Assessment of Changes in Water Balance Components under 1.5 °C and 2.0 °C Global Warming in Transitional Climate Basin by Multi-RCPs and Multi-GCMs Approach
Abstract
1. Introduction
- (1)
- Evaluate the applicability of the SWAT model for ET as well as discharge simulations in the CRB;
- (2)
- The difference and uncertainties of projected impacts associated with GCMs structure and RCPs scenarios were estimated and compared quantitatively;
- (3)
- Assess the impact of 1.5 °C and 2 °C global warming on WBC by multi-GCMs and multi-RCPs approach. The differences of the impact between 1.5 °C and 2.0 °C global warming was highlighted. Besides, the possible effects of topography, land use and soil type on WBC change were analyzed.
2. Materials and Methods
2.1. Study Area
2.2. Data
2.2.1. Geographic Data of CRB
- Digital elevation model (DEM) with a scale of 1:50,000 obtained from the national database of China Fundamental Geographic Information Center.
- The soil property data used herein provided by Harmonized World Soil Database by Food and Agriculture Organization (http://www.fao.org/).
- Land use data with resolution of 1 km from the Environmental and Ecological Science Data Center for West China (http://westdc.westgis.ac.cn). Due to limited data, changes of land use were not considered in the WBC simulation during reference period and in the future.
2.2.2. Hydrological Data
2.2.3. Meteorological Data
2.2.4. Climate Projections
2.3. Methodology
2.3.1. Climate Change Scenarios
2.3.2. Soil and Water Assessment Tool (SWAT) Model
2.3.3. Model Calibration and Validation
2.3.4. Hydrological Projections
3. Results
3.1. Sensitivity Analysis
3.2. SWAT Performance Evaluation
3.3. Changes in Annual mean Temperature
3.4. Changes in Water Balance Components
3.4.1. Annual Water Balance
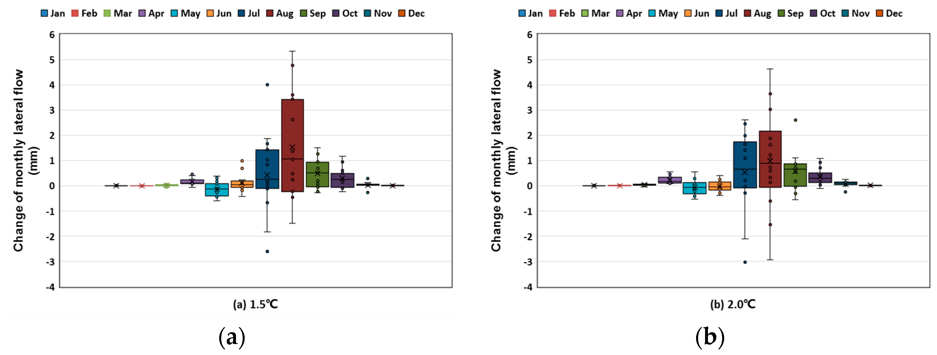
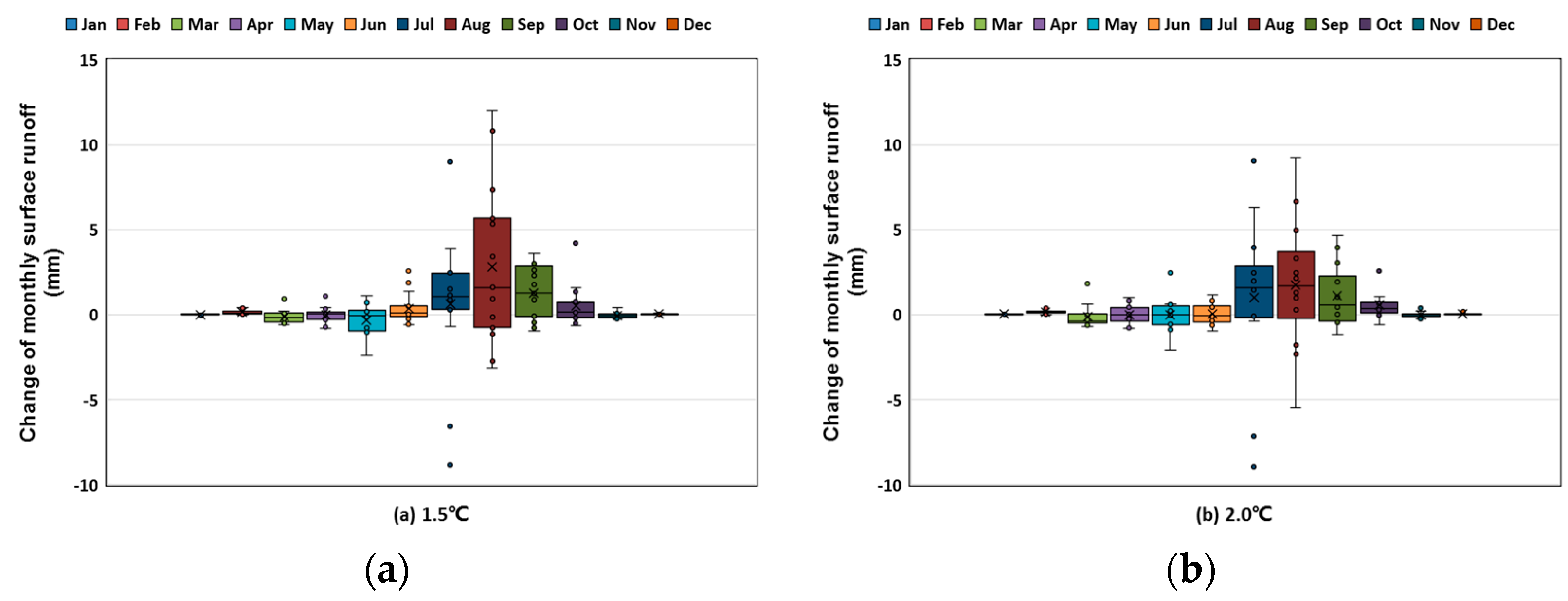
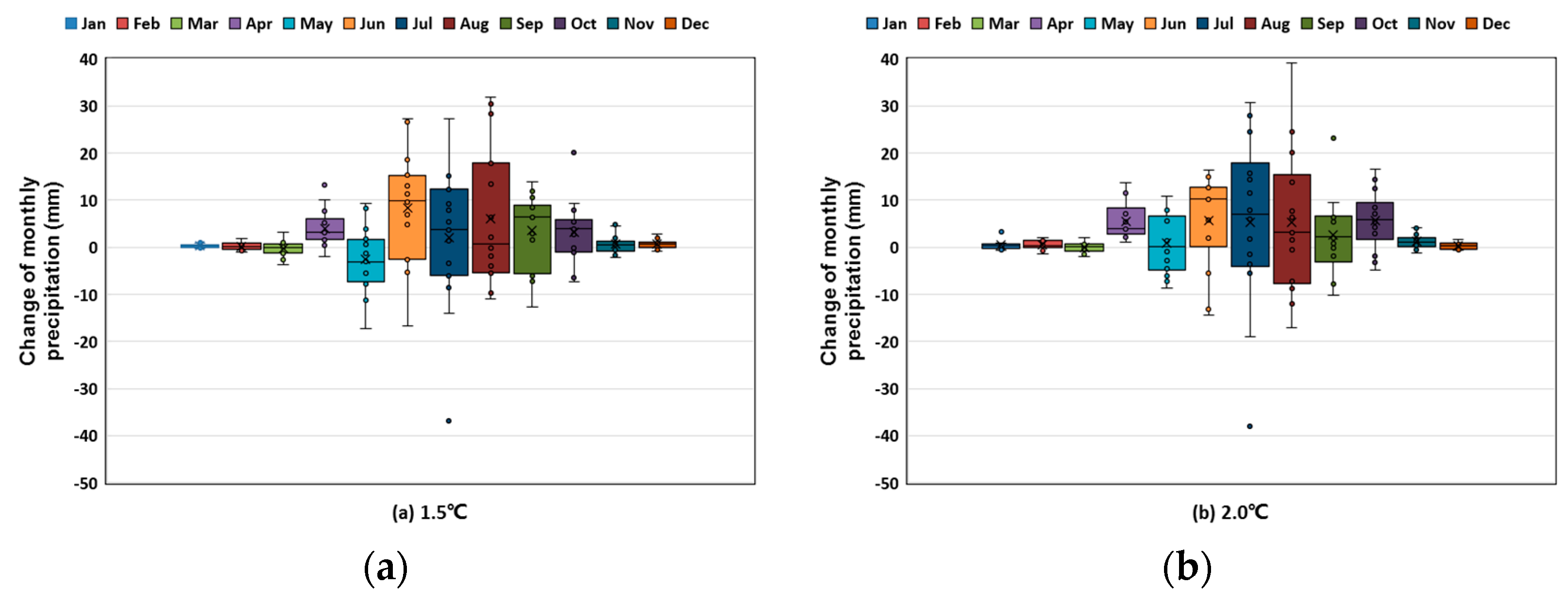
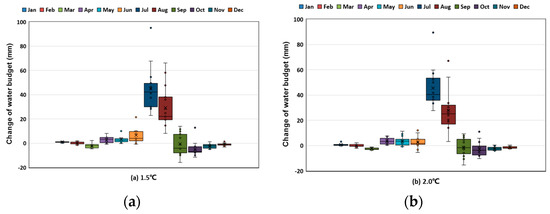
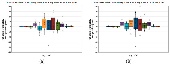
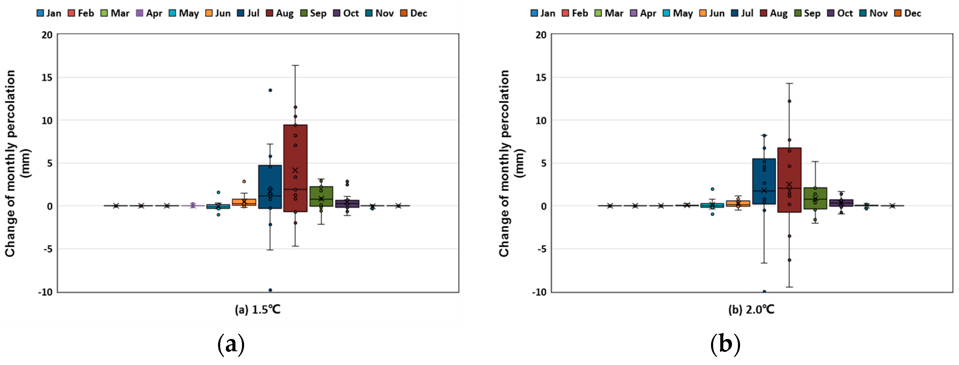
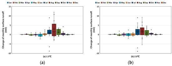
3.4.2. Monthly Water Balance
4. Discussion
5. Conclusions
- (1)
- The annual mean temperatures of GCM-RCP combination are projected to increase by 1.3 °C and 2.0 °C respectively for global warming of 1.5 °C and 2 °C relative to the baseline. All the water balance components in CRB are expected to increase under both warming scenario. The additional 0.5°C increase could make decrease in annual surface runoff, lateral flow, percolation, water budget, and increase in precipitation, ET. CRB will become wetter under 1.5 °C warming scenario than under 2.0 °C warming scenario. However, the change does not have apparent effect on arid index.
- (2)
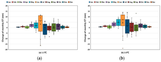
- Projected changes in monthly water balance illustrate that the significant increase trend of surface runoff, lateral flow in flood season will lead to more flood events in CRB. CRB is likely to face more droughts in autumn and March due to the decrease of water budget. The magnitudes of WBC monthly change are larger under 1.5 °C warming scenario than those under 2.0 °C warming scenario.
- (3)
- Generally, compared with land use, soil type has little impact on change trend of WBC. However, when the soil type is luvisol, increasing trend of ET will be more significant, especially under 2.0 °C global warming.
- (4)
- Generally, the increase tendencies of WBC modeled by GFDL and IPSL are the largest, while HAD projected the lowest positive or slightly negative tendency for two warming scenarios. Contrast to GCMs, almost all projected annual temperature, precipitation and WBC under three RCPs agree on a positive tendency under both two global warming scenarios. The WBC simulation results projected under RCP4.5 show higher increase amplitudes, while the relative lower increase amplitudes are projected under RCP8.5 and RCP6.0.
- (5)
- Quantitative uncertainty analysis indicated that, although the additional 0.5 °C global warming will lead to larger uncertainties of most WBC assessment, but the gap of uncertainty between two warming scenarios is not significant. The results also showed that comparing with the uncertainty of ET and precipitation projection, uncertainties of surface runoff, lateral flow, and percolation projection are much greater. GCMs were proved to be the most important contributor to uncertainty of majority assessed components in both warming scenarios with the exception of percolation and lateral flow. Therefore, the selection of climate forcing input is of vital importance.
Author Contributions
Funding
Acknowledgments
Conflicts of Interest
References
- IPCC. Climate Change 2013: The Physical Science Basis. Contribution of Working Group I to the Fifth Assessment Report of the Intergovernmental Panel on Climate Change; Cambridge University Press: Cambridge, MA, USA, 2013. [Google Scholar]
- Chang, H.; Moradkhani, H.; Jung, I.W. Quantifying uncertainty in urban flooding analysis considering hydro-climatic projection and urban development effects. Hydrol. Earth Syst. Sci. 2011, 15, 617–633. [Google Scholar]
- Wang, Q.F.; Wu, J.J.; Lei, T.J.; He, B.; Wu, Z.; Liu, M.; Mo, X.Y.; Geng, G.P.; Li, X.H.; Zhou, H.K.; et al. Temporal-spatial characteristics of severe drought events and their impact on agriculture on a global scale. Quat. Int. 2014, 349, 10–21. [Google Scholar] [CrossRef]
- Duan, L.L.; Cai, T.J. Changes in magnitude and timing of high flows in large rain-dominated watersheds in the cold region of north-eastern China. Water 2018, 10, 1658. [Google Scholar] [CrossRef]
- Li, B.; Chen, F.; Guo, H.D. Regional complexity in trends of potential evapotranspiration and its driving factors in the Upper Mekong River basin. Quat. Int. 2015, 380, 83–94. [Google Scholar] [CrossRef]
- Schnorbus, M.A.; Cannon, A.J. Statistical emulation of streamflow projections from a distributed hydrological model: Application to CMIP3 and CMIP5 climate projections for British Columbia, Canada. Water Resour. Res. 2014, 50, 8907–8926. [Google Scholar] [CrossRef]
- Lyu, J.Q.; Shen, B.; Li, H.E. Dynamics of major hydro-climatic variables in the headwater catchment of the Tarim River Basin, Xinjiang, China. Quat. Int. 2015, 380, 143–148. [Google Scholar] [CrossRef]
- Wu, F.F.; Wang, X.; Cai, Y.P.; Li, C.H. Spatiotemporal analysis of precipitation trends under climate change in the upper reach of Mekong River basin. Quat. Int. 2016, 392, 137–146. [Google Scholar] [CrossRef]
- Bai, P.; Liu, X.M.; Liang, K.; Liu, C.M. Investigation of changes in the annual maximum flood in the Yellow River basin, China. Quat. Int. 2016, 392, 168–177. [Google Scholar] [CrossRef]
- Khoi, D.N.; Suetsugi, T. Impact of climate and land-use changes on hydrological processes and sediment yield—A case study of the Be River catchment, Vietnam. J. Hydrol. Sci. 2014, 59, 1095–1108. [Google Scholar] [CrossRef]
- Huang, Z.H.; Xue, B.; Pang, Y. Simulation on stream flow and nutrient loadings in Gucheng Lake, Low Yangtze river basin, based on SWAT model. Quat. Int. 2009, 208, 109–115. [Google Scholar] [CrossRef]
- Alfieri, L.; Burek, P.; Feyen, L.; Forzieri, G. Global warming increases the frequency of river floods in Europe. Hydrol. Earth Syst. Sci. 2015, 19, 2247–2260. [Google Scholar] [CrossRef]
- Vetter, T.; Huang, S.; Aich, V.; Yang, T.; Wang, X.; Krysanova, V.; Hattermann, F. Multi-model climate impact assessment and intercomparison for three largescale river basins on three continents. Earth Syst. Dyn. 2015, 6, 17–43. [Google Scholar] [CrossRef]
- Bastola, S.; Murphy, C.; Sweeney, J. The role of hydrological modeling uncertainties in climate change impact assessments of Irish river catchments. Adv. Water Resour. 2011, 34, 562–576. [Google Scholar] [CrossRef]
- Najafi, M.R.; Moradkhani, H.; Jung, I.W. Assessing the uncertainties of hydrologic model selection in climate change impact studies. Hydrol. Process. 2011, 25, 2814–2826. [Google Scholar] [CrossRef]
- Hagemann, S.; Chen, C.; Clark, D.B.; Folwell, S.; Gosling, S.N.; Haddeland, I.; Hanasaki, N.; Heinke, J.; Ludwig, F.; Wiltshire, A.J. Climate change impact on available water resources obtained using multiple global climate and hydrology models. Earth Syst. Dyn. 2013, 4, 129–144. [Google Scholar] [CrossRef]
- Dams, J.; Nossent, J.; Senbeta, T.B.; Willems, P.; Batelaan, O. Multi model approach to assess the impact of climate change on runoff. J. Hydrol. 2015, 529, 1601–1616. [Google Scholar] [CrossRef]
- Braud, I.; Roux, H.; Anquetin, S.; Maubourguet, M.M.; Manus, C.; Viallet, P.; Dartus, D. The use of distributed hydrological models for the Gard 2002 flash flood event: Analysis of associated hydrological processes. J. Hydrol. 2010, 394, 162–181. [Google Scholar] [CrossRef]
- Su, B.; Huang, J.; Zeng, X.; Jiang, T. Impacts of climate change on streamflow in the upper Yangtze River basin. Clim. Chang. 2017, 141, 1–14. [Google Scholar] [CrossRef]
- Shrestha, S.; Bach, T.V.; Pandey, V.P. Climate change impacts on groundwater resources in Mekong Delta under representative concentration pathways (RCPs) scenarios. Environ. Sci. Policy 2016, 61, 1–13. [Google Scholar] [CrossRef]
- Schleussner, C.F.; Lissner, T.K.; Fischer, E.M. Differential climate impacts for policy-relevant limits to global warming: The case of 1.5 °C and 2 °C. Earth Syst. Dyn. 2016, 7, 327–351. [Google Scholar] [CrossRef]
- Liu, L.L.; Xu, H.M.; Wang, Y.; Jiang, T. Impacts of 1.5 and 2 °C global warming on water availability and extreme hydrological events in Yiluo and Beijiang River catchments in China. Clim. Chang. 2017, 145, 145–158. [Google Scholar] [CrossRef]
- Chen, J.; Gao, C.; Zeng, X.F.; Su, B. Assessing changes of river discharge under global warming of 1.5 °C and 2 °C in the upper reaches of the Yangtze River Basin: Approach by using multiple- GCMs and hydrological models. Quat. Int. 2017, 453, 63–73. [Google Scholar] [CrossRef]
- Held, I.M.; Soden, B.J. Robust responses of the hydrological cycle to global warming. Climate 2006, 19, 5686–5699. [Google Scholar] [CrossRef]
- Yao, Z.J.; Guan, Y.P.; Gao, Y.C. Analysis of Distribution Regulation of Annual Runoff and Affection to Annual Runoff by Human Activity in the Chaobaihe river. Prog. Geogr. 2003, 22, 599–606. [Google Scholar]
- Ma, Z.; Ren, X. Drying Trend over China from 1951 to 2006. Adv. Clim. Chang. Res. 2007, 3, 195–201. [Google Scholar]
- Uniyal, B.; Jha, M.K.; Verma, A.K. Assessing Climate Change Impact on Water Balance Components of a River Basin Using SWAT Model. Water Resour. Manag. 2015, 29, 4767–4785. [Google Scholar] [CrossRef]
- Wang, J.; Wang, E.; Luo, Q.; Kirby, M. Modelling the sensitivity of wheat growth and water balance to climate change in Southeast Australia. Clim. Chang. 2009, 96, 79–96. [Google Scholar] [CrossRef]
- Gusev, Y.M.; Nasonova, O.N. Application of a technique for scenario prediction of climate change impact on the water balance components of northern river basins. J. Hydrol. Hydromech. 2014, 3, 197–208. [Google Scholar] [CrossRef]
- Leta, O.T.; El-Kadi, A.; Dulai, H.; Ghazal, K.A. Assessment of climate change impacts on water balance components of Heeia watershed in Hawaii. J. Hydrol. Reg. Stud. 2016, 8, 182–197. [Google Scholar] [CrossRef]
- Dar, M.; Aggarwal, R.; Kaur, S. Climate Change Impact on Yield and Water Balance Components in Rice-Wheat Cropping System in Central Punjab, India under RCP 8.5. J. Agric. Allied Sci. 2017, 6, 1–8. [Google Scholar]
- Nouri, M.; Homaee, M.; Bannayan, M.; Hoogenboom, G. Towards modeling soil texture-specific sensitivity of wheat yield and water balance to climatic changes. Agric. Water Manag. 2016, 177, 248–263. [Google Scholar] [CrossRef]
- Essou, G.R.C.; Sabarly, F.; Lucas-Picher, P.; Brissette, F.; Poulin, A. Can precipitation and temperature from meteorological reanalyses be used for hydrological modeling? J. Hydrometeorol. 2016, 17, 1929–1950. [Google Scholar] [CrossRef]
- Weedon, G.P.; Gomes, S.; Viterbo, P.; Shuttleworth, W.J.; Blyth, E.; Osterle, H.; Adam, J.C.; Bellouin, N.; Boucher, O.; Best, M. Creation of the WATCH Forcing Data and its use to assess global and regional reference crop evaporation over land during the twentieth century. J. Hydrometeorol. 2011, 12, 823–848. [Google Scholar] [CrossRef]
- Zhang, K.; Kimball, J.S.; Mu, Q.; Running, S.W. Running. Satellite based analysis of northern ET trends and associated changes in the regional water balance from 1983 to 2005. J. Hydrol. 2009, 379, 92–110. [Google Scholar] [CrossRef]
- Zhang, K.; Kimball, J.S.; Nemani, R.; Running, S.W. A continuous satellite-derived global record of land surface evapotranspiration from 1983 to 2006. Water Resour. Res. 2010, 46, W09522. [Google Scholar] [CrossRef]
- Warszawski, L.; Frieler, K.; Huber, V.; Piontet, F.; Serdeczny, O.; Schewe, J. The Inter-Sectoral Impact Model Inter-comparison Project (ISI–MIP): Project framework. PNAS 2014, 111, 3228–3232. [Google Scholar] [CrossRef] [PubMed]
- McWeeney, C.F.; Jones, R.G. How representative is the spread of climate projections from the 5 CMIP5 GCMs used in ISI-MIP? Clim. Serv. 2016, 1, 24–29. [Google Scholar] [CrossRef]
- Moss, R.H.; Edmonds, J.A.; Hibbard, K.A. The next generation of scenarios for climate change research and assessment. Nature 2010, 463, 747–756. [Google Scholar] [CrossRef]
- Hempel, S.; Frieler, K.; Warszawski, L.; Schewe, J.; Pointek, F. A trend-preserving bias correction – the ISIMIP approach. Earth Syst. Discuss. 2013, 4, 49–92. [Google Scholar]
- Arnold, J.G.; Srinisvan, R.; Muttiah, R.S.; Williams, J.R. Large area hydrologic modeling and assessment. Part I: Model development. Am. Water Resour. Assoc. 1998, 34, 73–89. [Google Scholar] [CrossRef]
- Neitsch, S.L.; Arnold, J.G.; Kiniry, J.R.; Williams, J.R. Soil and Water Assessment Tool Theoretical Documentation Version 2009; Texas Water Resources Institute: College Station, TX, USA, 2011. [Google Scholar]
- Nijssen, B.; O’Donnell, G.M.; Hamlet, A.F.; Lettenmaier, D.P. Hydrologic sensitivity of global rivers to climate change. Clim. Chang. 2001, 50, 143–175. [Google Scholar] [CrossRef]
- A Mishra, J.; Froebrich, P.W.; Gassman, J.R. Evaluation of the SWAT model for assessing sediment control structures in a small watershed in India. Trans. ASABE 2007, 50, 469–477. [Google Scholar]
- Zaman, M.; Anjum, M.N.; Usman, M.; Ahmad, L.; Ullah, S.; Yuan, S.; Liu, S. Enumerating the effects of climate change on water resources using GCM scenarios at the Xin’anjiang watershed, China. Water 2018, 10, 1296. [Google Scholar] [CrossRef]
- Winchell, M.; Srinivasan, R.; Diluzio, M.; Arnold, J. User’s Guide of ARCSWAT Interface for SWAT2012; Blackland Research and Extension Center TEXAS Agrilife Research: Temple, TX, USA, 2013. [Google Scholar]
- Penman, H.L. Evaporation: An introductory survey. Netherlands J. Agric. Sci. 1956, 4, 7–29. [Google Scholar]
- USDA-Soil Conservation Service. National Engineering Handbook, Hydrology Section 4. Chapters 4-10; USDA-Soil Conservation Service: Washington, DC, USA, 1972.
- Cunge, J.A. On the subject of a flood propagation method (Muskingum method). Hydraul. Res. 1969, 7, 205–230. [Google Scholar] [CrossRef]
- Morris, M.D. Factorial sampling plans for preliminary computational experiments. Technometrics 1991, 33, 161–174. [Google Scholar]
- Abbaspour, K.C.; Yang, J.; Maximov, I.; Siber, R.; Bogner, K.; Mieleitner, J.; Zobrist, J.; Srinivasan, R. Modelling hydrology and water quality in the pre-alpine/alpine Thur watershed using SWAT. J. Hydrol. 2007, 333, 413–430. [Google Scholar] [CrossRef]
- Nash, J.E.; Sutcliffe, J.V. River flow forecasting through conceptual models part I—A discussion of principles. J. Hydrol. 1970, 10, 282–290. [Google Scholar]
- Feng, S.; Fu, Q. Expansion of global drylands under a warming climate. Atmos. Chem. Phys. 2013, 13, 10081–10094. [Google Scholar] [CrossRef]
- Sloan, P.G.; Moore, I.D. Modelling subsurface stormflow on steeply sloping forested watersheds. Water Resour. Res. 1984, 20, 1815–1822. [Google Scholar] [CrossRef]















| Parameter | Description | Unit | T-Stat | p-Value |
|---|---|---|---|---|
| ESCO | Soil evaporation compensation factor | 21.285 | 0.000 | |
| HRU_SLP | Average slope steepness | −9.535 | 0.000 | |
| SOL_K | Soil hydraulic conductivity | mm·h−1 | −8.739 | 0.000 |
| CN2 | Curve number for moisture condition II | −7.838 | 0.000 | |
| CANMX | Maximum canopy storage | mm | 7.263 | 0.000 |
| SOL_AWC | Soil water available capacity | 6.417 | 0.000 | |
| SLSUBBSN | Average slope length | 2.490 | 0.013 | |
| GWQMN | Minimum depth for groundwater flow occurrence | mm | 1.867 | 0.063 |
| ALPHA_BF | Baseflow alpha factor | Day−1 | −1.052 | 0.293 |
| CH_N2 | Manning’s roughness coefficient | 0.884 | 0.377 | |
| GW_DELAY | Groundwater delay | day | −0.712 | 0.477 |
| SOL_Z | Soil depth | mm | 0.363 | 0.716 |
| Tributary | Hydrological Station | Catchment Area/km2 | Calibration | Validation | ||||
|---|---|---|---|---|---|---|---|---|
| R2 | NSE | PBIAS | R2 | NSE | PBIAS | |||
| Chao River | Xiahui | 6960.6 | 0.68 | 0.67 | 11.8% | 0.70 | 0.50 | 5.8% |
| Bai River | Zhangjiafen | 8827.4 | 0.71 | 0.66 | 31.7% | 0.71 | 0.51 | 13.6% |
| Global Warming | RCP | GFDL | HAD | IPSL | MIROC | NOR | Mean GCMs |
|---|---|---|---|---|---|---|---|
| 1.5 °C | 4.5 | 1.51 | 1.06 | 1.23 | 1.39 | 1.33 | 1.30 |
| 6 | 1.27 | 1.11 | 1.05 | 1.53 | 1.43 | 1.28 | |
| 8.5 | 1.04 | 1.04 | 1.25 | 1.47 | 1.52 | 1.27 | |
| Mean RCPs | 1.27 | 1.07 | 1.18 | 1.46 | 1.43 | 1.28 | |
| 2.0 °C | 4.5 | * | 1.62 | 1.82 | 2.07 | 2.50 | 2.00 |
| 6 | 1.93 | 1.64 | 1.68 | 2.39 | 2.20 | 1.97 | |
| 8.5 | 1.77 | 1.65 | 1.95 | 2.31 | 2.37 | 2.01 | |
| Mean RCPs | 1.85 | 1.63 | 1.82 | 2.26 | 2.36 | 1.99 |
| Factors | Detailed Classification | Surface Runoff (1.5 °C/2.0 °C) | Lateral Flow (1.5 °C/2.0 °C) | Percolation (1.5 °C/2.0 °C) | ET (1.5 °C/2.0 °C) |
|---|---|---|---|---|---|
| land use | Agriculture land | −0.10/0.14 | −0.25/−0.07 | −0.25/−0.13 | −0.29/−0.34 * |
| Deciduous Forest | 0.63 */0.37 * | 0.44 */0.21 | 0.51 */0.38 * | 0.17/0.15 | |
| Pasture | −0.35 */−0.35 * | −0.47 */−0.36 * | −0.41 */−0.35 * | 0.04/0.21 | |
| Mixed Forest | −0.19/−0.35 * | −0.16/−0.25 | −0.16/−0.25 | 0.24/0.27 | |
| Soil type | luvisol | 0.20/−0.09 | 0.03/−0.24 | 0.14/−0.11 | 0.23/0.33 * |
| Semi-luvisol | −0.05/0.19 | 0.04/0.23 | 0.02/0.20 | −0.11/−0.23 | |
| Calcicsols | −0.23/−0.13 | −0.09/0.02 | 0.19/0.22 | 0.23/0.11 | |
| Initial develop soil | 0.00/−0.02 | −0.01/−0.01 | −0.06/−0.05 | 0.15/0.12 | |
| semi-hydromorphic soil | −0.07/−0.10 | −0.12/−0.11 | −0.25/−0.24 | −0.23/−0.13 |
© 2018 by the authors. Licensee MDPI, Basel, Switzerland. This article is an open access article distributed under the terms and conditions of the Creative Commons Attribution (CC BY) license (http://creativecommons.org/licenses/by/4.0/).
Share and Cite
Hao, Y.; Ma, J.; Chen, J.; Wang, D.; Wang, Y.; Xu, H. Assessment of Changes in Water Balance Components under 1.5 °C and 2.0 °C Global Warming in Transitional Climate Basin by Multi-RCPs and Multi-GCMs Approach. Water 2018, 10, 1863. https://doi.org/10.3390/w10121863
Hao Y, Ma J, Chen J, Wang D, Wang Y, Xu H. Assessment of Changes in Water Balance Components under 1.5 °C and 2.0 °C Global Warming in Transitional Climate Basin by Multi-RCPs and Multi-GCMs Approach. Water. 2018; 10(12):1863. https://doi.org/10.3390/w10121863
Chicago/Turabian StyleHao, Ying, Jingjin Ma, Jing Chen, Dongyong Wang, Yuan Wang, and Hongmei Xu. 2018. "Assessment of Changes in Water Balance Components under 1.5 °C and 2.0 °C Global Warming in Transitional Climate Basin by Multi-RCPs and Multi-GCMs Approach" Water 10, no. 12: 1863. https://doi.org/10.3390/w10121863
APA StyleHao, Y., Ma, J., Chen, J., Wang, D., Wang, Y., & Xu, H. (2018). Assessment of Changes in Water Balance Components under 1.5 °C and 2.0 °C Global Warming in Transitional Climate Basin by Multi-RCPs and Multi-GCMs Approach. Water, 10(12), 1863. https://doi.org/10.3390/w10121863
