Long-Term Integrated Measurements of Aerosol Microphysical Properties to Study Different Combustion Processes at a Coastal Semi-Rural Site in Southern Italy
Abstract
1. Introduction
2. Site Description
3. Instruments and Methods
4. Results and Discussion
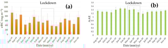
4.1. Long-Term Aethalometer Measurements
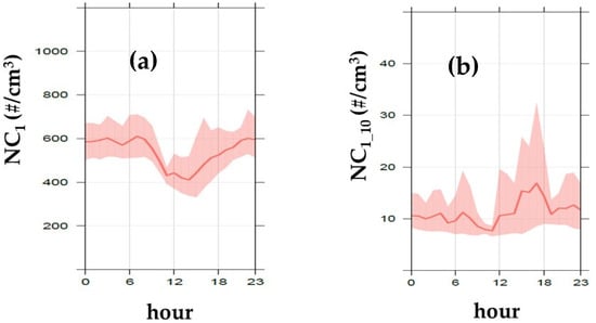
4.2. Long-Term OPS Measurements
4.3. Microphysical and Chemical Characterization of Aerosol from Different Sources
4.3.1. Combustion Sources: 25 February 2020, BB from Domestic Heating
4.3.2. Combustion Sources: 1 August 2020, Regional BB Plume Transport
4.3.3. Combustion Sources: 22 June 2020, Local Smoldering Process
4.3.4. Marine Source: 1 March 2020
5. Conclusions
- (1)
- Biomass burning processes (varying characteristics) and vehicular traffic are relevant aerosol sources, confirmed by eBC and NC1 correlation (R2 = 0.62).
- (2)
- Multi-parametric analysis identified different biomass burning processes, including local smoldering (AAE maximum = 2.7; OC/EC = 26.6; K+/OC = 0.1).
- (3)
- Each combustion source exhibited unique size distributions and aerosol properties.
- (4)
- A day with seaward wind direction showed a clear marine signature (elevated Na, Br, and Cl). The diffuse S-particles were attributed to the oxidation of marine DMS. Site proximity to the sea allowed observation of fresh and aged marine particles.
Supplementary Materials
Author Contributions
Funding
Data Availability Statement
Acknowledgments
Conflicts of Interest
References
- Yttri, K.E.; Simpson, D.; Bergström, R.; Kiss, G.; Szidat, S.; Ceburnis, D.; Eckhardt, S.; Hueglin, C.; Nøjgaard, J.K.; Perrino, C.; et al. The EMEP Intensive Measurement Period campaign, 2008-2009: Characterizing carbonaceous aerosol at nine rural sites in Europe. Atmos. Chem. Phys. 2019, 19, 4211–4233. [Google Scholar] [CrossRef]
- Sciare, J.; Oikonomou, K.; Favez, O.; Liakakou, E.; Markaki, Z.; Cachier, H.; Mihalopoulos, N. Long-term measurements of carbonaceous aerosols in the Eastern Mediterranean: Evidence of long-range transport of biomass burning. Atmos. Chem. Phys. 2008, 8, 5551–5563. [Google Scholar] [CrossRef]
- Zíková, N.; Ždímal, V. Long-Term measurement of aerosol number size distributions at rural background station Košetice. Aerosol Air Qual. Res. 2013, 13, 1464–1474. [Google Scholar] [CrossRef]
- Gill, T.; Pauraité, J.; Kalinauskaité, A.; Byčenkienė, S.; Plauškaitė, K. Long-term study of chemical characteristics of aerosol compositions in the rural environment of Rūgšteliškis (Lithuania). Atmos. Pollut. Res. 2024, 15, 102048. [Google Scholar] [CrossRef]
- Rohra, H.; Pipal, A.S.; Satsangi, P.G.; Taneja, A. Revisiting the atmospheric particles: Connecting lines and changing paradigms. Sci. Total Environ. 2022, 841, 156676. [Google Scholar] [CrossRef]
- Heutte, B.; Bergner, N.; Beck, I.; Angot, H.; Dada, L.; Quéléver, L.L.J.; Laurila, T.; Boyer, M.; Brasseur, Z.; Daellenbach, K.R.; et al. Measurements of aerosol microphysical and chemical properties in the central arctic atmosphere during MOSaiC. Sci. Data 2023, 10, 690. [Google Scholar] [CrossRef]
- Flores, J.M.; Bourdin, G.; Altaratz, O.; Trainic, M.; Lang-Yona, N.; Dzimban, E.; Steinau, S.; Tettich, F.; Planes, S.; Allemand, D.; et al. Tara Pacific expedition’s atmospheric measurements of marine aerosols across the Atlantic and Pacific Oceans. Bull. Am. Meteorol. Soc. 2020, 101, E536–E554. [Google Scholar] [CrossRef]
- Dinoi, A.; Pavese, G.; Calvello, M.; Chirizzi, D.; Pennetta, A.; De Benedetto, G.E.; Esposito, F.; Mapelli, C.; Contini, D. Characterization of aerosol and its oxidative potential in a coastal semi-rural site of Southern Italy. Atmos. Environ. 2024, 333, 120656. [Google Scholar] [CrossRef]
- WHO. Italy Health Impact Assessment of Steel Plant Activities in Taranto, Italy. Available online: https://iris.who.int/bitstream/handle/10665/373258/9789289058360-eng.pdf?sequence=1 (accessed on 2 May 2025).
- Draxler, R.; Stunder, B.; Rolph, G.; Stein, A.; Taylor, A. HYSPLIT User’s Guide, Version 5.3. 2023. Available online: https://www.arl.noaa.gov/documents/reports/hysplit_user_guide.pdf (accessed on 1 January 2025).
- Drinovec, L.; Moĉnik, G.; Zotter, P.; Prévôt, A.S.H.; Ruckstuhl, C.; Coz, E.; Rupakheti, M.; Sciare, J.; Müller, T.; Wiedensohler, A.; et al. The “dual-spot” Aethalometer: An improved measurement of aerosol black carbon with real-time loading compensation. Atmos. Meas. Tech. 2015, 8, 1965–1979. [Google Scholar] [CrossRef]
- Mueller, T.; Fiebig, M. ACTRIS In Situ Aerosol: Guidelines for Manual QC of AE33 Absorption Photometer Data; ACTRIS: Helsinki, Finland, 2021. [Google Scholar]
- Savadkoohi, M.; Pandolfi, M.; Reche, C.; Niemi, J.V.; Mooibroek, D.; Titos, G.; Green, D.C.; Tremper, A.H.; Hueglin, C.; Liakakou, E.; et al. The variability of mass concentrations and source apportionment analysis of equivalent black carbon across urban Europe. Environ. Int. 2023, 178, 108081. [Google Scholar] [CrossRef]
- Esposito, F.; Calvello, M.R.; Gueguen, E.; Pavese, G. A new algorithm for brown and black carbon identification and organic carbon detection in fine atmospheric aerosols by a multi-wavelength Aethalometer. Atmos. Meas. Tech. Discuss. 2012, 5, 1003–1027. [Google Scholar] [CrossRef]
- Pio, C.; Cerqueira, M.; Harrison, R.M.; Nunes, T.; Mirante, F.; Alves, C.; Oliveira, C.; Sanchez de la Campa, A.; Artíñano, B.; Matos, M. OC/EC ratio observations in Europe: Re-thinking the approach for apportionment between primary and secondary organic carbon. Atmos. Environ. 2011, 34, 6121–6132. [Google Scholar] [CrossRef]
- Turpin, B.J.; Huntzicker, J.J. Identification of secondary organic aerosol episodes and quantitation of primary and secondary organic aerosol concentrations during SCAQS. Atmos. Environ. 1995, 29, 3527–3544. [Google Scholar] [CrossRef]
- Pavese, G.; Calvello, M.; Castagna, J.; Esposito, F. Black carbon and its impact on air quality in two semi-rural sites in Southern Italy near an oil pre-treatment plant. Atmos. Environ. 2020, 233, 117532. [Google Scholar] [CrossRef]
- Carslaw, D.C.; Beevers, S.D. Characterising and understanding emission sources using bivariate polar plots and k-means clustering. Environ. Model. Softw. 2013, 40, 325–329. [Google Scholar] [CrossRef]
- Pavese, G.; Agresti, F.; Calvello, M.; Esposito, F.; Lettino, A. Outdoor and indoor measurements of number particles size distributions and equivalent black carbon (eBC) at a mechanical manufacturing plant. Atmos. Pollut. Res. 2022, 13, 101488. [Google Scholar] [CrossRef]
- Pugatshova, A.; Reinart, A.; Tamm, E. Features of the multimodal aerosol size distribution depending on the air mass origin in the Baltic region. Atmos. Environ. 2007, 41, 4408–4422. [Google Scholar] [CrossRef]
- Rabaçal, M.; Costa, M. Particulate Emissions from the Combustion of Biomass Pellets. Biomass Pelletization Stand. Prod. 2015, 85, 101–135. [Google Scholar] [CrossRef]
- Wilczyska-Michalik, W.; Różańska, A.; Bulanda, M.; Chmielarczyk, A.; Pietras, B.; Michalik, M. Physicochemical and microbiological characteristics of urban aerosols in Krakow (Poland) and their potential health impact. Environ. Geochem. Health 2021, 43, 4601–4626. [Google Scholar] [CrossRef]
- Ault, A.P.; Peters, T.M.; Sawvel, E.J.; Casuccio, G.S.; Willis, R.D.; Norris, G.A.; Grassian, V.H. Single-Particle SEM-EDX Analysis of Iron-Containing Coarse Particulate Matter in an Urban Environment: Sources and Distribution of Iron within Cleveland, Ohio. Environ. Sci. Technol. 2012, 46, 4331–4339. [Google Scholar] [CrossRef]
- Wiinikka, H.; Gebart, R.; Boman, C.; Boström, D.; Nordin, A.; Öhman, M. High-temperature aerosol formation in wood pellets flames: Spatially resolved measurements. Combust. Flame 2006, 147, 278–293. [Google Scholar] [CrossRef]
- Paris, R.; Desboeufs, K.V.; Formenti, P.; Nava, S.; Chou, C. Chemical characterization of iron in dust and biomass burning aerosols during AMMA-SOP0/DABEX: Implication for iron solubility. Atmos. Chem. Phys. 2010, 10, 4273–4282. [Google Scholar] [CrossRef]
- Fu, H.; Lin, J.; Shang, G.; Dong, W.; Grassian, V.H.; Carmichael, G.R.; Yan Li, Y.; Chen, J. Solubility of Iron from Combustion Source Particles in Acidic MediamLinked to Iron Speciation. Environ. Sci. Technol. 2012, 46, 11119–11127. [Google Scholar] [CrossRef]
- Yang, Y.; Weber, R.J. Ultrafiltration to characterize PM2.5 water-soluble iron and its sources in an urban environment. Atmos. Environ. 2022, 286, 19246. [Google Scholar] [CrossRef]
- Castagna, J.; Calvello, M.; Esposito, F.; Pavese, G. Analysis of equivalent black carbon multi-year data at an oil pre-treatment plant: Integration with satellite data to identify black carbon transboundary sources. Remote Sens. Environ. 2019, 235, 111429. [Google Scholar] [CrossRef]
- Popovicheva, O.; Kistler, M.; Kireeva, E.; Persiantseva, N.; Timofeev, M.; Kopeikin, V.; Kasper-Giebl, A. Physicochemical characterization of smoke aerosol during large-scale wildfires: Extreme event of August 2010 in Moscow. Atmos. Environ. 2014, 96, 405–414. [Google Scholar] [CrossRef]
- Chakrabarty, R.K.; Gyawali, M.; Yatavelli, R.L.N.; Pandey, A.; Watts, A.C.; Knue, J.; Chen, L.A.; Pattison, R.R.; Tsibart, A.; Samburova, V.; et al. Brown carbon aerosols from burning of boreal peatlands: Microphysical properties, emission factors, and implications for direct radiative forcing. Atmos. Chem. Phys. 2016, 16, 3033–3040. [Google Scholar] [CrossRef]
- Hong, L.; Liu, G.; Zhou, L.; Li, J.; Xu, H.; Wu, D. Emission of organic carbon, elemental carbon and water-soluble ions from crop straw burning under flaming and smoldering conditions. Particuology 2016, 31, 181–190. [Google Scholar] [CrossRef]
- Wang, Y.; Hu, M.; Xu, N.; Qin, Y.; Wu, Z.; Zeng, L.; Huang, X.; He, L. Chemical composition and light absorption of carbonaceous aerosols emitted from crop residue burning: Influence of combustion efficiency. Atmos. Chem. Phys. 2020, 20, 13721–13734. [Google Scholar] [CrossRef]
- Popovicheva, O.B.; Engling, G.; Ku I-Ting Timofeev, M.A.; Shonija, N.K. Aerosol Emissions from Long-lasting Smoldering of Boreal Peatlands: Chemical Composition, Markers, and Microstructure. Aerosol Air Qual. Res. 2019, 19, 484–503. [Google Scholar] [CrossRef]
- Li, J.; Pósfai, M.; Hobbs, P.V.; Buseck, P.R. Individual aerosol particles from biomass burning in southern Africa: 2. Compositions and aging of inorganic particles. J. Geophys. Res. 2003, 108, 8484. [Google Scholar] [CrossRef]
- Maenhaut, W.; Raes, N.; Chi, X.; Cafmeyer, J.; Wang, W. Chemical composition and mass closure for PM2.5 and PM10 aerosols at K-puszta, Hungary, in summer 2006. X Ray Spectrom. 2008, 37, 193–197. [Google Scholar] [CrossRef]
- de Jonge, W.R.; Elm, J.; Rosati, B.; Christiansen, S.; Hyttinen, N.; Lüdemann, D.; Bilde, M.; Roldin, P. Secondary aerosol formation from dimethyl sulfide-improved mechanistic understanding based on smog chamber experiments and modelling. Atmos. Chem. Phys. 2021, 21, 9955–9976. [Google Scholar] [CrossRef]
- Su, B.; Zhuo, Z.; Fu, Y.; Sun, W.; Chen, Y.; Du, X.; Yang, Y.; Wu, S.; Xie, Q.; Huang, F.; et al. Individual particle investigation on the chloride depletion of inland transported sea spray aerosols during East Asian summer monsoon. Sci. Total Environ. 2020, 765, 144290. [Google Scholar] [CrossRef] [PubMed]
















| Element (µg m−3) | Na | Cl− | Br− | K+ | Oxa | OC | EC | SOC | Ca | Fe | Al | Mg | Mn | Ti | Sr | Zn | Pb | Cu | Cr | NO3− | NH4+ | Sulphate | PM 2.5 | |
|---|---|---|---|---|---|---|---|---|---|---|---|---|---|---|---|---|---|---|---|---|---|---|---|---|
| 2020-02-25 | BB (domestic heat.) | 0.142 | 0.089 | 0.004 | 0.268 | 0.285 | 4.146 | 0.552 | 2.867 | 0.215 | 0.063 | 0.030 | 0.027 | 0.003 | 0.003 | 0.000 | 0.023 | 0.004 | 0.0035 | 0.0003 | 0.972 | 0.389 | 1.801 | 13.39 |
| 2020-07-18 | background | 0.026 | 0.069 | 0.030 | 0.126 | 1.140 | 0.078 | 0.958 | 0.019 | 0.022 | 0.003 | 0.003 | 0.002 | 0.004 | 0.000 | 0.002 | 0.0014 | 0.0014 | 0.0001 | 0.260 | 0.112 | 0.947 | 4.57 | |
| 2020-08-01 | BB (transport) | 0.022 | 0.063 | 0.002 | 0.174 | 0.335 | 3.064 | 0.406 | 2.121 | 0.453 | 0.179 | 0.205 | 0.040 | 0.007 | 0.029 | 0.002 | 0.007 | 0.002 | 0.0014 | 0.0004 | 0.381 | 0.227 | 1.801 | 14.34 |
| 2020-06-22 | BB (smoldering) | 0.084 | 0.564 | 0.002 | 0.666 | 0.13 | 5.48 | 0.206 | 5.004 | 0.138 | 0.047 | 0.046 | 0.018 | 0.003 | 0.007 | 0.0004 | 0.008 | 0.002 | 0.0008 | 0.0014 | 0.389 | 0.074 | 0.940 | 12.36 |
| 2020-03-01 | Marine | 0.433 | 0.437 | 0.005 | 0.128 | 0.176 | 1.459 | 0.269 | 0.834 | 0.206 | 0.087 | 0.094 | 0.080 | 0.002 | 0.010 | 0.002 | 0.011 | 0.003 | 0.0013 | 0.0002 | 1.068 | 0.044 | 1.431 | 8.44 |
Disclaimer/Publisher’s Note: The statements, opinions and data contained in all publications are solely those of the individual author(s) and contributor(s) and not of MDPI and/or the editor(s). MDPI and/or the editor(s) disclaim responsibility for any injury to people or property resulting from any ideas, methods, instructions or products referred to in the content. |
© 2025 by the authors. Licensee MDPI, Basel, Switzerland. This article is an open access article distributed under the terms and conditions of the Creative Commons Attribution (CC BY) license (https://creativecommons.org/licenses/by/4.0/).
Share and Cite
Pavese, G.; Dinoi, A.; Calvello, M.; De Benedetto, G.E.; Esposito, F.; Lettino, A.; Magnante, M.; Mapelli, C.; Pennetta, A.; Contini, D. Long-Term Integrated Measurements of Aerosol Microphysical Properties to Study Different Combustion Processes at a Coastal Semi-Rural Site in Southern Italy. Atmosphere 2025, 16, 866. https://doi.org/10.3390/atmos16070866
Pavese G, Dinoi A, Calvello M, De Benedetto GE, Esposito F, Lettino A, Magnante M, Mapelli C, Pennetta A, Contini D. Long-Term Integrated Measurements of Aerosol Microphysical Properties to Study Different Combustion Processes at a Coastal Semi-Rural Site in Southern Italy. Atmosphere. 2025; 16(7):866. https://doi.org/10.3390/atmos16070866
Chicago/Turabian StylePavese, Giulia, Adelaide Dinoi, Mariarosaria Calvello, Giuseppe Egidio De Benedetto, Francesco Esposito, Antonio Lettino, Margherita Magnante, Caterina Mapelli, Antonio Pennetta, and Daniele Contini. 2025. "Long-Term Integrated Measurements of Aerosol Microphysical Properties to Study Different Combustion Processes at a Coastal Semi-Rural Site in Southern Italy" Atmosphere 16, no. 7: 866. https://doi.org/10.3390/atmos16070866
APA StylePavese, G., Dinoi, A., Calvello, M., De Benedetto, G. E., Esposito, F., Lettino, A., Magnante, M., Mapelli, C., Pennetta, A., & Contini, D. (2025). Long-Term Integrated Measurements of Aerosol Microphysical Properties to Study Different Combustion Processes at a Coastal Semi-Rural Site in Southern Italy. Atmosphere, 16(7), 866. https://doi.org/10.3390/atmos16070866

