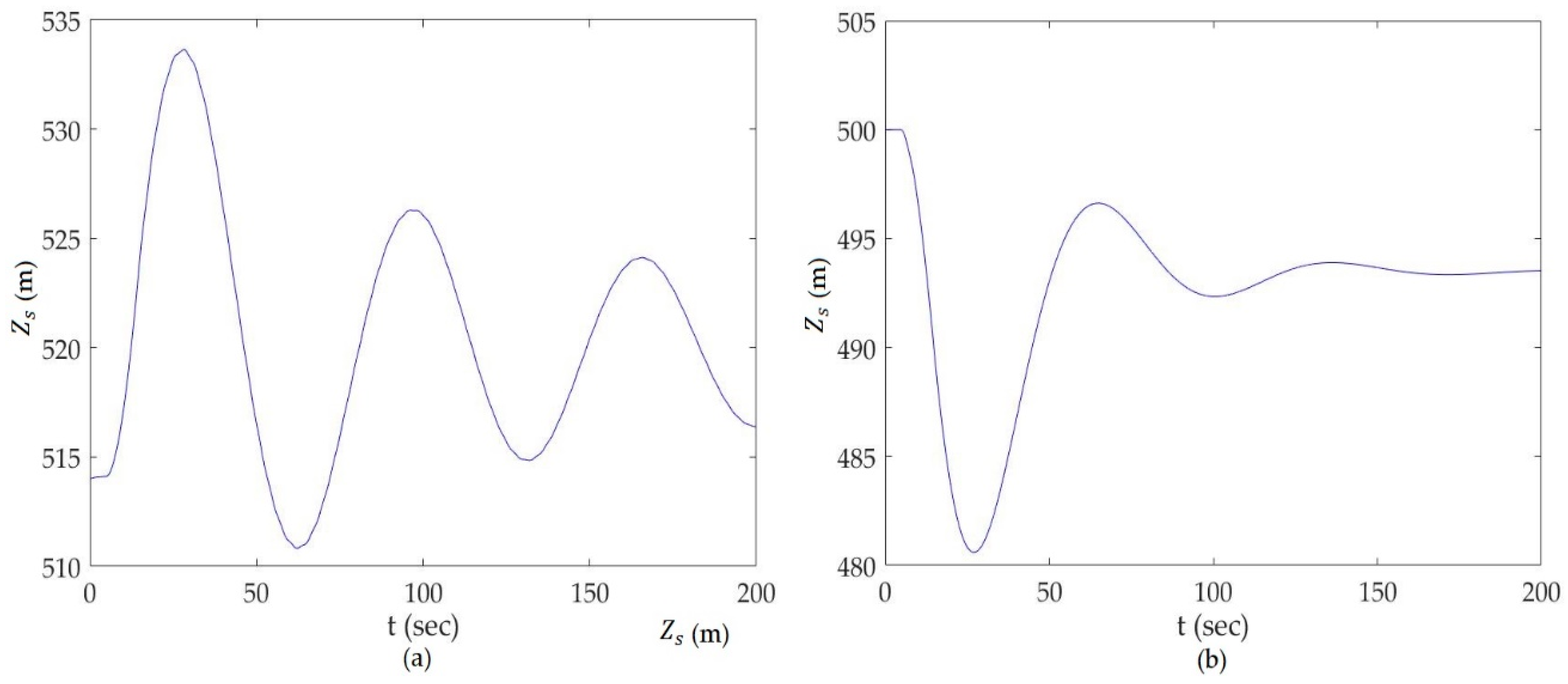
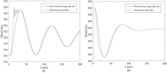
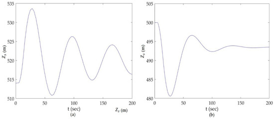
3.1. Surge Analysis
3.2. Effects of Changing Do and Ds
3.3. Optimization with PSO
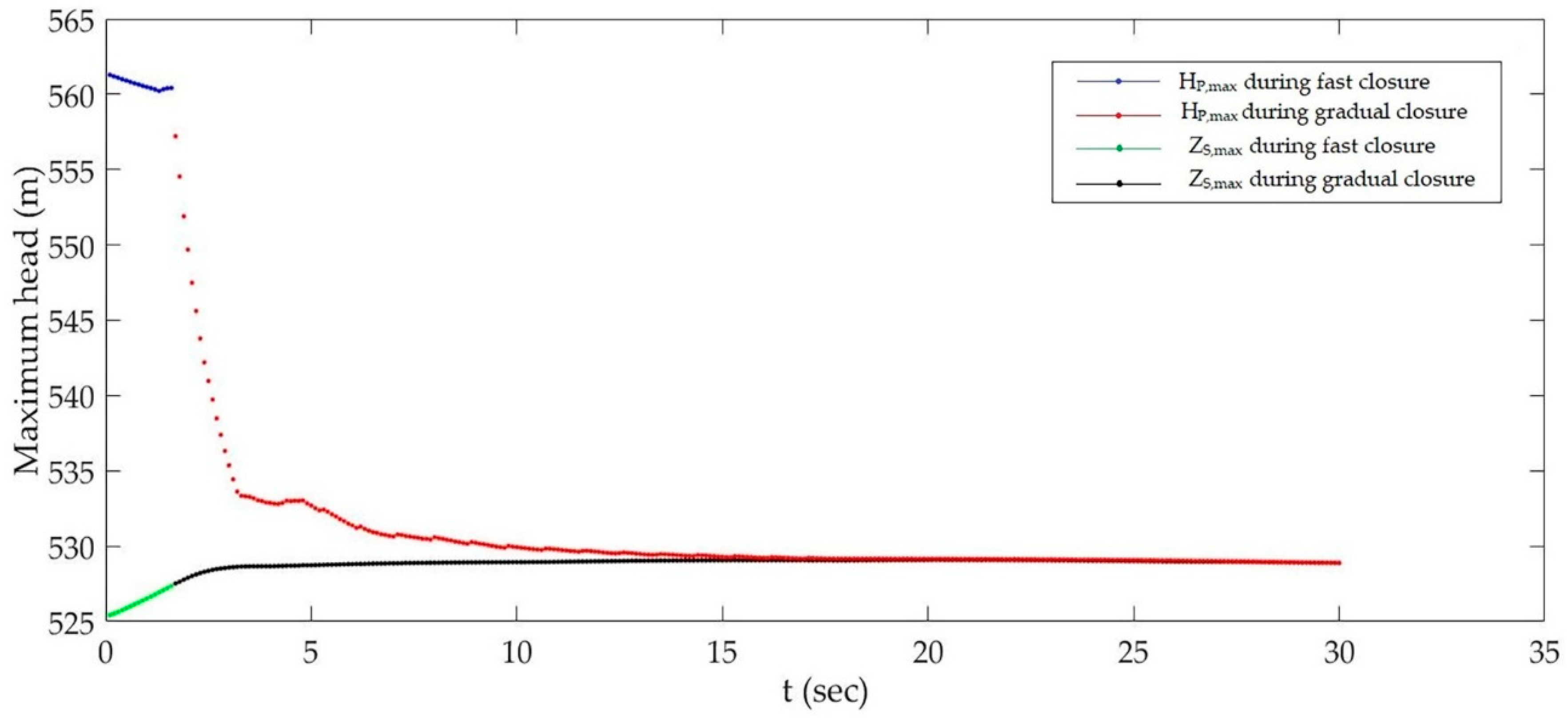
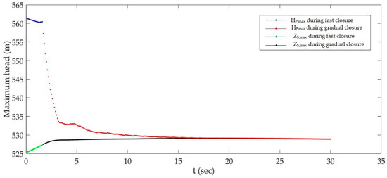
3.4. Vortex Formation Check
3.5. Time of Closure and Opening of Valve
4. Conclusions
- A model of a generalized hydropower system consisting of an upstream reservoir, an orifice surge tank, conduit pipes, and an outlet valve was designed and numerically analyzed using MOC in MATLAB. Surge analysis by MOC revealed the variation of water level in the surge tank in different conditions and assisted in defining and modeling the required hydraulic parameters for optimization of the surge tank;
- The maximum and minimum possible water level in the surge tank and damping of surge waves were considered as the important parameters for surge tank optimization. Analyses in this study show that these transient behaviors are highly conflicting in nature for different values of DO and DS. In addition, for certain values of DO and DS, the difference of maximum piezometric head at the bottom tunnel of the surge tank and maximum water level in the surge tank becomes unacceptable. Hence, a proper optimization method is necessary to investigate the best values of DO and DS to enhance the efficiency of the surge tank and minimize the effects of transients in the worst conditions;
- The Particle Swarm Optimization successfully optimized the values of DO and DS with a significant improvement in the maximum and minimum water level in the surge tank with reasonable damping of surge waves and the recommended surge tank was free from vortex formation. The overall performance of the surge tank is better than the contemporary methods;
- Based on the sensitivity analysis of the valve’s closing and opening time, significant changes were observed in surge analysis for different closing and opening times of the valve. This indicates that valve or guide vanes’ closing/opening time should also be considered during the hydraulic optimization of the surge tank in further cases. The difference of maximum piezometric head at the bottom tunnel of the surge tank and maximum water level in the surge tank was studied for various times of closure of the valve and it is concluded that the closing time of the valve results in more significant pressure changes in the penstock pipe and headrace tunnels, while in the surge tank, the effect is comparatively lower.
Author Contributions
Funding
Conflicts of Interest
References
- Adamkowski, A. Case study: Lapino powerplant penstock failure. J. Hydraul. Eng. 2001, 127, 547–555. [Google Scholar] [CrossRef]
- Bonin, C.C. Water-hammer damage to Oigawa power station. J. Eng. Power 1960, 82, 111–119. [Google Scholar] [CrossRef]
- Arrington, R.M. Failure of water-operated needle valves at Bartlett dam and Oneida station hydroelectric plant. In Proceedings of the 3rd ASME/JSME Joint Fluids Engineering Conference; American Society of Mechanical Engineers: New York, NY, USA, 1999; pp. 18–22. [Google Scholar]
- Boulos, P.; Karney, B.; Wood, D.; Lingireddy, S. Hydraulic Transient Guidelines. J. Am. Water Resour. Assoc. 2005, 97, 111–124. [Google Scholar] [CrossRef]
- Sam Ani, H.M.V.; Khayatzadeh, A. Transient flow in pipe networks. J. Hydraul. Res. 2002, 40, 637–644. [Google Scholar] [CrossRef]
- Shani, T.; Gupta, T. Hydraulic transient flow analysis using method of characteristics. Int. J. Innov. Res. Sci. Eng. Technol. 2017, 6, 14812–14827. [Google Scholar]
- Izquierdo, J.; Iglesias, P.L. Mathematical modelling of hydraulic transients in complex systems. Math. Comput. Model. 2004, 39, 529–540. [Google Scholar] [CrossRef]
- Salmanzadeh, M. Numerical method for modeling transient flow in distribution systems. Int. J. Comput. Sci. Netw. Secur. 2013, 13, 72–78. [Google Scholar]
- Chaichan, M.T.; Al-Zubaidi, D.S.M. Control of hydraulic transients in the water piping system in Badra-Pumping Station No. 5. Al-Nahrain Univ. Coll. Eng. J. 2015, 18, 229–239. [Google Scholar]
- Calamak, M.; Bozkus, Z. Comparison of performance of two run-of-river plants during transient conditions. J. Perform. Constr. Facil. 2012, 27, 624–632. [Google Scholar] [CrossRef]
- Martins, N.M.C.; Brunone, B.; Meniconi, S.; Ramos, H.M.; Covas, D.I.C. CFD and 1D approaches for the unsteady friction analysis of low Reynolds number turbulent flows. J. Hydraul. Eng. 2017, 143, 4017050. [Google Scholar] [CrossRef]
- Wylie, E.B.; Streeter, V.L.; Suo, L. Fluid Transients in Systems; Prentice Hall: Englewood Cliffs, NJ, USA, 1993. [Google Scholar]
- Chaudhry, M.H. Applied Hydraulic Transients; Van Nostrand Reinhold: New York, NY, USA, 1979. [Google Scholar]
- Yu, X.; Zhang, J.; Zhou, L. Hydraulic transients in the long diversion-type hydropower station with a complex differential surge tank. Sci. World J. 2014, 2014, 241868. [Google Scholar] [CrossRef] [PubMed]
- Guo, W.; Zhu, D. A review of the transient process and control for a hydropower station with a super long headrace tunnel. Energies 2018, 11, 2994. [Google Scholar] [CrossRef]
- Zhou, J.X.; Liu, D.Y. Differential pressure and surge analysis of differential surge tank with interconnecting holes. J. Hohai Univ. Nat. Sci. 2007, 5, 587–591. [Google Scholar]
- Covas, D.; Ramos, H. Case studies of leak detection and location in water pipe systems by inverse transient analysis. J. Water Resour. Plan. Manag. 2010, 136, 248–257. [Google Scholar] [CrossRef]
- Balacco, G.; Fontana, N.; Apollonio, C.; Giugni, M.; Marini, G.; Piccinni, A.F. Pressure surges during filling of partially empty undulating pipelines. ISH J. Hydraul. Eng. 2018, 1–9. [Google Scholar] [CrossRef]
- Diao, X.F.; Zhang, X.H.; Yang, Y.Y. Sensitivity analysis of restricted orifice in the hydropower station. In Proceedings of the 2016 5th International Conference on Civil, Architectural and Hydraulic Engineering (ICCAHE 2016), Zhuhai, China, 30–31 July 2016. [Google Scholar]
- Ramos, H.; Covas, D.; Borga, A.; Loureiro, D. Surge damping analysis in pipe systems: Modelling and experiments. J. Hydraul. Res. 2004, 42, 413–425. [Google Scholar] [CrossRef]
- Emadi, J.; Solemani, A. Maximum water hammer sensitivity analysis. World Acad. Sci. Eng. Technol. 2011, 49, 416–419. [Google Scholar]
- Wood, D.J.; Jones, S.E. Water-hammer charts for various types of valves. J. Hydraul. Div. 1973, 99, 167–178. [Google Scholar]
- Wan, W.; Li, F. Sensitivity analysis of operational time differences for a pump–valve system on a water hammer response. J. Press. Vessel Technol. 2016, 138, 11303. [Google Scholar] [CrossRef]
- Richter, W.; Dobler, W.; Knoblauch, H. Hydraulic and numerical modelling of an asymmetric orifice within a surge tank. In Proceedings of the 4th IAHR Interrnational Symposium on Hydraulic Structures, Porto, Portugal, 9–11 February 2012. [Google Scholar]
- Gabl, R.; Achleitner, S.; Neuner, J.; Gotsch, H.; Aufleger, M. 3D-numerical optimisation of an asymmetric orifice in the surge tank of a high-head power plant. In Proceedings of the 34th World Congress of the International Association for Hydro-Environment Research and Engineering: 33rd Hydrology and Water Resources Symposium and 10th Conference on Hydraulics in Water Engineering Engineers, Brisbane, Australia, 26 June–1 July 2011; pp. 2428–2435. [Google Scholar]
- Hachem, F.; Nicolet, C.; Duarte, R.; Cesare, G. De Hydraulic design of the diaphragm’s orifice at the entrance of the surge shaft of FMHL pumped-storage power plant. In Proceedings of the 2013 IAHR World Congress, Chengdu, China, 8–13 September 2013; pp. 1–10. [Google Scholar]
- Steyrer, P. Economic surge tank design by sofisticated hydraulic throttling. In Proceedings of the 28th IAHR Congress, Graz, Austria, 22–27 August 1999. [Google Scholar]
- Afshar, H.; Kerachian, R.; Bazargan-Lari, M.R.; Niktash, A.R. Developing a closing rule curve for valves in pipelines to control the water hammer impacts: Application of the NSGA-II optimization model. In Pipelines 2008: Pipeline Asset Management: Maximizing Performance of our Pipeline Infrastructure; American Society of Civil Engineers: Atlanta, GA, USA, 2008; pp. 1–10. [Google Scholar]
- Kim, S. Design of surge tank for water supply systems using the impulse response method with the GA algorithm. J. Mech. Sci. Technol. 2010, 24, 629–636. [Google Scholar] [CrossRef]
- Fathi-Moghadam, M.; Haghighipour, S.; Samani, H.M.V. Design-variable optimization of hydropower tunnels and surge tanks using a genetic algorithm. J. Water Resour. Plan. Manag. 2013, 139, 200–208. [Google Scholar] [CrossRef]
- Jung, B.S.; Karney, B.W.; Asce, M. Hydraulic optimization of transient protection devices using GA and PSO approaches. J. Water Resour. Plan. Manag. 2006, 9496, 44–52. [Google Scholar] [CrossRef]
- Moghaddas, S.M.J.; Samani, H.M.V. Application of central force optimization method to design transient protection devices for water transmission pipelines. Mod. Appl. Sci. 2017, 11, 76–85. [Google Scholar] [CrossRef]
- Golberg, D.E. Genetic algorithms in search, optimization, and machine learning. Addion Wesley 1989, 1989, 36. [Google Scholar]
- Eberhart, R.; Kennedy, J. Particle swarm optimization. In Proceedings of the IEEE International Conference on Neural Networks, Perth, Australia, 27 November–1 December 1995. [Google Scholar]
- Kachitvichyanukul, V. Comparison of three evolutionary algorithms: GA, PSO, and DE. Ind. Eng. Manag. Syst. 2012, 11, 215–223. [Google Scholar] [CrossRef]
- Bai, Q. Analysis of particle swarm optimization algorithm. Comput. Inf. Sci. 2010, 3, 180. [Google Scholar] [CrossRef]
- Hassan, R.; Cohanim, B.; De Weck, O.; Venter, G. A comparison of particle swarm optimization and the genetic algorithm. In Proceedings of the 46th AIAA/ASME/ASCE/AHS/ASC Structures, Structural Dynamics and Materials Conference, Austin, TX, USA, 18–21 April 2005; p. 13. [Google Scholar]
- Kecskés, I.; Székács, L.; Fodor, J.C.; Odry, P. PSO and GA optimization methods comparison on simulation model of a real hexapod robot. In Proceedings of the 2013 IEEE 9th International Conference on Computational Cybernetics (ICCC), Tihany, Hungary, 8–10 July 2013; IEEE: Tihany, Hungary; pp. 125–130. [Google Scholar]
- Duan, Y.; Harley, R.G.; Habetler, T.G. Comparison of particle swarm optimization and genetic algorithm in the design of permanent magnet motors. In Proceedings of the 2009 IEEE 6th International Power Electronics and Motion Control Conference, Wuhan, China, 17–20 May 2009; pp. 822–825. [Google Scholar]
- Thoma, D. Zur Theorie des Wasserschlosses bei Selbsttatig Geregelten Turbinenanlagen; Oldenbourg: Munchen, Germany, 1910. (In German) [Google Scholar]
- Jaeger, C. Present trends in surge tank design. Proc. Inst. Mech. Eng. 1954, 168, 91–124. [Google Scholar] [CrossRef]
- Gordon, J.L. Vortices at intakes. Water Power 1970, 137–138. Available online: https://ci.nii.ac.jp/naid/10027805517/ (accessed on 6 April 2019).
- Li, G.H.; Jiang, H.J.; Zhang, J.; Chen, S. The explicit solution to calculate maximum upsurge in water chamber surge tank under superposed condition. Appl. Mech. Mater. 2013, 427–429, 392–395. [Google Scholar] [CrossRef]
- Jian, Z.; Suo, L. Explicit formula for calculating surges in throttled surge tank following load rejection. J. Hydraul. Eng. 1999, 2, 70–74. [Google Scholar]
- Yu, X.; Zhang, J.; Hazrati, A. Critical superposition instant of surge waves in surge tank with long headrace tunnel. Can. J. Civ. Eng. 2011, 38, 331–337. [Google Scholar] [CrossRef]
- Guo, W.; Yang, J.; Teng, Y. Surge wave characteristics for hydropower station with upstream series double surge tanks in load rejection transient. Renew. Energy 2017, 108, 488–501. [Google Scholar] [CrossRef]
- National Energy Administration of China. Design code for surge chamber of hydropower stations. China Electr. Power Press 2014, NB/T 35021. Available online: www.gong123.com/dianli/2016-09-16/1182918.html#edown (accessed on 12 Ocotober 2018).
- Eberhart, R.C.; Shi, Y. Empirical study of particle swarm optimization. In Proceedings of the 1999 Congress on Evolutionary Computation, Washington, DC, USA, 6–9 July 1999; IEEE: Washington, DC, USA; pp. 1945–1950. [Google Scholar] [CrossRef]
- Zhang, W.; Cai, F.; Zhou, J.; Hua, Y. Experimental Investigation on Air-Water Interaction in a Hydropower Station Combining a Diversion Tunnel with a Tailrace Tunnel. Water 2017, 9, 274. [Google Scholar] [CrossRef]
- Zhou, J.; Cai, F.; Hu, M. Stability analysis of hydropower stations with complex flow patterns in the tailrace tunnel. In Proceedings of the ASME 2013 Fluids Engineering Division Summer Meeting, Incline Village, NV, USA, July 7–11, 2013; American Society of Mechanical Engineers: New York, NY, USA, 2013; p. V002T11A011. [Google Scholar] [CrossRef]
- Thanapandi, P.; Prasad, R. Centrifugal pump transient characteristics and analysis using the method of characteristics. Int. J. Mech. Sci. 1995, 37, 77–89. [Google Scholar] [CrossRef]














| Objective Functions | For Maximum Values | For Minimum Values | ||||
|---|---|---|---|---|---|---|
| Values of Functions | Do (m) | Ds (m) | Values of Functions | Do (m) | Ds (m) | |
| Function 1 | 541.550 m | 4.1 | 6.3 | 524.594 m | 3.1 | 12 |
| Function 2 | 488.740 m | 3.1 | 12 | 473.056 m | 4.1 | 6.3 |
| Function 3 | 2.038 % | 3.552 | 6.3 | 0.562 % | 3.1 | 12 |
| Objective Functions | Without Optimization (Original) | Normalized Optimization | Normalized Optimization with Weighting | ||
|---|---|---|---|---|---|
| Do = 4.3 m and Ds = 9 m | Do = 4.1 m and Ds = 11.362 m | Do = 3.684 m and Ds = 6.434 m | |||
| Obtained Values | Improvement | Obtained Values | Improvement | ||
| Function 1 | 533.643 m | 528.937 m | 4.706 m | 539.142 m | −4.706 m |
| Function 2 | 480.609 m | 485.095 m | 4.486 m | 474.618 m | −5.991 m |
| Function 3 | 1.378% | 0.973% | −0.405% | 2.009% | 0.631% |
© 2019 by the authors. Licensee MDPI, Basel, Switzerland. This article is an open access article distributed under the terms and conditions of the Creative Commons Attribution (CC BY) license (http://creativecommons.org/licenses/by/4.0/).
Share and Cite
Bhattarai, K.P.; Zhou, J.; Palikhe, S.; Pandey, K.P.; Suwal, N. Numerical Modeling and Hydraulic Optimization of a Surge Tank Using Particle Swarm Optimization. Water 2019, 11, 715. https://doi.org/10.3390/w11040715
Bhattarai KP, Zhou J, Palikhe S, Pandey KP, Suwal N. Numerical Modeling and Hydraulic Optimization of a Surge Tank Using Particle Swarm Optimization. Water. 2019; 11(4):715. https://doi.org/10.3390/w11040715
Chicago/Turabian StyleBhattarai, Khem Prasad, Jianxu Zhou, Sunit Palikhe, Kamal Prasad Pandey, and Naresh Suwal. 2019. "Numerical Modeling and Hydraulic Optimization of a Surge Tank Using Particle Swarm Optimization" Water 11, no. 4: 715. https://doi.org/10.3390/w11040715
APA StyleBhattarai, K. P., Zhou, J., Palikhe, S., Pandey, K. P., & Suwal, N. (2019). Numerical Modeling and Hydraulic Optimization of a Surge Tank Using Particle Swarm Optimization. Water, 11(4), 715. https://doi.org/10.3390/w11040715

