Temporal Variability of Atmospheric Total Gaseous Mercury in Windsor, ON, Canada
Abstract
:1. Introduction
) at the University of Windsor, Ontario, Canada. (● represents Windsor Downtown Air Quality Station. Base maps adapted from Google Maps).
) at the University of Windsor, Ontario, Canada. (● represents Windsor Downtown Air Quality Station. Base maps adapted from Google Maps).
2. Methodology
2.1. Sampling Site and Instrumentation
2.2. Meteorological Data and Other Air Pollutants
2.3. Data Analysis
3. Results and Discussion
3.1. Temporal Variability
3.1.1. Inter-Annual Variability
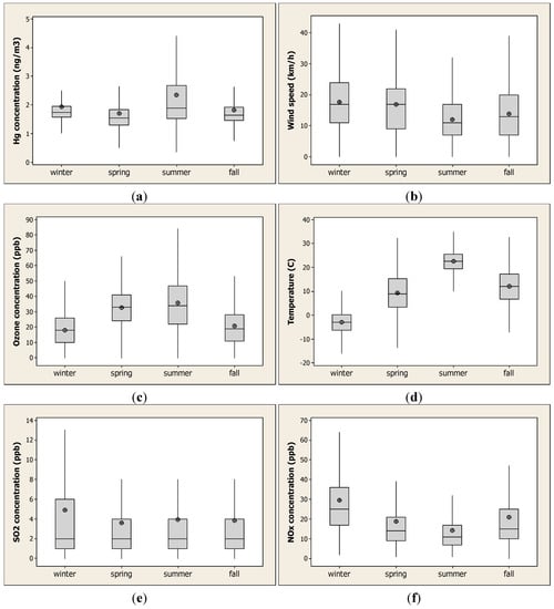
3.1.2. Seasonal Variability


3.1.3. Day-of-Week Variability

3.1.4. Diurnal Variability


3.2. Environmental Factors Influencing TGM
| Parameter | 2007–2011 (N = 23,467) | Winter (N = 5303) | Spring (N = 6041) | Summer (N = 5512) | Fall (N = 6612) |
|---|---|---|---|---|---|
| SO2 | −0.008 | 0.046 | 0.031 | −0.045 | −0.039 |
| NO | 0.083 | 0.084 | 0.188 | 0.112 | 0.162 |
| NO2 | 0.106 | 0.117 | 0.288 | 0.130 | 0.146 |
| NOx | 0.105 | 0.109 | 0.269 | 0.142 | 0.177 |
| CO | 0.100 | 0.105 | 0.318 | 0.178 | 0.190 |
| O3 | −0.068 | −0.090 | −0.227 | −0.106 | −0.092 |
| PM2.5 | 0.074 | 0.067 | 0.248 | −0.021 | 0.053 |
| Temperature | 0.090 | −0.084 | 0.144 | −0.042 | 0.112 |
| Relative humidity | 0.078 | −0.007 | 0.251 | 0.108 | 0.006 |
| Wind speed | −0.083 | 0.025 | −0.216 | −0.051 | −0.068 |
| Pressure | −0.073 | −0.022 | −0.115 | −0.076 | −0.063 |
| Parameter | 2007–2011 (N = 23,467) | Winter (N = 5303) | Spring (N = 6041) | Summer (N = 5512) | Fall (N = 6612) |
|---|---|---|---|---|---|
| SO2 | 0.018 | 0.110 | 0.089 | −0.082 | −0.015 |
| NO | 0.205 | 0.382 | 0.165 | 0.228 | 0.245 |
| NO2 | 0.305 | 0.349 | 0.398 | 0.336 | 0.271 |
| NOx | 0.311 | 0.399 | 0.381 | 0.356 | 0.309 |
| CO | 0.249 | 0.378 | 0.378 | 0.439 | 0.341 |
| O3 | −0.263 | −0.294 | −0.384 | −0.273 | −0.224 |
| PM2.5 | 0.180 | 0.252 | 0.247 | 0.029 | 0.091 |
| Temperature | 0.065 | −0.135 | 0.044 | −0.115 | 0.071 |
| Relative humidity | 0.212 | 0.017 | 0.348 | 0.257 | 0.120 |
| Wind speed | −0.186 | −0.076 | −0.265 | −0.183 | −0.122 |
| Pressure | −0.142 | −0.050 | −0.145 | −0.172 | −0.120 |
| Parameter | Fossil Fuel Combustion | Diurnal Trend&PM2.5 | Photo-Chemistry | Synoptic Systems | Industrial Sulfur |
|---|---|---|---|---|---|
| TGM | 0.26 | 0.20 | 0.11 | 0.21 | 0.67 |
| SO2 | 0.17 | 0.21 | 0.11 | 0.18 | −0.63 |
| NO | 0.48 | −0.06 | 0.11 | −0.05 | 0.12 |
| NO2 | 0.39 | 0.05 | −0.16 | −0.08 | −0.13 |
| NOx | 0.50 | −0.01 | −0.01 | −0.07 | 0.01 |
| CO | 0.43 | −0.01 | −0.02 | 0.17 | −0.02 |
| O3 | −0.15 | 0.24 | 0.48 | 0.06 | 0.00 |
| PM2.5 | 0.14 | 0.62 | −0.05 | 0.00 | −0.24 |
| Temperature | −0.17 | 0.56 | 0.14 | 0.00 | 0.17 |
| Relative humidity | −0.09 | 0.08 | −0.75 | 0.11 | 0.00 |
| Wind speed | 0.01 | −0.35 | 0.28 | 0.59 | −0.16 |
| Pressure | 0.07 | −0.15 | 0.22 | −0.72 | −0.09 |
| Variance (%) | 34.8 | 14.1 | 11.2 | 10.5 | 7.8 |
| Eigen value | 4.18 | 1.70 | 1.35 | 1.26 | 0.93 |
| Parameter | Fossil Fuel Combustion | Diurnal Trend | Transport | Industrial Sulfur |
|---|---|---|---|---|
| TGM | 0.28 | −0.10 | 0.65 | −0.27 |
| SO2 | 0.06 | −0.05 | 0.06 | 0.87 |
| NO | 0.40 | −0.04 | 0.06 | −0.07 |
| NO2 | 0.40 | −0.06 | −0.09 | 0.09 |
| NOx | 0.45 | −0.06 | 0.00 | −0.01 |
| CO | 0.39 | 0.04 | 0.07 | −0.03 |
| O3 | −0.31 | −0.22 | 0.15 | −0.14 |
| PM2.5 | 0.30 | 0.12 | −0.09 | 0.19 |
| Temperature | −0.12 | 0.56 | −0.02 | 0.08 |
| Relative humidity | 0.10 | 0.60 | −0.10 | −0.13 |
| Wind speed | −0.18 | −0.06 | 0.57 | 0.27 |
| Pressure | 0.05 | −0.49 | −0.44 | −0.03 |
| Variance (%) | 38.9 | 15.9 | 9.9 | 8.0 |
| Eigen value | 4.67 | 1.90 | 1.19 | 0.96 |
| Parameter | Fossil Fuel Combustion | Diurnal Trend&PM2.5 | Synoptic Systems &Photo-Chemistry | Transport &Industrial Sulfur |
|---|---|---|---|---|
| TGM | 0.02 | 0.33 | −0.30 | −0.37 |
| SO2 | 0.31 | 0.18 | 0.20 | 0.49 |
| NO | 0.41 | −0.08 | 0.04 | 0.06 |
| NO2 | 0.43 | 0.02 | 0.00 | −0.07 |
| NOx | 0.47 | −0.03 | 0.02 | −0.01 |
| CO | 0.38 | 0.14 | −0.14 | 0.04 |
| O3 | −0.27 | 0.29 | 0.28 | 0.16 |
| PM2.5 | 0.24 | 0.51 | 0.01 | −0.01 |
| Temperature | −0.16 | 0.65 | 0.04 | −0.04 |
| Relative humidity | 0.05 | −0.14 | −0.60 | −0.10 |
| Wind speed | −0.10 | −0.10 | −0.15 | 0.68 |
| Pressure | 0.11 | −0.20 | 0.62 | −0.34 |
| Variance (%) | 38.1 | 14.7 | 12.5 | 8.8 |
| Eigen value | 4.58 | 1.76 | 1.50 | 1.05 |
| Parameter | Fossil Fuel Combustion | PM2.5 &Industrial Sulfur | Synoptic Systems | Photo-Chemistry &Diurnal Trend |
|---|---|---|---|---|
| TGM | 0.19 | −0.12 | −0.49 | −0.05 |
| SO2 | 0.08 | 0.45 | 0.13 | −0.09 |
| NO | 0.59 | −0.15 | 0.02 | −0.15 |
| NO2 | 0.36 | 0.21 | −0.06 | 0.18 |
| NOx | 0.54 | 0.05 | −0.03 | 0.04 |
| CO | 0.24 | 0.25 | −0.36 | 0.07 |
| O3 | −0.19 | 0.27 | 0.02 | −0.39 |
| PM2.5 | −0.04 | 0.67 | −0.04 | 0.06 |
| Temperature | −0.05 | 0.27 | −0.14 | −0.48 |
| Relative humidity | −0.20 | 0.10 | −0.25 | 0.59 |
| Wind speed | −0.03 | −0.19 | −0.18 | −0.45 |
| Pressure | 0.20 | 0.06 | 0.70 | 0.05 |
| Variance (%) | 34.4 | 17.4 | 10.9 | 9.0 |
| Eigen value | 4.12 | 2.09 | 1.31 | 1.08 |
| Parameter | Fossil Fuel Combustion | Diurnal Trend&PM2.5 | Synoptic Systems | Relative Humidity | Industrial Sulfur |
|---|---|---|---|---|---|
| TGM | 0.24 | 0.15 | −0.16 | −0.16 | 0.70 |
| SO2 | 0.20 | 0.14 | −0.20 | −0.25 | −0.61 |
| NO | 0.46 | −0.08 | 0.06 | −0.14 | 0.12 |
| NO2 | 0.42 | 0.02 | 0.06 | 0.10 | −0.17 |
| NOx | 0.51 | −0.05 | 0.07 | −0.06 | 0.01 |
| CO | 0.40 | 0.06 | −0.17 | 0.12 | 0.05 |
| O3 | −0.21 | 0.41 | 0.04 | −0.31 | 0.01 |
| PM2.5 | 0.18 | 0.58 | 0.02 | 0.22 | −0.23 |
| Temperature | −0.09 | 0.63 | 0.00 | −0.06 | 0.14 |
| Relative humidity | −0.05 | −0.01 | −0.03 | 0.75 | 0.01 |
| Wind speed | −0.08 | −0.19 | −0.60 | −0.28 | −0.09 |
| Pressure | 0.02 | −0.10 | 0.73 | −0.26 | −0.07 |
| Variance (%) | 33.3 | 15.6 | 11.1 | 9.8 | 8.9 |
| Eigen value | 4.00 | 1.87 | 1.33 | 1.17 | 1.07 |
3.3. Directional TGM Concentrations



4. Conclusions
Acknowledgments
Author Contributions
Conflicts of Interest
References
- Poissant, L. Field observations of total gaseous mercury behaviour: Interactions with ozone concentration and water vapour mixing ratio in air at a rural site. Water Air Soil Pollut. 1997, 97, 341–353. [Google Scholar]
- Lindberg, S.E.; Bullock, R.; Ebinghaus, R.; Engstrom, D.; Feng, X.; Fitzgerald, W.; Pirrone, N.; Prestbo, E.; Seigneur, C.A. Synthesis of progress and uncertainties in attributing the sources of mercury in deposition. Ambio 2007, 36, 19–32. [Google Scholar] [CrossRef] [PubMed]
- Krabbenhoft, D.P.; Branfireun, B.A.; Heyes, A. Biogeochemical cycles affecting the speciation, fate and transport of mercury in the environment. In Mercury: Sources, Measurements, Cycles, and Effects; Parsons, M.B., Percival, J.B., Eds.; Short Course Series; Mineralogical Association of Canada: Ottawa, ON, Canada, 2005; Volume 34, pp. 139–156. [Google Scholar]
- Swain, E.B.; Jakus, P.M.; Rice, G.; Lupi, F.; Maxon, P.A.; Pacyna, J.M.; Penn, A.; Speigel, S.J.; Veiga, M.M. Socioeconomic consequences of mercury use and pollution. Ambio 2007, 36, 45–61. [Google Scholar] [CrossRef] [PubMed]
- Nadim, F.; Perkins, C.; Liu, S.; Carley, R.J.; Hoag, J.E. Long-term investigation of atmospheric mercury contamination in Connecticut. Chemosphere 2001, 45, 1033–1043. [Google Scholar] [CrossRef] [PubMed]
- Han, Y.J.; Holsen, T.M.; Lai, S.O.; Hopke, P.K.; Yi, S.M.; Liu, W.; Pagano, J.; Falanga, L.; Milligan, M.; Andolina, C. Atmospheric gaseous mercury concentrations in New York State: Relationships with meteorological data and other pollutants. Atmos. Environ. 2004, 38, 6431–6446. [Google Scholar] [CrossRef]
- Lynam, M.M.; Keeler, G.J. Automated speciated mercury measurements in Michigan. Environ. Sci. Technol. 2005, 39, 9253–9262. [Google Scholar] [CrossRef] [PubMed]
- Temme, C.; Blanchard, P.; Steffen, A.; Banic, C.; Beauchamp, S.; Poissant, L.; Tordon, R.; Wiens, B. Trend, seasonal and multivariate analysis study of total gaseous mercury data from the Canadian Atmospheric Mercury Measurement Network (CAMNet). Atmos. Environ. 2007, 41, 5423–5441. [Google Scholar] [CrossRef]
- Ci, Z.J.; Zhang, X.S.; Wang, Z.W.; Niu, Z.C. Atmospheric gaseous elemental mercury (GEM) over a coastal/rural site. Atmos. Environ. 2011, 45, 2480–2487. [Google Scholar] [CrossRef]
- Mao, H.; Talbot, R. Long-term variation in speciated mercury at marine, coastal and inland sites in New England: Part I Temporal Variability. Atmos. Chem. Phys. 2012, 12, 5099–5112. [Google Scholar]
- Nair, U.S.; Wu, Y.L.; Walters, J.; Jansen, J.; Edgerton, E.S. Diurnal and seasonal variation of mercury species at coastal-suburban, urban, and rural sites in the southeastern United States. Atmos. Environ. 2012, 47, 499–508. [Google Scholar] [CrossRef]
- Kolker, A.; Engle, M.A.; Peucker-Ehrenbrink, B.; Geboy, N.J.; Krabbenhoft, D.P.; Bothner, M.H.; Tate, M.T. Atmospheric mercury and fine particulate matter in coastal New England: Implications for mercury and trace element sources in the northeastern United States. Atmos. Environ. 2013, 79, 760–768. [Google Scholar]
- Cheng, I.; Zhang, L.M.; Mao, H.T.; Blanchard, P.; Tordon, R.; Dalziel, J. Seasonal and diurnal patterns of speciated atmospheric mercury at a coastal-rural and a coastal-urban site. Atmos. Environ. 2014, 82, 193–205. [Google Scholar] [CrossRef]
- Capri, A.; Chen, Y.F. Gaseous elemental mercury fluxes in New York City. Water Air Soil Pollut. 2002, 140, 371–379. [Google Scholar] [CrossRef]
- Denis, M.S.; Song, X.; Lu, J.Y.; Feng, X. Atmospheric gaseous elemental mercury in downtown Toronto. Atmos. Environ. 2006, 40, 4016–4024. [Google Scholar] [CrossRef]
- Liu, B.; Keeler, G.J.; Dvonch, J.T.; Barres, J.A.; Lynam, M.M.; Marsik, F.J.; Morgan, J.T. Temporal variability of mercury speciation in urban air. Atmos. Environ. 2007, 41, 1911–1923. [Google Scholar] [CrossRef]
- Cheng, I.; Lu, J.; Song, X.J. Studies of potential sources that contributed to atmospheric mercury in Toronto, Canada. Atmos. Environ. 2009, 43, 6145–6158. [Google Scholar]
- Xu, X.; Akhtar, U.S. Identification of potential regional sources of atmospheric total gaseous mercury in Windsor, Ontario, Canada using hybrid receptor modeling. Atmos. Chem. Phys. 2010, 10, 7073–7083. [Google Scholar]
- Kim, K.H.; Shon, Z.H.; Nguyen, H.T.; Jung, K.; Park, C.G.; Bae, G.N. The effect of man made source processes on the behavior of total gaseous mercury in air: A comparison between four urban monitoring sites in Seoul Korea. Sci. Total Environ. 2011, 409, 3801–3811. [Google Scholar] [CrossRef] [PubMed]
- Parsons, M.T.; McLennan, D.; Lapalme, M.; Mooney, C.; Watt, C.; Mintz, R. Total gaseous mercury concentration measurements at Fort McMurray, Alberta, Canada. Atmosphere 2013, 4, 472–493. [Google Scholar] [CrossRef]
- Ministry of the Environment Ontario (MOE). Air Quality in Ontario 2011 Report. Available online: https://dr6j45jk9xcmk.cloudfront.net/documents/1118/70-air-quality-in-ontario-2011-report-en.pdf (accessed on 25 June 2014).
- Akhtar, U.S. Atmospheric Total Gaseous Mercury Concentration Measurement in Windsor: A Study of Variability and Potential Sources. Master’s Thesis, University of Windsor, Windsor, ON, Canada, 2008. [Google Scholar]
- Environment Canada. Climate Data. Available online: http://www.climate.weatheroffice.ec.gc.ca/climateData/hourlydata_e.html (accessed on 1 August 2013).
- Ministry of Environment Ontario (MOE). Historical Air Pollutant Data. Available online: http://www.airqualityontario.com/history/index.php. (accessed on 1 August 2013).
- Cole, A.S.; Steffen, A.; Pfaffhuber, K.A.; Berg, T.; Pilote, M.; Poissant, L.; Tordon, R.; Hung, H. Ten-year trends of atmospheric mercury in the high Arctic compared to Canadian sub-Arctic and mid-latitude sites. Atmos. Chem. Phys. 2013, 13, 1535–1545. [Google Scholar]
- Slemr, F.; Brunke, E.G.; Ebinghaus, R.; Kuss, J. Worldwide trend of atmospheric mercury since 1995. Atmos. Chem. Phys. 2011, 11, 4779–4787. [Google Scholar]
- Zhang, Y.; Jaeglé, L. Decreases in mercury wet deposition over the United States during 2004–2010: Roles of domestic and global background emission reductions. Atmosphere 2013, 4, 113–131. [Google Scholar] [CrossRef]
- Environment Canada. NPRI. Heavy Metals and Persistent Organic Pollutants (National: 1990–2012). Available online: http://www.ec.gc.ca/inrp-npri/default.asp?lang=en\&n=0EC58C98 (accessed on 1 December 2013).
- Mao, H.; Talbot, R.; Hegarty, J.; Koermer, J. Long-term variation in speciated mercury at marine, coastal and inland sites in New England: Part II Relationships with atmospheric physical parameters. Atmos. Chem. Phys. 2012, 12, 4181–4206. [Google Scholar]
- Gabriel, M.C.; Williamson, D.G.; Zhang, H.; Brooks, S.; Lindberg, S. Diurnal and seasonal trends in total gaseous mercury flux from three urban ground surfaces. Atmos. Environ. 2006, 40, 4269–4284. [Google Scholar] [CrossRef]
- United States Department of Energy (USDOE). Table 32. USA Coal Consumption by End-Use Sector, 2007–2013. Available online: http://www.eia.gov/coal/production/quarterly/pdf/t32p01p1.pdf (accessed on 25 June 2014).
- Keating, M. Mercury and Midwest Power Plants; Clean Air Task Force: Boston, MA, USA, 2003. [Google Scholar]
- Ontario Clean Air Alliance. An OCAA Air quality Report, OPC: Ontario’s Pollution Giant. Available online: http://www.cleanairalliance.org/resource/opgiant.pdf (accessed on 25 June 2014).
- Stamenkovic, J.; Lyman, S.; Gustin, M.S. Seasonal and diel variation of atmospheric mercury concentrations in the Reno (NV, USA) Airshed. Atmos. Environ. 2007, 41, 6662–6672. [Google Scholar] [CrossRef]
- Brooks, S.; Luke, W.; Cohen, M.; Kelly, P.; Lefer, B.; Rappenglück, B. Mercury species measured atop the Moody Tower TRAMP site, Houston, Texas. Atmos. Environ. 2010, 44, 4045–4055. [Google Scholar] [CrossRef]
- Durnford, D.; Dastoor, A.; Figueras-Nieto, D.; Ryjkov, A. Long range transport of mercury to the Arctic and across Canada. Atmos. Chem. Phys. 2010, 10, 6063–6086. [Google Scholar]
- Kellerhals, M.; Beauchamp, S.; Belzer, W.; Blanchard, P.; Froude, F.; Harvey, B.; McDonald, K.; Pilote, M.; Poissant, L.; Puckett, K.; et al. Temporal and spatial variability of total gaseous mercury in Canada: Results from the Canadian Atmospheric Mercury Measurement Network (CAMNet). Atmos. Environ. 2003, 37, 1003–1011. [Google Scholar] [CrossRef]
- Lindberg, S.E.; Stratton, W.J. Atmospheric mercury speciation: Concentrations and behaviour of reactive gaseous mercury in ambient air. Environ. Sci. Technol. 1998, 32, 49–57. [Google Scholar] [CrossRef]
- Huang, J.Y.; Choi, H.D.; Hopke, P.K.; Holsen, T.M. Ambient mercury sources in Rochester, NY: Results from Principle Components Analysis (PCA) of mercury monitoring network data. Environ. Sci. Technol. 2010, 44, 8441–8445. [Google Scholar] [CrossRef] [PubMed]
- Mao, H.; Talbot, R.; Sigler, J.M.; Sive, B.C.; Hegarty, J.D. Seasonal and diurnal variation in Hg° over New England. Atmos. Chem. Phys. 2008, 8, 1403–1421. [Google Scholar]
- Kim, K.H.; Kim, M.Y. Some insights into short-term variability of total gaseous mercury in urban air. Atmos. Environ. 2001, 35, 49–59. [Google Scholar]
- Lynam, M.M.; Keeler, G.J. Source-receptor relationships for atmospheric mercury in urban Detroit, Michigan. Atmos. Environ. 2006, 40, 3144–3155. [Google Scholar] [CrossRef]
© 2014 by the authors; licensee MDPI, Basel, Switzerland. This article is an open access article distributed under the terms and conditions of the Creative Commons Attribution license (http://creativecommons.org/licenses/by/3.0/).
Share and Cite
Xu, X.; Akhtar, U.; Clark, K.; Wang, X. Temporal Variability of Atmospheric Total Gaseous Mercury in Windsor, ON, Canada. Atmosphere 2014, 5, 536-556. https://doi.org/10.3390/atmos5030536
Xu X, Akhtar U, Clark K, Wang X. Temporal Variability of Atmospheric Total Gaseous Mercury in Windsor, ON, Canada. Atmosphere. 2014; 5(3):536-556. https://doi.org/10.3390/atmos5030536
Chicago/Turabian StyleXu, Xiaohong, Umme Akhtar, Kyle Clark, and Xiaobin Wang. 2014. "Temporal Variability of Atmospheric Total Gaseous Mercury in Windsor, ON, Canada" Atmosphere 5, no. 3: 536-556. https://doi.org/10.3390/atmos5030536
APA StyleXu, X., Akhtar, U., Clark, K., & Wang, X. (2014). Temporal Variability of Atmospheric Total Gaseous Mercury in Windsor, ON, Canada. Atmosphere, 5(3), 536-556. https://doi.org/10.3390/atmos5030536
