Attribution of Black Carbon Variability in China (2000–2019) from a Perspective of Machine Learning
Abstract
1. Introduction
2. Materials and Methods
2.1. Study Area
2.2. Data Sources
2.3. Methods
2.3.1. Theil–Sen Slope Estimation
2.3.2. Mann–Kendall Test
2.3.3. Meteorological Normalization Approach
2.3.4. Shapley Additive Explanation (SHAP) Method
3. Results and Discussion
3.1. Overall Variations
3.1.1. Spatial and Temporal Changes in BC Concentrations
3.1.2. Changes in BC Trends
3.2. Relative Contributions of Emissions and Meteorological Conditions
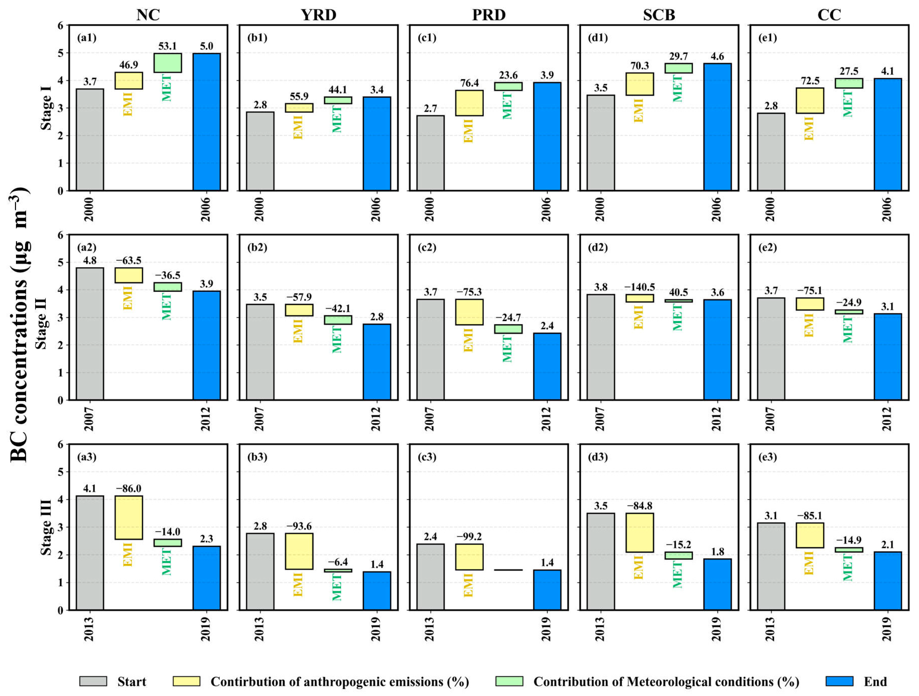
3.2.1. Annual Changes
3.2.2. Stage Changes
3.2.3. BC Trends After Adjusting the Meteorological Effects
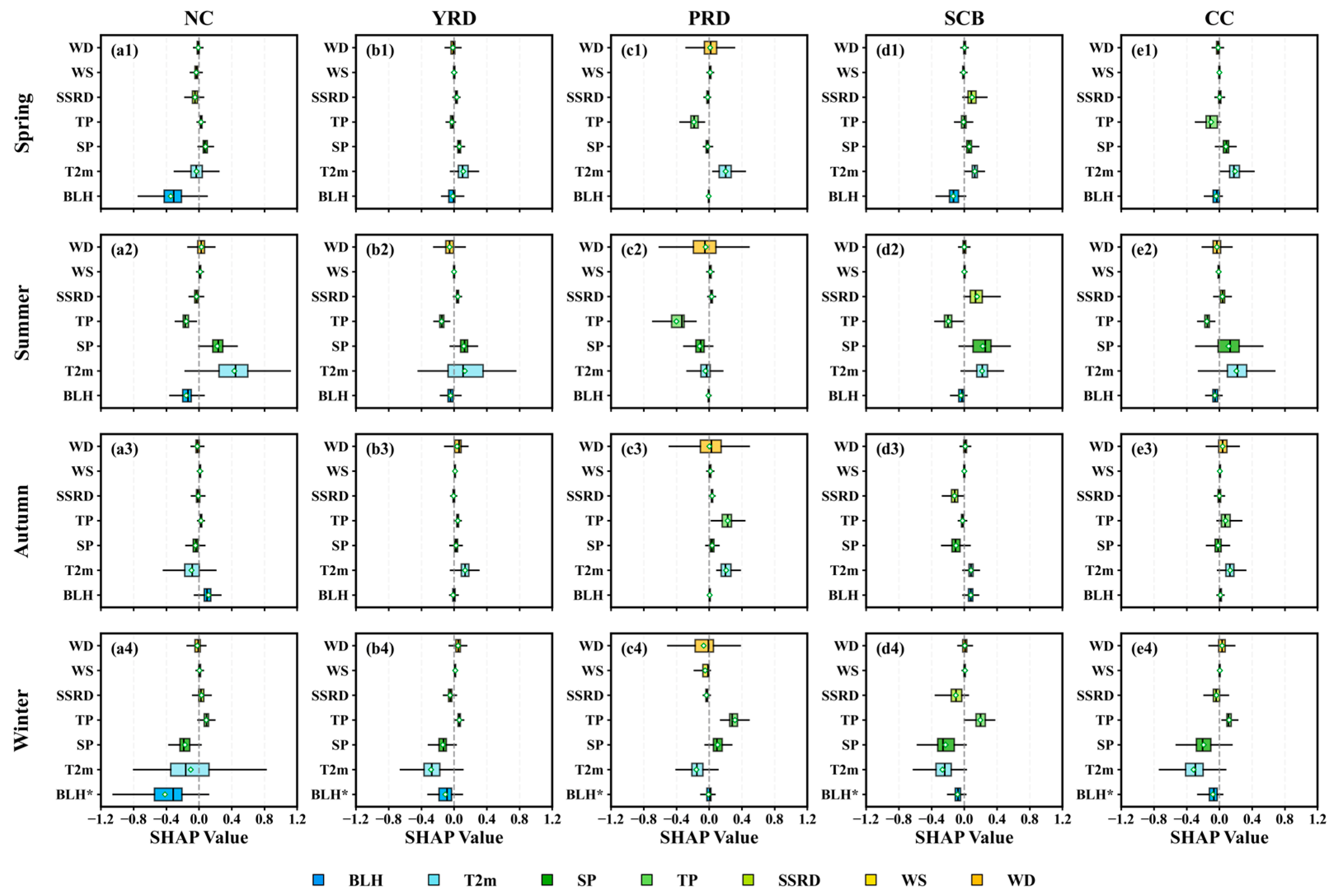
3.3. Driving Mechanisms of Meteorological Factors Affecting BC
3.3.1. SHAP-Based Importance of Different Features
3.3.2. Seasonal SHAP Values of Meteorological Factors
3.4. Uncertainty and Limitations
4. Conclusions
- (1)
- In terms of the spatial distribution, BC concentrations exhibited an “East High-West Low” pattern. In terms of temporal variations, BC concentrations over China increased significantly during Stage I, decreased gradually during Stage II, and dropped rapidly during Stage III. Specifically, the proportion of BC trends within the bins of 0.01 to 0.02 μg m−3 yr−1 covered 16.29% of the national territory in Stage I, while the ratio of BC trends within the bins of −0.02 to −0.01 μg m−3 yr−1 reached 3.70% and 21.74% in Stage II and Stage III, respectively.
- (2)
- Anthropogenic emissions dominated the variability of BC load in China from 2000 to 2019. Regarding BC changes during the three stages, the proportion of regional average BCEMI to regional average BC concentrations ranged from −140.50% to 76.40%. Especially, the most significant decrease was found in NC during Stage III, with a BCEMI reduction of more than 1.5 μg m−3, confirming the effectiveness of emission control policies for BC in this area.
- (3)
- The influence of meteorological conditions on the interannual fluctuations and long-term trends of BC was complex and spatially heterogeneous, potentially exaggerating the level of anthropogenic pollution or obscuring the effects of emission controls. As for the annual mean meteorological effect, the highest BCMET value in YRD (0.17 μg m−3) and PRD (0.27 μg m−3) was observed in 2004, while positive BCMET in NC, SCB, and CC peaked in 2013, with values of 0.21, 0.17, and 0.17 μg m−3, respectively.
- (4)
- There were relatively stable pathways of meteorological factors affecting BC for each region, evidenced by almost unchanged rankings of BLH, T2m, TP, SP, WD, WS and SSRD across different stages and seasons. Furthermore, clear patterns were observed in the meteorological driving mechanisms across the five regions during summer/winter.
Supplementary Materials
Author Contributions
Funding
Institutional Review Board Statement
Informed Consent Statement
Data Availability Statement
Acknowledgments
Conflicts of Interest
References
- Baumgartner, J.; Zhang, Y.; Schauer, J.J.; Huang, W.; Wang, Y.; Ezzati, M. Highway proximity and black carbon from cookstoves as a risk factor for higher blood pressure in rural China. Proc. Natl. Acad. Sci. USA 2014, 111, 13229–13234. [Google Scholar] [CrossRef] [PubMed]
- Bond, T.C.; Doherty, S.J.; Fahey, D.W.; Forster, P.M.; Berntsen, T.; DeAngelo, B.J.; Flanner, M.G.; Ghan, S.; Kärcher, B.; Koch, D.; et al. Bounding the Role of Black Carbon in the Climate System: A Scientific Assessment. J. Geophys. Res. Atmos. 2013, 118, 5380–5552. [Google Scholar] [CrossRef]
- Wei, J.; Wang, J.; Li, Z.; Kondragunta, S.; Anenberg, S.; Wang, Y.; Zhang, H.; Diner, D.; Hand, J.; Lyapustin, A.; et al. Long-term mortality burden trends attributed to black carbon and PM2·5 from wildfire emissions across the continental USA from 2000 to 2020: A deep learning modelling study. Lancet Planet. Health 2023, 7, e963–e975. [Google Scholar] [CrossRef]
- Bond, T.C.; Streets, D.G.; Yarber, K.F.; Nelson, S.M.; Woo, J.-H.; Klimont, Z. A Technology-Based Global Inventory of Black and Organic Carbon Emissions from Combustion. J. Geophys. Res. Atmos. 2004, 109. [Google Scholar] [CrossRef]
- Jacobson, M.Z. Strong Radiative Heating due to the Mixing State of Black Carbon in Atmospheric Aerosols. Nature 2001, 409, 695–697. [Google Scholar] [CrossRef]
- Ramanathan, V.; Carmichael, G. Global and Regional Climate Changes due to Black Carbon. Nat. Geosci. 2008, 36, 335–358. [Google Scholar] [CrossRef]
- IPCC. Climate Change 2021: The Physical Science Basis. In Contribution of Working Group I to the Sixth Assessment Report of the Intergovernmental Panel on Climate Change; Cambridge University Press: Cambridge, UK; New York, NY, USA, 2021. [Google Scholar] [CrossRef]
- Ogren, J.A.; Charlson, R.J. Elemental carbon in the atmosphere: Cycle and lifetime. Tellus B 1983, 35B, 241–254. [Google Scholar] [CrossRef]
- Reddy, M.S.; Boucher, O. Climate impact of black carbon emitted from energy consumption in the world’s regions. Geophys. Res. Lett. 2007, 34, L11802. [Google Scholar] [CrossRef]
- Kopp, R.E.; Mauzerall, D.L. Assessing the climatic benefits of black carbon mitigation. Proc. Natl. Acad. Sci. USA 2010, 107, 11703–11708. [Google Scholar] [CrossRef] [PubMed]
- Rypdal, K.; Rive, N.; Berntsen, T.K.; Klimont, Z.; Mideksa, T.K.; Myhre, G.; Skeie, R.B. Costs and global impacts of black carbon abatement strategies. Tellus B 2009, 61, 625–641. [Google Scholar] [CrossRef][Green Version]
- Menon, S.; Hansen, J.; Nazarenko, L.; Luo, Y. Climate Effects of Black Carbon Aerosols in China and India. Science 2002, 297, 2250–2253. [Google Scholar] [CrossRef]
- Ding, A.J.; Huang, X.; Nie, W.; Sun, J.N.; Kerminen, V.-M.; Petäjä, T.; Su, H.; Cheng, Y.F.; Yang, X.-Q.; Wang, M.H.; et al. Enhanced Haze Pollution by Black Carbon in Megacities in China. Geophys. Res. Lett. 2016, 43, 2873–2879. [Google Scholar] [CrossRef]
- Armstrong, B.; Hutchinson, E.; Unwin, J.; Fletcher, T. Lung Cancer Risk after Exposure to Polycyclic Aromatic Hydrocarbons: A Review and Meta-Analysis. Environ. Health Perspect. 2004, 112, 970–978. [Google Scholar] [CrossRef] [PubMed]
- Luben, T.J.; Nichols, J.L.; Dutton, S.J.; Kirrane, E.; Owens, E.O.; Datko-Williams, L.; Madden, M.; Sacks, J.D. A systematic review of cardiovascular emergency department visits, hospital admissions and mortality associated with ambient black carbon. Environ. Int. 2017, 107, 154–162. [Google Scholar] [CrossRef] [PubMed]
- Magalhaes, S.; Baumgartner, J.; Weichenthal, S. Impacts of exposure to black carbon, elemental carbon, and ultrafine particles from indoor and outdoor sources on blood pressure in adults: A review of epidemiological evidence. Environ. Res. 2017, 161, 345–353. [Google Scholar] [CrossRef]
- Koelmans, A.A.; Jonker, M.T.; Cornelissen, G.; Bucheli, T.D.; Van Noort, P.C.; Gustafsson, Ö. Black carbon: The reverse of its dark side. Chemosphere 2006, 63, 365–377. [Google Scholar] [CrossRef]
- Brugge, D.; Durant, J.L.; Rioux, C. Near-Highway Pollutants in Motor Vehicle Exhaust: A Review of Epidemiologic Evidence of Cardiac and Pulmonary Health Risks. Environ. Health 2007, 6, 23. [Google Scholar] [CrossRef] [PubMed]
- Wang, R.; Tao, S.; Wang, W.; Liu, J.; Shen, H.; Shen, G.; Wang, B.; Liu, X.; Li, W.; Huang, Y.; et al. Black Carbon Emissions in China from 1949 to 2050. Environ. Sci. Technol. 2012, 46, 7595–7603. [Google Scholar] [CrossRef]
- Klimont, Z.; Kupiainen, K.; Heyes, C.; Purohit, P.; Cofala, J.; Rafaj, P.; Borken-Kleefeld, J.; Schöpp, W. Global anthropogenic emissions of particulate matter including black carbon. Atmos. Chem. Phys. 2017, 17, 8681–8723. [Google Scholar] [CrossRef]
- Cai, J.; Jiang, H.; Chen, Y.; Liu, Z.; Han, Y.; Shen, H.; Song, J.; Li, J.; Zhang, Y.; Wang, R.; et al. Char dominates black carbon aerosol emission and its historic reduction in China. Nat. Commun. 2023, 14, 6444. [Google Scholar] [CrossRef]
- Liu, S.; Geng, G.; Xiao, Q.; Zheng, Y.; Liu, X.; Cheng, J.; Zhang, Q. Tracking Daily Concentrations of PM2.5 Chemical Composition in China since 2000. Environ. Sci. Technol. 2022, 56, 16517–16527. [Google Scholar] [CrossRef]
- Jin, S.; Ma, Y.; Huang, Z.; Huang, J.; Gong, W.; Liu, B.; Wang, W.; Fan, R.; Li, H. A comprehensive reappraisal of long-term aerosol characteristics, trends, and variability in Asia. Atmos. Chem. Phys. 2023, 23, 8187–8210. [Google Scholar] [CrossRef]
- Zhang, Q.; Zheng, Y.; Tong, D.; Shao, M.; Wang, S.; Zhang, Y.; Xu, X.; Wang, J.; He, H.; Liu, W.; et al. Drivers of improved PM 2.5 air quality in China from 2013 to 2017. Proc. Natl. Acad. Sci. USA 2019, 116, 24463–24469. [Google Scholar] [CrossRef]
- Chen, Z.; Chen, D.; Zhao, C.; Kwan, M.-P.; Cai, J.; Zhuang, Y.; Zhao, B.; Wang, X.; Chen, B.; Yang, J.; et al. Influence of meteorological conditions on PM2.5 concentrations across China: A review of methodology and mechanism. Environ. Int. 2020, 139, 105558. [Google Scholar] [CrossRef]
- Seo, J.; Park, D.-S.R.; Kim, J.Y.; Youn, D.; Bin Lim, Y.; Kim, Y. Effects of meteorology and emissions on urban air quality: A quantitative statistical approach to long-term records (1999–2016) in Seoul, South Korea. Atmos. Chem. Phys. 2018, 18, 16121–16137. [Google Scholar] [CrossRef]
- Song, Y.; Wu, H.; Dai, Q.; Liu, X.; Zhang, Y.; Feng, Y. Differentiating Periodic Drivers of Air Quality Changes: A Two-Step Decomposition Approach Integrating Machine Learning and Wavelet Analysis. J. Geophys. Res. Atmos. 2024, 129, e2023JD039658. [Google Scholar] [CrossRef]
- Abulimiti, A.; Zhang, Y.; Yu, M.; Hong, Y.; Lin, Y.-C.; Gul, C.; Cao, F. Sources and trends of black carbon aerosol in the megacity of Nanjing, eastern China, after the China Clean Action Plan and Three-Year Action Plan. Atmos. Chem. Phys. 2025, 25, 6161–6178. [Google Scholar] [CrossRef]
- Cao, J.-J.; Zhu, C.-S.; Chow, J.C.; Watson, J.G.; Han, Y.-M.; Wang, G.-H.; Shen, Z.-X.; An, Z.-S. Black carbon relationships with emissions and meteorology in Xi’an, China. Atmos. Res. 2009, 94, 194–202. [Google Scholar] [CrossRef]
- Cheng, X.; Yu, J.; Chen, L.; Sun, Y.; Zhang, H.; Gao, S.; Kong, S.; Zheng, H.; Wang, H. Influence of pollution control measures on the reduction of black carbon in an urban site of megacity, Tianjin, China based on ground-monitored and MERRA-2 reanalysis data. Sci. Total Environ. 2024, 912, 169466. [Google Scholar] [CrossRef]
- Meng, J.; Liu, J.; Guo, S.; Li, J.; Li, Z.; Tao, S. Trend and driving forces of Beijing’s black carbon emissions from sectoral perspectives. J. Clean. Prod. 2016, 112, 1272–1281. [Google Scholar] [CrossRef]
- Xu, H.; Ren, Y.; Zhang, W.; Meng, W.; Yun, X.; Yu, X.; Li, J.; Zhang, Y.; Shen, G.; Ma, J.; et al. Updated Global Black Carbon Emissions from 1960 to 2017: Improvements, Trends, and Drivers. Environ. Sci. Technol. 2021, 55, 7869–7879. [Google Scholar] [CrossRef]
- He, C.; Niu, X.; Ye, Z.; Wu, Q.; Liu, L.; Zhao, Y.; Ni, J.; Li, B.; Jin, J. Black carbon pollution in China from 2001 to 2019: Patterns, trends, and drivers. Environ. Pollut. 2023, 324, 12. [Google Scholar] [CrossRef]
- Peischl, J.; Aikin, K.C.; McDonald, B.C.; Harkins, C.; Middlebrook, A.M.; Langford, A.O.; Cooper, O.R.; Chang, K.-L.; Brown, S.S. Quantifying anomalies of air pollutants in 9 U.S. cities during 2020 due to COVID-19 lockdowns and wildfires based on decadal trends. Elem. Sci. Anthr. 2023, 11, 00029. [Google Scholar] [CrossRef]
- Falocchi, M.; Zardi, D.; Giovannini, L. Giovannini, Meteorological normalization of NO2 concentrations in the Province of Bolzano (Italian Alps). Atmos. Environ. 2021, 246, 118048. [Google Scholar] [CrossRef]
- Nunes, R.A.O.; Alvim-Ferraz, M.C.M.; Martins, F.G.; Calderay-Cayetano, F.; Durán-Grados, V.; Moreno-Gutiérrez, J.; Jalkanen, J.-P.; Hannuniemi, H.; Sousa, S.I.V. Shipping emissions in the Iberian Peninsula and the impacts on air quality. Atmos. Chem. Phys. 2020, 20, 9473–9489. [Google Scholar] [CrossRef]
- Henneman, L.R.; Holmes, H.A.; Mulholland, J.A.; Russell, A.G. Meteorological detrending of primary and secondary pollutant concentrations: Method application and evaluation using long-term (2000–2012) data in Atlanta. Atmos. Environ. 2015, 119, 201–210. [Google Scholar] [CrossRef]
- Zhong, Q.; Ma, J.; Shen, G.; Shen, H.; Zhu, X.; Yun, X.; Meng, W.; Cheng, H.; Liu, J.; Li, B.; et al. Distinguishing Emission-Associated Ambient Air PM2.5 Concentrations and Meteorological Factor-Induced Fluctuations. Environ. Sci. Technol. 2018, 52, 10416–10425. [Google Scholar] [CrossRef] [PubMed]
- Otero, N.; Sillmann, J.; Mar, K.A.; Rust, H.W.; Solberg, S.; Andersson, C.; Engardt, M.; Bergström, R.; Bessagnet, B.; Colette, A.; et al. A multi-model comparison of meteorological drivers of surface ozone over Europe. Atmos. Chem. Phys. 2018, 18, 12269–12288. [Google Scholar] [CrossRef]
- Sokhi, R.S.; Moussiopoulos, N.; Baklanov, A.; Bartzis, J.; Coll, I.; Finardi, S.; Friedrich, R.; Geels, C.; Grönholm, T.; Halenka, T.; et al. Advances in air quality research—Current and emerging challenges. Atmos. Chem. Phys. 2022, 22, 4615–4703. [Google Scholar] [CrossRef]
- Wang, S.; Liu, X.; Yang, X.; Zou, B.; Wang, J. Spatial variations of PM2.5 in Chinese cities for the joint impacts of human activities and natural conditions: A global and local regression perspective. J. Clean. Prod. 2018, 203, 143–152. [Google Scholar] [CrossRef]
- Zhai, S.; Jacob, D.J.; Wang, X.; Shen, L.; Li, K.; Zhang, Y.; Gui, K.; Zhao, T.; Liao, H. Fine particulate matter (PM2.5) trends in China, 2013–2018: Separating contributions from anthropogenic emissions and meteorology. Atmos. Chem. Phys. 2019, 19, 11031–11041. [Google Scholar] [CrossRef]
- Hastie, T.; Tibshirani, R.; Friedman, J. The Elements of Statistical Learning: Data Mining, Inference, and Prediction; Springer: Berlin/Heidelberg, Germany, 2009. [Google Scholar] [CrossRef]
- Zheng, H.; Kong, S.; Zhai, S.; Sun, X.; Cheng, Y.; Yao, L.; Song, C.; Zheng, Z.; Shi, Z.; Harrison, R.M. An intercomparison of weather normalization of PM2.5 concentration using traditional statistical methods, machine learning, and chemistry transport models. Npj Clim. Atmos. Sci. 2023, 6, 214. [Google Scholar] [CrossRef]
- Vu, T.V.; Shi, Z.; Cheng, J.; Zhang, Q.; He, K.; Wang, S.; Harrison, R.M. Assessing the impact of clean air action on air quality trends in Beijing using a machine learning technique. Atmos. Chem. Phys. 2019, 19, 11303–11314. [Google Scholar] [CrossRef]
- Grange, S.K.; Carslaw, D.C.; Lewis, A.C.; Boleti, E.; Hueglin, C. Random forest meteorological normalisation models for Swiss PM10 trend analysis. Atmos. Chem. Phys. 2018, 18, 6223–6239. [Google Scholar] [CrossRef]
- Xiao, Q.; Zheng, Y.; Geng, G.; Chen, C.; Huang, X.; Che, H.; Zhang, X.; He, K.; Zhang, Q. Separating emission and meteorological contributions to long-term PM2.5 trends over eastern China during 2000–2018. Atmos. Chem. Phys. 2021, 21, 9475–9496. [Google Scholar] [CrossRef]
- Shi, Y.; Liu, B.; Chen, S.; Gong, W.; Ma, Y.; Zhang, M.; Jin, S.; Jin, Y. Characteristics of aerosol within the nocturnal residual layer and its effects on surface PM2.5 over China. Atmos. Environ. 2020, 241, 117841. [Google Scholar] [CrossRef]
- Petäjä, T.; Järvi, L.; Kerminen, V.-M.; Ding, A.; Sun, J.; Nie, W.; Kujansuu, J.; Virkkula, A.; Yang, X.; Fu, C.; et al. Enhanced air pollution via aerosol-boundary layer feedback in China. Sci. Rep. 2016, 6, 18998. [Google Scholar] [CrossRef]
- Liao, T.; Wang, S.; Ai, J.; Gui, K.; Duan, B.; Zhao, Q.; Zhang, X.; Jiang, W.; Sun, Y. Heavy pollution episodes, transport pathways and potential sources of PM2.5 during the winter of 2013 in Chengdu (China). Sci. Total Environ. 2017, 584, 1056–1065. [Google Scholar] [CrossRef]
- An, Z.; Huang, R.-J.; Zhang, R.; Tie, X.; Li, G.; Cao, J.; Zhou, W.; Shi, Z.; Han, Y.; Gu, Z.; et al. Severe haze in northern China: A synergy of anthropogenic emissions and atmospheric processes. Proc. Natl. Acad. Sci. USA 2019, 116, 8657–8666. [Google Scholar] [CrossRef]
- Zhao, X.; Sun, Y.; Zhao, C.; Jiang, H. Impact of Precipitation with Different Intensity on PM2.5 over Typical Regions of China. Atmosphere 2020, 11, 906. [Google Scholar] [CrossRef]
- Geng, G.; Zhang, Q.; Tong, D.; Li, M.; Zheng, Y.; Wang, S.; He, K. Chemical composition of ambient PM2.5 over China and relationship to precursor emissions during 2005–2012. Atmos. Chem. Phys. 2017, 17, 9187–9203. [Google Scholar] [CrossRef]
- Hersbach, H.; Bell, B.; Berrisford, P.; Hirahara, S.; Horányi, A.; Muñoz-Sabater, J.; Nicolas, J.; Peubey, C.; Radu, R.; Schepers, D.; et al. The ERA5 global reanalysis. Q. J. R. Meteorol. Soc. 2020, 146, 1999–2049. [Google Scholar] [CrossRef]
- Muñoz-Sabater, J.; Dutra, E.; Agustí-Panareda, A.; Albergel, C.; Arduini, G.; Balsamo, G.; Boussetta, S.; Choulga, M.; Harrigan, S.; Hersbach, H.; et al. ERA5-Land: A state-of-the-art global reanalysis dataset for land applications. Earth Syst. Sci. Data 2021, 13, 4349–4383. [Google Scholar] [CrossRef]
- Tong, D.; Cheng, J.; Liu, Y.; Yu, S.; Yan, L.; Hong, C.; Qin, Y.; Zhao, H.; Zheng, Y.; Geng, G.; et al. Dynamic projection of anthropogenic emissions in China: Methodology and 2015–2050 emission pathways under a range of socio-economic, climate policy, and pollution control scenarios. Atmos. Chem. Phys. 2020, 20, 5729–5757. [Google Scholar] [CrossRef]
- Schmale, J.; Sharma, S.; Decesari, S.; Pernov, J.; Massling, A.; Hansson, H.-C.; von Salzen, K.; Skov, H.; Andrews, E.; Quinn, P.K.; et al. Pan-Arctic seasonal cycles and long-term trends of aerosol properties from 10 observatories. Atmos. Chem. Phys. 2022, 22, 3067–3096. [Google Scholar] [CrossRef]
- Masiol, M.; Squizzato, S.; Chalupa, D.C.; Utell, M.J.; Rich, D.Q.; Hopke, P.K. Long-term trends in submicron particle concentrations in a metropolitan area of the northeastern United States. Sci. Total Environ. 2018, 633, 59–70. [Google Scholar] [CrossRef] [PubMed]
- Theil, H. A rank-invariant method of linear and polynomial regression analysis. Proc. K. Ned. Akad. Wet. Ser. A-Math. Sci. 1950, 53, 386–392, 521. [Google Scholar] [CrossRef]
- Sen, P. Estimates of the Regression Coefficient Based on Kendall’s Tau. J. Am. Stat. Assoc. 1968, 63, 1379–1389. [Google Scholar] [CrossRef]
- Mann, H. Non-Parametric Test Against Trend. Econometrica 1945, 13, 245–259. [Google Scholar] [CrossRef]
- Kendall, M. Rank Correlation Methods; Charles Grifin: London, UK, 1975. [Google Scholar]
- Imani, M.; Beikmohammadi, A.; Arabnia, H.R. Comprehensive Analysis of Random Forest and XGBoost Performance with SMOTE, ADASYN, and GNUS Under Varying Imbalance Levels. Technologies 2025, 13, 88. [Google Scholar] [CrossRef]
- Alfasanah, Z.; Niam, M.Z.H.; Wardiani, S.; Ahsan, M.; Lee, M.H. Monitoring air quality index with EWMA and individual charts using XGBoost and SVR residuals. MethodsX 2024, 14, 103107. [Google Scholar] [CrossRef] [PubMed]
- Chen, T.; Guestrin, C. XGBoost: A Scalable Tree Boosting System. In Proceedings of the 22nd ACM SIGKDD International Conference on Knowledge Discovery and Data Mining, San Francisco, CA, USA, 13–17 August 2016; Association for Computing Machinery: San Francisco, CA, USA; pp. 785–794. [Google Scholar] [CrossRef]
- Carslaw, D.C.; Taylor, P.J. Analysis of air pollution data at a mixed source location using boosted regression trees. Atmos. Environ. 2009, 43, 3563–3570. [Google Scholar] [CrossRef]
- Aman, N.; Panyametheekul, S.; Pawarmart, I.; Xian, D.; Gao, L.; Tian, L.; Manomaiphiboon, K.; Wang, Y. Machine learning-based quantification and separation of emissions and meteorological effects on PM2.5 in Greater Bangkok. Sci. Rep. 2025, 15, 14775. [Google Scholar] [CrossRef]
- Qi, L.; Zheng, H.; Ding, D.; Wang, S. A comparison of meteorological normalization of PM2.5 by multiple linear regression, general additive model, and random forest methods. Atmos. Environ. 2024, 338, 120854. [Google Scholar] [CrossRef]
- Stirnberg, R.; Cermak, J.; Kotthaus, S.; Haeffelin, M.; Andersen, H.; Fuchs, J.; Kim, M.; Petit, J.-E.; Favez, O. Meteorology-driven variability of air pollution (PM1) revealed with explainable machine learning. Atmos. Chem. Phys. 2021, 21, 3919–3948. [Google Scholar] [CrossRef]
- Grange, S.K.; Carslaw, D.C. Using meteorological normalisation to detect interventions in air quality time series. Sci. Total Environ. 2019, 653, 578–588. [Google Scholar] [CrossRef]
- Upadhyay, A.; Jiang, J.; Cheng, Y.; Vasilakos, P.; Chen, Y.; Banos, D.T.; Flückiger, B.; Manousakas, M.I.; Prévôt, A.S.; Modini, R.L.; et al. High-resolution modelling of particulate matter chemical composition over Europe: Brake wear pollution. Environ. Int. 2025, 202, 109615. [Google Scholar] [CrossRef]
- Gora, K.; Rzeszutek, M. Comparison of Selected Ensemble Supervised Learning Algorithms Used for Meteorological Normalisation of Particulate Matter (PM10). Sustainability 2025, 17, 5274. [Google Scholar] [CrossRef]
- Linardatos, P.; Papastefanopoulos, V.; Kotsiantis, S. Explainable AI: A Review of Machine Learning Interpretability Methods. Entropy 2020, 23, 18. [Google Scholar] [CrossRef] [PubMed]
- Lundberg, S.; Lee, S.-I. A Unified Approach to Interpreting Model Predictions. Adv. Neural Inf. Process. Syst. 2017, 30. [Google Scholar] [CrossRef]
- Lundberg, S.; Erion, G.; Lee, S.-I. Consistent Individualized Feature Attribution for Tree Ensembles. arXiv 2019, arXiv:1706.06060. [Google Scholar] [CrossRef]
- Lundberg, S.M.; Erion, G.; Chen, H.; DeGrave, A.; Prutkin, J.M.; Nair, B.; Katz, R.; Himmelfarb, J.; Bansal, N.; Lee, S.-I. From Local Explanations to Global Understanding with Explainable AI for Trees. Nat. Mach. Intell. 2020, 2, 56–67. [Google Scholar] [CrossRef]
- Shapley, L.S. 17. A Value for n-Person Games. In Contributions to the Theory of Games, Volume II; Harold William, K., Albert William, T., Eds.; Princeton University Press: Princeton, NJ, USA, 1953; pp. 307–318. [Google Scholar] [CrossRef]
- Song, C.; Becagli, S.; Beddows, D.C.S.; Brean, J.; Browse, J.; Dai, Q.; Dall’osto, M.; Ferracci, V.; Harrison, R.M.; Harris, N.; et al. Understanding Sources and Drivers of Size-Resolved Aerosol in the High Arctic Islands of Svalbard Using a Receptor Model Coupled with Machine Learning. Environ. Sci. Technol. 2022, 56, 11189–11198. [Google Scholar] [CrossRef]
- State Council of the People’s Republic of China. Notice of the General Office of The State Council on Issuing the Air Pollution Prevention and Control Action Plan. 2013. Available online: http://www.gov.cn/zwgk/2013--09/12/content_2486773.htm (accessed on 20 March 2025).
- Zhang, Y.; Li, Y.; Guo, J.; Wang, Y.; Chen, D.; Chen, H. The climatology and trend of black carbon in China from 12-year ground observations. Clim. Dyn. 2019, 53, 5881–5892. [Google Scholar] [CrossRef]
- Hu, H. The distribution of population in China, with statistics and maps. Acta Geogr. Sin. 1935, 2, 33–74. [Google Scholar]
- Kong, X.; Fu, M.; Zhao, X.; Wang, J.; Jiang, P. Ecological effects of land-use change on two sides of the Hu Huanyong Line in China. Land Use Policy 2022, 113, 105895. [Google Scholar] [CrossRef]
- Chen, D.; Zhang, Y.; Yao, Y.; Hong, Y.; Guan, Q.; Tu, W. Exploring the spatial differentiation of urbanization on two sides of the Hu Huanyong Line—Based on nighttime light data and cellular automata. Appl. Geogr. 2019, 112, 102081. [Google Scholar] [CrossRef]
- Andersson, A.; Deng, J.; Du, K.; Zheng, M.; Yan, C.; Sköld, M.; Gustafsson, Ö. Regionally-Varying Combustion Sources of the January 2013 Severe Haze Events over Eastern China. Environ. Sci. Technol. 2015, 49, 2038–2043. [Google Scholar] [CrossRef]
- Su, T.; Li, Z.; Kahn, R. Relationships between the planetary boundary layer height and surface pollutants derived from lidar observations over China: Regional pattern and influencing factors. Atmos. Chem. Phys. 2018, 18, 15921–15935. [Google Scholar] [CrossRef]
- China’s Ministry of Environmental Protection. Civilian Bulk Coal Governance Is Still a Key Direction that BTH Region and Its Surrounding Areas Need to Adhere to. 2020. Available online: http://www.mee.gov.cn/ywgz/dqhjbh/dqhjzlgl/202003/t20200310_768238.shtml (accessed on 20 March 2025).
- Chinese State Council. Three-Year Action Plan to Beat Air Pollution. 2018. Available online: https://www.gov.cn/zhengce/content/2018-07/03/content_5303158.htm (accessed on 20 March 2025).
- Zhang, X.; Xu, X.; Ding, Y.; Liu, Y.; Zhang, H.; Wang, Y.; Zhong, J. The impact of meteorological changes from 2013 to 2017 on PM2.5 mass reduction in key regions in China. Sci. China Earth Sci. 2019, 62, 1885–1902. [Google Scholar] [CrossRef]
- Cai, W.; Li, K.; Liao, H.; Wang, H.; Wu, L. Weather conditions conducive to Beijing severe haze more frequent under climate change. Nat. Clim. Change 2017, 7, 257–262. [Google Scholar] [CrossRef]
- Li, K.; Liao, H.; Cai, W.; Yang, Y. Attribution of Anthropogenic Influence on Atmospheric Patterns Conducive to Recent Most Severe Haze Over Eastern China. Geophys. Res. Lett. 2018, 45, 2072–2081. [Google Scholar] [CrossRef]
- Chen, Z.; Chen, D.; Wen, W.; Zhuang, Y.; Kwan, M.-P.; Chen, B.; Zhao, B.; Yang, L.; Gao, B.; Li, R.; et al. Evaluating the “2+26” regional strategy for air quality improvement during two air pollution alerts in Beijing: Variations in PM2.5 concentrations, source apportionment, and the relative contribution of local emission and regional transport. Atmos. Chem. Phys. 2019, 19, 6879–6891. [Google Scholar] [CrossRef]
- Liu, J.; Mauzerall, D.L.; Chen, Q.; Zhang, Q.; Song, Y.; Peng, W.; Klimont, Z.; Qiu, X.; Zhang, S.; Hu, M.; et al. Air pollutant emissions from Chinese households: A major and underappreciated ambient pollution source. Proc. Natl. Acad. Sci. USA 2016, 113, 7756–7761. [Google Scholar] [CrossRef]
- Bian, Y.; Huang, Z.; Ou, J.; Zhong, Z.; Xu, Y.; Zhang, Z.; Xiao, X.; Ye, X.; Wu, Y.; Yin, X.; et al. Evolution of anthropogenic air pollutant emissions in Guangdong Province, China, from 2006 to 2015. Atmos. Chem. Phys. 2019, 19, 11701–11719. [Google Scholar] [CrossRef]
- Lu, X.; Chen, Y.; Huang, Y.; Lin, C.; Li, Z.; Fung, J.C.; Lau, A.K. Differences in concentration and source apportionment of PM2.5 between 2006 and 2015 over the PRD region in southern China. Sci. Total Environ. 2019, 673, 708–718. [Google Scholar] [CrossRef]
- Lu, H.; Xie, M.; Liu, B.; Liu, X.; Feng, J.; Yang, F.; Zhao, X.; You, T.; Wu, Z.; Gao, Y. Impact of atmospheric thermodynamic structures and aerosol radiation feedback on winter regional persistent heavy particulate pollution in the Sichuan-Chongqing region, China. Sci. Total Environ. 2022, 842, 156575. [Google Scholar] [CrossRef]
- Jeong, J.I.; Park, R.J. Winter monsoon variability and its impact on aerosol concentrations in East Asia. Environ. Pollut. 2017, 221, 285–292. [Google Scholar] [CrossRef] [PubMed]
- Lei, Y.; Zhang, Q.; He, K.B.; Streets, D.G. Primary anthropogenic aerosol emission trends for China, 1990–2005. Atmos. Chem. Phys. 2011, 11, 931–954. [Google Scholar] [CrossRef]
- Xie, M.; Shu, L.; Wang, T.; Gao, D.; Li, S.; Zhuang, B.; Huang, A.; Fang, D.; Han, Y.; Li, M.; et al. Inter-annual variation of aerosol pollution in East Asia and its relation with strong/weak East Asian winter monsoon. Atmos. Chem. Phys. Discuss. 2017, 2017, 1–38. [Google Scholar] [CrossRef]
- Ning, G.; Wang, S.; Yim, S.H.L.; Li, J.; Hu, Y.; Shang, Z.; Wang, J.; Wang, J. Impact of low-pressure systems on winter heavy air pollution in the northwest Sichuan Basin, China. Atmos. Chem. Phys. 2018, 18, 13601–13615. [Google Scholar] [CrossRef]
- Liao, T.; Gui, K.; Jiang, W.; Wang, S.; Wang, B.; Zeng, Z.; Che, H.; Wang, Y.; Sun, Y. Air stagnation and its impact on air quality during winter in Sichuan and Chongqing, southwestern China. Sci. Total Environ. 2018, 635, 576–585. [Google Scholar] [CrossRef] [PubMed]
- Zheng, B.; Tong, D.; Li, M.; Liu, F.; Hong, C.; Geng, G.; Li, H.; Li, X.; Peng, L.; Qi, J.; et al. Trends in China’s anthropogenic emissions since 2010 as the consequence of clean air actions. Atmos. Chem. Phys. 2018, 18, 14095–14111. [Google Scholar] [CrossRef]
- Yin, Z.; Wang, H.; Chen, H. Understanding severe winter haze events in the North China Plain in 2014: Roles of climate anomalies. Atmos. Chem. Phys. 2017, 17, 1641–1651. [Google Scholar] [CrossRef]
- Dai, T.; Dai, Q.; Ding, J.; Liu, B.; Bi, X.; Wu, J.; Zhang, Y.; Feng, Y. Measuring the Emission Changes and Meteorological Dependence of Source-Specific BC Aerosol Using Factor Analysis Coupled With Machine Learning. J. Geophys. Res. Atmos. 2023, 128, e2023JD038696. [Google Scholar] [CrossRef]
- Fan, S.J.; Fan, Q.; Yu, W.; Luo, X.Y.; Wang, B.M.; Song, L.L.; Leong, K.L. Atmospheric boundary layer characteristics over the Pearl River Delta, China, during the summer of 2006: Measurement and model results. Atmos. Chem. Phys. 2011, 11, 6297–6310. [Google Scholar] [CrossRef]
- Xie, J.; Liao, Z.; Fang, X.; Xu, X.; Wang, Y.; Zhang, Y.; Liu, J.; Fan, S.; Wang, B. The characteristics of hourly wind field and its impacts on air quality in the Pearl River Delta region during 2013–2017. Atmos. Res. 2019, 227, 112–124. [Google Scholar] [CrossRef]
- Fan, R.; Ma, Y.; Cao, W.; Jin, S.; Liu, B.; Wang, W.; Li, H.; Gong, W. New insights into black carbon light absorption enhancement: A comprehensive analysis of two differential behaviors. Environ. Pollut. 2024, 355, 124175. [Google Scholar] [CrossRef]
- Dong, Z.; Li, X.; Su, F.; Kong, Z.; Shang, L.; Li, Z.; Zhang, R. Molecular-scale investigation on the composition, sources and secondary generation of organic aerosols in polluted central China. J. Clean. Prod. 2024, 434, 139830. [Google Scholar] [CrossRef]
- Wang, G.; Deng, J.; Zhang, Y.; Zhang, Q.; Duan, L.; Hao, J.; Jiang, J. Air pollutant emissions from coal-fired power plants in China over the past two decades. Sci. Total Environ. 2020, 741, 140326. [Google Scholar] [CrossRef]
- Li, C.; Li, Q.; Tong, D.; Wang, Q.; Wu, M.; Sun, B.; Su, G.; Tan, L. Environmental impact and health risk assessment of volatile organic compound emissions during different seasons in Beijing. J. Environ. Sci. 2020, 93, 1–12. [Google Scholar] [CrossRef]
- Oshima, N.; Kondo, Y.; Moteki, N.; Takegawa, N.; Koike, M.; Kita, K.; Matsui, H.; Kajino, M.; Nakamura, H.; Jung, J.S.; et al. Wet removal of black carbon in Asian outflow: Aerosol Radiative Forcing in East Asia (A-FORCE) aircraft campaign. J. Geophys. Res. Atmos. 2012, 117. [Google Scholar] [CrossRef]
- Li, H.; Liu, B.; Gong, W.; Ma, Y.; Jin, S.; Wang, W.; Fan, R.; Jiang, S. Influence of clouds on planetary boundary layer height: A comparative study and factors analysis. Atmos. Res. 2025, 314, 107784. [Google Scholar] [CrossRef]
- Liu, D.; Ding, S.; Zhao, D.; Hu, K.; Yu, C.; Hu, D.; Wu, Y.; Zhou, C.; Tian, P.; Liu, Q.; et al. Black Carbon Emission and Wet Scavenging From Surface to the Top of Boundary Layer Over Beijing Region. J. Geophys. Res. Atmos. 2020, 125, e2020JD033096. [Google Scholar] [CrossRef]
- Zhang, Q.; Streets, D.G.; Carmichael, G.R.; He, K.B.; Huo, H.; Kannari, A.; Klimont, Z.; Park, I.S.; Reddy, S.; Fu, J.S.; et al. Asian emissions in 2006 for the NASA INTEX-B mission. Atmos. Chem. Phys. 2009, 9, 5131–5153. [Google Scholar] [CrossRef]
- Wang, X.; Zhu, J.; Jiao, G.; Chen, X.; Yang, Z.; Chen, L.; Jin, X.; Liao, H. Meteorological influence on surface ozone trends in China: Assessing uncertainties caused by multi-dataset and multi-method. Atmos. Chem. Phys. 2025, 25, 13863–13878. [Google Scholar] [CrossRef]
- Chelhaoui, Y.; El Ass, K.; Lachatre, M.; Bouakline, O.; Khomsi, K.; El Moussaoui, T.; Arrad, M.; Eddaif, A.; Albergel, A. A new optimized hybrid approach combining machine learning with WRF-CHIMERE model for PM10 concentration prediction. Model. Earth Syst. Environ. 2024, 10, 5687–5701. [Google Scholar] [CrossRef]









| BC Trend (μg m−3 yr−1) | Stage I | Stage II | Stage III |
|---|---|---|---|
| Fraction (%) | Fraction (%) | Fraction (%) | |
| 0.02–0.03 | 3.59 | 0 | 0 |
| 0.01–0.02 | 16.29 | 0.05 | 0 |
| 0.00–0.01 | 61.37 | 34.52 | 1.06 |
| −0.01–0.00 | 18.71 | 61.34 | 72.23 |
| −0.02–−0.01 | 0.04 | 3.70 | 21.74 |
| −0.03–−0.02 | 0 | 0.39 | 4.97 |
| BC Trend (μg m−3 yr−1) | Confidence Level | Stage I | Stage II | Stage III |
|---|---|---|---|---|
| Fraction (%) | Fraction (%) | Fraction (%) | ||
| 0.02–0.03 | p < 0.01 | 96.58 | - | - |
| p < 0.05 | 3.21 | - | - | |
| p < 0.1 | 0.21 | - | - | |
| Not significant | 0 | - | - | |
| 0.01–0.02 | p < 0.01 | 90.66 | 64.44 | - |
| p < 0.05 | 8.57 | 20.00 | - | |
| p < 0.1 | 0.67 | 6.67 | - | |
| Not significant | 0.10 | 8.89 | - | |
| 0.00–0.01 | p < 0.01 | 24.67 | 10.17 | 0 |
| p < 0.05 | 18.84 | 19.28 | 0.47 | |
| p < 0.1 | 10.45 | 8.22 | 1.33 | |
| Not significant | 46.04 | 62.33 | 98.20 | |
| −0.01–0.00 | p < 0.01 | 8.50 | 6.23 | 69.10 |
| p < 0.05 | 7.06 | 15.32 | 12.42 | |
| p < 0.1 | 5.03 | 11.93 | 5.08 | |
| Not significant | 79.41 | 66.52 | 13.40 | |
| −0.02–−0.01 | p < 0.01 | 100.00 | 46.88 | 97.57 |
| p < 0.05 | 0 | 35.26 | 2.43 | |
| p < 0.1 | 0 | 9.91 | 0 | |
| Not significant | 0 | 7.95 | 0 | |
| −0.03–−0.02 | p < 0.01 | - | 92.81 | 100.00 |
| p < 0.05 | - | 7.19 | 0 | |
| p < 0.1 | - | 0 | 0 | |
| Not significant | - | 0 | 0 |
| BCEMI Trend (μg m−3 yr−1) | Stage I | Stage II | Stage III |
|---|---|---|---|
| Fraction (%) | Fraction (%) | Fraction (%) | |
| 0.02–0.03 | 1.41 (−2.18) | 0 (+0) | 0 (+0) |
| 0.01–0.02 | 12.28 (−4.41) | 0.02 (−0.03) | 0 (+0) |
| 0.00–0.01 | 64.41 (+3.04) | 32.72 (−1.80) | 4.25 (+3.19) |
| −0.01–0.00 | 21.88 (+3.17) | 64.07 (+2.73) | 75.79 (+3.56) |
| −0.02–−0.01 | 0.02 (−0.02) | 2.64 (−1.06) | 15.68 (−6.06) |
| −0.03–−0.02 | 0 (+0) | 0.55 (+0.16) | 4.28 (+0.09) |
Disclaimer/Publisher’s Note: The statements, opinions and data contained in all publications are solely those of the individual author(s) and contributor(s) and not of MDPI and/or the editor(s). MDPI and/or the editor(s) disclaim responsibility for any injury to people or property resulting from any ideas, methods, instructions or products referred to in the content. |
© 2025 by the authors. Licensee MDPI, Basel, Switzerland. This article is an open access article distributed under the terms and conditions of the Creative Commons Attribution (CC BY) license (https://creativecommons.org/licenses/by/4.0/).
Share and Cite
Fan, R.; Ma, Y.; Jin, S.; Liu, B.; Li, Y.; Gong, W. Attribution of Black Carbon Variability in China (2000–2019) from a Perspective of Machine Learning. Atmosphere 2025, 16, 1378. https://doi.org/10.3390/atmos16121378
Fan R, Ma Y, Jin S, Liu B, Li Y, Gong W. Attribution of Black Carbon Variability in China (2000–2019) from a Perspective of Machine Learning. Atmosphere. 2025; 16(12):1378. https://doi.org/10.3390/atmos16121378
Chicago/Turabian StyleFan, Ruonan, Yingying Ma, Shikuan Jin, Boming Liu, Yunduan Li, and Wei Gong. 2025. "Attribution of Black Carbon Variability in China (2000–2019) from a Perspective of Machine Learning" Atmosphere 16, no. 12: 1378. https://doi.org/10.3390/atmos16121378
APA StyleFan, R., Ma, Y., Jin, S., Liu, B., Li, Y., & Gong, W. (2025). Attribution of Black Carbon Variability in China (2000–2019) from a Perspective of Machine Learning. Atmosphere, 16(12), 1378. https://doi.org/10.3390/atmos16121378

