You are currently viewing a new version of our website. To view the old version click .
Atmosphere
  • Article
  • Open Access

28 December 2024

Improving the Forecast Accuracy of PM2.5 Using SETAR-Tree Method: Case Study in Jakarta, Indonesia

,
and
Department of Statistics, Institut Teknologi Sepuluh Nopember, Surabaya 60111, Indonesia
*
Author to whom correspondence should be addressed.
This article belongs to the Section Atmospheric Techniques, Instruments, and Modeling

Abstract

Air pollution in Jakarta, one of the most polluted cities globally, has reached critical levels, with PM2.5 concentrations exceeding the WHO guidelines and posing significant health risks. Accurate forecasting of PM2.5 is crucial for effective air quality management and public health interventions. PM2.5 exhibits significant nonlinear fluctuations; thus, this study employed two machine learning approaches: self-exciting threshold autoregressive tree (SETAR-Tree) and long short-term memory (LSTM). The SETAR-Tree model integrates regime-switching capabilities with decision tree principles to capture nonlinear patterns, while LSTM models long-term dependencies in time-series data. The results showed that: (1) SETAR-Tree outperformed LSTM, achieving lower RMSE (0.1691 in-sample, 0.2159 out-sample) and MAPE (2.83% in-sample, 2.98% out-sample) compared to LSTM’s RMSE (0.2038 in-sample, 0.2399 out-sample) and MAPE (3.48% in-sample, 4.05% out-sample); (2) SETAR-Tree demonstrated better responsiveness to sudden regime changes, capturing complex pollution patterns influenced by meteorological and anthropogenic factors; (3) PM2.5 in Jakarta often exceeds the WHO limits, highlighting this study’s importance in supporting strategic planning and providing an early warning system to reduce outdoor activity during extreme pollution.

1. Introduction

PM2.5, fine particulate matter with a diameter of less than 2.5 μ g / m 3 , contributes significantly to air pollution, primarily from domestic combustion and small-scale industrial activities, accounting for approximately 20% of the global mass. A study by Orru [] in four Nordic cities recorded the highest PM2.5 concentration in Oslo (2.77 μ g / m 3 ) and the lowest in Helsinki (0.46 μ g / m 3 ), resulting in over 4000 years of life lost annually. This study highlights the necessity for strict regulations and improved combustion practices to mitigate the health impacts of PM2.5. Due to their small size and large surface area, PM2.5 particles are highly effective at transporting toxic substances deep into the respiratory system where they can cause lung damage. Air pollution, particularly PM2.5, has become a major global health issue, threatening human well-being []. Exposure to high levels of PM2.5 has been linked to cardiovascular diseases and increased mortality rates []. Exposure to PM2.5 can exacerbate asthma symptoms through mechanisms like oxidative stress and inflammation, particularly among vulnerable populations []. The majority of PM2.5 exposure occurs indoors due to the infiltration of outdoor particles, even though the primary sources originate from outdoor pollution []. Research by Guha [] highlights that PM2.5 from traffic pollution poses serious health risks to workers, especially street vendors who are directly exposed. This pollution, along with noise, increases the risk of hypertension and cardiovascular disorders. In addition to traffic pollution, PM2.5 also originates from wildfires, fuel combustion for heating, and human activities in urban areas. Indoors, these pollutants can enter through ventilation systems, cooking activities, indoor combustion, and the resuspension of particles settled on surfaces []. To mitigate these health risks, people are advised to wear masks, engage in indoor activities, and avoid outdoor activities during high pollution levels [].
In Indonesia, and particularly its capital Jakarta, the air quality crisis has reached critical levels, with the city recently ranked as the fourth most polluted in the world. Despite efforts to improve air quality, pollution levels continue to rise, often far exceeding the WHO’s air quality guidelines []. The current PM2.5 concentration in Jakarta is 11.3 times higher than the WHO’s recommended annual guideline, posing serious risks to public health []. In 2021, the WHO set the 24-h emission level guideline for PM2.5 at 15 μ g / m 3 []. To address this growing health crisis, the ability to accurately forecast PM2.5 concentrations is essential for implementing timely and effective preventive measures. Such measures include issuing public warnings when the air quality reaches hazardous levels, planning emission controls, and taking emergency actions based on forecasting results. Given the sequential nature of PM2.5 concentration data, time-series modeling is particularly well-suited for this study []. Time-series methods allow for the analysis of data trends over time and help in predicting future pollution levels. Previous studies have revealed that PM2.5 exhibits nonlinear characteristics that are challenging to predict such as seasonal fluctuations and local extremes. To address these issues, Zhou [] employed the SWBGM (1,1) model, which was developed by integrating seasonal adjustment factors, the WBGM (1,1) model, and intelligent optimization algorithms. The results demonstrated that this nonlinear approach effectively captured the seasonal patterns and extreme variations in PM2.5 data. Studies by Huh [] and Xayasouk [] also emphasized that PM2.5 requires complex nonlinear models to capture its dynamic fluctuations, which cannot be adequately explained by simple linear approaches. Jiang compared nonlinear methods including DeepTCN and hybrid models and found that nonlinear methods were better suited to modeling the complex patterns in PM2.5 data compared to linear statistical models like ARIMA. The ARIMA model was unable to effectively capture the nonlinear and non-stationary characteristics of PM2.5 data. Moreover, the mean absolute percentage error (MAPE) of the CEEMDAN-DeepTCN model was 75% lower than that of ARIMA [].
One of the conventional nonlinear models is the self-exciting threshold autoregressive (SETAR) model. This model divides the data into multiple regimes based on threshold values, allowing each regime to follow distinct autoregressive dynamics. This approach is effective in capturing regime changes and nonlinear patterns in time-series data including seasonal fluctuations and long-term trends []. Research by Abebe [] demonstrated that the SETAR model outperformed ARIMA, STAR, and LSTAR in predicting inflation in Ethiopia, achieving lower AIC and BIC values along with smaller prediction errors. Similarly, Wang [] showed that the SETAR model excelled in forecasting morbidity rates of hemorrhagic fever with renal syndrome (HFRS) in China, outperforming SARIMA in capturing nonlinear dynamics and regime changes. With its superior accuracy and reliability, the SETAR model is an effective tool for analyzing data with complex temporal patterns. These successes highlight the great potential of applying the SETAR model in other fields including air quality prediction, such as PM2.5, which exhibits similar nonlinear characteristics.
However, previous studies on air quality have yet to explore the integration of the SETAR model into a framework capable of more flexibly capturing extreme values and regime shifts. To address this gap, this study proposes the use of the SETAR-Tree model, which combines the nonlinear dynamics of the SETAR model with the hierarchical structure of decision trees to predict PM2.5 concentrations. The SETAR-Tree model is a tree-based forecasting algorithm that automatically determines the optimal lag and threshold for splitting nodes within the tree. It can adjust its depth by conducting statistical linearity tests, ensuring the model adapts to the changing characteristics of the data. These features not only enhance the model’s interpretability, but also improve its performance in forecasting nonlinear data []. Godahewa’s research [] demonstrated the robust performance of the SETAR-Tree model, while Ashilla’s study [] on gold price prediction in Indonesia highlighted its superiority over the original SETAR model.
Existing studies on air quality forecasting have largely focused on ARIMA or LSTM but have rarely incorporated hybrid nonlinear approaches like SETAR-Tree, which has significant potential for capturing complex patterns in air quality forecasting. This study aimed to evaluate the forecast performance of the SETAR-Tree and LSTM models for PM2.5 concentration forecasting in Jakarta. LSTM, designed to address long-term dependencies in sequential data, has been widely used in time-series forecasting, particularly in complex datasets where traditional methods struggle. LSTM outperforms traditional models like VARIMA in predicting PM2.5 concentrations, effectively capturing long-term dependencies and nonlinear patterns. It achieves lower RMSE and MAPE values across monitoring stations, highlighting its superiority in modeling complex environmental data []. Several studies have demonstrated the superior performance of LSTM in air quality prediction including Lin [], who employed long short-term memory (LSTM) networks to predict PM2.5 in Taichung, and Ho [], who applied LSTM models in Korea, demonstrating strong performance in capturing long-term dependencies in PM2.5 data. Rodriguez-Garcia’s work [] in the Bay of Algeciras showed that LSTM produced accurate predictions for atmospheric pollutant concentrations. Zhang [] used LSTM to predict air quality in Beijing, resulting in higher R-squared values and a lower RMSE and MAPE than ARIMA, while Yan [] also predicted the air quality index in Beijing, which showed that LSTM performed better in multi-hour forecasting.
Given the nonlinear nature of PM2.5 concentrations, both the SETAR-Tree and LSTM models are well-suited for this type of forecasting. SETAR-Tree excels at capturing nonlinear and regime-switching behavior, while LSTM is robust in modeling long-term dependencies. However, comparisons of their effectiveness in air quality forecasting, especially in Jakarta, remain limited. By comparing the performance of these two models using RMSE and MAPE metrics, this study aimed to provide insights into the strengths of each model for PM2.5 forecasting in Jakarta. Additionally, this analysis will offer valuable information on recent trends in Jakarta’s air quality, supporting public health interventions and environmental policymaking.

2. Materials and Methods

2.1. Data Collection

Air quality data were obtained from the DKI4 (Lubang Buaya) monitoring station in Jakarta, focusing on daily PM2.5 concentrations from January 2022 to November 2023. The DKI4 station was selected due to its record of elevated PM2.5 concentrations, which frequently exceeds the healthy air quality thresholds. The data collection aligned with the Indonesian Air Pollution Standard Index, which monitors key air quality indicators across five air quality monitoring stations in Jakarta including PM10, PM2.5, SO2, CO, O3, and NO2. While these components are crucial for assessing the overall air quality, PM2.5 was prioritized in this study due to its severe health and environmental impacts. PM2.5 refers to particulate matter with a diameter of 2.5 μ m , capable of passing through selective filter tubes with 50% efficiency []. This type of pollution poses serious health risks, as these fine particles can bypass the nasal filtration system and penetrate deep into the respiratory tract [,], potentially leading to severe health outcomes such as increased mortality rates and adverse maternal and fetal health effects including low birth weight and impaired child growth []. In addition to its impact on human health, PM2.5 pollution also has far-reaching effects on ecosystems, the economy, climate, and crop yield [].

2.2. Autoregressive Integrated Moving Average (ARIMA)

The ARIMA (p,d,q) model is an extension of the ARMA (p,q) model that incorporates differencing d times to achieve stationarity in time-series data []. Before constructing the ARIMA model, the data must be checked for stationarity in both the mean and variance. Stationarity in the mean can be assessed using the autocorrelation function (ACF) and the augmented Dickey–Fuller (ADF) test. If the data are not stationary in the mean, differencing is required. Stationarity in the variance is checked using the Box–Cox transformation, and if the data are not stationary in variance, they should be handled with appropriate transformation techniques [].
Once stationarity in both the mean and variance is achieved, the ARIMA model is identified using the ACF and partial autocorrelation function (PACF) plots. The AR(p) model is characterized by an exponentially decaying ACF and a PACF that cuts off after the p-th lag, while the MA(q) model has an ACF that cuts off after the q-th lag and an exponentially decaying PACF []. The general form of the ARIMA model can be expressed as:
ϕ p B 1 B d Z t = θ 0 + θ q ( B ) a t
where Z t represents the observed value at time t , ϕ p is the autoregressive coefficient for the p -th lag in the AR model, B is the backshift operator, d is the order of differencing, θ q is the moving average coefficient for the q -th lag in the MA model, 1 B d is the differencing operator of order d , and a t represents the residual value at time t . In Equation (1), ϕ p B represents the autoregressive (AR) polynomial of order p , which is defined as:
ϕ p B = 1 ϕ 1 B ϕ p B p
Similarly, θ q ( B ) is the moving average (MA) polynomial of order q , defined as:
θ q B = 1 θ 1 B θ q B q

2.3. Long Short-Term Memory (LSTM)

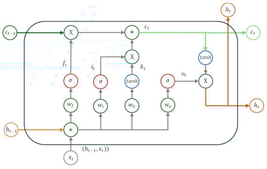
Long short-term memory (LSTM), first introduced by Sepp Hochreiter and Jürgen Schmidhuber in 1997, is an artificial neural network method developed to address the limitations of recurrent neural networks (RNNs) such as difficulties in accessing long-term information and slow computational speeds []. While RNNs struggle to effectively handle long-term dependencies and suffer from computational inefficiencies, LSTMs address these issues by incorporating mechanisms to store long-term information and mitigate the vanishing gradient problem, a frequent challenge in RNN training. Structurally, an LSTM network typically comprises three main layers: an input layer, a recurrent layer, and an output layer []. The input variable ( Z i , j ) is a collection of variables Z t 1 ,   Z t 2 ,   ,   Z t k , where i = 1 ,   2 ,   ,   k represents a sequence of input variables. The output value, denoted by Z t , is the target of predicting. The structure of an LSTM with one hidden layer (hidden state) and one neuron (hidden) is depicted in Figure 1.
Figure 1. LSTM architecture (modified from Abbasimehr) [].
An LSTM unit consists of three gates: the forget gate, the input gate, and the output gate, along with an internal state (cell memory). The forget gate determines when irrelevant information should be discarded, optimizing the processing of the input sequence. The input gate regulates the absorption of new information and the information from the output of the LSTM unit in the previous iteration (previous hidden state). The output gate generates the output of the LSTM unit’s calculations. This approach enhances RNNs by introducing a forget gate, enabling the network to selectively retain or discard information. The box within the figure represents the memory state. The forget gate ( f t ) uses the current input ( Z i , j ) and the previous hidden state ( h t 1 ) with a sigmoid function ( σ ) to determine which information is retained or forgotten [].
The general steps of LSTM involve two stages: the forward pass and the backward pass. During the forward pass, the weights of the i -th input in the n -th neuron ( w n , i ) and the weights of the t l -th hidden state at the n -th neuron ( w n h ) are initialized, and the forget gate value is calculated using Z i , j and h t 1 with a sigmoid function []:
f n , j = σ i = 1 k w n , i f z i , j + n = 1 N w n f h h t 1 + b n f
Next, the input gate value and candidate cell state ( k n , j ) are calculated to update the cell state ( c n , j ) using sigmoid and tanh functions:
i n , j = σ i = 1 k w n , i i z i , j + n = 1 N w n i h h t 1 + b n i
k n , j = t a n h i = 1 k w n , i k z i , j + n = 1 N w n k h h t 1 + b n k
The new cell state is calculated by combining the forget gate ( f n , j ), the previous cell state ( c n , t i ), the input gate ( i n , j ), and the candidate cell state ( k n , j ):
c n , j = f n , j c n , t i i n , j k n , j
The output gate value ( o n , j ) is computed using a combination of the input and the previous hidden state, involving a sigmoid activation function:
o n , j = σ i = 1 k w n , i o z i , j + n = 1 N w n o h h t 1 + b n o
The latest hidden state value ( h n , j ) is then calculated using the output gate and the tanh function:
h n , j = o n , j t a n h ( c n , j )
Once the hidden unit and hidden state values are obtained, the predicted value ( z t ^ ) can be calculated:
z t ^ = n = 1 N w n P h t + b p

2.4. Self-Exciting Threshold Autoregressive-Tree (SETAR-Tree)

The SETAR-Tree algorithm builds upon the traditional SETAR (self-exciting threshold autoregressive) model by integrating it into a tree structure to identify regime changes. Unlike conventional regression tree models that use linear splits, the SETAR-Tree method employs a grid search technique to determine the most appropriate lag and threshold values for dividing the data into distinct regimes. The process begins at the root node (level 0), where the entire training dataset is analyzed. The SETAR model is applied to separate the data into two regimes, generating two child nodes. In this study, the 2-regime SETAR model was used, meaning that each internal node within the tree structure gives rise to exactly two child nodes. The grid search algorithm systematically evaluates different lag and threshold combinations to optimize the split at each node. Data points with lag values below the threshold ( R ) are grouped into one child node, while those equal to or above ( R ) are grouped into the other [].
As the tree expands, each internal (non-leaf) node applies a localized SETAR model to capture nonlinear patterns in the data. Once the process reaches a terminal (leaf) node, a linear autoregressive (AR) model is employed to describe the data behavior in that regime. By using the SETAR model at internal nodes and AR models at the leaf nodes, the SETAR-Tree algorithm effectively captures both nonlinear regime changes and local linear dynamics, enabling it to handle complex time-series data. The general form of the SETAR model applied at the root or internal nodes is as follows:
Z t = ϕ 0 ( 1 ) + i = 1 k ϕ i ( 1 ) Z t i + a t ( 1 ) ,   i f   Z t i < R ϕ 0 ( 2 ) + i = 1 k ϕ i ( 2 ) Z t i + a t ( 2 ) ,   o t h e r w i s e
The general equation of the SETAR-Tree leaf node is:
Z t = ϕ 1 Z t 1 + ϕ 2 Z t 2 + + ϕ k Z t i + a t
An illustration of the SETAR-Tree model construction is presented in Figure 2.
Figure 2. Illustration of the SETAR-tree model construction (modified from Godahewa) [].
Where L1, L2, … refer to the lag variables in the time series data, which represent the past values of the dependent variable y (PM2.5 concentration). T represents the threshold value that determines the regime or segment in the Self-Exciting Threshold Autoregressive (SETAR) model.
Based on Figure 2, the SETAR-Tree model determines node splits only when the training data demonstrate significant nonlinearity or a notable reduction in training error. Unlike depth-wise tree growth, the SETAR-Tree adopts a leaf-wise growth strategy, allowing branches to develop to varying depths. At level 1, only specific nodes that meet the splitting criteria are divided into child nodes, while nodes failing to satisfy these criteria are designated as leaf nodes. This splitting process is guided by two key factors: linearity testing and error reduction. The tree construction halts when no further nodes fulfill the conditions for splitting. As a result, leaf nodes can appear at different depths within the tree such as at level 1 or level 2. During the training phase, the SETAR-Tree model fits a local model to the data points assigned to each leaf node. In the testing phase, the model determines which leaf node corresponds to a given test instance based on the optimal lag and threshold values that were identified during the training process for node separation. Predictions for test samples are then made using the local model associated with the relevant leaf node.
One of the strengths of the SETAR-Tree model is its ability to function effectively with minimal hyperparameter tuning. Default settings for the key parameters are generally sufficient to produce reliable results, reducing the need for extensive parameter adjustments. By leveraging linearity tests and training error reduction to guide node splits, the SETAR-Tree model efficiently captures nonlinear dynamics in time-series data. This approach not only enhances predictive accuracy, but also simplifies the modeling process, making SETAR-Tree a robust and practical solution for addressing time-series forecasting challenges [].

2.5. Evaluation Model

In evaluating the performance of predictive models, two widely used statistical metrics are the root mean squared error (RMSE) and mean absolute percentage error (MAPE). RMSE measures the accuracy of predictions by calculating the square root of the average squared differences between the actual and predicted values. A lower RMSE value indicates higher accuracy in the predicting model. RMSE is particularly sensitive to large errors, making it suitable for scenarios where minimizing large prediction errors is critical []. The formula for RMSE is:
RMSE = t = 1 n ( z t ^ z t ) 2 n
where z t ^ is the predicted value, z t is the actual value, and n is the number of observations. MAPE measures the accuracy by calculating the absolute difference between the actual and predicted values, divided by the actual value, and then averaging this percentage error across all observations. MAPE is expressed as a percentage and provides an intuitive measure of forecast accuracy []. The formula for MAPE is:
MAPE = t = 1 n z t z t ^ z t n × 100 %
where z t ^ is the predicted value, z t is the actual value, and n is the number of observations. Both RMSE and MAPE are essential indicators for assessing predictive models as they quantify prediction errors from different perspectives. While RMSE highlights large deviations, MAPE offers a percentage-based measure that is easy to interpret, ensuring a comprehensive evaluation of model performance.

3. Results

3.1. Overview of Research Variables

The time-series plot in Figure 3 illustrates the PM2.5 concentration data in Jakarta from January 2022 to November 2023.
Figure 3. The data pattern of PM2.5 concentration.
Figure 3 presents the temporal pattern of PM2.5 concentrations in Jakarta, revealing significant fluctuations over the study period. While most data points fell within a moderate range, two extreme values stood out, highlighted by red circles. The highest PM2.5 concentration occurred in late September 2023, likely driven by emissions from generators and increased vehicular activity during large-scale events such as G30S PKI and Pancasila Sanctity Day. In contrast, the lowest concentration, recorded in late November 2023, coincided with the onset of the rainy season, when strong winds and precipitation effectively reduce airborne particulate matter. These extreme values, indicative of the episodic nature of air pollution events, underscore the importance of retaining outliers in the analysis to fully capture the variability in PM2.5 levels. Such nonlinear behavior reinforces the appropriateness of applying advanced predictive models like SETAR-Tree and LSTM for accurate predicting. The SETAR-Tree model employs a grid search to determine the optimal lag and threshold, enabling it to adaptively segment nonlinear regimes. LSTM utilizes sequential layers to capture long-term dependencies in time series.
Further evidence of the nonlinear pattern was provided by the Terasvirta test, which yielded a χ 2 value of 11.556 and p - value of 0.003 ( <   α   [ 0.05 ] ) , confirming that the PM2.5 concentration data followed a nonlinear pattern ( p - value   <   α   [ 0.05 ] ). The prepared data, after processing, was used to train the LSTM model and SETAR-Tree model. The in-sample data spanned from 1 January 2022 to 31 October 2023, while the out-of-sample data covered 1 November to 30 November 2023.

3.2. Formation of the ARIMA Model

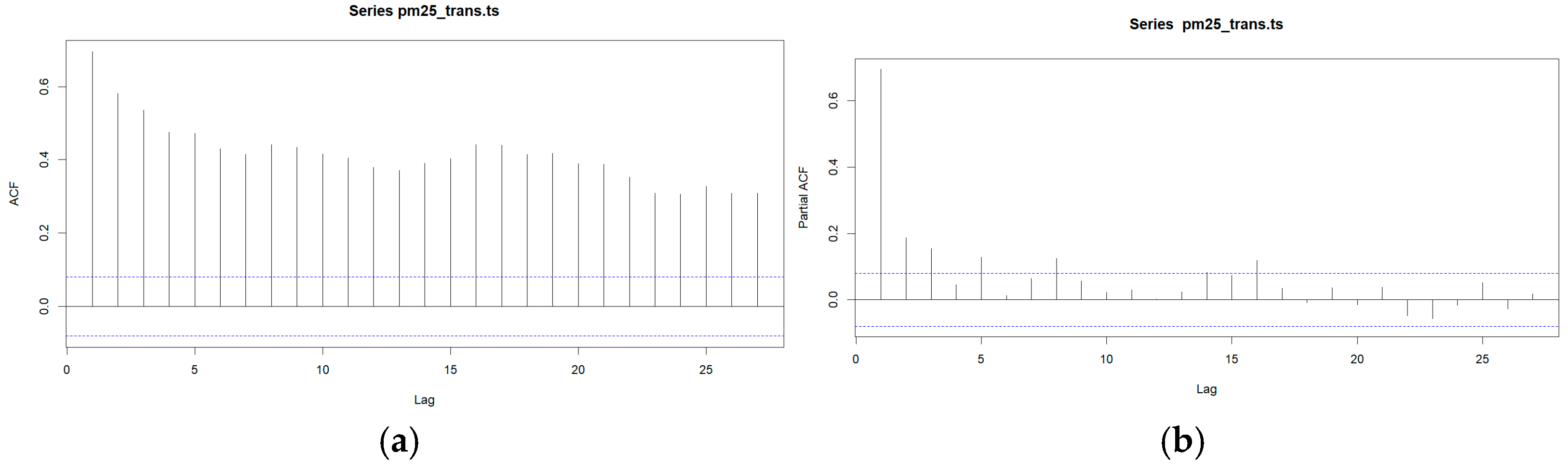
Modeling with ARIMA was conducted to identify significant autoregressive (AR) lags for use as input variables in the LSTM model.
Figure 4 illustrates that the autocorrelation function (ACF) plot decayed slowly, while the partial autocorrelation function (PACF) plot dropped sharply, cutting off at the third lag. Based on these plots, the significant AR order was determined to be the third lag, leading to the specification of the ARIMA model as ARIMA (3,0,0) or AR (3). Consequently, the LSTM model used the third lag as its input variable.
Figure 4. (a) ACF plot and (b) PACF plot.

3.3. Long Short-Term Memory (LSTM) Algorithm

The model was trained using the in-sample data with LSTM inputs based on the ARIMA modeling results, specifically using the third lag. The data for the LSTM model were formatted in three dimensions: number of samples, time steps, and features. The input data were transformed into this three-dimensional form. To determine the optimal model, the number of neurons in the LSTM hidden layer was varied from 1 to 5. Each LSTM cell in the hidden layer included four gates: the forget gate and input gate, both with sigmoid activation functions; the candidate cell state with a tanh activation function; and the output gate with a sigmoid activation function. Using a single hidden layer is preferred because it tends to converge more quickly than multiple hidden layers when using the same learning rate []. The hyperparameters utilized in this study are detailed in Table 1.
Table 1. Hyperparameters of the LSTM algorithm.
The model formation process begins with data processing including normalization to ensure that the data values fall within the range of 0 to 1. After the model is trained and predictions are made, the next step is to revert the prediction results to their original scale through denormalization. The denormalized results are then compared with the actual data (both in-sample and out-sample) to evaluate the model’s accuracy. The mean absolute percentage error (MAPE) was used as the evaluation criterion, with the model exhibiting the lowest MAPE value considered the most accurate. A model that yielded a lower MAPE value compared to the others was deemed the best.
The LSTM model was trained using various hyperparameter scenarios, specifically by varying the number of neurons in the hidden layer between 1 and 5. These scenarios were applied to the in-sample data to assess the model’s performance. The resulting MAPE values for each configuration are presented in Table 2. The model with the lowest MAPE value was selected as the most accurate as it demonstrated the highest predictive performance among the tested configurations.
Table 2. Comparison of the number of neurons.
Based on Table 2, the model with four neurons in the hidden layer was selected as the optimal model due to its lowest MAPE value of 0.0347. This indicates that the four-neuron model exhibited superior estimation accuracy compared to other configurations, as evidenced by its minimal error rate when compared to the actual in-sample data. The final model included forget gates, input gates, candidate cell states, and output gates, with the weights and biases detailed in Table 3.
Table 3. Comparison of the number of neurons.
Table 3 presents the LSTM model parameters, where w n , i represents the i -th weight in the n -th neuron, w n h is the weight for t l hidden state in the n -th neuron, and b n is the bias in the n -th neuron. Each weight and bias are determined by the LSTM structure including the forget gate, input gate, candidate cell state, and output gate. The hidden state is updated for prediction using the final LSTM model as follows:
z t ^ = 0.8037 h 1 , t + 1.0638 h 2 , t 0.2492 h 3 , t + 0.4157 h 4 , t + 0.0410
A comparison of the predicted PM2.5 concentration values using the LSTM model with the actual concentration data is shown in Figure 5. In this figure, the blue line represents the actual data, while the red line indicates the predicted data. The predicted results encompass both in-sample and out-of-sample data. The graphical representation demonstrates the model’s capability to predict PM2.5 concentrations effectively. While the model performed well in general, it showed less accuracy in predicting spikes when concentrations were extremely high, likely due to data variance. Nonetheless, the LSTM model performed well in out-of-sample predictions, closely aligning with the actual values.
Figure 5. Predicting PM2.5 using LSTM (in-sample and out-sample).
Based on Figure 5, the LSTM model’s performance in predicting PM2.5 concentrations, both in-sample (1 January 2022, to 31 October 2023) and out-of-sample (1 November to 30 November 2023), demonstrates its capacity to capture general trends and temporal dependencies in the data. During the in-sample period, the model accurately tracked the actual PM2.5 concentrations, reflecting its ability to learn from historical patterns. However, some deviations were observed, particularly during sharp fluctuations or extreme events, where the model tended to underestimate significant peaks. In the out-of-sample period, while the LSTM still managed to follow the overall trends, its accuracy declined when faced with new data, especially during periods of sudden increases or decreases in pollution levels. This suggests that, although the model is effective for predicting typical patterns, it struggles with capturing extreme variations.
The results also indicate that the PM2.5 concentrations in Jakarta frequently exceed the World Health Organization’s (WHO) Air Quality Index (AQI) guideline of 15 µg/m³ for PM2.5. As shown in the plot, there were several periods where the actual PM2.5 concentrations rose well above this threshold, sometimes reaching extreme peaks. Such elevated pollution levels pose significant health risks, especially for vulnerable populations including children, the elderly, and those with pre-existing respiratory conditions. This underlines the need for increased public awareness and caution during these high-pollution events.

3.4. SETAR-Tree Algorithm

The optimal lag and threshold for node splitting in the SETAR-Tree algorithm were identified through a grid search. This grid search evaluated lags ranging from 3 to 12, selecting the lag that resulted in the lowest root mean squared error (RMSE) and mean absolute percentage error (MAPE). The results of this grid search including the corresponding RMSE and MAPE values for each lag are detailed in Table 4. This table provides a comprehensive overview of the performance metrics across different lags, enabling the identification of the lag that offered the best balance between accuracy and model complexity.
Table 4. Grid search for the SETAR-tree model.
The grid search for the SETAR-Tree evaluated lags from 3 to 12 to identify the optimal lag minimizing RMSE and MAPE. Lag 12 was selected due to its superior performance in balancing accuracy and model complexity. Thresholds at each level were determined through linearity testing and error reduction criteria, ensuring adaptive modeling for regime shifts. The estimated parameter coefficients from the SETAR-Tree model at lag 12 are presented in Table 5.
Table 5. Parameter estimation of the SETAR-tree model.
Based on Table 5, the SETAR-Tree model with a lag of 12 consisted of 4 levels and 7 leaf models. Each leaf model’s optimal lag is highlighted in green in the table, and the associated threshold values used for node splitting are indicated. The optimal threshold is crucial as it determines the value at which the data are split to form different branches in the tree, thus defining the regimes for each leaf model.
The threshold values, selected based on their effectiveness in minimizing prediction errors, were used to divide the time series into distinct segments. Each segment was then modeled separately, allowing the SETAR-Tree to capture different patterns and dynamics within the data. The parameter estimation values for each lag, as used in the model equations, were also provided. These values contribute to the model’s ability to predict PM2.5 concentrations by applying different equations to each segment, tailored by the optimal thresholds for accurate forecasting.
The general equation for the leaf model is expressed as follows:
Z t ^ = ϕ 1 Z t 1 + ϕ 2 Z t 2 + ϕ 3 Z t 3 + ϕ 4 Z t 4 + ϕ 5 Z t 5 + ϕ 6 Z t 6 + ϕ 7 Z t 7 + ϕ 8 Z t 8 + ϕ 9 Z t 9 + ϕ 10 Z t 10 + ϕ 11 Z t 11 + ϕ 12 Z t 12
The construction form of the SETAR-Tree generated from the previously selected best model is as follows:
Figure 6 illustrates the construction of the SETAR-Tree model. The model begins with the root node, which contains the initial PM2.5 concentration data. The root node is then split into two child nodes based on the optimal lag (highlighted in blue) and the threshold values (T) determined during the model selection process. If the values at the optimal lag are below the threshold, they follow one regime, while values above the threshold follow a different regime. This splitting process continues with each parent node (highlighted in orange) dividing further into child nodes. The process repeats until no further splitting is necessary, resulting in leaf nodes (highlighted in green). A node becomes a leaf when no additional nonlinear patterns can be detected, or when the data subset is too small or homogeneous to justify further splits. The parent node at level 1 is displayed in Figure 7.
Figure 6. Construction of the SETAR-Tree.
Figure 7. Parent node.
For the parent node at Level 1, the optimal lag was Lag 1, as highlighted in blue in the table. The threshold value used for splitting was 4.32. This threshold separated the data based on whether the values at Lag 1 were below or above 4.32. If the Lag 1 values were less than 4.32, the data followed the regime where the threshold was <4.32. Conversely, if the Lag 1 values were greater than 4.32, the data followed the regime where the threshold was >4.32. For child node 1, the data with Lag 1 values below the threshold of 4.32 can be seen in Figure 8.
Figure 8. Child node.
At the child node, the data that proceed to this node will have Lag 1 values strictly less than 4.32, because the previous regime separation has already removed values greater than or equal to 4.32. This ensures that all data in the child node conform to the regime defined by the threshold at the parent node.
At this stage, the node is referred to as a child node because no further splits or model construction are necessary. According to the criteria of the SETAR-Tree, once the node has achieved a level of homogeneity where further splitting does not significantly improve the model, or where the data subset is too small to justify additional splits, the splitting process stops. In this case, the current structure already captures the relevant dynamics of the time series, and additional separation would not yield further benefit. Hence, the child node represents the terminal point of the tree for this regime.
Figure 9 shows the comparison between the actual and predicted PM2.5 concentrations using the SETAR-Tree model with a lag of 12, along with the AQI thresholds, from January 2022 to November 2023. The results indicate that the SETAR-Tree model generally captured the trend in PM2.5 concentrations well throughout the observation period. The SETAR-Tree model performed well in predicting PM2.5 concentrations, particularly during stable periods where the predicted values closely matched the actual data. This suggests that the model is reliable in conditions where consistent patterns dominate, making it a useful tool for medium- to long-term air quality forecasting. Although there were discrepancies between the predictions and actual data during extreme events, such as the sharp spike in mid-2023, the SETAR-Tree model still followed the overall trend. While it may not have fully captured the magnitude of these spikes, the model provided a sufficiently accurate estimate, considering the complexity and dynamic changes in air quality during such periods.
Figure 9. Predicting PM2.5 using SETAR-Tree (in-sample and out-sample).

3.5. Performance Evaluation of LSTM and SETAR-Tree Algorithm

To compare the effectiveness of the LSTM and SETAR-Tree models, their respective performances were evaluated using two main metrics: mean absolute percentage error (MAPE) and root mean squared error (RMSE). These metrics provide insights into the models’ predictive accuracy, with lower values indicating better performance. Table 6 presents the comparison of MAPE and RMSE for the two models across both the in-sample and out-of-sample data.
Table 6. Performance evaluation of the LSTM and SETAR-Tree models.
As shown in Table 6, the SETAR-Tree model outperformed the LSTM model in both the in-sample and out-sample predictions, as indicated by its lower MAPE and RMSE values. The recursive nature of the SETAR-Tree model allowed it to better capture the nonlinearities and regime shifts in the PM2.5 concentration data, particularly in the out-of-sample predictions. The LSTM model, while still effective, tended to struggle with the sharp fluctuations in the data, which led to slightly higher errors, especially in the out-sample period. This could also be observed in the plot comparing the predictions of the SETAR-Tree and LSTM models in Figure 10, where the SETAR-Tree showed more consistent alignment with the actual data.
Figure 10. Comparison of the LSTM and SETAR-Tree models.
The comparison between the LSTM and SETAR-Tree models for PM2.5 prediction, as shown in the plot, demonstrated notable differences in performance. Both models were able to capture the general trends of the actual data, though they differed in how they handled extreme fluctuations. The LSTM model (red line) produced smoother predictions, tending to dampen sharp spikes, particularly during significant peaks like the one observed in mid-2023. In contrast, the SETAR-Tree model (green line) was more responsive to sudden changes, closely following rapid variations in the actual data (blue line). This suggests that the SETAR-Tree model is better at capturing more complex and nonlinear patterns often found in air quality forecasting such as PM2.5 levels. These observations align with the performance metrics, where the SETAR-Tree model consistently outperformed LSTM in terms of RMSE and MAPE, both for the in-sample and out-of-sample predictions.

3.6. Forecasting PM2.5 Using SETAR-Tree and LSTM

The accurate forecasting of PM2.5 concentrations is crucial for understanding and managing air quality as well as for implementing timely public health interventions. In this section, we explore two machine learning forecasting methodologies—SETAR-Tree and long short-term memory (LSTM)—to predict the PM2.5 levels, as presented in Figure 11.
Figure 11. Forecasting PM2.5 using SETAR-Tree and LSTM.
The forecasting results in the graph reinforce the findings from the in-sample and out-sample model evaluations, where the SETAR-Tree model consistently outperformed the LSTM model. In both the in-sample and out-sample phases, the SETAR-Tree model showed better accuracy, as evidenced by its lower RMSE and MAPE values in Table 6. This advantage was reflected in the forecasting graph, where the SETAR-Tree model (green dotted line) aligned more closely with the actual PM2.5 values. The LSTM model (red dashed line), on the other hand, tended to overestimate the PM2.5 levels, particularly in this same period, showing that it is less capable of accurately predicting sudden drops or shifts in PM2.5 concentration. LSTM’s tendency to smooth out sharp spikes limits its ability to predict sudden PM2.5 surges, as it relies heavily on long-term dependencies, which may not adequately capture short-term regime changes.
In terms of model generalization, the SETAR-Tree model demonstrated greater robustness in the out-sample predictions, as reflected in the forecasting results. This suggests that SETAR-Tree effectively captured the nonlinear and regime-switching behavior in PM2.5 data, which is essential for accurate forecasting in a complex environment like Jakarta. The city’s air quality is influenced by a mix of meteorological factors (e.g., wind, temperature inversions) and human activities (e.g., traffic, industrial emissions), which cause sudden shifts in PM2.5 concentration. SETAR-Tree’s ability to adapt to these nonlinear patterns makes it more effective compared to LSTM, which struggles with the variability and unpredictability of out-of-sample data. Similar to findings by Lin et al. (2024), LSTM showed strong performance in stable conditions but struggled with abrupt fluctuations. This highlights the advantage of models like SETAR-Tree, as demonstrated in this study.
Thus, based on both the statistical evaluations and forecasting performance, the SETAR-Tree model consistently outperformed LSTM in capturing the real trends and fluctuations of PM2.5, proving to be a more reliable model for predicting air quality in Jakarta. These findings align with the theoretical strengths of SETAR-Tree in handling sudden transitions in PM2.5 levels caused by meteorological or anthropogenic factors.

4. Conclusions

This study introduced the SETAR-Tree model for predicting PM2.5 concentrations in Jakarta, demonstrating superior performance compared to the LSTM model. Based on the evaluation results, the SETAR-Tree model achieved an RMSE of 0.1691 and MAPE of 2.8300 for the in-sample data, and an RMSE of 0.2159 and MAPE of 2.9819 for the out-sample data. In comparison, the LSTM model showed lower performance with an RMSE of 0.2038 and MAPE of 3.4804 for the in-sample data, and an RMSE of 0.2399 and MAPE of 4.0484 for the out-sample data. The SETAR-Tree model effectively captured complex nonlinear dynamics and regime shifts, achieving lower RMSE and MAPE values for both the in-sample and out-sample data. These findings underscore the model’s adaptability in addressing the challenges of environmental datasets, particularly in urban settings with diverse meteorological and anthropogenic influences.
The application of SETAR-Tree offers practical implications for air quality management. Its ability to provide precise and reliable forecasts can support public health initiatives such as promoting mask usage, minimizing outdoor exposure during pollution peaks, and encouraging the adoption of air purification technologies. By enabling informed decision-making, this model can contribute significantly to mitigating the health risks associated with air pollution.
Although this study focused on PM2.5 in Jakarta, the methodology is applicable to other pollutants such as ozone (O3), nitrogen dioxide (NO2), and sulfur dioxide (SO2) as well as other urban areas with varying environmental conditions. Future research should explore integrating additional data sources, such as weather patterns, industrial emissions, and traffic activity, to enhance the model’s accuracy and generalizability. Investigating hybrid approaches that combine SETAR-Tree with deep learning techniques could also provide significant advancements in real-time forecasting and long-term adaptability.
The findings from this study highlight the potential of SETAR-Tree as an innovative tool for improving air quality prediction systems. Its robust predictive capabilities can aid policymakers and stakeholders in designing effective strategies to address the dynamic challenges of urban air quality management.

Author Contributions

Conceptualization, D.A.S. and H.K.; Methodology, D.A.S.; Software, D.A.S.; Validation, H.K. and M.A.; Formal analysis, D.A.S.; Investigation, D.A.S.; Resources, D.A.S.; Data curation, D.A.S.; Writing—original draft preparation, D.A.S.; Writing—review and editing, H.K. and M.A.; Supervision, H.K.; Project administration, D.A.S. All authors have read and agreed to the published version of the manuscript.

Funding

This research was funded by the Ministry of Education, Culture, Research, and Technology of the Republic of Indonesia under the “Master Program of Education Leading to a Doctoral Degree for Excellent Graduates (PMDSU) Batch VII”, through Grant Number 038/E5/PG.02.00.PL/2024 and local Grant Number 1797/PKS/ITS/2024.

Institutional Review Board Statement

Not applicable.

Data Availability Statement

The daily PM2.5 data for Jakarta were collected from the Jakarta Open Data portal: https://satudata.jakarta.go.id/, accessed on 28 June 2024.

Acknowledgments

The authors would like to express their gratitude to the Ministry of Education, Culture, Research, and Technology of the Republic of Indonesia, for their support through the scholarship program “Master Education Program Towards Doctor for Excellent Scholars (PMDSU)”.

Conflicts of Interest

The authors declare no conflicts of interest.

References

  1. Orru, H.; Olstrup, H.; Kukkonen, J.; López-Aparicio, S.; Segersson, D.; Geels, C.; Tamm, T.; Riikonen, K.; Maragkidou, A.; Sigsgaard, T.; et al. Health Impacts of PM2.5 Originating from Residential Wood Combustion in Four Nordic Cities. BMC Public Health 2022, 22, 1286. [Google Scholar] [CrossRef]
  2. Xing, Y.F.; Xu, Y.H.; Shi, M.H.; Lian, Y.X. The impact of PM2.5 on The Human Respiratory System. J. Thorac. Dis. 2016, 8, E69–E74. [Google Scholar] [PubMed]
  3. Thangavel, P.; Park, D.; Lee, Y.-C. Recent Insights into Particulate Matter (PM2.5)-Mediated Toxicity in Humans: An Overview. Int. J. Environ. Res. Public Health 2022, 19, 7511. [Google Scholar] [CrossRef] [PubMed]
  4. Paterson, C.A.; Sharpe, R.A.; Taylor, T.; Morrissey, K. Indoor PM2.5, VOCs and Asthma Outcomes: A Systematic Review in Adults and Their Home Environments. Environ. Res. 2021, 202, 111631. [Google Scholar] [CrossRef]
  5. Korhonen, A.; Relvas, H.; Miranda, A.I.; Ferreira, J.; Lopes, D.; Rafael, S.; Almeida, S.M.; Faria, T.; Martins, V.; Canha, N.; et al. Analysis of Spatial Factors, Time-Activity and Infiltration on Outdoor Generated PM2.5 Exposures of School Children in Five European Cities. Sci. Total Environ. 2021, 785, 147111. [Google Scholar] [CrossRef] [PubMed]
  6. Guha, A.K.; Gokhale, S. Urban Workers’ Cardiovascular Health due to Exposure to Traffic-Originated PM2.5 and Noise Pollution in Different Microenvironments. Sci. Total Environ. 2022, 859, 160268. [Google Scholar] [CrossRef]
  7. Martins, N.R.; da Graca, G.C. Health Effects of PM2.5 Emissions from Woodstoved and Fireplaces in Living Spaces. J. Build. Eng. 2023, 79, 107848. [Google Scholar] [CrossRef]
  8. IQAir. Air Quality in Jakarta. 2024. Available online: https://www.iqair.com/indonesia/jakarta (accessed on 28 June 2024).
  9. IQAir. Live Most Polluted Major City Ranking. 2024. Available online: https://www.iqair.com/world-air-quality-ranking (accessed on 28 June 2024).
  10. Niu, M.; Zhang, Y.; Ren, Z. Deep Learning-Based PM2.5 Long Time-Series Prediction by Fusing Multisource Data—A Case Study of Beijing. Atmosphere 2023, 14, 340. [Google Scholar] [CrossRef]
  11. Zhou, W.; Wu, X.; Ding, S.; Ji, X.; Pan, W. Predictions and Mitigation Strategies of PM2.5 Concentration in The Yangtze River Delta of China Based on a Novel Nonlinear Seasonal Grey Model. Environ. Pollut. 2021, 276, 116614. [Google Scholar] [CrossRef] [PubMed]
  12. Huh, J.-W.; Youn, J.S.; Park, P.M.; Jeon, K.J.; Park, S. Development of a Prediction Model for Daily PM2.5 in Republic of Korea by Using an Artificial Neutral Network. Appl. Sci. 2023, 13, 3575. [Google Scholar] [CrossRef]
  13. Xayasouk, T.; Lee, H.M.; Lee, G. Air pollution prediction using long short-term memory (LSTM) and deep autoencoder (DAE) models. Sustainability 2020, 12, 2570. [Google Scholar] [CrossRef]
  14. Jiang, F.; Zhang, C.; Sun, S.; Sun, J. Forecasting Hourly PM2.5 Based on Deep Temporal Convolutional Neural Network and Decomposition Method. Appl. Soft Comput. 2021, 113, 107988. [Google Scholar] [CrossRef]
  15. Wang, Y.; Xu, C.; Wu, W.; Ren, J.; Li, Y.; Gui, L. Time Series Analysis of Temporal Trends in Hemorrhagic Fever with Renal Syndrome Morbidity Rate in China from 2005 to 2019. Sci. Rep. 2020, 10, 9609. [Google Scholar] [CrossRef]
  16. Abebe, A.; Temesgen, A.; Kebede, B. Modeling Inflation Rate Factors on Present Consumption Price Index in Ethiopia: Threshold Autoregressive Models Approach. Future Bus. J. 2023, 9, 72. [Google Scholar] [CrossRef]
  17. Godahewa, R.; Webb, G.I.; Schmidt, D.; Bergmeir, C. SETAR-Tree: A novel and accurate tree algorithm for global time series forecasting. Mach. Learn. 2023, 112, 2555–2591. [Google Scholar] [CrossRef]
  18. Ashilla, A.F. Peramalan Harga Emas Indonesia Menggunakan SETAR dan SETAR-Tree. Master’s Thesis, Institut Teknologi Sepuluh Nopember, Surabaya, Indonesia, 2024. [Google Scholar]
  19. Ng, Y.N.; Lim, H.Y.; Cham, Y.C.; Bakar, M.A.A.; Ariff, N.M. Comparison Between LSTM, GRU and VARIMA in Forecasting of Air Quality Time Series Data. Malays. J. Fundam. Appl. Sci. 2024, 20, 1248–1260. [Google Scholar] [CrossRef]
  20. Lin, M.D.; Liu, P.Y.; Huang, C.W.; Lin, Y.H. The application of strategy based on LSTM for the short-term prediction of PM2.5 in city. Sci. Total Environ. 2024, 906, 167892. [Google Scholar] [CrossRef] [PubMed]
  21. Ho, C.H.; Park, I.; Kim, J.; Lee, J.B. PM2.5 Forecast in Korea using the Long Short-Term Memory (LSTM) Model. Asia-Pac. J. Atmos. Sci. 2023, 59, 563–576. [Google Scholar] [CrossRef]
  22. Rodríguez-García, M.I.; Carrasco-García, M.G.; González-Enrique, J.; Ruiz-Aguilar, J.J.; Turias, I.J. Long Short-Term Memory Approach for Short-Term Air Quality Forecasting in the Bay of Algeciras (Spain). Sustainability 2023, 15, 50890. [Google Scholar] [CrossRef]
  23. Zhang, J.; Li, S. Air Quality Index Forecast in Beijing Based on CNN-LSTM Multi-Model. Chemosphere 2022, 308, 136180. [Google Scholar] [CrossRef]
  24. Yan, R.; Liao, J.; Yang, J.; Sun, W.; Nong, M.; Li, F. Multi-Hour and Multi-Site Air Quality Index Forecasting in Beijing Using CNN, LSTM, CNN-LSTM, and Spatiotemporal Clustering. Expert Syst. Appl. 2021, 169, 114513. [Google Scholar] [CrossRef]
  25. Yue, H.; He, C.; Huang, Q.; Zhang, D.; Shi, P.; Moallemi, E.A.; Xu, F.; Yang, Y.; Qi, X.; Ma, Q.; et al. Substantially Reducing Global PM2.5-Related Deaths under SDG3.9 Requires Better Air Pollution Control and Healthcare. Nat. Commun. 2024, 15, 2729. [Google Scholar] [CrossRef] [PubMed]
  26. Xu, Y.; O’Sharkey, K.; Cabison, J.; Rosales, M.; Chavez, T.; Johnson, M.; Yang, T.; Cho, S.-H.; Chartier, R.; Grubbs, B.; et al. Sources of Personal PM2.5 Exposure during Pregnancy in the MADRES Cohort. J. Expo. Sci. Environ. Epidemiol. 2024, 34, 868–877. [Google Scholar] [CrossRef] [PubMed]
  27. Bhattarai, H.; Tai, A.P.K.; Val, M.; Yung, D.H.Y. Responses of Fine Particulate Matter (PM2.5) Air Quality to Future Climate, Land Use, and Emission Changes: Insights from Modeling Across Shared Socioeconomic Pathways. Sci. Total Environ. 2024, 948, 174611. [Google Scholar] [CrossRef]
  28. Alabdulrazzaq, H.; Alenezi, M.N.; Rawajfih, Y.; Alghannam, B.A.; Al-Hassan, A.A.; Al-Anzi, F.S. On the Accuracy of ARIMA Based Prediction on COVID-19 Spread. Result. Phys. 2021, 27, 104509. [Google Scholar] [CrossRef]
  29. Siino, M.; Scudero, S.; D’Alessandro, A. Stochastic Models for Radon Daily Time Series: Seasonality, Stationarity, and Long-Range Dependence Detection. Front. Earth Sci. 2020, 8, 575001. [Google Scholar] [CrossRef]
  30. Ghazo, A. Applying the ARIMA Model to the Process of Forecasting GDP and CPI in the Jordanian Economy. Int. J. Financ. Res. 2021, 12, 70. [Google Scholar] [CrossRef]
  31. Hochreiter, S.; Schmidhuber, J. Long Short-Term Memory. Neural Comput. 1997, 9, 1735–1780. [Google Scholar] [CrossRef] [PubMed]
  32. Dubey, A.K.; Kumar, A.; García-díaz, V.; Kumar, A. Study and Analysis of SARIMA and LSTM in Forecasting Time Series Data. Sustain. Energy Technol. Assess. 2021, 47, 101474. [Google Scholar]
  33. Abbasimehr, H.; Shabani, M.; Yousefi, M. An optimized model using LSTM network for demand forecasting. Comput. Ind. Eng. 2020, 143, 106435. [Google Scholar] [CrossRef]
  34. Abbasimehr, H.; Paki, R. Improving Time Series Forecasting using LSTM and Attention Models. J. Ambient. Intell. Humaniz. Comput. 2022, 13, 673–691. [Google Scholar] [CrossRef]
  35. Chicco, D.; Warrens, M.J.; Jurman, G. The coefficient of Determination R-Squared is More Informative than SMAPE, MAE, MAPE, MSE and RMSE in Regression Analysis Evaluation. PeerJ Comput. Sci. 2021, 7, e623. [Google Scholar] [CrossRef] [PubMed]
  36. Nakama, T. Systematic comparisons of single- and multiple-hidden-layer neural networks. Neurocomput. Learn. Archit. Model. 2012, 1, 147–162. [Google Scholar]
Disclaimer/Publisher’s Note: The statements, opinions and data contained in all publications are solely those of the individual author(s) and contributor(s) and not of MDPI and/or the editor(s). MDPI and/or the editor(s) disclaim responsibility for any injury to people or property resulting from any ideas, methods, instructions or products referred to in the content.

Article Metrics

Citations

Article Access Statistics

Multiple requests from the same IP address are counted as one view.