Modeling of Heavy Metal (Ni, Mn, Co, Zn, Cu, Pb, and Fe) and PAH Content in Stormwater Sediments Based on Weather and Physico-Geographical Characteristics of the Catchment-Data-Mining Approach
Abstract
1. Introduction
2. Methods and Materials
2.1. Study Area
2.2. Collection and Preparation of Samples and Chemical Analysis of Sediments
2.3. Precipitation and Atmospheric Data
2.4. Construction of the Model for Sediment Quality Forecasts
2.4.1. Computational Procedure
2.4.2. Independent Variables and Their Selection
2.4.3. ANN–Multilayer Perceptron (MLP) Network
2.4.4. Assessment of the Model Fit to Experimental Data
- ⚬
- correlation coefficient (R)
- ⚬
- mean relative error (MAPE)
- ⚬
- mean absolute error (MAE)where N is the total number of analyzed data, qn is the measured value, qf is the value forecast for the n-th measurement qn, qavn is the average of the measured values, and qavf is the average of the forecast values.
3. Results and Discussions
3.1. Contamination of Stormwater Sediments
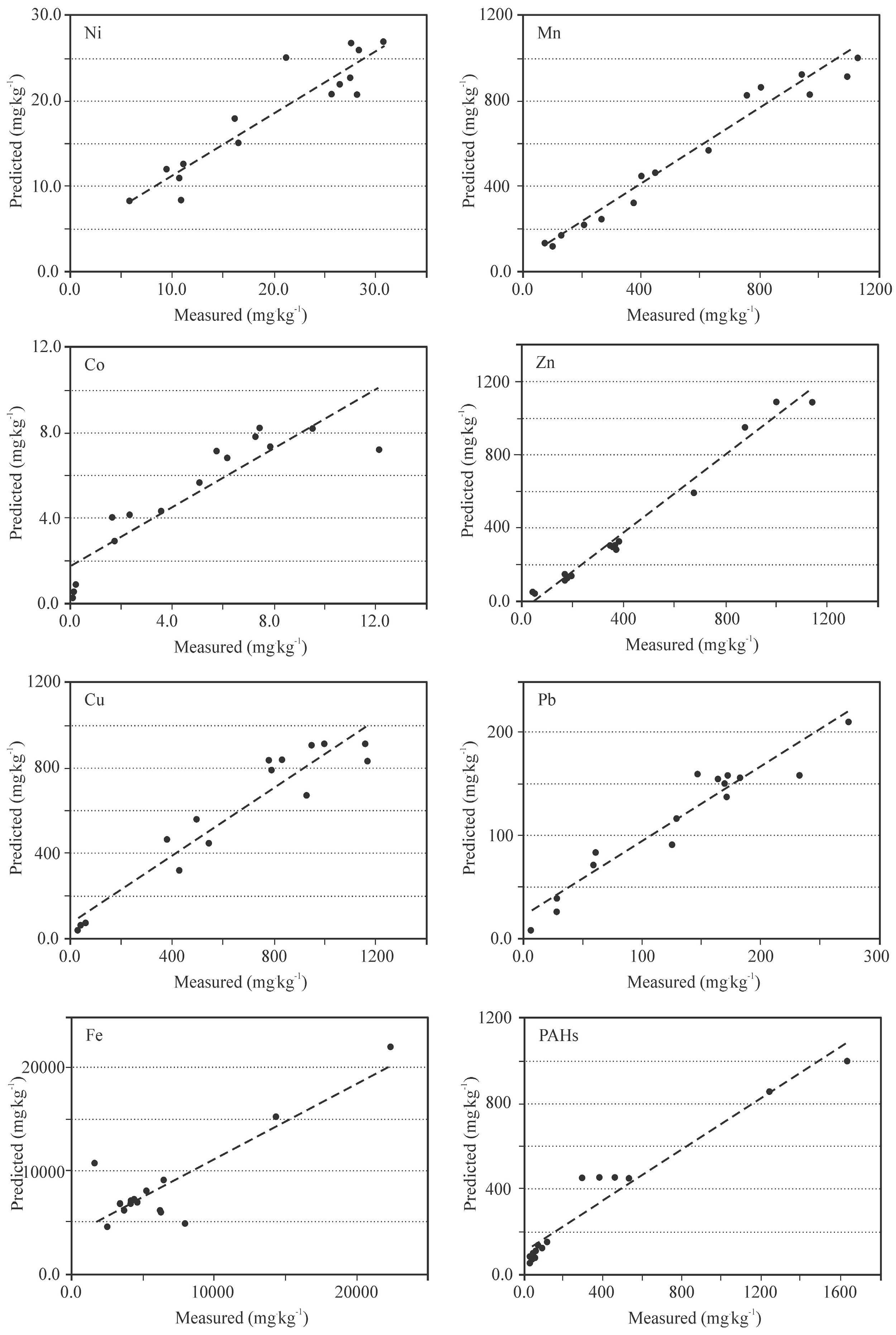
3.2. Predicted Concentration of Selected Pollutants in Stormwater Sediments
4. Conclusions
Author Contributions
Funding
Conflicts of Interest
References
- Arora, A.S.; Reddy, A.S. Development of multiple linear regression models for predicting the stormwater quality of urban sub-watersheds. Bull. Environ. Contam. Toxicol. 2014, 92, 36–43. [Google Scholar] [CrossRef] [PubMed]
- Ivanovsky, A.; Belles, A.; Criquet, J.; Dumoulin, D.; Noble, P.; Alary, C.; Billon, G. Assessment of the treatment efficiency of an urban stormwater pond and its impact on the natural downstream watercourse. J. Environ. Manag. 2018, 226, 120–130. [Google Scholar] [CrossRef] [PubMed]
- Ma, Y.; Hao, S.; Zhao, H.; Fang, J.; Zhao, J.; Li, X. Pollutant transport analysis and source apportionment of the en tire non-point source pollution process in separate sewer systems. Chemosphere 2018, 211, 557–565. [Google Scholar] [CrossRef]
- Goonetilleke, A.; Thomas, E.; Ginn, S.; Gilbert, D. Understanding the role of land use in urban stormwater quality management. J. Environ. Manag. 2005, 74, 31–42. [Google Scholar] [CrossRef] [PubMed]
- Leutnant, D.; Muschalla, D.; Uhl, M. Distribution-Based Calibration of a Stormwater Quality Model. Water 2018, 10, 1027. [Google Scholar] [CrossRef]
- Wei, T.; Wijesiri, B.; Jia, Z.; Li, Y.; Goonetilleke, A. Re-thinking classical mechanistic model for pollutant build-up on urban impervious surfaces. Sci. Total Environ. 2019, 651, 114–121. [Google Scholar] [CrossRef]
- Nawrot, N.; Wojciechowska, E. Osady powstające w systemie kanalizacji deszczowej zlewni zurbanizowanej—Przegląd literatury (Evaluation of the quality of sediments from the stormwater drainage system in urban area—literature review). In Inżynieria Środowiska—Młodym Okiem; Skoczko, I., Piekutin, J., Woroniecka, N., Mielniczuk, P., Eds.; Oficyna Wydawnicza Politechniki Białostockiej: Białystok, Poland, 2017; pp. 34–53. [Google Scholar]
- Wang, J.; Zhao, Y.; Zhang, P.; Yang, L.; Xu, H.; Xi, G. Adsorption characteristics of a novel ceramsite for heavy metal removal from stormwater runoff. Chin. J. Chem. Eng. 2018, 6, 96–103. [Google Scholar] [CrossRef]
- Sałata, A.; Bąk, Ł.; Dąbek, L.; Ozimina, E. Assessment of the degree of pollution of sediments from the rainstorm sewer system in the urbanized catchment. Desalin. Water Treat. 2016, 50, 1478–1489. [Google Scholar] [CrossRef]
- Zgheib, S.; Moilleron, R.; Chebbo, G. Priority pollutants in urban stormwater: Part 1—Case of separate storm sewers. Water Res. 2012, 46, 6683–6692. [Google Scholar] [CrossRef]
- Revitt, D.M.; Lundy, L.; Coulon, F.; Fairley, M. The sources, impact and management of car park runoff pollution: A review. J. Environ. Manag. 2014, 146, 552–567. [Google Scholar] [CrossRef]
- Sánchez, A.S.; Cohim, E.; Kalid, R.A. A review on physicochemical and microbiological contamination of roof-harvested stormwater in urban areas. Sustain. Water Qual. Ecol. 2015, 6, 119–137. [Google Scholar] [CrossRef]
- Książek, S.; Kida, M.; Koszelnik, P. The occurrence and sources of polycyclic aromatic hydrocarbons in bottom sediments of the Wisłok river. Pol. J. Nat. Sci. 2016, 31, 373–386. [Google Scholar]
- Aryal, R.; Vigneswaran, S.; Kandasamy, J.; Naidu, R. Urban stormwater quality and treatment. Korean J. Chem. Eng. 2010, 27, 1343–1359. [Google Scholar] [CrossRef]
- Walaszek, M.; Bois, P.; Laurent, J.; Lenormand, E.; Wanko, A. Micropollutants removal and storage efficiencies in urban stormwater constructed wetland. Sci. Total Environ. 2018, 645, 854–864. [Google Scholar] [CrossRef]
- Valentyne, A.; Crawford, K.; Cook, T.; Mathewson, P.D. Polycyclic aromatic hydrocarbon contamination and source profiling in watersheds serving three small Wisconsin, USA cities. Sci. Total Environ. 2018, 627, 1453–1463. [Google Scholar] [CrossRef]
- PN-EN ISO 11885:2007. Water Quality—Determination of Selected Elements by Inductively Coupled Plasma Optical Emission Spectrometry; Polski Komitet Normalizacyjny: Warsaw, Poland, 2009; p. 42. [Google Scholar]
- PN-EN 15527:2008. Characterisation of Waste. Determination of Polycyclic Aromatic Hydrocarbons (PAH) in Waste Using Gas Chromatography Mass Spectrometry; Polski Komitet Normalizacyjny: Warsaw, Poland, 2008; p. 37. [Google Scholar]
- DWA-A 118, 2006. Hydraulic Dimensioning and Verification of Drain and Sewer Systems; German Association for Water, Wastewater and Waste: Hennef, Germany, 2006. [Google Scholar]
- Rutkowski, L. Artificial Intelligence Methods and Techniques; PWN: Warszawa, Poland, 2006; p. 452. [Google Scholar]
- Weinstein, J.E.; Crawford, K.D.; Garner, T.R. Chemical and Biological Contamination of Stormwater Detention Pond Sediments in Coastal South Carolina; South Carolina Sea Grant Consortium & South Carolina Department of Health and Environmental Control: Charleston, CA, USA, 2008; p. 83. [Google Scholar]
- Wallinder, I.O.; Leygraf, C.; Karlén, C.; Heijerick, D.; Janssen, C.R. Atmospheric corrosion of zinc-based materials: Runoff rates, chemical speciation and ecotoxicity effects. Corros. Sci. 2001, 43, 809–816. [Google Scholar] [CrossRef]
- Adachi, K.; Tainosho, Y. Characterization of heavy metal particles embedded in tire dust. Environ. Int. 2004, 30, 1009–1017. [Google Scholar] [CrossRef]
- Polkowska, Ż.; Namieśnik, J. Road and roof runoff waters as a source of pollution in a big urban agglomeration (Gdansk, Poland). Ecol. Chem. Eng. 2008, 15, 375–385. [Google Scholar]
- Wei, Q.; Zhu, G.; Wu, P.; Cui, L.; Zhang, K.; Zhou, J.; Zhang, W. Distributions of typical contaminant species in urban short-term storm runoff and their fates during rain events: A case of Xiamen City. J. Environ. Sci. (China) 2010, 2, 533–539. [Google Scholar] [CrossRef]
- Murphy, L.U.; Cochrane, T.A.; O’Sullivan, A. The Influence of Different Pavement Surfaces on Atmospheric Copper, Lead, Zinc, and Suspended Solids Attenuation and Wash-Off. Water Air Soil Pollut. 2015, 226. [Google Scholar] [CrossRef]
- Yuan, Q.; Guerra, H.B.; Kim, Y. An Investigation of the Relationships between Rainfall Conditions and Pollutant Wash-Off from the Paved Road. Water 2017, 9, 232. [Google Scholar] [CrossRef]
- Xia, M.; Craig, P.M.; Wallen, C.M.; Stoddard, A.; Mandrup-Poulsen, J.; Peng, M.; Schaeffer, B.; Liu, Z. Numerical simulation of salinity and dissolved oxygen at Perdido Bay and adjacent coastal ocean. J. Coast. Res. 2011, 27, 73–86. [Google Scholar] [CrossRef]
- May, D.B.; Sivakumar, M. Prediction of urban stormwater quality using artificial neural networks. Environ. Modell. Softw. 2009, 24, 296–302. [Google Scholar] [CrossRef]
- Mounce, S.R.; Shepherd, W.; Sailor, G.; Shucksmith, J.; Saul, A.J. Predicting combined sewer overflows chamber depth using artificial neural networks with rainfall radar data. Water Sci. Technol. 2014, 69, 1326–1333. [Google Scholar] [CrossRef] [PubMed]
- Pochwat, K. The use of artificial neural networks for analyzing the sensitivity of a retention tank. E3S Web Conf. 2018. [Google Scholar] [CrossRef]
- Hecht-Nielsen, R. Kolmogorov’s mapping neural network existence theorem. In Proceedings of the 1st IEEE International Joint Conference of Neural Networks, New York, NY, USA, 24–27 June 1987; Volume 3, pp. 11–13. [Google Scholar]
- Fach, S.; Sitzenfrei, R.; Rauch, W. Assessing the relationship between water level and combined sewer overflow with computational fluid dynamics. In Proceedings of the 11th International Conference on Urban Drainage, Edinburgh, Scotland, UK, 31 August–5 September 2008. [Google Scholar]
- Brown, J.N.; Peake, B.M. Sources of heavy metals and polycyclic aromatic hydrocarbons in urban stormwater runoff. Sci. Total Environ. 2006, 359, 145–155. [Google Scholar] [CrossRef]
- Ignatavičius, G.; Valskys, V.; Bulskaya, I.; Paliulis, D.; Zigmontienė, A.; Satkūnas, J. Heavy metal contamination in surface runoff sediments of the urban area of Vilnius. Est. J. Earth Sci. 2017, 66, 13–20. [Google Scholar] [CrossRef]
- Czaplicka, A.; Ślusarczyk, Z.; Szarek-Gwiazda, E.; Bazan, S. Rozkład przestrzenny związków żelaza i manganu w osadach dennych Jeziora Goczałkowickiego (Spatial distribution of iron and manganese compounds in bottom sediments of the Goczalkowice Dam Reservoir). Ochrona Srodowiska 2017, 39, 47–54. [Google Scholar]
- Kabata-Pendias, A.; Pendias, H. Pierwiastki Śladowe w Środowisku Biologicznym (Trace Elements in the Biological Environment); Wydawnictwo Geologiczne: Warszawa, Poland, 1993; p. 299.
- Sharley, D.J.; Sharp, S.M.; Marshall, S.; Jeppe, K.; Pettigrove, V.J. Linking urban land use to pollutants in constructed wetlands: Implications for stormwater and urban planning. Landsc. Urban Plan. 2017, 162, 80–91. [Google Scholar] [CrossRef]
- Kubiak, M.S. Wielopierścieniowe węglowodory aromatyczne (WWA)—Ich występowanie w środowisku i w żywności (Polycyclic Aromatic Hydrocarbons (PAHs)—Their occurrence in the environment and food). Probl. Hig. Epidemiol. 2013, 94, 31–36. [Google Scholar]
- Rusin, M.; Marchwińska-Wyrwał, E. Zagrożenia zdrowotne związane ze środowiskowym narażeniem na wielopierścieniowe węglowodory aromatyczne (WWA) (Health hazards involved with an environmental exposure to polycyclic aromatic hydrocarbons (PAHs)). Environ. Med. 2014, 17, 7–13. [Google Scholar]





| Catchment | A | Catchment Land Use | ΣLpip | ΔH | ||||
|---|---|---|---|---|---|---|---|---|
| Low-Rise Buildings | High-Rise Buildings | Industrial Areas | Green Spaces | Others | ||||
| ha | % | km | m | |||||
| Witosa | 82 | 44.50 | - | - | 55.50 | - | 7.65 | 47.3 |
| Jesionowa | 355 | 14.10 | 3.50 | 71.30 | 4.10 | 7.00 | 16.00 | 50.0 |
| Kaczmarka | 224 | 24.20 | 36.60 | 26.20 | 8.10 | 4.90 | 15.50 | 81.0 |
| Jarząbek | 805 | 19.40 | 12.20 | 22.30 | 38.70 | 7.40 | 38.00 | 94.0 |
| Ni | Mn | Co | Zn | ||||||||
| Variable | F | p | Variable | F | p | Variable | F | p | Variable | F | p |
| Top | 9.03 | 0.0004 | dH | 20.05 | 0.0000 | dH | 27.68 | 0.0000 | P | 46.88 | 0.0000 |
| dH | 7.84 | 0.0010 | P | 18.20 | 0.0000 | Lpip | 20.03 | 0.0000 | season | 9.50 | 0.0033 |
| Zn | 7.48 | 0.0014 | Lpip | 13.50 | 0.0000 | Zp | 20.03 | 0.0000 | dH | 7.53 | 0.0013 |
| Lpip | 7.17 | 0.0004 | Zp | 13.50 | 0.0000 | Tgreen | 20.03 | 0.0000 | Top | 6.72 | 0.0026 |
| Zp | 7.17 | 0.0004 | Tgreen | 13.50 | 0.0000 | Zn | 17.94 | 0.0000 | Lpip | 5.70 | 0.0019 |
| Tgreen | 7.17 | 0.0004 | season | 9.54 | 0.0032 | Zw | 12.07 | 0.0001 | Zp | 5.70 | 0.0019 |
| P | 5.90 | 0.0016 | dT | 4.49 | 0.0389 | P | 3.27 | 0.0287 | Tgreen | 5.70 | 0.0019 |
| Tfo | 5.68 | 0.0059 | Zn | 4.09 | 0.0227 | Top | 3.32 | 0.0442 | dT | 5.62 | 0.0214 |
| Tsn | 5.68 | 0.0059 | Zw | 3.63 | 0.0336 | Zn | 3.60 | 0.0344 | |||
| Cu | Pb | Fe | PAH | ||||||||
| Variable | F | p | Variable | F | p | Variable | F | p | Variable | F | p |
| Zn | 16.53 | 0.0000 | Zn | 20.75 | 0.0000 | season | 7.61 | 0.0080 | Tfo | 6.67 | 0.0026 |
| Zp | 12.95 | 0.0000 | Zp | 13.58 | 0.0000 | dT | 4.64 | 0.0358 | Tsn | 6.67 | 0.0026 |
| Lpip | 12.95 | 0.0000 | Lpip | 13.58 | 0.0000 | Zn | 4.03 | 0.0238 | P | 4.37 | 0.0083 |
| Tgreen | 12.95 | 0.0000 | Tgreen | 13.58 | 0.0000 | dH | 3.98 | 0.0247 | Top | 3.73 | 0.0307 |
| dH | 9.54 | 0.0003 | Top | 11.83 | 0.0000 | Zw | 3.42 | 0.0402 | |||
| Top | 9.43 | 0.0003 | Tfo | 9.67 | 0.0002 | ||||||
| P | 6.27 | 0.0010 | Tsn | 9.67 | 0.0002 | ||||||
| Tfo | 5.71 | 0.0058 | P | 8.06 | 0.0001 | ||||||
| Tsn | 5.71 | 0.0058 | dH | 6.36 | 0.0034 | ||||||
| dT | 5.16 | 0.0273 | Zw | 5.96 | 0.0047 | ||||||
| Pollutants in Stormwater Sediments | N | Hidden Layer | Output Layer | Training | Testing | ||||
|---|---|---|---|---|---|---|---|---|---|
| R | MAE | MAPE | R | MAE | MAPE | ||||
| mg kg−1 | % | mg kg−1 | % | ||||||
| Ni | 11 | exp | tanh | 0.854 | 3.15 | 19.65 | 0.845 | 3.28 | 17.88 |
| Mn | 8 | tanh | log | 0.974 | 52.10 | 25.55 | 0.979 | 45.76 | 19.83 |
| Co | 14 | tanh | log | 0.913 | 0.73 | 1008.49 | 0.871 | 0.89 | 931.25 |
| Zn | 13 | exp | log | 0.930 | 46.44 | 26.79 | 0.975 | 40.22 | 20.50 |
| Cu | 14 | exp | log | 0.894 | 8.43 | 15.16 | 0.881 | 9.80 | 19.77 |
| Pb | 14 | exp | log | 0.897 | 20.94 | 18.04 | 0.868 | 22.14 | 19.33 |
| PAH | 14 | lin | tanh | 0.753 | 135.33 | 119.15 | 0.850 | 100.31 | 100.71 |
| Fe | 8 | tanh | lin | 0.481 | 3424.88 | 56.15 | 0.581 | 3124.88 | 47.15 |
© 2019 by the authors. Licensee MDPI, Basel, Switzerland. This article is an open access article distributed under the terms and conditions of the Creative Commons Attribution (CC BY) license (http://creativecommons.org/licenses/by/4.0/).
Share and Cite
Bąk, Ł.; Szeląg, B.; Sałata, A.; Studziński, J. Modeling of Heavy Metal (Ni, Mn, Co, Zn, Cu, Pb, and Fe) and PAH Content in Stormwater Sediments Based on Weather and Physico-Geographical Characteristics of the Catchment-Data-Mining Approach. Water 2019, 11, 626. https://doi.org/10.3390/w11030626
Bąk Ł, Szeląg B, Sałata A, Studziński J. Modeling of Heavy Metal (Ni, Mn, Co, Zn, Cu, Pb, and Fe) and PAH Content in Stormwater Sediments Based on Weather and Physico-Geographical Characteristics of the Catchment-Data-Mining Approach. Water. 2019; 11(3):626. https://doi.org/10.3390/w11030626
Chicago/Turabian StyleBąk, Łukasz, Bartosz Szeląg, Aleksandra Sałata, and Jan Studziński. 2019. "Modeling of Heavy Metal (Ni, Mn, Co, Zn, Cu, Pb, and Fe) and PAH Content in Stormwater Sediments Based on Weather and Physico-Geographical Characteristics of the Catchment-Data-Mining Approach" Water 11, no. 3: 626. https://doi.org/10.3390/w11030626
APA StyleBąk, Ł., Szeląg, B., Sałata, A., & Studziński, J. (2019). Modeling of Heavy Metal (Ni, Mn, Co, Zn, Cu, Pb, and Fe) and PAH Content in Stormwater Sediments Based on Weather and Physico-Geographical Characteristics of the Catchment-Data-Mining Approach. Water, 11(3), 626. https://doi.org/10.3390/w11030626

