Large Eddy Simulations of Methane Emission from Landfill and Mathematical Modeling in the Far Field
Abstract
1. New Introduction
2. Materials and Methods
2.1. Mathematical Model
2.2. Computational Grid
2.3. Boundary Conditions
3. Results
3.1. Fields
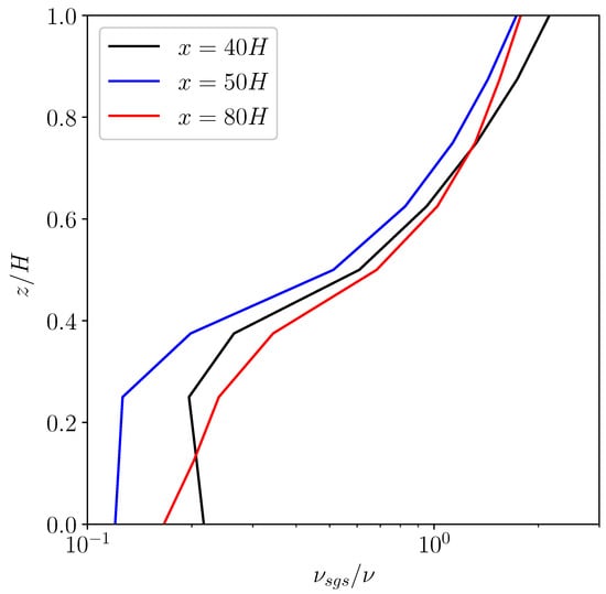
3.2. Profiles
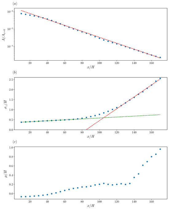
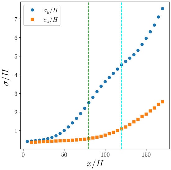
3.3. Gaussian Model
4. Discussion and Conclusions
- In this work, an ideal topography has been used. The ground is modeled as a flat surface. In reality, the area around the landfill is not flat since it is made of hills, valleys, roads, and buildings. Nevertheless, considering the characteristic size of the canopy , the ratio can be much smaller than 1. In that case, the site topography can be modeled as a roughness and be taken into account in a single parameter, namely, the turbulent Schmidt number for the mean concentration. The foreseen effect is that this will change the boundaries of the turbulent region so that the mean concentration will be self-similar for some x smaller than , but it is unlikely that this will affect methane dispersion in the far field. Of course, this will not be true if the size of the landfill is comparable with the characteristic size of the topography.
- The second limitation consists in the wind speed. Knowing the fluid dynamic conditions is fundamental in order to interpret the sampling results and estimate emission rates. However, the wind speed can vary significantly and because of buoyancy, the velocity profile is influenced by the methane concentration itself. Nevertheless, it is reasonable to assume that, regardless of the speed, the mean velocity profile remains approximately logarithmic. The difference could be that at higher speeds, the region in which the mean concentration is self-similar to the coordinate would be shorter and the dependency from the coordinate would occur earlier. Overall, a different wind speed should not change the results obtained in this work. It is worth mentioning that there is one factor of uncertainty that concerns buoyancy. Buoyancy makes concentration an active scalar. This means that methane concentration influences the flow field. Nevertheless, as the mass fraction is small relative to air, this effect should be negligible.
- The third limitation consists in the modeling of the methane influx. Methane is emitted in the landfill by a diffusive flux, since there is no air flux from the ground to the atmosphere. In this work, a Neumann boundary condition, i.e., constant flux of , has been imposed on the landfill. However, this condition represents a simplification. In reality, the flux of methane would depend on the concentration of on the landfill. However, determining experimentally the relationship between methane flux and methane concentration can be a difficult process. Computational fluid dynamics could help this process by a trial and error process, but this was outside the scope of this work.
Author Contributions
Funding
Institutional Review Board Statement
Informed Consent Statement
Data Availability Statement
Conflicts of Interest
Abbreviations
| CFD | computational fluid dynamics |
| LES | large eddy simulation |
| RMS | root mean square |
| LiDaR | Light Detection and Ranging |
| DNS | direct numerical simulations |
| RANS | Reynolds-averaged Navier–Stokes |
References
- Peng, M.Q.; Chen, T.H.; Jin, T.; Su, Y.C.; Luo, S.T.; Xu, H. A Novel First-Order Kinetic Model for Simultaneous Anaerobic–Aerobic Degradation of Municipal Solid Waste in Landfills. Processes 2024, 12, 2225. [Google Scholar] [CrossRef]
- Huang, D.; Du, Y.; Xu, Q.; Ko, J.H. Quantification and control of gaseous emissions from solid waste landfill surfaces. J. Environ. Manag. 2022, 302, 114001. [Google Scholar] [CrossRef] [PubMed]
- Weng, B. The road to climate change mitigation via methane emissions monitoring. Nat. Rev. Electr. Eng. 2024, 1, 69–70. [Google Scholar] [CrossRef]
- Li, K.; Xu, W.; Chen, Y.; Zhan, L.; Ke, H.; Xu, H.; Xiao, D. Biochemical, hydrological and mechanical behaviors of high food waste content MSW landfill: Numerical simulation analysis of a large-scale experiment. Waste Manag. 2023, 171, 557–567. [Google Scholar] [CrossRef]
- Pan, Q.; Liu, Q.Y.; Zheng, J.; Li, Y.H.; Xiang, S.; Sun, X.J.; He, X.S. Volatile and semi-volatile organic compounds in landfill gas: Composition characteristics and health risks. Environ. Int. 2023, 174, 107886. [Google Scholar] [CrossRef]
- Wu, T.; Cheng, J.; Wang, S.; He, H.; Chen, G.; Xu, H.; Wu, S. Hotspot Detection and Estimation of Methane Emissions from Landfill Final Cover. Atmosphere 2023, 14, 1598. [Google Scholar] [CrossRef]
- Stadler, C.; Fusé, V.S.; Linares, S.; Guzmán, S.A.; Juliarena, M.P. Accessible sampling methodologies to quantify the net methane emission from landfill cells. Atmos. Pollut. Res. 2024, 15, 102011. [Google Scholar] [CrossRef]
- Gallego, E.; Perales, J.; Aguasca, N.; Domínguez, R. Determination of emission factors from a landfill through an inverse methodology: Experimental determination of ambient air concentrations and use of numerical modelling. Environ. Pollut. 2024, 351, 124047. [Google Scholar] [CrossRef]
- Li, R.; Yuan, J.; Li, X.; Zhao, S.; Lu, W.; Wang, H.; Zhao, Y. Health risk assessment of volatile organic compounds (VOCs) emitted from landfill working surface via dispersion simulation enhanced by probability analysis. Environ. Pollut. 2023, 316, 120535. [Google Scholar] [CrossRef]
- Gunarathne, V.; Phillips, A.J.; Zanoletti, A.; Rajapaksha, A.U.; Vithanage, M.; Di Maria, F.; Pivato, A.; Korzeniewska, E.; Bontempi, E. Environmental pitfalls and associated human health risks and ecological impacts from landfill leachate contaminants: Current evidence, recommended interventions and future directions. Sci. Total Environ. 2024, 912, 169026. [Google Scholar] [CrossRef]
- Fosco, D.; De Molfetta, M.; Renzulli, P.; Notarnicola, B. Progress in monitoring methane emissions from landfills using drones: An overview of the last ten years. Sci. Total Environ. 2024, 945, 173981. [Google Scholar] [CrossRef] [PubMed]
- Wu, T.; Yang, H.; Cheng, J.; Chen, G.; Xu, H.; Zhang, L. Theoretical Analysis of Landfill Gas Migration in Capillary Barrier Covers Considering Effects of Waste Temperature. Appl. Sci. 2024, 14, 9473. [Google Scholar] [CrossRef]
- Wang, Q.; Gu, X.; Tang, S.; Mohammad, A.; Singh, D.N.; Xie, H.; Chen, Y.; Zuo, X.; Sun, Z. Gas transport in landfill cover system: A critical appraisal. J. Environ. Manag. 2022, 321, 116020. [Google Scholar] [CrossRef] [PubMed]
- Wójtowicz-Wróbel, A.; Kania, O.; Kocewiak, K.; Wójtowicz, R.; Dzierwa, P.; Trojan, M. Thermal-flow calculations for a thermal waste treatment plant and CFD modelling of the spread of gases in the context of urban structures. Energy 2023, 263, 125952. [Google Scholar] [CrossRef]
- Olaguer, E.P.; Jeltema, S.; Gauthier, T.; Jermalowicz, D.; Ostaszewski, A.; Batterman, S.; Xia, T.; Raneses, J.; Kovalchick, M.; Miller, S.; et al. Landfill emissions of methane inferred from unmanned aerial vehicle and mobile ground measurements. Atmosphere 2022, 13, 983. [Google Scholar] [CrossRef]
- Global Assessment: Urgent Steps Must Be Taken to Reduce Methane Emissions This Decade. Available online: https://unfccc.int/news (accessed on 21 January 2024).
- Wang, Y.; Song, W.; Wang, Q.; Yang, F.; Yan, Z. Predicting Enteric Methane Emissions from Dairy and Beef Cattle Using Nutrient Composition and Intake Variables. Animals 2024, 14, 3452. [Google Scholar] [CrossRef]
- Mønster, J.; Kjeldsen, P.; Scheutz, C. Methodologies for measuring fugitive methane emissions from landfills—A review. Waste Manag. 2019, 87, 835–859. [Google Scholar] [CrossRef]
- Xia, T.; Borjigin, S.G.; Raneses, J.; Stroud, C.A.; Batterman, S.A. Mobile measurements of atmospheric methane at eight large landfills: An assessment of temporal and spatial variability. Atmosphere 2023, 14, 906. [Google Scholar] [CrossRef]
- Connor, A.; Shaw, J.T.; Yarrow, N.; Howes, N.; Helmore, J.; Finlayson, A.; Barker, P.; Robinson, R. A framework for describing and classifying methane reporting requirements, emission sources, and monitoring methods. Environ. Sci. Atmos. 2024, 4, 1203–1217. [Google Scholar] [CrossRef]
- Bell, C.; Rutherford, J.; Brandt, A.; Sherwin, E.; Vaughn, T.; Zimmerle, D. Single-blind determination of methane detection limits and quantification accuracy using aircraft-based LiDAR. Elem. Sci. Anthr. 2022, 10, 00080. [Google Scholar] [CrossRef]
- Esparza, Á.E.; Rowan, G.; Newhook, A.; Deglint, H.J.; Garrison, B.; Orth-Lashley, B.; Girard, M.; Shaw, W. Analysis of a tiered top-down approach using satellite and aircraft platforms to monitor oil and gas facilities in the Permian basin. Renew. Sustain. Energy Rev. 2023, 178, 113265. [Google Scholar] [CrossRef]
- Yong, H.; Allen, G.; Mcquilkin, J.; Ricketts, H.; Shaw, J.T. Lessons learned from a UAV survey and methane emissions calculation at a UK landfill. Waste Manag. 2024, 180, 47–54. [Google Scholar] [CrossRef] [PubMed]
- Wigle, A.; Béliveau, A.; Blackmore, D.; Lapeyre, P.; Osadetz, K.; Lemieux, C.; Daun, K.J. Estimation and Applications of Uncertainty in Methane Emissions Quantification Technologies: A Bayesian Approach. ACS Es&t Air 2024, 1, 1000–1014. [Google Scholar]
- Lucernoni, F.; Rizzotto, M.; Tapparo, F.; Capelli, L.; Sironi, S.; Busini, V. Use of CFD for static sampling hood design: An example for methane flux assessment on landfill surfaces. Chemosphere 2016, 163, 259–269. [Google Scholar] [CrossRef] [PubMed][Green Version]
- Kia, S.; Flesch, T.K.; Freeman, B.S.; Aliabadi, A.A. Calculating gas emissions from open-pit mines using inverse dispersion modelling: A numerical evaluation using CALPUFF and CFD-LS. J. Wind. Eng. Ind. Aerodyn. 2022, 226, 105046. [Google Scholar] [CrossRef]
- Christo, F.; Fletcher, D.; Joseph, S. Computational fluid dynamics modelling of a landfill gas flare. J. Inst. Energy 1998, 71, 145–151. [Google Scholar]
- Samec, N.; Hriberšek, M.; Ravnik, J. Numerical simulation of particle air dispersion around the landfill. Air Pollut. XVII 2009, 123, 27. [Google Scholar]
- Alizadehdakhel, A.; Zoqi, M. A CFD investigation on the effect of CO2 injection into a landfill. In Proceedings of the 2010 International Conference on Chemical Engineering and Applications, Singapore, 26–28 February 2010; pp. 176–180. [Google Scholar]
- Hriberšek, M.; Samec, N.; Ravnik, J.; Zadravec, M. Numerical Simulations of Wind Induced Particle Contamination in Gypsum Landfill Surroundings. Environ. Model. Assess. 2011, 16, 479–489. [Google Scholar] [CrossRef]
- Sanchez, R.; Tsotsis, T.T.; Sahimi, M. Computer simulation of gas generation and transport in landfills. IV: Modeling of liquid–gas flow. Chem. Eng. Sci. 2010, 65, 1212–1226. [Google Scholar] [CrossRef]
- White, J.; Nayagum, D.; Beaven, R. A multi-component two-phase flow algorithm for use in landfill processes modelling. Waste Manag. 2014, 34, 1644–1656. [Google Scholar] [CrossRef]
- Halvorsen, D.; Nec, Y.; Huculak, G. Horizontal landfill gas wells: Geometry, physics of flow and connection with the atmosphere. Phys. Chem. Earth Parts A/B/C 2019, 113, 50–62. [Google Scholar] [CrossRef]
- Zheng, Q.T.; Feng, S.J.; Wu, S.J.; Zhang, X.L.; Chen, H.X. Modeling of multifield coupling interactions in an aerobic landfill based on the finite volume method. Comput. Geotech. 2022, 146, 104704. [Google Scholar] [CrossRef]
- Guo, S.; Yu, W.; Zhao, H.; Lai, C.; Bian, S.; Jin, P.; Liang, S.; Yuan, S.; Huang, L.; Wang, S.; et al. Numerical simulation to optimize passive aeration strategy for semi-aerobic landfill. Waste Manag. 2023, 171, 676–685. [Google Scholar] [CrossRef] [PubMed]
- Torno, S.; Toraño, J.; Menendez, M.; Gent, M.; Allende, C.; Popov, V.; Itoh, H.; Mander, U.; Brebbia, C. LIDAR technique application to the analysis of environmental pollution. Waste Manag. Environ. V 2010, 140, 301. [Google Scholar]
- Torno, S.; Toraño, J.; Menendez, M.; Gent, M.; Allende, C. Prediction of particulate air pollution from a landfill site using CFD and LIDAR techniques. Environ. Fluid Mech. 2011, 11, 99–112. [Google Scholar] [CrossRef]
- Riddick, S.N.; Connors, S.; Robinson, A.D.; Manning, A.J.; Jones, P.S.; Lowry, D.; Nisbet, E.; Skelton, R.L.; Allen, G.; Pitt, J.; et al. Estimating the size of a methane emission point source at different scales: From local to landscape. Atmos. Chem. Phys. 2017, 17, 7839–7851. [Google Scholar] [CrossRef]
- Leifer, I.; Melton, C.; Tratt, D.M.; Buckland, K.N.; Clarisse, L.; Coheur, P.; Frash, J.; Gupta, M.; Johnson, P.D.; Leen, J.B.; et al. Remote sensing and in situ measurements of methane and ammonia emissions from a megacity dairy complex: Chino, CA. Environ. Pollut. 2017, 221, 37–51. [Google Scholar] [CrossRef]
- Kormi, T.; Mhadhebi, S.; Ali, N.B.H.; Abichou, T.; Green, R. Estimation of fugitive landfill methane emissions using surface emission monitoring and Genetic Algorithms optimization. Waste Manag. 2018, 72, 313–328. [Google Scholar]
- Kumar, P.; Caldow, C.; Broquet, G.; Shah, A.; Laurent, O.; Yver-Kwok, C.; Ars, S.; Defratyka, S.; Gichuki, S.W.; Lienhardt, L.; et al. Detection and long-term quantification of methane emissions from an active landfill. Atmos. Meas. Tech. 2024, 17, 1229–1250. [Google Scholar] [CrossRef]
- Petracci, I.; Angelino, M.; Di Venuta, I.; Boghi, A.; Gori, F. Experiments and numerical simulations of mass transfer and flow evolution in transient rectangular free jet of air. Int. Commun. Heat Mass Transf. 2019, 108, 104290. [Google Scholar] [CrossRef]
- Di Venuta, I.; Boghi, A.; Petracci, I.; Bartoli, C.; Gori, F. Flow evolution and mass transfer in a turbulent rectangular free jet of air with small laminar Schmidt number. Int. Commun. Heat Mass Transf. 2019, 107, 44–54. [Google Scholar] [CrossRef]
- Boghi, A.; Di Venuta, I.; Angelino, M.; Gori, F. Large eddy simulation and self-similarity analysis of the momentum spreading in the near field region of turbulent submerged round jets. Int. J. Heat Fluid Flow 2019, 80, 108466. [Google Scholar] [CrossRef]
- Angelino, M.; Di Venuta, I.; Boghi, A.; Petracci, I.; Gori, F. Further results on the mean mass transfer and fluid flow in a turbulent round jet. Int. Commun. Heat Mass Transf. 2023, 141, 106568. [Google Scholar] [CrossRef]
- Holmes, N.; Morawska, L. A review of dispersion modelling and its application to the dispersion of particles: An overview of different dispersion models available. Atmos. Environ. 2006, 40, 5902–5928. [Google Scholar] [CrossRef]
- Gasbarra, D.; Toscano, P.; Famulari, D.; Finardi, S.; Di Tommasi, P.; Zaldei, A.; Carlucci, P.; Magliulo, E.; Gioli, B. Locating and quantifying multiple landfills methane emissions using aircraft data. Environ. Pollut. 2019, 254, 112987. [Google Scholar] [CrossRef] [PubMed]
- Foster-Wittig, T.A.; Thoma, E.D.; Albertson, J.D. Estimation of point source fugitive emission rates from a single sensor time series: A conditionally-sampled Gaussian plume reconstruction. Atmos. Environ. 2015, 115, 101–109. [Google Scholar] [CrossRef]
- Matacchiera, F.; Manes, C.; Beaven, R.; Rees-White, T.; Boano, F.; Mønster, J.; Scheutz, C. AERMOD as a Gaussian dispersion model for planning tracer gas dispersion tests for landfill methane emission quantification. Waste Manag. 2019, 87, 924–936. [Google Scholar] [CrossRef]
- Riddick, S.N.; Mauzerall, D.L.; Celia, M.; Harris, N.R.; Allen, G.; Pitt, J.; Staunton-Sykes, J.; Forster, G.L.; Kang, M.; Lowry, D.; et al. Methane emissions from oil and gas platforms in the North Sea. Atmos. Chem. Phys. 2019, 19, 9787–9796. [Google Scholar] [CrossRef]
- Manheim, D.C.; Newman, S.; Yeşiller, N.; Hanson, J.L.; Guha, A. Application of cavity ring-down spectroscopy and a novel near surface Gaussian plume estimation approach to inverse model landfill methane emissions. MethodsX 2023, 10, 102048. [Google Scholar] [CrossRef]
- Lelieveld, J.; Lechtenböhmer, S.; Assonov, S.S.; Brenninkmeijer, C.A.; Dienst, C.; Fischedick, M.; Hanke, T. Low methane leakage from gas pipelines. Nature 2005, 434, 841–842. [Google Scholar] [CrossRef]
- Boghi, A.; Brown, L.; Sawko, R.; Thompson, C.P. An inertial two-phase model of wax transport in a pipeline during pigging operations. Int. J. Multiph. Flow 2017, 94, 17–30. [Google Scholar] [CrossRef]
- Yu, J.; Hmiel, B.; Lyon, D.R.; Warren, J.; Cusworth, D.H.; Duren, R.M.; Chen, Y.; Murphy, E.C.; Brandt, A.R. Methane emissions from natural gas gathering pipelines in the permian basin. Environ. Sci. Technol. Lett. 2022, 9, 969–974. [Google Scholar] [CrossRef] [PubMed]
- Boghi, A.; Brown, L.; Sawko, R.; Thompson, C.P. A non-inertial two-phase model of wax transport in a pipeline during pigging operations. J. Pet. Sci. Eng. 2018, 165, 664–672. [Google Scholar] [CrossRef]
- Weller, Z.D.; Hamburg, S.P.; von Fischer, J.C. A national estimate of methane leakage from pipeline mains in natural gas local distribution systems. Environ. Sci. Technol. 2020, 54, 8958–8967. [Google Scholar] [CrossRef]









Disclaimer/Publisher’s Note: The statements, opinions and data contained in all publications are solely those of the individual author(s) and contributor(s) and not of MDPI and/or the editor(s). MDPI and/or the editor(s) disclaim responsibility for any injury to people or property resulting from any ideas, methods, instructions or products referred to in the content. |
© 2025 by the authors. Licensee MDPI, Basel, Switzerland. This article is an open access article distributed under the terms and conditions of the Creative Commons Attribution (CC BY) license (https://creativecommons.org/licenses/by/4.0/).
Share and Cite
Boghi, A.; Harris, N.R.P.; Waombo, K. Large Eddy Simulations of Methane Emission from Landfill and Mathematical Modeling in the Far Field. Atmosphere 2025, 16, 186. https://doi.org/10.3390/atmos16020186
Boghi A, Harris NRP, Waombo K. Large Eddy Simulations of Methane Emission from Landfill and Mathematical Modeling in the Far Field. Atmosphere. 2025; 16(2):186. https://doi.org/10.3390/atmos16020186
Chicago/Turabian StyleBoghi, Andrea, Neil R. P. Harris, and Kennedy Waombo. 2025. "Large Eddy Simulations of Methane Emission from Landfill and Mathematical Modeling in the Far Field" Atmosphere 16, no. 2: 186. https://doi.org/10.3390/atmos16020186
APA StyleBoghi, A., Harris, N. R. P., & Waombo, K. (2025). Large Eddy Simulations of Methane Emission from Landfill and Mathematical Modeling in the Far Field. Atmosphere, 16(2), 186. https://doi.org/10.3390/atmos16020186

