Pedestrian-Level Urban Wind Flow Enhancement with Wind Catchers
Abstract
1. Introduction
2. Experimental Setup
3. Experimental Results
3.1. Reference Case with Canyons of Aspect Ratio 1
3.2. Canyons with a Wind Catcher
3.3. Wind Catcher in a Reversed Flow Direction
3.4. Step-Up/Step-Down Canyons
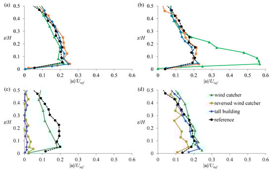
3.5. Comparison between Wind Catcher, Reversed Wind Catcher, and Step-Up/Step-Down Canyons
4. CFD Simulations
4.1. Numerical Model
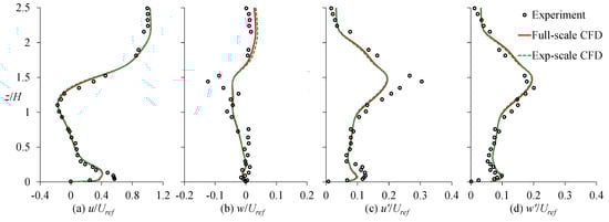
4.2. Simulation of the Reference Case
4.3. Simulations of Cases with Different Types of Architectural Interventions
4.4. Wind Catcher in 3D Canyons
5. Conclusions
- We employed water channel measurements over an idealized array of 2D street canyons with an aspect ratio of 1 and evaluated the addition of a wind catcher in the aligned and reversed direction of the approaching wind. We found that a wind catcher significantly enhances pedestrian-level ventilation by increasing the local wind speed by 2.5 times. When installed in a reversed wind direction, however, the wind catcher acts similarly to a tall building with an equivalent height, such that the airflow in the downstream canyon is decreased. Therefore, further engineering analysis is required for the design of wind catchers that adapt to the wind direction.
- Using the validated CFD model, we visualized the flow field in the presence of a wind catcher, and demonstrated that a counter-clockwise vortex larger than the size of the canyon is formed when the wind catcher is aligned with the wind direction. This may result in a slight velocity decrease in the immediate downstream canyon; therefore, it is important that the deployment of wind catchers in real environments includes a holistic evaluation including the surrounding canyons.
- We extended the CFD simulations to 3D canyons and found that the characteristics of the canyon vortices are significantly different than in 2D canyons. An improved design of wind catcher with closed sidewalls enhances maximum near-ground wind speed by four times.
- The cases evaluated here are limited in the representation of urban configuration, where only a homogeneous urban area with canyons of aspect ratio 1 is examined. Future work should evaluate the effectiveness of wind catchers in both 2D and 3D canyons with different aspect ratios, and possibly other building arrangements.
- In the present work, only two wind directions with respect to the wind catcher inlet are considered, and the effect of wind direction is not fully included. Accordingly, the results of the reversed wind catcher demonstrate the need for a comprehensive analysis on wind directions that can further inform an effective design of a wind catcher adaptable to the incoming wind direction.
- Future research should incorporate the structural and economical feasibility analyses for the installment of wind catchers in existing urban environments.
Acknowledgments
Author Contributions
Conflicts of Interest
Appendix A
| FB | −0.0069 | −1.9170 | 0.0103 | 0.0103 |
| NMSE | 0.0003 | 679.4798 | 0.0030 | 0.0030 |
| FB | 0.0080 | −1.3691 | −0.3332 | −0.0118 |
| NMSE | 0.0048 | 33.4916 | 0.1712 | 0.0832 |
| FB | 0.0032 | −4.6399 | 0.0001 | 0.0001 |
| NMSE | 0.0002 | −12.4428 | 0.0012 | 0.0012 |
| FB | −0.0145 | 0.4035 | -0.0392 | 0.3203 |
| NMSE | 0.0082 | 3.7988 | 0.1221 | 0.1599 |
| Velocity Magnitude | tke | |
|---|---|---|
| FB | 0.0323 | 0.0642 |
| NMSE | 0.0146 | 0.4109 |
References
- Roth, M. Review of atmospheric turbulence over cities. Q. J. R. Meteorol. Soc. 2000, 126, 941–990. [Google Scholar] [CrossRef]
- Ng, E. Policies and technical guidelines for urban planning of high-density cities–air ventilation assessment (AVA) of Hong Kong. Build. Environ. 2009, 44, 1478–1488. [Google Scholar] [CrossRef]
- Gu, Z.L.; Zhang, Y.W.; Cheng, Y.; Lee, S.C. Effect of uneven building layout on air flow and pollutant dispersion in non-uniform street canyons. Build. Environ. 2011, 46, 2657–2665. [Google Scholar] [CrossRef]
- Zaki, S.A.; Hagishima, A.; Tanimoto, J.; Ikegaya, N. Aerodynamic parameters of urban building arrays with random geometries. Bound. Layer Meteorol. 2011, 138, 99–120. [Google Scholar] [CrossRef]
- Oke, T.R. Street design and urban canopy layer climate. Energy Build. 1988, 11, 103–113. [Google Scholar] [CrossRef]
- Li, X.X.; Liu, C.H.; Leung, D.Y. Numerical investigation of pollutant transport characteristics inside deep urban street canyons. Atmos. Environ. 2009, 43, 2410–2418. [Google Scholar] [CrossRef]
- Hang, J.; Li, Y.; Sandberg, M.; Buccolieri, R.; Di Sabatino, S. The influence of building height variability on pollutant dispersion and pedestrian ventilation in idealized high-rise urban areas. Build. Environ. 2012, 56, 346–360. [Google Scholar] [CrossRef]
- Oke, T.R. The energetic basis of the urban heat island. Q. J. R. Meteorol. Soc. 1982, 108, 1–24. [Google Scholar] [CrossRef]
- Oke, T.R. City size and the urban heat island. Atmos. Environ. 1973, 7, 769–779. [Google Scholar] [CrossRef]
- Arnfield, A.J. Two decades of urban climate research: A review of turbulence, exchanges of energy and water, and the urban heat island. Int. J. Climatol. 2003, 23, 1–26. [Google Scholar] [CrossRef]
- Rizwan, A.M.; Dennis, L.Y.; Chunho, L. A review on the generation, determination and mitigation of Urban Heat Island. J. Environ. Sci. 2008, 20, 120–128. [Google Scholar] [CrossRef]
- Santamouris, M.; Cartalis, C.; Synnefa, A.; Kolokotsa, D. On the impact of urban heat island and global warming on the power demand and electricity consumption of buildings—A review. Energy Build. 2015, 98, 119–124. [Google Scholar] [CrossRef]
- Bueno, B.; Roth, M.; Norford, L.; Li, R. Computationally efficient prediction of canopy level urban air temperature at the neighbourhood scale. Urban Clim. 2014, 9, 35–53. [Google Scholar] [CrossRef]
- Nazarian, N.; Fan, J.; Sin, T.; Norford, L.; Kleissl, J. Predicting outdoor thermal comfort in urban environments: A 3D numerical model for standard effective temperature. Urban Clim. 2017, 20, 251–267. [Google Scholar] [CrossRef]
- Santamouris, M.; Papanikolaou, N.; Livada, I.; Koronakis, I.; Georgakis, C.; Argiriou, A.; Assimakopoulos, D. On the impact of urban climate on the energy consumption of buildings. Sol. Energy 2001, 70, 201–216. [Google Scholar] [CrossRef]
- Hui, S.C. Low energy building design in high density urban cities. Renew. Energy 2001, 24, 627–640. [Google Scholar] [CrossRef]
- Neophytou, M.K.; Britter, R.E. Modelling the wind flow in complex urban topographies: A Computational-Fluid-Dynamics simulation of the central London area. In Proceedings of the Fifth GRACM International Congress on Computational Mechanics, Limassol, Cyprus, 29 June–1 July 2005; Volume 29. [Google Scholar]
- Buccolieri, R.; Sandberg, M.; Di Sabatino, S. City breathability and its link to pollutant concentration distribution within urban-like geometries. Atmos. Environ. 2010, 44, 1894–1903. [Google Scholar] [CrossRef]
- Hang, J.; Li, Y.; Buccolieri, R.; Sandberg, M.; Di Sabatino, S. On the contribution of mean flow and turbulence to city breathability: The case of long streets with tall buildings. Sci. Total Environ. 2012, 416, 362–373. [Google Scholar] [CrossRef] [PubMed]
- Panagiotou, I.; Neophytou, M.K.A.; Hamlyn, D.; Britter, R.E. City breathability as quantified by the exchange velocity and its spatial variation in real inhomogeneous urban geometries: An example from central London urban area. Sci. Total Environ. 2013, 442, 466–477. [Google Scholar] [CrossRef] [PubMed]
- Di Sabatino, S.; Buccolieri, R.; Salizzoni, P. Recent advancements in numerical modelling of flow and dispersion in urban areas: A short review. Int. J. Environ. Pollut. 2013, 52, 172–191. [Google Scholar] [CrossRef]
- Grimmond, C.; Oke, T.R. Aerodynamic properties of urban areas derived from analysis of surface form. J. Appl. Meteorol. 1999, 38, 1262–1292. [Google Scholar] [CrossRef]
- Ng, E.; Yuan, C.; Chen, L.; Ren, C.; Fung, J.C. Improving the wind environment in high-density cities by understanding urban morphology and surface roughness: A study in Hong Kong. Landsc. Urban Plan. 2011, 101, 59–74. [Google Scholar] [CrossRef]
- Lin, M.; Hang, J.; Li, Y.; Luo, Z.; Sandberg, M. Quantitative ventilation assessments of idealized urban canopy layers with various urban layouts and the same building packing density. Build. Environ. 2014, 79, 152–167. [Google Scholar] [CrossRef]
- Ramponi, R.; Blocken, B.; Laura, B.; Janssen, W.D. CFD simulation of outdoor ventilation of generic urban configurations with different urban densities and equal and unequal street widths. Build. Environ. 2015, 92, 152–166. [Google Scholar] [CrossRef]
- Kastner-Klein, P.; Rotach, M.W. Mean flow and turbulence characteristics in an urban roughness sublayer. Bound. Layer Meteorol. 2004, 111, 55–84. [Google Scholar] [CrossRef]
- Xie, X.; Huang, Z.; Wang, J.S. Impact of building configuration on air quality in street canyon. Atmos. Environ. 2005, 39, 4519–4530. [Google Scholar] [CrossRef]
- Hosseini, S.H.; Ghobadi, P.; Ahmadi, T.; Calautit, J.K. Numerical investigation of roof heating impacts on thermal comfort and air quality in urban canyons. Appl. Therm. Eng. 2017, 123, 310–326. [Google Scholar] [CrossRef]
- Huang, Y.; Hu, X.; Zeng, N. Impact of wedge-shaped roofs on airflow and pollutant dispersion inside urban street canyons. Build. Environ. 2009, 44, 2335–2347. [Google Scholar] [CrossRef]
- Abohela, I.; Hamza, N.; Dudek, S. Effect of roof shape, wind direction, building height and urban configuration on the energy yield and positioning of roof mounted wind turbines. Renew. Energy 2013, 50, 1106–1118. [Google Scholar] [CrossRef]
- Aliabadi, A.A.; Krayenhoff, E.S.; Nazarian, N.; Chew, L.W.; Armstrong, P.R.; Afshari, A.; Norford, L.K. Effects of Roof-Edge Roughness on Air Temperature and Pollutant Concentration in Urban Canyons. Bound. Layer Meteorol. 2017, 164, 149–179. [Google Scholar] [CrossRef]
- Sharples, S.; Bensalem, R. Airflow in courtyard and atrium buildings in the urban environment: A wind tunnel study. Sol. Energy 2001, 70, 237–244. [Google Scholar] [CrossRef]
- Montazeri, H. Experimental and numerical study on natural ventilation performance of various multi-opening wind catchers. Build. Environ. 2011, 46, 370–378. [Google Scholar] [CrossRef]
- Montazeri, H.; Azizian, R. Experimental study on natural ventilation performance of one-sided wind catcher. Build. Environ. 2008, 43, 2193–2202. [Google Scholar] [CrossRef]
- Dehghan, A.; Esfeh, M.K.; Manshadi, M.D. Natural ventilation characteristics of one-sided wind catchers: Experimental and analytical evaluation. Energy Build. 2013, 61, 366–377. [Google Scholar] [CrossRef]
- Li, X.X.; Leung, D.Y.; Liu, C.H.; Lam, K. Physical modeling of flow field inside urban street canyons. J. Appl. Meteorol. Clim. 2008, 47, 2058–2067. [Google Scholar] [CrossRef]
- Snyder, W.H. Guideline for Fluid Modeling of Atmospheric Diffusion; Technical Report; Environmental Protection Agency: Research Triangle Park, NC, USA, 1981.
- Meroney, R.N.; Pavageau, M.; Rafailidis, S.; Schatzmann, M. Study of line source characteristics for 2-D physical modelling of pollutant dispersion in street canyons. J. Wind Eng. Ind. Aerodyn. 1996, 62, 37–56. [Google Scholar] [CrossRef]
- Baik, J.J.; Park, R.S.; Chun, H.Y.; Kim, J.J. A laboratory model of urban street-canyon flows. J. Appl. Meteorol. 2000, 39, 1592–1600. [Google Scholar] [CrossRef]
- Kastner-Klein, P.; Fedorovich, E.; Rotach, M. A wind tunnel study of organised and turbulent air motions in urban street canyons. J. Wind Eng. Ind. Aerodyn. 2001, 89, 849–861. [Google Scholar] [CrossRef]
- Brown, M.J.; Lawson, R.; Decroix, D.S.; Lee, R.L. Mean flow and turbulence measurements around a 2-D array of buildings in a wind tunnel. In Proceedings of the 11th joint AMS/AWMA conference on the applications of air pollution meteorology, Long Beach, CA, USA, 9–14 January 2000. [Google Scholar]
- Cui, Z.; Cai, X.; J Baker, C. Large-eddy simulation of turbulent flow in a street canyon. Q. J. R. Meteorol. Soc. 2004, 130, 1373–1394. [Google Scholar] [CrossRef]
- Salim, S.M.; Buccolieri, R.; Chan, A.; Di Sabatino, S. Numerical simulation of atmospheric pollutant dispersion in an urban street canyon: Comparison between RANS and LES. J. Wind Eng. Ind. Aerodyn. 2011, 99, 103–113. [Google Scholar] [CrossRef]
- Dong, J.; Tan, Z.; Xiao, Y.; Tu, J. Seasonal Changing Effect on Airflow and Pollutant Dispersion Characteristics in Urban Street Canyons. Atmosphere 2017, 8, 43. [Google Scholar] [CrossRef]
- Memon, R.A.; Leung, D.Y.; Liu, C.H. Effects of building aspect ratio and wind speed on air temperatures in urban-like street canyons. Build. Environ. 2010, 45, 176–188. [Google Scholar] [CrossRef]
- Blocken, B.; Stathopoulos, T.; Van Beeck, J. Pedestrian-level wind conditions around buildings: Review of wind-tunnel and CFD techniques and their accuracy for wind comfort assessment. Build. Environ. 2016, 100, 50–81. [Google Scholar] [CrossRef]
- ANSYS. Available online: http://www.ansys.com (accessed on 16 June 2017).
- Santiago, J.L.; Martilli, A.; Martín, F. CFD simulation of airflow over a regular array of cubes. Part I: Three-dimensional simulation of the flow and validation with wind-tunnel measurements. Bound. Layer Meteorol. 2007, 122, 609–634. [Google Scholar] [CrossRef]
- Li, X.X.; Liu, C.H.; Leung, D.Y. Large-eddy simulation of flow and pollutant dispersion in high-aspect-ratio urban street canyons with wall model. Bound. Layer Meteorol. 2008, 129, 249–268. [Google Scholar] [CrossRef]
- Hang, J.; Li, Y.; Sandberg, M. Experimental and numerical studies of flows through and within high-rise building arrays and their link to ventilation strategy. J. Wind Eng. Ind. Aerodyn. 2011, 99, 1036–1055. [Google Scholar] [CrossRef]
- Franke, J.; Hirsch, C.; Jensen, A.; Krüs, H.; Schatzmann, M.; Westbury, P.; Miles, S.; Wisse, J.; Wright, N. Recommendations on the use of CFD in wind engineering. In Proceedings of the International Conference on Urban Wind Engineering and Building Aerodynamics, COST Action C14, von Karman Institute, Sint-Genesius-Rode, Belgium, 5–7 May 2004. [Google Scholar]
- OpenFOAM. Available online: http://www.openfoam.com (accessed on 16 June 2017).
- Blocken, B. Computational Fluid Dynamics for urban physics: Importance, scales, possibilities, limitations and ten tips and tricks towards accurate and reliable simulations. Build. Environ. 2015, 91, 219–245. [Google Scholar] [CrossRef]
- ParaView. Available online: https://www.paraview.org (accessed on 16 June 2017).
- Hanna, S.; Chang, J. Acceptance criteria for urban dispersion model evaluation. Meteorol. Atmos. Phys. 2012, 116, 133–146. [Google Scholar] [CrossRef]


















| Case | Experimental setup | |
|---|---|---|
| i | Reference | ![]() |
| ii | Wind catcher | ![]() |
| iii | Reversed wind catcher | ![]() |
| iv | Step-up/ step-down canyons | ![]() |
© 2017 by the authors. Licensee MDPI, Basel, Switzerland. This article is an open access article distributed under the terms and conditions of the Creative Commons Attribution (CC BY) license (http://creativecommons.org/licenses/by/4.0/).
Share and Cite
Chew, L.W.; Nazarian, N.; Norford, L. Pedestrian-Level Urban Wind Flow Enhancement with Wind Catchers. Atmosphere 2017, 8, 159. https://doi.org/10.3390/atmos8090159
Chew LW, Nazarian N, Norford L. Pedestrian-Level Urban Wind Flow Enhancement with Wind Catchers. Atmosphere. 2017; 8(9):159. https://doi.org/10.3390/atmos8090159
Chicago/Turabian StyleChew, Lup Wai, Negin Nazarian, and Leslie Norford. 2017. "Pedestrian-Level Urban Wind Flow Enhancement with Wind Catchers" Atmosphere 8, no. 9: 159. https://doi.org/10.3390/atmos8090159
APA StyleChew, L. W., Nazarian, N., & Norford, L. (2017). Pedestrian-Level Urban Wind Flow Enhancement with Wind Catchers. Atmosphere, 8(9), 159. https://doi.org/10.3390/atmos8090159





