Hydraulic Properties in Different Soil Architectures of a Small Agricultural Watershed: Implications for Runoff Generation
Abstract
1. Introduction
2. Materials and Methods
2.1. Study Sites and Soil Sampling
2.2. Laboratory Analysis
2.3. Statistical Analysis
3. Results
3.1. Bulk Density
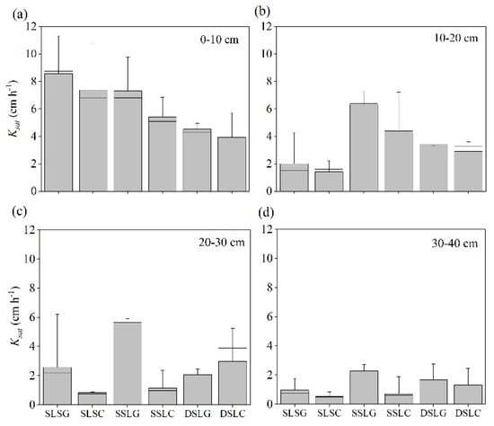
3.2. Saturated Hydraulic Conductivity
3.3. Soil Water Retention
3.4. Pore Size Distribution
4. Discussion
5. Conclusions
Author Contributions
Funding
Conflicts of Interest
References
- Lin, H. Understanding soil architecture and its functional manifestation across scales. In Hydropedology: Synergistic Integration of Soil Science and Hydrology; Lin, H., Ed.; Academic Press: San Diego, CA, USA, 2012; pp. 41–74. [Google Scholar]
- Ma, Y.J.; Li, X.Y.; Guo, L.; Lin, H. Hydropedology: Interactions between pedologic and hydrologic processes across spatiotemporal scales. Earth Sci. Rev. 2017, 171, 181–195. [Google Scholar] [CrossRef]
- Kutílek, M. Soil hydraulic properties as related to soil structure. Soil Tillage Res. 2004, 79, 175–184. [Google Scholar] [CrossRef]
- Kutílek, M.; Nielsen, D.R. Interdisciplinarity of hydropedology. Geoderma 2007, 138, 252–260. [Google Scholar] [CrossRef]
- Chen, Y.; Day, S.D.; Wick, A.F.; McGuire, K.J. Influence of urban land development and subsequent soil rehabilitation on soil aggregates, carbon, and hydraulic conductivity. Sci. Total Environ 2014, 494–495, 329–336. [Google Scholar] [CrossRef] [PubMed]
- Nimmo, J.R.; Perkins, K.S.; Schmidt, K.M.; Miller, D.M.; Stock, J.D.; Singha, K. Hydrologic characterization of desert soils with varying degrees of pedogenesis: 1. Field experiments evaluating plant-relevant soil water behavior. Vadose Zone J. 2009, 8, 480–495. [Google Scholar] [CrossRef]
- Dyck, M.; Kachanoski, R. Scale-dependent covariance of soil physical properties above and below a soil horizon interface: Pedogenic versus anthropogenic influences on total porosity. Can. J. Soil Sci. 2011, 91, 149–159. [Google Scholar] [CrossRef]
- Dyck, M.F.; Kachanoski, R.G. Measurement of transient soil water flux across a soil horizon interface. Soil Sci. Soc. Am. J. 2009, 73, 1604–1613. [Google Scholar] [CrossRef]
- Schwen, A.; Zimmermann, M.; Bodner, G. Vertical variations of soil hydraulic properties within two soil profiles and its relevance for soil water simulations. J. Hydrol. 2014, 516, 169–181. [Google Scholar] [CrossRef]
- Coquet, Y.; Vachier, P.; Labat, C. Vertical variation of near-saturated hydraulic conductivity in three soil profiles. Geoderma 2005, 126, 181–191. [Google Scholar] [CrossRef]
- Lal, R.; Shukla, M.K. Principles of Soil Physics; CRC Press: Boca Raton, FL, USA, 2004. [Google Scholar]
- Novak, S.M.; Portal, J.M.; Schiavon, M. Effects of soil type upon metolachlor losses in subsurface drainage. Chemosphere 2001, 42, 235–244. [Google Scholar] [CrossRef]
- Guo, L.; Lin, H. Critical zone research and observatories: Current status and future perspectives. Vadose Zone J. 2016, 15, vzj2016.06.0050. [Google Scholar] [CrossRef]
- Al-Ismaily, S.S.; Al-Maktoumi, A.K.; Kacimov, A.R.; Al-Saqri, S.M.; Al-Busaidi, H.A. Impact of a recharge dam on the hydropedology of arid zone soils in Oman: Anthropogenic formation factor. J. Hydrol. Eng. 2015, 20, 04014053. [Google Scholar] [CrossRef]
- Al-Saqri, S.M.; Al-Maktoumi, A.K.; Al-Ismaily, S.S.; Kacimov, A.R.; Al-Saqri, S.M.; Al-Busaidi, H.A. Hydropedology and soil evolution in explaining the hydrological properties of recharge dams in arid zone environments. Arab. J. Geosci. 2016, 9, 47. [Google Scholar] [CrossRef]
- Luo, L.; Lin, H.; Li, S. Quantification of 3-D soil macropore networks in different soil types and land uses using computed tomography. J. Hydrol. 2010, 393, 53–64. [Google Scholar] [CrossRef]
- Shi, Z.J.; Xu, L.H.; Wang, Y.H.; Yang, X.H.; Jia, Z.Q.; Guo, H.; Xiong, W.; Yu, P.T. Effect of rock fragments on macropores and water effluent in a forest soil in the stony mountains of the Loess Plateau, China. Afr. J. Biotechnol. 2012, 11, 9350–9361. [Google Scholar]
- Zhang, Y.H.; Zhang, M.X.; Niu, J.Z.; Li, H.; Xiao, R.; Zheng, H.J.; Bech, J. Rock fragments and soil hydrological processes: Significance and progress. Catena 2016, 147, 153–166. [Google Scholar] [CrossRef]
- Parajuli, K.; Sadeghi, M.; Jones, S.B. A binary mixing model for characterizing stony-soil water retention. Agric. For. Meteorol. 2017, 244–245, 1–8. [Google Scholar] [CrossRef]
- Ilek, A.; Kucza, J.; Witek, W. Using undisturbed soil samples to study how rock fragments and soil macropores affect the hydraulic conductivity of forest stony soils: Some methodological aspects. J. Hydrol. 2019, 570, 132–140. [Google Scholar] [CrossRef]
- Zhou, B.B.; Shao, M.A.; Shao, H.B. Effects of rock fragments on water movement and solute transport in a Loess Plateau soil. C. R. Geosci. 2009, 341, 462–472. [Google Scholar]
- Da Silva, P.; Nadler, A.; Kay, B.D. Factors contributing to temporal stability in spatial patterns of water content in the tillage zone. Soil Tillage Res. 2001, 58, 207–218. [Google Scholar] [CrossRef]
- Tomer, M.D.; Cambardella, C.A.; James, D.E.; Moorman, T.B. Surface-soil properties and water contents across two watersheds with contrasting tillage histories. Soil Sci. Soc. Am. J. 2006, 70, 620–630. [Google Scholar] [CrossRef]
- Guber, A.K.; Gish, T.J.; Pachepsky, Y.A.; van Genuchten, M.T.; Daughtry, C.S.T.; Nicholson, T.J.; Cady, R.E. Temporal stability in soil water content patterns across agricultural fields. Catena 2008, 73, 125–133. [Google Scholar] [CrossRef]
- Arnhold, S.; Otieno, D.; Onyango, J.; Koellner, T.; Huwe, B.; Tenhunen, J. Soil properties along a gradient from hillslopes to the savanna plains in the Lambwe Valley, Kenya. Soil Tillage Res. 2015, 154, 75–83. [Google Scholar] [CrossRef]
- Fuentes, J.P.; Flury, M.; Bezdicek, D.F. Hydraulic properties in a silt loam soil under natural prairie, conventional till, and no-till. Soil Sci. Soc. Am. J. 2004, 68, 1679–1688. [Google Scholar] [CrossRef]
- Seobi, T.; Anderson, S.H.; Udawatta, R.P.; Gantzer, C.J. Influence of grass and agroforestry buffer strips on soil hydraulic properties for an Albaqualf. Soil Sci. Soc. Am. J. 2005, 69, 893–901. [Google Scholar] [CrossRef]
- Rachman, A.; Anderson, S.; Gantzer, C.; Alberts, E.E. Soil hydraulic properties influenced by stiff-stemmed grass hedge systems. Soil Sci. Soc. Am. J. 2004, 68, 1386–1393. [Google Scholar] [CrossRef]
- Sahin, H.; Anderson, S.; Udawatta, R. Water infiltration and soil water content in claypan soils influenced by agroforestry and grass buffers compared to row crop management. Agrofor. Syst. 2016, 90, 839–860. [Google Scholar] [CrossRef]
- Zaibon, S.; Anderson, S.H.; Kitchen, N.R.; Haruna, S.I. Hydraulic properties affected by topsoil thickness in switchgrass and corn–soybean cropping systems. Soil Sci. Soc. Am. J. 2016, 80, 1365–1376. [Google Scholar] [CrossRef]
- Ilek, A.; Kucza, J. A laboratory method to determine the hydraulic conductivity of mountain forest soils using undisturbed soil samples. J. Hydrol. 2014, 519, 1649–1659. [Google Scholar] [CrossRef]
- Walkley, A.; Black, I.A. An examination of the Degtjareff method for determining soil organic matter, and a proposed modification of the chromic acid titration method. Soil Sci. 1934, 37, 29–38. [Google Scholar] [CrossRef]
- Russell, M.; Richards, L. The Determination of Soil Moisture Energy Relations by Centrifugation 1. Soil Sci. Soc. Am. J. 1939, 3, 65–69. [Google Scholar] [CrossRef]
- Van Genuchten, M.T. A closed-form equation for predicting the hydraulic conductivity of unsaturated soils 1. Soil Sci. Soc. Am. J. 1980, 44, 892–898. [Google Scholar] [CrossRef]
- Van Genuchten, M.V.; Leij, F.; Yates, S. The RETC Code for Quantifying the Hydraulic Functions of Unsaturated Soils; US Sal. Lab.: Riverside, CA, USA, 1991. [Google Scholar]
- Hill, R.L.; Horton, R.; Cruse, R.M. Tillage Effects on Soil Water Retention and Pore Size Distribution of Two Mollisols 1. Soil Sci. Soc. Am. J. 1985, 49, 1264–1270. [Google Scholar] [CrossRef]
- Anderson, S.H.; Gantzer, C.J.; Brown, J.R. Soil physical properties after 100 years of continuous cultivation. J. Soil Water Conserv. 1990, 45, 117–121. [Google Scholar]
- Haruna, S.I.; Anderson, S.H.; Nkongolo, N.V.; Zaibon, S. Soil hydraulic properties: Influence of tillage and cover crops. Pedosphere 2018, 28, 430–442. [Google Scholar] [CrossRef]
- Power, J.F.; Sandoval, F.M.; Ries, R.E.; Merrill, S.D. Effects of topsoil and subsoil thickness on soil water content and crop production on a disturbed soil. Soil Sci. Soc. Am. J. 1981, 45, 124–129. [Google Scholar] [CrossRef]
- Van Wesemael, B.; Mulligan, M.; Poesen, J. Spatial patterns of soil water balance on intensively cultivated hillslopes in a semi-arid environment: The impact of rock fragments and soil thickness. Hydrol. Process. 2000, 14, 1811–1828. [Google Scholar] [CrossRef]
- Fu, Z.Y.; Li, Z.X.; Cai, C.F.; Zhao, Y.; Shi, Z.H.; Xu, Q.X.; Wang, X.Y. Linking soil thickness and plot-scale hydrological processes on the sloping lands in the Three Gorges Area of China: A hydropedological approach. Hydrol. Process. 2012, 26, 2248–2263. [Google Scholar] [CrossRef]
- DeFauw, S.L.; Brye, K.R.; Sauer, T.J.; Hays, P. Hydraulic and Physiochemical Properties of a Hillslope Soil Assemblage in the Ozark Highlands. Soil Sci. 2014, 179, 107–117. [Google Scholar] [CrossRef]
- Jiang, P.; Anderson, S.H.; Kitchen, N.R.; Sadler, E.J.; Sudduth, K.A. Landscape and Conservation Management Effects on Hydraulic Properties of a Claypan-Soil Toposequence. Soil Sci. Soc. Am. J. 2007, 71, 803–811. [Google Scholar] [CrossRef]
- Wang, F.; Chen, H.; Lian, J.; Fu, Z.; Nie, Y. Preferential Flow in Different Soil Architectures of a Small Karst Catchment. Vadose Zone J. 2018, 17, 180107. [Google Scholar] [CrossRef]
- Nasri, B.; Fouché, O.; Torri, D. Coupling published pedotransfer functions for the estimation of bulk density and saturated hydraulic conductivity in stony soils. Catena 2015, 131, 99–108. [Google Scholar] [CrossRef]
- Gonzalez-Sosa, E.; Braud, I.; Dehotin, J.; Lassabatère, L.; Angulo-Jaramillo, R.; Lagouy, M.; Branger, F.; Jacqueminet, C.; Kermadi, S.; Michel, K. Impact of land use on the hydraulic properties of the topsoil in a small French catchment. Hydrol. Process. 2010, 24, 2382–2399. [Google Scholar] [CrossRef]
- Zhang, Y.W.; Deng, L.; Yan, W.M.; Shangguan, Z.P. Interaction of soil water storage dynamics and long-term natural vegetation succession on the Loess Plateau, China. Catena 2016, 137, 52–60. [Google Scholar] [CrossRef]
- Kalhoro, S.A.; Xu, X.X.; Ding, K.; Chen, W.Y.; Shar, A.G.; Rashid, M. The effects of different land uses on soil hydraulic properties in the Loess Plateau, Northern China. Land Degrad. Dev. 2018, 29, 3907–3916. [Google Scholar] [CrossRef]
- Çerçioğlu, M.; Anderson, S.H.; Udawatta, R.P.; Alagele, S. Effect of cover crop management on soil hydraulic properties. Geoderma 2019, 343, 247–253. [Google Scholar] [CrossRef]
- Hu, W.; Tabley, F.; Beare, M.; Tregurtha, C.; Gillespie, R.; Qiu, W.; Gosden, P. Short-Term Dynamics of Soil Physical Properties as Affected by Compaction and Tillage in a Silt Loam Soil. Vadose Zone J. 2018, 17, 180115. [Google Scholar] [CrossRef]
- Strudley, M.W.; Green, T.R.; Ascough, J.C., II. Tillage effects on soil hydraulic properties in space and time: State of the science. Soil Tillage Res. 2008, 99, 4–48. [Google Scholar] [CrossRef]
- Harden, C.P. Human impacts on headwater fluvial systems in the northern and central Andes. Geomorphology 2006, 79, 249–263. [Google Scholar] [CrossRef]
- Huang, Z.; Sun, L.; Liu, Y.; Liu, Y.F.; López-Vicente, M.; Wei, X.H.; Wu, G.L. Alfalfa planting significantly improved alpine soil water infiltrability in the Qinghai-Tibetan Plateau. Agric. Ecosyst. Environ. 2019, 285, 106606. [Google Scholar] [CrossRef]
- Mudgal, A.; Anderson, S.; Baffaut, C.; Kitchen, N.R.; Sadler, E.J. Effects of long-term soil and crop management on soil hydraulic properties for claypan soils. J. Soil. Water Conserv. 2010, 65, 393–403. [Google Scholar] [CrossRef]
- Mubarak, I.; Mailhol, J.C.; Angulo-Jaramillo, R.; Bouarfa, S.; Ruelle, P. Effect of temporal variability in soil hydraulic properties on simulated water transfer under highfrequency drip irrigation. Agric. Water Manag. 2009, 96, 1547–1559. [Google Scholar] [CrossRef]
- Kargas, G.; Kerkides, P.; Sotirakoglou, K.; Poulovassilis, A. Temporal variability of surface soil hydraulic properties under various tillage systems. Soil Tillage Res. 2016, 158, 22–31. [Google Scholar] [CrossRef]
- Zhang, M.; Lu, Y.; Heitman, J.; Horton, R.; Ren, T. Temporal changes of soil water retention behavior as affected by wetting and drying following tillage. Soil Sci. Soc. Am. J. 2017, 81, 1288–1295. [Google Scholar] [CrossRef]
- Kool, D.; Tong, B.; Tian, Z.; Heitman, J.L.; Sauer, T.J.; Horton, R. Soil water retention and hydraulic conductivity dynamics following tillage. Soil Tillage Res. 2019, 193, 95–100. [Google Scholar] [CrossRef]
- Zimmermann, B.; Elsenbeer, H.; De Moraes, J.M. The influence of land-use changes on soil hydraulic properties: Implications for runoff generation. For. Ecol. Manag. 2006, 222, 29–38. [Google Scholar] [CrossRef]
- Hellebrand, H.; Hoffmann, L.; Juilleret, J.; Pfister, L. Assessing winter storm flow generation by means of permeability of the lithology and dominating runoff production processes. Hydrol. Earth Syst. Sci. 2007, 11, 1673–1682. [Google Scholar] [CrossRef]
- Ghimire, C.P.; Bonell, M.; Bruijnzeel, L.; Coles, N.; Lubczynski, M.W. Reforesting severely degraded grassland in the Lesser Himalaya of Nepal: Effects on soil hydraulic conductivity and overland flow production. J. Geophys. Res. Earth Surf. 2013, 118, 2528–2545. [Google Scholar] [CrossRef]
- Tian, J.; Zhang, B.; He, C.; Yang, L. Variability in soil hydraulic conductivity and soil hydrological response under different land covers in the mountainous area of the Heihe River watershed, northwest China. Land Degrad. Dev. 2017, 28, 1437–1449. [Google Scholar] [CrossRef]
- Meadows, D.G.; Young, M.H.; McDonald, E.V. Influence of relative surface age on hydraulic properties and infiltration on soils associated with desert pavements. Catena 2008, 72, 169–178. [Google Scholar] [CrossRef]
- Rousseva, S.; Kercheva, M.; Shishkov, T.; Lair, G.J.; Nikolaidis, N.P.; Moraetis, D.; Krám, P.; Bernasconi, S.M.; Blum, W.E.H.; Menon, M.; et al. Advances in Agronomy; Chapter Two—Soil Water Characteristics of European SoilTrEC Critical Zone Observatories; Steven, A., Donald, B., Sparks, L., Eds.; Academic Press: Cambridge, MA, USA, 2017; Volume 142, pp. 29–72. [Google Scholar]
- Lin, H.S. Chapter 1: Hydropedology: Addressing fundamentals and building bridges to understand complex pedologic and hydrologic interactions. In Hydropedology: Synergistic Integration of Soil Science and Hydrology; Lin, H.S., Ed.; Elsevier: Amsterdam, The Netherlands, 2012; pp. 3–39. [Google Scholar]
- Ghimire, C.P.; Bruijnzeel, L.A.; Bonell, M.; Coles, N.; Lubczynski, M.W.; Gilmour, D.A. The effects of sustained forest use on hillslope soil hydraulic conductivity in the Middle Mountains of Central Nepal. Ecohydrology 2014, 7, 478–495. [Google Scholar] [CrossRef]





| Profiles | Landscape Position | Land Use | Replicates | Soil Thickness (cm) | Elevation(m) | Slope Gradient (°) |
|---|---|---|---|---|---|---|
| SLSG | ||||||
| SLSG1 | shoulder | grassland | 3 | 15 | 355 | 5 |
| SLSG2 | shoulder | grassland | 3 | 12 | 334 | 3 |
| SLSC | ||||||
| SLSC1 | shoulder | cropland | 3 | 25 | 342 | 1 |
| SLSC2 | shoulder | cropland | 3 | 20 | 358 | 2 |
| SSLG | ||||||
| SSLG1 | backslope | grassland | 3 | 30 | 292 | 2 |
| SSLG2 | backslope | grassland | 3 | 35 | 307 | 1 |
| SSLC | ||||||
| SSLC1 | backslope | cropland | 3 | 25 | 277 | 7 |
| SSLC2 | backslope | cropland | 3 | 30 | 294 | 1 |
| SSLC3 | backslope | cropland | 3 | 28 | 280 | 5 |
| DSLG | ||||||
| DSLG1 | footslope | grassland | 3 | >100 | 252 | 3 |
| DSLG2 | footslope | grassland | 3 | 90 | 246 | 2 |
| DSLG3 | footslope | grassland | 3 | 85 | 244 | 2 |
| DSLC | ||||||
| DSLC1 | footslope | cropland | 3 | 86 | 253 | 1 |
| DSLC2 | footslope | cropland | 3 | >100 | 221 | 1 |
| DSLC3 | footslope | cropland | 3 | 82 | 241 | 3 |
| Profile | Bulk Density (g cm−3) | Clay (%) | Silt (%) | Sand (%) | Soil Texture | Total Porosity (%) | Organic Carbon (g kg−1) | Rock Fragment Content (%) |
|---|---|---|---|---|---|---|---|---|
| SLSG | ||||||||
| SLSG1 | 1.28 ± 0.02 | 10.4 ± 1.1 | 9.8 ± 0.8 | 79.8 ± 3.2 | loamy sand | 51.7 ± 1.2 | 28.6 ± 0.8 | 9.5 ± 2.4 |
| SLSG2 | 1.33 ± 0.01 | 10.7 ± 0.5 | 8.8 ± 1.2 | 80.5 ± 0.6 | loamy sand | 49.8 ± 0.8 | 28.1 ± 0.2 | 7.5 ± 0.2 |
| SLSC | ||||||||
| SLSC1 | 1.37 ± 0.03 | 11.3 ± 0.8 | 6.8 ± 0.1 | 81.9 ± 1.8 | loamy sand | 48.3 ± 1.2 | 15.2 ± 0.6 | 8.7 ± 1.5 |
| SLSC2 | 1.41 ± 0.02 | 11.2 ± 1.3 | 6.1 ± 0.3 | 82.7 ± 2.5 | loamy sand | 46.8 ± 0.6 | 14.9 ± 1.3 | 7.6 ± 1.8 |
| SSLG | ||||||||
| SSLG1 | 1.33 ± 0.02 | 14.6 ± 0.4 | 30.6 ± 0.9 | 54.8 ± 1.2 | sandy loam | 49.8 ± 0.6 | 34.4 ± 2.4 | 10.4 ± 0.5 |
| SSLG2 | 1.35 ± 0.04 | 14.4 ± 0.2 | 30.4 ± 1.3 | 55.2 ± 0.5 | sandy loam | 49.1 ± 0.5 | 32.8 ± 0.5 | 9.7 ± 1.3 |
| SSLC | ||||||||
| SSLC1 | 1.20 ± 0.01 | 14.7 ± 0.6 | 17.6 ± 0.2 | 67.7 ± 1.4 | sandy loam | 54.7 ± 0.6 | 26.1 ± 1.6 | 5.6 ± 0.4 |
| SSLC2 | 1.23 ± 0.01 | 12.9 ± 0.4 | 18.2 ± 0.1 | 68.9 ± 1.1 | sandy loam | 53.6 ± 1.8 | 27.1 ± 0.4 | 5.5 ± 0.2 |
| SSLC3 | 1.26 ± 0.01 | 13.8 ± 0.3 | 15.0 ± 0.2 | 71.2 ± 2.3 | sandy loam | 52.5 ± 2.5 | 27.6 ± 1.1 | 4.9 ± 1.1 |
| DSLG | ||||||||
| DSLG1 | 1.12 ± 0.03 | 12.7 ± 0.3 | 18.6 ± 0.2 | 68.7 ± 2.1 | sandy loam | 57.7 ± 1.3 | 31.4 ± 2.5 | 6.6 ± 0.2 |
| DSLG2 | 1.10 ± 0.01 | 12.6 ± 0.5 | 19.2 ± 0.5 | 68.2 ± 0.5 | sandy loam | 58.4 ± 1.2 | 34.6 ± 2.2 | 7.3 ± 0.6 |
| DSLG3 | 1.17 ± 0.01 | 12.6 ± 0.8 | 19.1 ± 0.3 | 68.3 ± 1.6 | sandy loam | 55.8 ± 0.1 | 33.9 ± 0.8 | 5.9 ± 0.1 |
| DSLC | ||||||||
| DSLC1 | 1.11 ± 0.04 | 17.1 ± 1.1 | 7.9 ± 0.4 | 75.0 ± 0.9 | sandy loam | 58.1 ± 1.1 | 15.5 ± 0.3 | 5.2 ± 0.4 |
| DSLC2 | 1.14 ± 0.02 | 18.8 ± 0.6 | 5.9 ± 0.1 | 75.3 ± 3.4 | sandy loam | 56.9 ± 0.6 | 20.2 ± 1.2 | 6.3 ± 1.8 |
| DSLC3 | 1.24 ± 0.01 | 18.2 ± 0.5 | 6.1 ± 0.1 | 75.7 ± 2.9 | sandy loam | 53.2 ± 0.5 | 21.1 ± 0.9 | 5.5 ± 1.4 |
| Treatment | Sampling Depth (cm) | |||
|---|---|---|---|---|
| 0–10 | 10–20 | 20–30 | 30–40 | |
| g cm−3 | ||||
| Soil architecture | ||||
| SLSG | 1.28 ± 0.08ab | 1.35 ± 0.07ab | 1.46 ± 0.09a | 1.61 ± 0.07ab |
| SLSC | 1.36 ± 0.09a | 1.40 ± 0.05a | 1.41 ± 0.08a | 1.47 ± 0.07c |
| SSLG | 1.33 ± 0.10a | 1.43 ± 0.11a | 1.46 ± 0.09a | 1.63 ± 0.10a |
| SSLC | 1.23 ± 0.09bc | 1.26 ± 0.08b | 1.40 ± 0.07a | 1.61 ± 0.06ab |
| DSLG | 1.13 ± 0.03d | 1.28 ± 0.09b | 1.30 ± 0.07b | 1.53 ± 0.10bc |
| DSLC | 1.16 ± 0.07cd | 1.28 ± 0.06b | 1.48 ± 0.09a | 1.51 ± 0.06c |
| Landscape position | ||||
| shoulder | 1.32 ± 0.09a | 1.38 ± 0.06a | 1.44 ± 0.09a | 1.54 ± 0.10b |
| backslope | 1.28 ± 0.10a | 1.34 ± 0.13ab | 1.43 ± 0.08a | 1.62 ± 0.08a |
| footslope | 1.14 ± 0.05b | 1.28 ± 0.08b | 1.39 ± 0.12a | 1.52 ± 0.08b |
| Land management | ||||
| grassland | 1.24 ± 0.11a | 1.35 ± 0.11a | 1.41 ± 0.11a | 1.59 ± 0.09a |
| cropland | 1.25 ± 0.11a | 1.31 ± 0.09a | 1.43 ± 0.08a | 1.53 ± 0.09b |
| Treatment | Soil Water Pressure (kPa) | |||||||||
|---|---|---|---|---|---|---|---|---|---|---|
| 0.0 | −0.4 | −2.5 | −5.0 | −10.0 | −20.0 | −33.0 | −100 | −1500 | ||
| cm3 cm−3 | ||||||||||
| Landscape position | ||||||||||
| Shoulder | 0–10 cm | 0.327 ± 0.015 | 0.288 ± 0.018 | 0.254 ± 0.015 | 0.231 ± 0.020 | 0.199 ± 0.010 | 0.178 ± 0.010 | 0.154 ± 0.013 | 0.122 ± 0.008 | 0.088 ± 0.003 |
| 10–20 cm | 0.304 ± 0.018 | 0.277 ± 0.020 | 0.251 ± 0.022 | 0.231 ± 0.017 | 0.192 ± 0.013 | 0.173 ± 0.013 | 0.153 ± 0.017 | 0.131 ± 0.006 | 0.084 ± 0.002 | |
| 20–30 cm | 0.282 ± 0.012 | 0.261 ± 0.015 | 0.230 ± 0.007 | 0.215 ± 0.009 | 0.188 ± 0.021 | 0.174 ± 0.022 | 0.157 ± 0.017 | 0.127 ± 0.003 | 0.083 ± 0.003 | |
| 30–40 cm | 0.277 ± 0.012 | 0.249 ± 0.013 | 0.224 ± 0.018 | 0.212 ± 0.015 | 0.192 ± 0.014 | 0.180 ± 0.016 | 0.167 ± 0.017 | 0.132 ± 0.017 | 0.088 ± 0.004 | |
| backslope | 0–10 cm | 0.288 ± 0.007 | 0.263 ± 0.014 | 0.246 ± 0.012 | 0.221 ± 0.014 | 0.200 ± 0.004 | 0.164 ± 0.012 | 0.139 ± 0.019 | 0.123 ± 0.011 | 0.089 ± 0.022 |
| 10–20 cm | 0.283 ± 0.007 | 0.260 ± 0.017 | 0.238 ± 0.024 | 0.221 ± 0.018 | 0.201 ± 0.027 | 0.179 ± 0.024 | 0.158 ± 0.027 | 0.136 ± 0.032 | 0.096 ± 0.003 | |
| 20–30 cm | 0.280 ± 0.005 | 0.262 ± 0.010 | 0.236 ± 0.001 | 0.219 ± 0.001 | 0.188 ± 0.004 | 0.172 ± 0.004 | 0.152 ± 0.018 | 0.117 ± 0.019 | 0.079 ± 0.008 | |
| 30–40 cm | 0.257 ± 0.008 | 0.241 ± 0.010 | 0.222 ± 0.013 | 0.209 ± 0.011 | 0.195 ± 0.009 | 0.180 ± 0.012 | 0.161 ± 0.018 | 0.127 ± 0.013 | 0.081 ± 0.025 | |
| footslope | 0–10 cm | 0.332 ± 0.010 | 0.314 ± 0.013 | 0.295 ± 0.002 | 0.277 ± 0.005 | 0.261 ± 0.012 | 0.242 ± 0.011 | 0.224 ± 0.009 | 0.182 ± 0.002 | 0.117 ± 0.032 |
| 10–20 cm | 0.305 ± 0.002 | 0.289 ± 0.003 | 0.278 ± 0.007 | 0.263 ± 0.012 | 0.249 ± 0.016 | 0.236 ± 0.019 | 0.225 ± 0.018 | 0.195 ± 0.006 | 0.140 ± 0.013 | |
| 20–30 cm | 0.305 ± 0.011 | 0.292 ± 0.014 | 0.284 ± 0.016 | 0.270 ± 0.016 | 0.257 ± 0.018 | 0.248 ± 0.016 | 0.236 ± 0.009 | 0.206 ± 0.005 | 0.151 ± 0.004 | |
| 30–40 cm | 0.299 ± 0.015 | 0.291 ± 0.016 | 0.280 ± 0.020 | 0.269 ± 0.025 | 0.254 ± 0.027 | 0.236 ± 0.024 | 0.226 ± 0.027 | 0.189 ± 0.009 | 0.129 ± 0.011 | |
| Land use | ||||||||||
| grassland | 0–10 cm | 0.308 ± 0.023 | 0.278 ± 0.026 | 0.258 ± 0.030 | 0.234 ± 0.035 | 0.214 ± 0.034 | 0.187 ± 0.042 | 0.163 ± 0.049 | 0.138 ± 0.037 | 0.101 ± 0.034 |
| 10–20 cm | 0.291 ± 0.013 | 0.266 ± 0.020 | 0.243 ± 0.027 | 0.227 ± 0.024 | 0.201 ± 0.032 | 0.183 ± 0.034 | 0.164 ± 0.042 | 0.144 ± 0.041 | 0.109 ± 0.035 | |
| 20–30 cm | 0.282 ± 0.013 | 0.263 ± 0.017 | 0.245 ± 0.024 | 0.229 ± 0.026 | 0.201 ± 0.038 | 0.188 ± 0.042 | 0.171 ± 0.050 | 0.143 ± 0.052 | 0.102 ± 0.041 | |
| 30–40 cm | 0.269 ± 0.019 | 0.251 ± 0.025 | 0.230 ± 0.031 | 0.218 ± 0.029 | 0.202 ± 0.029 | 0.186 ± 0.028 | 0.170 ± 0.032 | 0.140 ± 0.037 | 0.092 ± 0.028 | |
| cropland | 0–10 cm | 0.323 ± 0.027 | 0.299 ± 0.025 | 0.272 ± 0.022 | 0.252 ± 0.026 | 0.226 ± 0.037 | 0.202 ± 0.041 | 0.182 ± 0.043 | 0.148 ± 0.032 | 0.095 ± 0.009 |
| 10–20 cm | 0.304 ± 0.014 | 0.285 ± 0.011 | 0.268 ± 0.014 | 0.249 ± 0.020 | 0.227 ± 0.030 | 0.209 ± 0.035 | 0.193 ± 0.039 | 0.164 ± 0.032 | 0.104 ± 0.025 | |
| 20–30 cm | 0.296 ± 0.015 | 0.281 ± 0.018 | 0.256 ± 0.034 | 0.240 ± 0.035 | 0.221 ± 0.042 | 0.208 ± 0.045 | 0.192 ± 0.044 | 0.156 ± 0.046 | 0.107 ± 0.041 | |
| 30–40 cm | 0.286 ± 0.024 | 0.270 ± 0.028 | 0.254 ± 0.035 | 0.242 ± 0.039 | 0.226 ± 0.041 | 0.211 ± 0.036 | 0.199 ± 0.040 | 0.159 ± 0.032 | 0.107 ± 0.027 | |
| Treatment | Macroporosity | Coarse Mesoporosity | Fine Mesoporosity | Microporosity | |
|---|---|---|---|---|---|
| cm3 cm−3 | |||||
| Landscape position | |||||
| Shoulder | 0–10 cm | 0.039 ± 0.003 | 0.057 ± 0.002 | 0.077 ± 0.007 | 0.154 ± 0.013 |
| 10–20 cm | 0.027 ± 0.002 | 0.046 ± 0.002 | 0.077 ± 0.001 | 0.153 ± 0.017 | |
| 20–30 cm | 0.021 ± 0.003 | 0.046 ± 0.006 | 0.058 ± 0.008 | 0.157 ± 0.017 | |
| 30–40 cm | 0.029 ± 0.001 | 0.036 ± 0.002 | 0.045 ± 0.002 | 0.167 ± 0.017 | |
| backslope | 0–10 cm | 0.033 ± 0.007 | 0.049 ± 0.001 | 0.084 ± 0.004 | 0.144 ± 0.019 |
| 10–20 cm | 0.028 ± 0.010 | 0.044 ± 0.001 | 0.074 ± 0.009 | 0.152 ± 0.027 | |
| 20–30 cm | 0.020 ± 0.004 | 0.043 ± 0.011 | 0.066 ± 0.019 | 0.154 ± 0.018 | |
| 30–40 cm | 0.023 ± 0.003 | 0.034 ± 0.001 | 0.048 ± 0.007 | 0.164 ± 0.018 | |
| footslope | 0–10 cm | 0.025 ± 0.003 | 0.041 ± 0.008 | 0.082 ± 0.004 | 0.139 ± 0.009 |
| 10–20 cm | 0.024 ± 0.002 | 0.039 ± 0.009 | 0.063 ± 0.007 | 0.158 ± 0.018 | |
| 20–30 cm | 0.018 ± 0.002 | 0.043 ± 0.002 | 0.067 ± 0.007 | 0.152 ± 0.009 | |
| 30–40 cm | 0.015 ± 0.001 | 0.032 ± 0.009 | 0.048 ± 0.002 | 0.161 ± 0.027 | |
| Land use | |||||
| grassland | 0–10 cm | 0.031 ± 0.010 | 0.044 ± 0.014 | 0.071 ± 0.015 | 0.163 ± 0.049 |
| 10–20 cm | 0.025 ± 0.007 | 0.039 ± 0.006 | 0.063 ± 0.018 | 0.164 ± 0.042 | |
| 20–30 cm | 0.019 ± 0.005 | 0.034 ± 0.009 | 0.058 ± 0.026 | 0.171 ± 0.050 | |
| 30–40 cm | 0.019 ± 0.010 | 0.033 ± 0.005 | 0.048 ± 0.004 | 0.170 ± 0.032 | |
| cropland | 0–10 cm | 0.025 ± 0.011 | 0.046 ± 0.008 | 0.070 ± 0.018 | 0.182 ± 0.043 |
| 10–20 cm | 0.019 ± 0.006 | 0.035 ± 0.014 | 0.056 ± 0.022 | 0.193 ± 0.039 | |
| 20–30 cm | 0.015 ± 0.004 | 0.041 ± 0.017 | 0.048 ± 0.008 | 0.192 ± 0.044 | |
| 30–40 cm | 0.016 ± 0.010 | 0.027 ± 0.011 | 0.043 ± 0.001 | 0.199 ± 0.040 | |
© 2019 by the authors. Licensee MDPI, Basel, Switzerland. This article is an open access article distributed under the terms and conditions of the Creative Commons Attribution (CC BY) license (http://creativecommons.org/licenses/by/4.0/).
Share and Cite
Dai, C.; Wang, T.; Zhou, Y.; Deng, J.; Li, Z. Hydraulic Properties in Different Soil Architectures of a Small Agricultural Watershed: Implications for Runoff Generation. Water 2019, 11, 2537. https://doi.org/10.3390/w11122537
Dai C, Wang T, Zhou Y, Deng J, Li Z. Hydraulic Properties in Different Soil Architectures of a Small Agricultural Watershed: Implications for Runoff Generation. Water. 2019; 11(12):2537. https://doi.org/10.3390/w11122537
Chicago/Turabian StyleDai, Cuiting, Tianwei Wang, Yiwen Zhou, Jun Deng, and Zhaoxia Li. 2019. "Hydraulic Properties in Different Soil Architectures of a Small Agricultural Watershed: Implications for Runoff Generation" Water 11, no. 12: 2537. https://doi.org/10.3390/w11122537
APA StyleDai, C., Wang, T., Zhou, Y., Deng, J., & Li, Z. (2019). Hydraulic Properties in Different Soil Architectures of a Small Agricultural Watershed: Implications for Runoff Generation. Water, 11(12), 2537. https://doi.org/10.3390/w11122537
