Response Relationship between Microtopographic Variation and Slope Erosion under Sand-Cover
Abstract
1. Introduction
- (1)
- To elevate the response of the soil erosion to the thickness of sand on the loessal–sand;
- (2)
- to quantify the spatial distribution of soil erosion amount: and
- (3)
- to analyze the relationship between the microtopography factor and sediment.
2. Materials and Methods
2.1. Experimental Design
2.2. Data Collection and Analysis
- (1)
- S is the slope of the point, which refers to the angle between the tangent plane passing through the point and the horizontal plane. It is the maximum ratio of height change, indicating the degree of inclination of the ground surface at that point. It is extracted by the slope function in ArcGIS GIS software.
- (2)
- R is the surface roughness, defined as the ratio of the surface area of the surface element to the projected area on the horizontal plane, which is expressed as:R = Ssurface/SlevelAfter simplification, the calculation formula was obtained: R = 1/cos (S × π/180), S is the slope of the analysis window (°).
- (3)
- SI refers to the earth’s surface incision at every point on the ground. Expressed as a formula:SI = Hmean − Hmin
3. Results
3.1. Change Process of Sediment Concentration on Slopes under Different Thickness of Sand
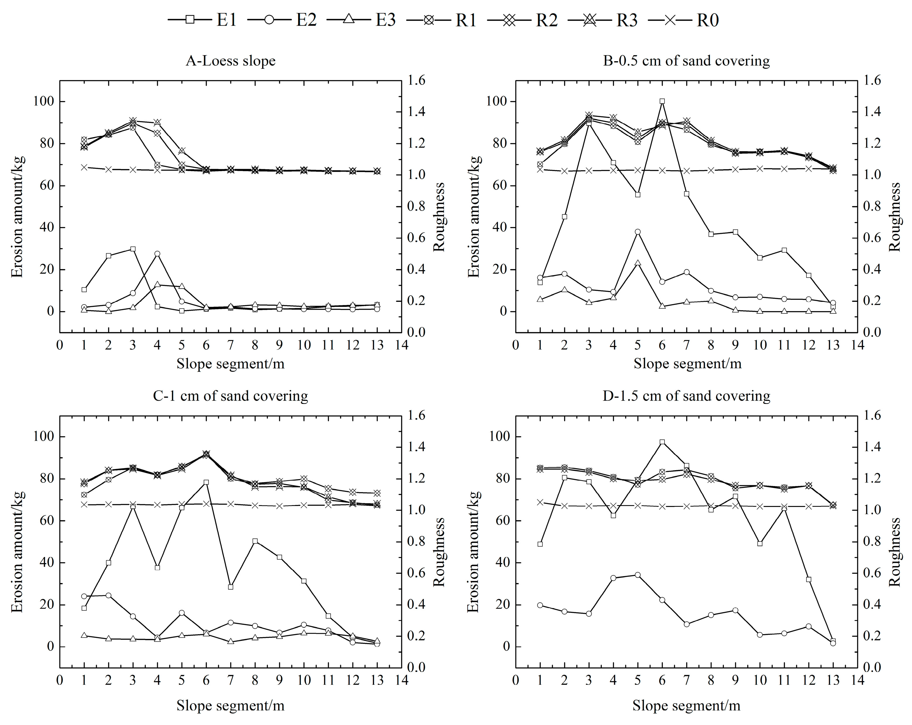
3.2. Spatial Distribution Characteristics of Soil Erosion on Slope
3.3. Slope Microtopographic Spatial Change
3.4. Response between Soil Erosion and Topographic Factors
4. Discussion
4.1. Response of Soil Erosion and Microtopographic on Overlying Slope
4.2. The influence of Hydrodynamic Factors on Erosion
5. Conclusions
- Under continuous rainfall, the average sediment concentration on the slope decreased significantly with subsequent rainfall events. In the same rainfall regime, there was a significant difference in the sediment concentration between slopes with 0.5 cm and 1.5 cm sand cover, and between 1 cm and 1.5 cm sand cover (p < 0.05). In addition, during the first rainfall, the increase of sand thickness extends the initial runoff time of the slope.
- In the continuous rainfall process, the middle and lower parts of the slope were the most vulnerable to water erosion. As the rainfall progressed, the peak area of erosion moved in the direction of the slope. The main sand production area was 1–6 m slope section, and there was little sand production on the slope. While on the slope surface, a large amount of sediment production occurred under the condition of sand covering. The sediment yield in the middle and lower part of the slope (1–6 m) was larger than the upper middle part of the slope (7–13 m) and the peak area of erosion was also distributed on the slope 4–6 m. The slope section indicated that for the prevention and control of slope erosion, the treatment of the middle and lower slope section is more important than the middle and upper slope sections.
- The microtopographic index on the loess slope gradually increased with the progress of rainfall. The microtopographic index of the overlying slope was generally larger than that of the loess slope. There was no significant difference in the microtopographic factors between the three rainfalls under each sediment thickness (p > 0.05).
- The correlation between the microtopographic variation and the erosion amount of the loess slope under different fields was very strong, but the sand-covered slope had only a significant correlation during the first rainfall event. The microtopographic factors with the strongest erosion responses were surface cutting depth and surface roughness for the loess and sand slopes, respectively. The coefficient of determination of the regression equation of the loess slope (R2 = 0.903) was larger than that of the slope of the sand (R2 = 0.788). Therefore, for the study of the erosion response mechanism of the slope, it is necessary to add other sensitive indicators for a comprehensive analysis.
Author Contributions
Funding
Acknowledgments
Conflicts of Interest
References
- Penuela, A.; Javaux, M.; Bielders, C.L. How do slope and surface roughness affect plot-scale overland flow connectivity. J. Hydrol. 2015, 528, 192–205. [Google Scholar] [CrossRef]
- Rai, R.K.; Upadhyay, A.; Singh, V.P. Effect of variable roughness on runoff. J. Hydrol. 2010, 382, 115–127. [Google Scholar] [CrossRef]
- Gómez, J.A.; Nearing, M.A. Runoff and sediment losses from rough and smooth soil surfaces in a laboratory experiment. Catena 2005, 59, 253–266. [Google Scholar] [CrossRef]
- Zhao, L.S.; Liang, X.L.; Wu, F.Q. Soil surface roughness change and its effect on runoff and erosion on the Loess Plateau of China. J. Arid Land 2014, 6, 400–409. [Google Scholar] [CrossRef]
- Wang, T.; Li, P.; Liu, Y.; Hou, J.; Li, Z.; Ren, Z.; Cheng, S.; Zhao, J.; Hinkelmann, R. Experimental investigation of freeze-thaw meltwater compound erosion and runoff energy consumption on loessal slopes. Catena 2020, 185, 104310. [Google Scholar] [CrossRef]
- Darboux, F.; Huang, C.H. Does soil surface roughness increase or decrease water and particle transfers. Soil Sci. Soc. Am. J. 2005, 69, 748–756. [Google Scholar] [CrossRef]
- Huang, C.H.; Bradford, J.M. Depressional storage for Markov-Gaussian surfaces. Water Resour. Res. 1990, 26, 22–35. [Google Scholar] [CrossRef]
- Jester, W.; Klik, A.; Hauer, G.; Hebel, B.; Truman, C.C. Rainfall and surface roughness effects on soil loss and surface runoff. In Proceedings of the Soil Erosion Research for the 21st Century: Proceedings of the International Symposium, Honolulu, HI, USA, 3–5 January 2001; pp. 463–466. [Google Scholar]
- Johnson, C.B.; Mannering, J.V.; Moldenhauer, W.C. Influence of surface roughness and clod size and stability on soil and water losses1. Soil Sci. Soc. Am. J. 1979, 43, 772–777. [Google Scholar] [CrossRef]
- Onstad, C.A. Depressional storage on tilled soil surfaces. Trans. ASAE 1984, 27, 729–732. [Google Scholar] [CrossRef]
- Zheng, Z.; Qin, F.; Li, T. Changes in soil surface microrelief of purple soil under different slope gradients and its effects on soil erosion. Trans. Chin. Soc. Agric. Eng. 2015, 31, 168–175, (In Chinese with English Abstract). [Google Scholar]
- Rice, C.; Wilson, B.N.; Appleman, M. Soil topography measurements using image processing techniques. Comput. Electron. Agric. 1988, 3, 97–107. [Google Scholar] [CrossRef]
- Thomsen, L.M.; Baartman, J.E.M.; Barneveld, R.J.; Starkloff, T.; Stolte, J. Soil surface roughness: Comparing old and new measuring methods and application in a soil erosion model. Soil Discuss. 2015, 1, 399–410. [Google Scholar] [CrossRef]
- Wang, T.; Li, P.; Hou, J.; Li, Z.; Ren, Z.; Cheng, S.; Xu, G.; Su, Y.; Wang, F. Response of the Meltwater Erosion to Runoff Energy Consumption on Loessal Slopes. Water 2018, 10, 1522. [Google Scholar] [CrossRef]
- Liu, J.; Wang, Z.; Gao, S.; Zhang, K. Experimental study on hydro-dynamic mechanism of sheet erosion processes on loess hillslope. Trans. Chin. Soc. Agric. Eng. 2012, 28, 144–149, (In Chinese with English Abstract). [Google Scholar]
- Shi, P.; Zhang, Y.; Ren, Z.; Yu, Y.; Li, P.; Gong, J. Land-use changes and check dams reducing runoff and sediment yield on the Loess Plateau of China. Sci. Total Environ. 2019, 664, 984–994. [Google Scholar] [CrossRef]
- Tang, H.; Li, Z.B.; Li, P.; Wang, T. Runoff, Sediment yield and microtopography of loess slope under artificial rain. J. Desert Res. 2016, 36, 1708–1712, (In Chinese with English Abstract). [Google Scholar]
- Zhao, L.S.; Zhang, Q.F.; Wang, J.; Wu, F.Q. Effect of soil surface roughness on rainfall erosion as affected by slope position on loess slope. Acta Pedol. Sin. 2013, 50, 637–642, (In Chinese with English Abstract). [Google Scholar]
- Guzha, A.C. Effects of tillage on soil microrelief, surface depression storage and soil water storage. Soil Tillage Res. 2004, 76, 105–114. [Google Scholar] [CrossRef]
- Lampurlanés, J.; Cantero-Martínez, C. Hydraulic conductivity, residue cover and soil surface roughness under different tillage systems in semiarid conditions. Soil Tillage Res. 2006, 85, 13–26. [Google Scholar] [CrossRef]
- García Moreno, R.; Díaz álvarez, M.C.; Tarquis, A.M.; Barrington, S.; Requejo, A.S. Tillage and soil type effects on soil surface roughness at semiarid climatic conditions. Soil Tillage Res. 2008, 98, 35–44. [Google Scholar] [CrossRef]
- Oguntunde, P.G.; Ajayi, A.E.; Giesen, N.V.D. Tillage and surface moisture effects on bare-soil albedo of a tropical loamy sand. Soil Tillage Res. 2006, 85, 107–114. [Google Scholar] [CrossRef]
- Wang, Y.; Zheng, Z.C.; Li, T.X.; He, S.Q. Change of soil surface roughness during maize growing season and its relationship with soil erosion amount on slope of contour tillage during water erosion process. Sci. Soil Water Conserv. 2018, 16, 31–37, (In Chinese with English Abstract). [Google Scholar]
- Borselli, L. Segmentation of soil roughness profiles. Earth Surf. Process. Landf. 1999, 24, 71–90. [Google Scholar] [CrossRef]
- Helming, K.; Römkens, M.J.M.; Prasad, S.N. Surface roughness related processes of runoff and soil loss: A flume study. Soil Sci. Soc. Am. J. 1998, 62, 243–250. [Google Scholar] [CrossRef]
- Helming, K.; Roth, C.H.; Wolf, R.; Diestel, H. Characterization of rainfall—Microrelief interactions with runoff using parameters derived from digital elevation models (DEMs). Soil Technol. 1993, 6, 273–286. [Google Scholar] [CrossRef]
- Jester, W.; Klik, A. Soil surface roughness measurement-methods, applicability and surface representation. Catena 2005, 64, 174–192. [Google Scholar] [CrossRef]
- Frédéric, D.; Huang, C. An instantaneous-profile laser scanner to measure soil surface microtopography. Soil Sci. Soc. Am. J. 2003, 67, 92–99. [Google Scholar]
- Huang, C.H.; White, I.; Thwaite, E.G.; Bendeli, A. A noncontact laser system for measuring soil surface topography. 1988, 52, 350–355. [Google Scholar] [CrossRef]
- Huang, C.H.; Bradford, J.M. Applications of a laser scanner to quantify soil microtopography. Soil Sci. Soc. Am. J. 1992, 56, 14–21. [Google Scholar] [CrossRef]
- Gabriels, D. Characterisation of Soil Microtopography Effects on Runoff and Soil Erosion Rates under Simulated Rainfall. Soil Sci. Soc. Am. J. 2011. [Google Scholar] [CrossRef]
- Luo, J.; Zhen, Z.C.; Li, T.X.; He, S.Q. Multifractal characteristics of surface microtopography and its influence on sediment yield on slope of cross ridge. J. Soil Water Conserv. 2015, 29, 66–72, (In Chinese with English Abstract). [Google Scholar]
- Zheng, L.Y.; Li, Z.B.; Li, P.; Song, W.; Liu, P.L. Study on spatial distribution of sediment source of slope erosion. J. Soil Water Conserv. 2012, 26, 58–61, (In Chinese with English Abstract). [Google Scholar]
- Ahmadi, A.; Neyshabouri, M.R.; Rouhipour, H.; Asadi, H. Fractal dimension of soil aggregates as an index of soil erodibility. J. Hydrol. 2011, 400, 305–311. [Google Scholar] [CrossRef]
- Mandelbrot, B. How long is the coast of britain? Statistical self-similarity and fractional dimension. Science 1967, 156, 636–638. [Google Scholar] [CrossRef]
- Ren, M.E. Sediment discharge of the Yellow River, China: Past, present and future-A synthesis. Acta Oceanol. Sin. 2015, 34, 1–8. [Google Scholar] [CrossRef]
- Xu, J.X. Reconstructing the suspended sediment load of the Yellow River since 1470 CE using the Drought and Flood Index. Geomorphology 2017, 299, 131–141. [Google Scholar] [CrossRef]
- Shi, P.; Zhang, Y.; Zhang, Y.; Yu, Y.; Li, P.; Li, Z.; Xiao, L.; Xu, G.; Zhu, T. Land-use types and slope topography affect the soil labile carbon fractions in the Loess hilly-gully area of Shaanxi, China. Arch. Agron. Soil Sci. 2019. [Google Scholar] [CrossRef]
- Tang, S.S.; Li, P.; Ren, Z.P.; Tang, H.; Wang, T. Particle size composition of sediment from sand-covered slope under simulated rainfall. Acta Pedol. Sin. 2016, 53, 39–47, (In Chinese with English Abstract). [Google Scholar]
- Xu, G.C.; Tang, S.S.; Lu, K.X.; Li, P.; Li, Z.B.; Gao, H.; Zhao, B. Runoff and sediment yield under simulated rainfall on sand-covered slopes in a region subject to wind-water erosion. Environ. Earth Sci. 2015, 74, 2523–2530. [Google Scholar] [CrossRef]
- Xie, L.Y.; Bai, Y.J.; Zhang, F.B. Effects of thickness and particle size composition of overlying sand layer on runoff and sediment yield on sand-covered loess slopes. Acta Pedol. Sin. 2017, 54, 60–72, (In Chinese with English Abstract). [Google Scholar]
- Wu, X.R.; Zhang, F.B.; Wang, Z.L. Variation of sand and loess properties of binary structure profile in hilly region covered by sand of the loess plateau. J. Soil Water Conserv. 2014, 28, 190–193, (In Chinese with English Abstract). [Google Scholar]
- Wang, Z.H.; Zhang, F.B.; Yang, M.Y.; Ren, R.X.; Deng, X.X.; Cao, X.J.; Li, Z.B. Effect of vegetation utilization on runoff and sediment production on grain-for-green slopes in the wind-water erosion crisscross region. Chin. J. Appl. Ecol. 2018, 29, 3907–3916, (In Chinese with English Abstract). [Google Scholar]
- Abrahams, A.D.; Parsons, A.J. Determining the mean depth of overland flow in field studies of flow hydraulics. Water Resour. Res. 1990, 26, 501–503. [Google Scholar] [CrossRef]
- Shi, P.; Qin, Y.; Liu, Y.; Zhu, T.; Li, Z.; Li, P.; Ren, Z.; Liu, Y.; Wang, F. Soil respiration and response of carbon source changes to vegetation restoration in the Loess Plateau, China. Sci. Total Environ. 2019. [Google Scholar] [CrossRef]
- Lyles, L.; Woodruff, N. How moisture and tillage affect soil cloddiness for wind erosion control. Agric. Eng. 1962, 43, 150–153. [Google Scholar]
- Römkens, M.; Helming, K.; Prasad, S. Soil erosion under different rainfall intensities, surface roughness, and soil water regimes. Catena 2002, 46, 103–123. [Google Scholar] [CrossRef]
- Vannier, E.; Taconet, O.; Dusséaux, R.; Chiadjeu, O.C. Statistical characterization of bare soil surface microrelief. Adv. Geosci. Remote Sens. 2014, 207–228. [Google Scholar] [CrossRef]
- Zobeck, T.M.; Onstad, C. Tillage and rainfall effects on random roughness: A review. Soil Tillage Res. 1987, 9, 1–20. [Google Scholar] [CrossRef]
- Burwell, R.E.; Larson, W.E. Infiltration as influenced by tillage-induced random roughness and pore space1. Soil Sci. Soc. Am. J. 1969, 33, 449–452. [Google Scholar] [CrossRef]
- Tang, H.; Li, Z.B.; Li, P.; Tang, S.; Ren, Z.; Zhang, J. Surface micro topography quantification and its relationship with runoff and sediment under simulated rainfall. Trans. Chin. Soc. Agric. Eng. 2015, 31, 127–133, (In Chinese with English Abstract). [Google Scholar]
- Fan, R.S.; Li, Z.B. Artificial rainfall device for soil erosion study. J. Soil Water Conserv. 1991, 2, 38–45, (In Chinese with English Abstract). [Google Scholar]
- Hao, H.X.; Guo, Z.L.; Wang, X.Z.; Zhan, H.; Ma, R.; Li, Z.; Jiang, J. Rill erosion process on red soil slope under interaction of rainfall and scouring flow. Trans. Chin. Soc. Agric. Eng. 2017, 33, 134–140, (In Chinese with English Abstract). [Google Scholar]
- Li, R.; Zhao, M.D.; Yang, Q.K. Atlas of Soil Erosion in China; Cartographic Publishing House: Beijing, China, 2014; pp. 83–84, (In Chinese with English Abstract). [Google Scholar]
- Zhang, Z.T.; Wang, H.F.; Arnon, K.; Chen, J.; Han, W. Inversion of soil moisture content from hyperspectra based on ridge regression. Trans. Chin. Soc. Agric. Mach. 2018, 49, 240–248, (In Chinese with English abstract). [Google Scholar]
- Tang, S.S.; Li, Z.B.; Ren, Z.P.; Yao, J.W.; Tang, H. Experimental study on the process of runoff and sediment yield on sand-covered slope. J. Soil Water Conserv. 2015, 29, 25–28, (In Chinese with English abstract). [Google Scholar]
- Li, P.; Li, Z.B.; Zheng, L.Y.; Lu, K. Comparisons of dynamic meachanics of soil erosion and sediment yield by runoff on loess slope. J. Soil Water Conserv. 2005, 19, 66–69, (In Chinese with English Abstract). [Google Scholar]
- Cui, W.B.; Li, P.; Li, Z.B.; Ru, H.N. Application of unit runoff power theory for sediment yield calculation on loess slope. J. Northwest A&F Univ. (Nat. Sci. Ed.) 2005, 9, 103–107. [Google Scholar]
- Wu, F.Q.; Zhen, Z.C. Measure and calculation of surface roughness on slope farmland. Bull. Soil Water Conserv. 2005, 25, 71–74, (In Chinese with English Abstract). [Google Scholar]
- Gao, S.J.; Zhao, L.S.; Liang, X.L. Surface roughness spatiotemporal distribution of the slope land under simulated rainfall. Res. Soil Water Conserv. 2010, 17, 12–16, (In Chinese with English Abstract). [Google Scholar]






| Sand Bed Thickness /cm | Sequence | Slope /(°) | Roughness | Incision Depth /mm | Runoff Power /(N·m−1·s−1) |
|---|---|---|---|---|---|
| 1 | 0.96 ** | 0.96 ** | 0.97 ** | 0.64 * | |
| loess slope | 2 | 0.95 ** | 0.96 ** | 0.96 ** | 0.60 * |
| 3 | 0.84 ** | 0.92 ** | 0.88 ** | 0.60 * | |
| 1 | 0.95 ** | 0.96 ** | 0.96 ** | 0.58 * | |
| 0.5 | 2 | 0.54 | 0.46 | 0.55 | 0.63 * |
| 3 | −0.24 | 0.64 * | −0.21 | 0.53 | |
| 1 | 0.83 ** | 0.95 ** | 0.96 ** | 0.83 ** | |
| 1 | 2 | −0.39 | 0.08 | −0.47 | 0.80 * |
| 3 | −0.12 | −0.21 | −0.17 | 0.05 | |
| 1 | 0.77 ** | 0.74 ** | 0.78 ** | 0.81 ** | |
| 1.5 | 2 | −0.14 | 0.09 | 0.01 | 0.57 * |
| 3 | - | - | - | - |
© 2019 by the authors. Licensee MDPI, Basel, Switzerland. This article is an open access article distributed under the terms and conditions of the Creative Commons Attribution (CC BY) license (http://creativecommons.org/licenses/by/4.0/).
Share and Cite
Wang, F.; Xu, G.; Li, L.; Li, Z.; Li, P.; Zhang, J.; Cheng, Y. Response Relationship between Microtopographic Variation and Slope Erosion under Sand-Cover. Water 2019, 11, 2488. https://doi.org/10.3390/w11122488
Wang F, Xu G, Li L, Li Z, Li P, Zhang J, Cheng Y. Response Relationship between Microtopographic Variation and Slope Erosion under Sand-Cover. Water. 2019; 11(12):2488. https://doi.org/10.3390/w11122488
Chicago/Turabian StyleWang, Feichao, Guoce Xu, Lin Li, Zhanbin Li, Peng Li, Jianwen Zhang, and Yuting Cheng. 2019. "Response Relationship between Microtopographic Variation and Slope Erosion under Sand-Cover" Water 11, no. 12: 2488. https://doi.org/10.3390/w11122488
APA StyleWang, F., Xu, G., Li, L., Li, Z., Li, P., Zhang, J., & Cheng, Y. (2019). Response Relationship between Microtopographic Variation and Slope Erosion under Sand-Cover. Water, 11(12), 2488. https://doi.org/10.3390/w11122488
