Spatiotemporal Patterns of Typhoon-Induced Extreme Precipitation in Hainan Island, China, 2000–2020, Using Satellite-Derived Precipitation Data
Abstract
1. Introduction
2. Materials and Methods
2.1. Overview of the Study Area
2.2. Datasets
2.3. Methodology
2.4. Definition of Typhoon Precipitation and Typhoon-Induced Precipitation Extremes
2.5. Typhoon-Induced Extreme Precipitation’s Regionalization and the Typhoon Track Cluster

3. Results
3.1. Spatiotemporal Analysis
3.1.1. Change in Typhoon Frequency
3.1.2. Change in the Frequency of Extreme Precipitation
3.1.3. Change in Extreme Precipitation and Contribution
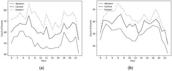
3.1.4. Intra-Day Changes in Extreme Precipitation
3.1.5. Spatial Distribution of the Maximum Precipitation
3.2. Typhoon Contributions to Extreme Precipitation
3.2.1. Spatial Distribution of the Contribution Rates
3.2.2. Intra-Annual Change in the Contribution Rate
3.3. Statistical Analysis of Extreme Values
3.4. Factors Influencing the TIEP
3.4.1. Extreme Precipitation in Relation to Air Pressure, Wind Speed, and Precipitation
3.4.2. Relationship between the Extreme Precipitation and the SST
3.4.3. Extreme Precipitation in Relation to the Atmospheric Circulation and ENSO
4. Discussion
5. Conclusions
- (1)
- From 1949 to 2020, typhoon events affecting Hainan decreased by 0.3 events decade−1 (p < 0.01). However, extreme precipitation events increased by 1.5 and 1.8 events decade−1 at the 95th and 99th percentiles, respectively, from 2000 to 2020. Extreme precipitation surged by 77.1 mm decade−1 in the eastern region, 73.3 mm decade−1 in the central region, and 58.6 mm decade−1 in the western region, respectively.
- (2)
- Typhoon paths significantly influence the spatial distribution of extreme precipitation events, with Track 1 and 2 affecting the western and central regions. While Track 3 primarily impacts the western region. The contribution rates of typhoons to extreme precipitation vary spatiotemporally and seasonally.
- (3)
- Incorporating typhoon precipitation data reduces the return period of extreme precipitation events in the central and eastern regions but extends it in the eastern region.
- (4)
- Typhoon duration, wind speed, and SST positively correlate with extreme precipitation volumes, while atmospheric pressure and circulation indices show negative correlations. ENSO events, particularly SST variations in the Niño 1 + 2 region (correlation coefficients ranging from −0.340 to −0.406), notably impact typhoon activity.
Author Contributions
Funding
Institutional Review Board Statement
Informed Consent Statement
Data Availability Statement
Acknowledgments
Conflicts of Interest
Appendix A
| Index | All Region | Western Region | Central Region | Eastern Region |
|---|---|---|---|---|
| Northern Hemisphere Subtropical High Area Index | 0.362 *** | 0.415 *** | 0.403 *** | 0.306 *** |
| North African Subtropical High Area Index | 0.342 *** | 0.408 *** | 0.385 *** | 0.282 *** |
| North African–North Atlantic–North American Subtropical High Area Index | 0.376 *** | 0.442 *** | 0.422 *** | 0.313 *** |
| Indian Subtropical High Area Index | −0.104 | −0.098 | −0.110 | −0.096 |
| Western Pacific Subtropical High Area Index | 0.164 * | 0.152 * | 0.171 ** | 0.152 * |
| Eastern Pacific Subtropical High Area Index | 0.370 *** | 0.415 *** | 0.408 *** | 0.316 *** |
| North American Subtropical High Area Index | 0.384 *** | 0.446 *** | 0.430 *** | 0.321 *** |
| Atlantic Subtropical High Area Index | 0.392 *** | 0.455 *** | 0.438 *** | 0.329 *** |
| South China Sea Subtropical High Area Index | −0.113 | −0.129 * | −0.119 | −0.099 |
| North American–Atlantic Subtropical High Area Index | 0.394 *** | 0.458 *** | 0.441 *** | 0.329 *** |
| Pacific Subtropical High Area Index | 0.313 *** | 0.335 *** | 0.340 *** | 0.274 *** |
| Northern Hemisphere Subtropical High Intensity Index | 0.381 *** | 0.446 *** | 0.429 *** | 0.317 *** |
| North African Subtropical High Intensity Index | 0.357 *** | 0.435 *** | 0.407 *** | 0.291 *** |
| North African–North Atlantic–North American Subtropical High Intensity Index | 0.389 *** | 0.468 *** | 0.442 *** | 0.318 *** |
| Indian Subtropical High Intensity Index | −0.101 | −0.093 | −0.105 | −0.095 |
| Western Pacific Subtropical High Intensity Index | 0.210 *** | 0.189 ** | 0.213 *** | 0.199 ** |
| Eastern Pacific Subtropical High Intensity Index | 0.347 *** | 0.395 *** | 0.388 *** | 0.293 *** |
| North American Subtropical High Intensity Index | 0.402 *** | 0.475 *** | 0.455 *** | 0.332 *** |
| North Atlantic Subtropical High Intensity Index | 0.401 *** | 0.485 *** | 0.456 *** | 0.327 *** |
| South China Sea Subtropical High Intensity Index | −0.103 | −0.117 | −0.108 | −0.090 |
| North American–North Atlantic Subtropical High Intensity Index | 0.405 *** | 0.485 *** | 0.460 *** | 0.332 *** |
| Pacific Subtropical High Intensity Index | 0.315 *** | 0.332 *** | 0.340 *** | 0.278 *** |
| Northern Hemisphere Subtropical High Ridge Position Index | 0.475 *** | 0.486 *** | 0.500 *** | 0.428 *** |
| North African Subtropical High Ridge Position Index | 0.439 *** | 0.464 *** | 0.470 *** | 0.389 *** |
| Indian Subtropical High Ridge Position Index | 0.432 *** | 0.460 *** | 0.464 *** | 0.382 *** |
| Indian Subtropical High Ridge Position Index | −0.176 ** | −0.127 * | −0.179 ** | −0.175 ** |
| Western Pacific Subtropical High Ridge Position Index | 0.489 *** | 0.489 *** | 0.508 *** | 0.447 *** |
| Eastern Pacific Subtropical High Ridge Position Index | 0.072 | 0.069 | 0.074 | 0.068 |
| North American Subtropical High Ridge Position Index | 0.066 | 0.066 | 0.069 | 0.061 |
| Atlantic Sub Tropical High Ridge Position Index | 0.149* | 0.137 * | 0.151 * | 0.141 * |
| South China Sea Subtropical High Ridge Position Index | −0.030 | 0.013 | −0.035 | −0.037 |
| North American–North Atlantic Subtropical High Ridge Position Index | 0.065 | 0.065 | 0.068 | 0.059 |
| Pacific Subtropical High Ridge Position Index | 0.487 *** | 0.484 *** | 0.506 *** | 0.446 *** |
| Northern Hemisphere Subtropical High Northern Boundary Position Index | 0.111 | 0.104 | 0.113 | 0.104 |
| North African Subtropical High Northern Boundary Position Index | 0.195 ** | 0.191 ** | 0.197 ** | 0.181 ** |
| North African–North Atlantic–North American Subtropical High Northern Boundary Position Index | 0.135 * | 0.135 * | 0.138 * | 0.125 |
| Indian Subtropical High Northern Boundary Position Index | 0.078 | 0.079 | 0.073 | 0.075 |
| Western Pacific Subtropical High Northern Boundary Position Index | 0.059 | 0.044 | 0.062 | 0.058 |
| Eastern Pacific Subtropical High Northern Boundary Position Index | 0.310 *** | 0.316 *** | 0.319 *** | 0.284 *** |
| North American Subtropical High Northern Boundary Position Index | 0.185 ** | 0.178 ** | 0.188 ** | 0.172 ** |
| Atlantic Subtropical High Northern Boundary Position Index | 0.252 *** | 0.255 *** | 0.260 *** | 0.230 *** |
| South China Sea Subtropical High Northern Boundary Position Index | −0.035 | −0.041 | −0.026 | −0.035 |
| North American–Atlantic Subtropical High Northern Boundary Position Index | 0.175 ** | 0.170 ** | 0.179 ** | 0.163 * |
| Pacific Subtropical High Northern Boundary Position Index | 0.129 * | 0.121 | 0.132 * | 0.121 |
| Western Pacific Sub Tropical High Western Ridge Point Index | 0.177 ** | 0.179 ** | 0.183 ** | 0.162 * |
| Asia Polar Vortex Area Index | −0.240 *** | −0.314 *** | −0.284 *** | −0.185 ** |
| Pacific Polar Vortex Area Index | −0.311 *** | −0.373 *** | −0.358 *** | −0.252 *** |
| North American Polar Vortex Area Index | −0.306 *** | −0.362 *** | −0.344 *** | −0.255 *** |
| Atlantic–European Polar Vortex Area Index | −0.201 ** | −0.227 *** | −0.230 *** | −0.167 ** |
| Northern Hemisphere Polar Vortex Area Index | −0.320 *** | −0.385 *** | −0.368 *** | −0.260 *** |
| Asia Polar Vortex Intensity Index | −0.287 *** | −0.351 *** | −0.327 *** | −0.232 *** |
| Pacific Polar Vortex Intensity Index | −0.228 *** | −0.303 *** | −0.277 *** | −0.172 ** |
| North American Polar Vortex Intensity Index | −0.242 *** | −0.292 *** | −0.274 *** | −0.198 ** |
| Atlantic–European Polar Vortex Intensity Index | −0.216 *** | −0.268 *** | −0.254 *** | −0.171 ** |
| Northern Hemisphere Polar Vortex Intensity Index | −0.266 *** | −0.331 *** | −0.308 *** | −0.212 *** |
| Northern Hemisphere Polar Vortex Central Longitude Index | −0.118 | −0.128 * | −0.137 * | −0.099 |
| Northern Hemisphere Polar Vortex Central Latitude Index | 0.175 ** | 0.167 ** | 0.185 ** | 0.161 * |
| Northern Hemisphere Polar Vortex Central Intensity Index | 0.342 *** | 0.375 *** | 0.371 *** | 0.297 *** |
| Eurasian Zonal Circulation Index | −0.140 * | −0.223 *** | −0.188 ** | −0.088 |
| Eurasian Meridional Circulation Index | −0.126 * | −0.125 * | −0.131 * | −0.114 |
| Asian Zonal Circulation Index | −0.120 | −0.215 *** | −0.170 ** | −0.066 |
| Asian Meridional Circulation Index | −0.106 | −0.116 | −0.113 | −0.093 |
| East Asian Trough Position Index | −0.056 | −0.035 | −0.056 | −0.057 |
| East Asian Trough Intensity Index | 0.399 *** | 0.423 *** | 0.427 *** | 0.354 *** |
| Tibet Plateau Region 1 Index | 0.411 *** | 0.406 *** | 0.426 *** | 0.377 *** |
| Tibet Plateau Region 2 Index | 0.410 *** | 0.415 *** | 0.428 *** | 0.372 *** |
| India–Burma Trough Intensity Index | −0.203 ** | −0.253 *** | −0.229 *** | −0.165 ** |
| Arctic Oscillation, AO | −0.027 | −0.016 | −0.017 | −0.032 |
| Antarctic Oscillation, AAO | 0.007 | −0.033 | −0.019 | 0.028 |
| North Atlantic Oscillation, NAO | 0.002 | −0.013 | 0.000 | 0.007 |
| Pacific/ North American Pattern, PNA | 0.094 | 0.056 | 0.075 | 0.106 |
| East Atlantic Pattern, EA | 0.217 *** | 0.234 *** | 0.242 *** | 0.187 ** |
| West Pacific Pattern, WP | −0.108 | −0.087 | −0.107 | −0.106 |
| North Pacific Pattern, NP | 0.130 * | 0.120 | 0.132 * | 0.123 |
| East Atlantic–West Russia Pattern, EA/WR | −0.167 ** | −0.156 * | −0.179 ** | −0.154 * |
| Tropical–Northern Hemisphere Pattern, TNH | −0.251 *** | −0.230 *** | −0.253 *** | −0.238 *** |
| Polar–Eurasia Pattern, POL | 0.066 | 0.112 | 0.091 | 0.039 |
| Scandinavia Pattern, SCA | −0.100 | −0.126 * | −0.108 | −0.083 |
| Pacific Transition Pattern, PT | 0.311 *** | 0.347 *** | 0.328 *** | 0.273 *** |
| 30 hPa zonal wind Index | −0.040 | −0.075 | −0.083 | −0.009 |
| 50 hPa zonal wind Index | −0.112 | −0.158 * | −0.162 * | −0.071 |
| Mid-Eastern Pacific 200 mb Zonal Wind Index | −0.352 *** | −0.350 *** | −0.366 *** | −0.323 *** |
| West Pacific 850 mb Trade Wind Index | 0.111 | 0.096 | 0.110 | 0.107 |
| Central Pacific 850 mb Trade Wind Index | −0.110 | −0.115 | −0.118 | −0.098 |
| East Pacific 850 mb Trade Wind Index | −0.051 | −0.031 | −0.049 | −0.054 |
| Atlantic–European Circulation W Pattern Index | 0.217 *** | 0.235 *** | 0.235 *** | 0.189 ** |
| Atlantic–European Circulation C Pattern Index | −0.204 ** | −0.225 *** | −0.224 *** | −0.175 ** |
| Start Time | End Time | Extreme Precipitation (mm) | Track |
|---|---|---|---|
| 2000/6/1 6:00 | 2000/6/1 12:00 | 0.00 | 2 |
| 2000/7/15 18:00 | 2000/7/17 0:00 | 197.98 | 1 |
| 2000/7/19 0:00 | 2000/7/19 6:00 | 0.00 | 3 |
| 2000/9/8 12:00 | 2000/9/9 18:00 | 184.99 | 2 |
| 2001/7/1 6:00 | 2001/7/2 6:00 | 203.01 | 1 |
| 2001/7/25 12:00 | 2001/7/25 18:00 | 0.00 | 1 |
| 2001/8/9 18:00 | 2001/8/10 12:00 | 0.00 | 2 |
| 2001/8/28 18:00 | 2001/9/11 12:00 | 937.60 | 3 |
| 2002/8/18 6:00 | 2002/8/19 12:00 | 114.33 | 1 |
| 2002/9/14 6:00 | 2002/9/15 12:00 | 30.65 | 1 |
| 2002/9/24 12:00 | 2002/9/27 0:00 | 294.46 | 3 |
| 2002/9/27 12:00 | 2002/9/28 6:00 | 0.00 | 3 |
| 2003/7/21 0:00 | 2003/7/22 0:00 | 147.98 | 3 |
| 2003/8/24 12:00 | 2003/8/25 12:00 | 184.52 | 3 |
| 2003/11/17 12:00 | 2003/11/19 12:00 | 210.65 | 3 |
| 2005/7/29 0:00 | 2005/7/30 18:00 | 392.91 | 3 |
| 2005/9/17 18:00 | 2005/9/18 0:00 | 49.44 | 2 |
| 2005/9/25 6:00 | 2005/9/26 18:00 | 435.40 | 3 |
| 2006/6/28 0:00 | 2006/6/29 0:00 | 108.62 | 1 |
| 2006/7/3 6:00 | 2006/7/4 0:00 | 133.55 | 3 |
| 2006/8/3 6:00 | 2006/8/3 12:00 | 21.47 | 1 |
| 2006/8/22 6:00 | 2006/8/24 18:00 | 0.00 | 1 |
| 2006/9/13 6:00 | 2006/9/13 18:00 | 0.00 | 1 |
| 2006/9/24 12:00 | 2006/9/25 0:00 | 63.36 | 2 |
| 2006/11/13 18:00 | 2006/11/14 18:00 | 0.00 | 2 |
| 2006/12/13 6:00 | 2006/12/14 0:00 | 0.00 | 2 |
| 2007/7/3 12:00 | 2007/7/5 12:00 | 196.83 | 3 |
| 2007/8/6 6:00 | 2007/8/7 6:00 | 0.00 | 2 |
| 2007/9/24 0:00 | 2007/9/25 6:00 | 134.11 | 3 |
| 2007/10/2 0:00 | 2007/10/3 6:00 | 78.92 | 2 |
| 2008/4/17 18:00 | 2008/4/19 0:00 | 0.00 | 1 |
| 2008/8/6 12:00 | 2008/8/7 6:00 | 106.45 | 3 |
| 2008/9/29 12:00 | 2008/9/29 18:00 | 0.00 | 2 |
| 2008/10/3 0:00 | 2008/10/4 12:00 | 214.92 | 1 |
| 2008/10/13 6:00 | 2008/10/14 18:00 | 260.86 | 3 |
| 2009/7/11 18:00 | 2009/7/12 6:00 | 59.24 | 3 |
| 2009/8/6 12:00 | 2009/8/9 6:00 | 426.45 | 3 |
| 2009/9/10 18:00 | 2009/9/11 12:00 | 117.02 | 3 |
| 2009/10/11 18:00 | 2009/10/14 0:00 | 275.94 | 3 |
| 2009/10/19 6:00 | 2009/10/20 12:00 | 43.72 | 2 |
| 2010/7/15 18:00 | 2010/7/17 6:00 | 51.34 | 2 |
| 2010/7/21 12:00 | 2010/7/22 6:00 | 58.46 | 1 |
| 2010/8/23 18:00 | 2010/8/24 0:00 | 7.68 | 2 |
| 2010/10/4 12:00 | 2010/10/10 6:00 | 674.45 | 3 |
| 2011/6/22 18:00 | 2011/6/24 6:00 | 189.08 | 3 |
| 2011/7/29 0:00 | 2011/7/30 0:00 | 257.60 | 3 |
| 2011/10/3 18:00 | 2011/10/5 12:00 | 0.00 | 2 |
| 2011/11/8 0:00 | 2011/11/9 0:00 | 142.30 | 2 |
| 2012/6/16 6:00 | 2012/6/18 0:00 | 230.20 | 1 |
| 2012/8/17 0:00 | 2012/8/17 12:00 | 152.55 | 3 |
| 2012/10/27 6:00 | 2012/10/28 0:00 | 229.19 | 2 |
| 2012/10/29 0:00 | 2012/10/29 12:00 | 0.00 | 3 |
| 2013/6/22 0:00 | 2013/6/23 0:00 | 73.55 | 3 |
| 2013/7/1 12:00 | 2013/7/2 0:00 | 66.20 | 1 |
| 2013/8/2 0:00 | 2013/8/3 0:00 | 138.10 | 3 |
| 2013/8/6 18:00 | 2013/8/7 6:00 | 0.00 | 2 |
| 2013/8/14 0:00 | 2013/8/14 6:00 | 20.91 | 1 |
| 2013/9/29 12:00 | 2013/9/30 6:00 | 0.00 | 2 |
| 2013/11/4 0:00 | 2013/11/4 12:00 | 0.00 | 2 |
| 2013/11/10 6:00 | 2013/11/11 0:00 | 120.60 | 3 |
| 2014/7/18 0:00 | 2014/7/18 18:00 | 243.65 | 1 |
| 2014/9/7 12:00 | 2014/9/8 6:00 | 26.80 | 1 |
| 2014/9/16 0:00 | 2014/9/16 12:00 | 213.28 | 3 |
| 2015/6/21 12:00 | 2015/6/23 18:00 | 413.86 | 3 |
| 2015/10/3 18:00 | 2015/10/4 6:00 | 72.06 | 1 |
| 2016/5/27 0:00 | 2016/5/27 6:00 | 0.00 | 1 |
| 2016/7/26 6:00 | 2016/7/27 6:00 | 133.02 | 3 |
| 2016/8/17 18:00 | 2016/8/19 0:00 | 370.73 | 3 |
| 2016/10/12 18:00 | 2016/10/13 0:00 | 38.16 | 2 |
| 2016/10/17 12:00 | 2016/10/19 6:00 | 276.80 | 3 |
| 2017/7/15 0:00 | 2017/7/16 6:00 | 156.10 | 2 |
| 2017/7/22 0:00 | 2017/7/25 6:00 | 59.15 | 2 |
| 2017/9/14 12:00 | 2017/9/15 0:00 | 76.33 | 2 |
| 2017/9/24 3:00 | 2017/9/25 0:00 | 255.08 | 3 |
| 2017/10/9 12:00 | 2017/10/9 18:00 | 45.70 | 2 |
| 2017/10/15 12:00 | 2017/10/16 6:00 | 113.44 | 1 |
| 2017/11/12 6:00 | 2017/11/13 6:00 | 265.96 | 2 |
| 2018/6/5 0:00 | 2018/6/7 12:00 | 412.57 | 1 |
| 2018/7/17 15:00 | 2018/7/18 6:00 | 97.43 | 3 |
| 2018/7/21 21:00 | 2018/7/23 21:00 | 315.96 | 3 |
| 2018/8/9 0:00 | 2018/8/11 0:00 | 581.26 | 1 |
| 2018/8/11 15:00 | 2018/8/12 15:00 | 105.57 | 1 |
| 2018/8/14 21:00 | 2018/8/16 12:00 | 178.04 | 3 |
| 2018/9/12 18:00 | 2018/9/13 12:00 | 122.99 | 1 |
| 2019/7/2 6:00 | 2019/7/3 12:00 | 294.38 | 3 |
| 2019/7/31 12:00 | 2019/8/2 18:00 | 317.07 | 3 |
| 2019/8/29 0:00 | 2019/8/29 12:00 | 95.44 | 2 |
| 2019/9/1 18:00 | 2019/9/2 12:00 | 173.95 | 2 |
| 2019/9/3 12:00 | 2019/9/6 6:00 | 224.51 | 2 |
| 2020/7/31 12:00 | 2020/8/1 12:00 | 58.60 | 2 |
| 2020/10/13 0:00 | 2020/10/14 0:00 | 80.71 | 3 |
| 2020/10/24 12:00 | 2020/10/25 12:00 | 297.82 | 2 |
| 2020/11/14 18:00 | 2020/11/15 0:00 | 20.40 | 2 |
References
- Knutson, T.; Camargo, S.J.; Chan, J.C.L.; Emanuel, K.; Ho, C.H.; Kossin, J.; Mohapatra, M.; Satoh, M.; Sugi, M.; Walsh, K.; et al. Tropical Cyclones and Climate Change Assessment: Part II: Projected Response to Anthropogenic Warming. Bull. Am. Meteorol. Soc. 2020, 101, E303–E322. [Google Scholar] [CrossRef]
- Shan, K.; Lin, Y.; Chu, P.; Yu, X.; Song, F. Seasonal advance of intense tropical cyclones in a warming climate. Nature 2023, 623, 83–89. [Google Scholar] [CrossRef] [PubMed]
- Lianshou, C.; Zhiyong, M.; Chunhua, C. An overview on the research of typhoon rainfall distribution. J. Mar. Meteorol. 2017, 37, 1–7. [Google Scholar]
- Lianshou, C.; Yinglong, X. Review of Typhoon Very Heavy Rainfall in China. Meteorol. Environ. Sci. 2017, 40, 3–10. [Google Scholar]
- Du, X.; Chen, H.; Li, Q.; Ge, X. Urban Impact on Landfalling Tropical Cyclone Precipitation: A Numerical Study of Typhoon Rumbia (2018). Adv. Atmos. Sci. 2023, 40, 988–1004. [Google Scholar] [CrossRef]
- Zhang, W.; Villarini, G.; Vecchi, G.A.; Smith, J.A. Urbanization exacerbated the rainfall and flooding caused by hurricane Harvey in Houston. Nature 2018, 563, 384–388. [Google Scholar] [CrossRef] [PubMed]
- Meng, C.; Xu, W.; Qiao, Y.; Liao, X.; Qin, L. Quantitative Risk Assessment of Population Affected by Tropical Cyclones Through Joint Consideration of Extreme Precipitation and Strong Wind—A Case Study of Hainan Province. Earth’s Future 2021, 9, e2021EF002365. [Google Scholar] [CrossRef]
- Dake, C. Global intensification of weak tropical cyclones in the past 30 years. Sci. Sin. 2024, 54, 659–660. [Google Scholar]
- Yongmei, W.; Fumin, R.; Weijing, L.; Wang, X.L. Climatic characteristics of typhoon precipitation over China. J. Trop. Meteorol. 2008, 14, 233–238. [Google Scholar]
- Zhang, Q.; Lai, Y.; Gu, X.; Shi, P.; Singh, V.P. Tropical Cyclonic Rainfall in China: Changing Properties, Seasonality, and Causes. J. Geophys. Res. Atmos. 2018, 123, 4476–4489. [Google Scholar] [CrossRef]
- Gori, A.; Lin, N.; Xi, D.; Emanuel, K. Tropical cyclone climatology change greatly exacerbates US extreme rainfall-surge hazard. Nat. Clim. Change 2022, 12, 171–178. [Google Scholar] [CrossRef]
- Wu, Y.; Wu, S.; Zhai, P. The impact of tropical cyclones on Hainan Island’s extreme and total precipitation. Int. J. Climatol. 2007, 27, 1059–1064. [Google Scholar] [CrossRef]
- Lu, G.; Wang, W.; Zheng, M.; Cai, Q.B. Spatial and temporal distribution characteristics of typhoon precipitation in Hainan. Trans. Atmos. Sci. 2015, 38, 710–715. [Google Scholar]
- Jiang, X.; Ren, F.; Li, Y.; Qiu, W.; Ma, Z.; Cai, Q. Characteristics and Preliminary Causes of Tropical Cyclone Extreme Rainfall Events over Hainan Island. Adv. Atmos. Sci. 2018, 5, 580–591. [Google Scholar] [CrossRef]
- Chu, P.; Chen, D.; Lin, P. Trends in precipitation extremes during the typhoon season in Taiwan over the last 60 years. Atmos. Sci. Lett. 2014, 15, 37–43. [Google Scholar] [CrossRef]
- Yu, C.; Hu, D.; Di, Y.; Wang, Y. Performance evaluation of IMERG precipitation products during typhoon Lekima (2019). J. Hydrol. 2021, 597, 126307. [Google Scholar] [CrossRef]
- Rios Gaona, M.F.; Villarini, G. Characterization of the diurnal cycle of maximum rainfall in tropical cyclones. J. Hydrol. 2018, 564, 997–1007. [Google Scholar] [CrossRef]
- Yan, Z.; Renyong, Y.; Shouchang, C.; Cai, Q. Observation and Simulation of Effect of Terrain on Rainstorm Amplification in Typhoon Haiyan. Meteorol. Sci. Technol. 2018, 46, 1147–1153. [Google Scholar]
- Yang, R.Y.; Min, J.Z.; Feng, W. Numerical simulations of the hainan island topographicefects on the rainfall of west-going typhoons. J. Trop. Meteorol. 2013, 29, 474–480. [Google Scholar]
- Yu, Z.; Wang, Y.; Xu, H.; Davidson, N.; Chen, Y.; Chen, Y.; Yu, H. On the Relationship between Intensity and Rainfall Distribution in Tropical Cyclones Making Landfall over China. J. Appl. Meteorol. Clim. 2017, 56, 2883–2901. [Google Scholar] [CrossRef]
- Lai, Y.; Li, J.; Gu, X.; Chen, Y.D.; Kong, D.; Gan, T.Y.; Liu, M.; Li, Q.; Wu, G. Greater flood risks in response to slowdown of tropical cyclones over the coast of China. Proc. Natl. Acad. Sci. USA 2020, 117, 14751–14755. [Google Scholar] [CrossRef] [PubMed]
- Li, X.; Han, G.; Yang, J.; Wang, C. Remote Sensing Analysis of Typhoon-Induced Storm Surges and Sea Surface Cooling in Chinese Coastal Waters. Remote Sens. 2023, 15, 1844. [Google Scholar] [CrossRef]
- Kawase, H.; Yamaguchi, M.; Imada, Y.; Hayashi, S.; Murata, A.; Nakaegawa, T.; Miyasaka, T.; Takayabu, I. Enhancement of Extremely Heavy Precipitation Induced by Typhoon Hagibis (2019) due to Historical Warming. Sola 2021, 17A, 7–13. [Google Scholar] [CrossRef]
- Zhou, L.; Gao, S.; Jia, J.; Yang, Y.; Tong, C.; Wang, A. Paleo-Typhoon Events as Indicated by Coral Reef Boulder Deposits on the Southern Coast of Hainan Island, China. Front. Mar. Sci. 2021, 8, 746773. [Google Scholar] [CrossRef]
- Chou, J.; Dong, W.; Tu, G.; Xu, Y. Spatiotemporal distribution of landing tropical cyclones and disaster impact analysis in coastal China during 1990–2016. Phys. Chem. Earth Parts A/B/C 2020, 115, 102830. [Google Scholar] [CrossRef]
- Xu, M.; Tan, Y.; Li, S.; Shang, M.; Shi, C.; Bai, L. Characterisation of Multi-Scale Spatial and Temporal Distribution of Typhoon Precipitation on Hainan Island Based on Remotely Sensed Precipitation Data. Chin. J. Trop. Agric. 2025, 45. accepted in press. [Google Scholar]
- Fisher, R.A.; Tippett, L.H.C. Limiting forms of the frequency distribution of the largest or smallest member of a sample. Math. Proc. Camb. 1928, 24, 180–190. [Google Scholar] [CrossRef]
- Jenkinson, A.F. The frequency distribution of the annual maximum (or minimum) values of meteorological elements. Q. J. R. Meteor. Soc. 1955, 81, 158–171. [Google Scholar] [CrossRef]
- Ohlson, J.A.; Kim, S. Linear valuation without OLS: The Theil-Sen estimation approach. Res. Account Stud. 2015, 20, 395–435. [Google Scholar] [CrossRef]
- Chen, Y.; Duan, Z. Impact of ENSO on typhoon wind hazard in the coast of southeast China. Nat. Hazards 2018, 92, 1717–1731. [Google Scholar] [CrossRef]
- Chu, P.; Zhang, H.; Chang, H.; Chen, T.L.; Tofte, K. Trends in return levels of 24-hr precipitation extremes during the typhoon season in Taiwan. Int. J. Climatol. 2018, 38, 5107–5124. [Google Scholar] [CrossRef]
- Liu, L.; Wang, Y. Trends in Landfalling Tropical Cyclone–Induced Precipitation over China. J. Clim. 2020, 33, 2223–2235. [Google Scholar] [CrossRef]
- Zhang, P.; Ren, G.; Qin, Y.; Zhai, Y.; Zhai, T.; Tysa, S.K.; Xue, X.; Yang, G.; Sun, X. Urbanization Effects on Estimates of Global Trends in Mean and Extreme Air Temperature. J. Clim. 2021, 34, 1923–1945. [Google Scholar] [CrossRef]
- Su, J.; Ren, G.; Zhang, Y.; Yang, G.; Xue, X.; Lee, R. Changes in extreme rainfall over mainland China induced by landfalling tropical cyclones. Environ. Res. Commun. 2022, 4, 101004. [Google Scholar] [CrossRef]
- Zhao, N.; Hong, J.; Lau, K.H. Impact of supply chain digitalization on supply chain resilience and performance: A multi-mediation model. Int. J. Prod. Econ. 2023, 259, 108817. [Google Scholar] [CrossRef] [PubMed]
- Duan, L.; Chen, L. Diagnostic Analysis and Numerical Study of Torrential Rain Associated with the Tropical Storm Fitow (0114). Chin. J. Atmos. Sci. 2005, 29, 343–353. [Google Scholar] [CrossRef]
- Liu, H.; Huang, X.; Fei, J.; Zhang, C.; Cheng, X. Characteristics and Preliminary Causes of Extremely Persistent Heavy Rainfall Generated by Landfalling Tropical Cyclones Over China. Earth Space Sci. 2022, 9, e2022EA002238. [Google Scholar] [CrossRef]
- Hatsuzuka, D.; Sato, T. Impact of SST on Present and Future Extreme Precipitation in Hokkaido Investigated Considering Weather Patterns. J. Geophys. Res. Atmos. 2022, 127, e2021JD036120. [Google Scholar] [CrossRef]
- Fujibe, F. Relationship between Interannual Variations of Extreme Hourly Precipitation and Air/Sea-Surface Temperature in Japan. Sola 2015, 11, 5–9. [Google Scholar] [CrossRef]














| Region | Track | Air Pressure | Wind Speed | Duration |
|---|---|---|---|---|
| All Regions | Track 1 | 0.246 | −0.327 | 0.589 ** |
| Track 2 | −0.052 | 0.134 | 0.292 | |
| Track 3 | −0.190 | 0.257 | 0.850 *** | |
| Western Region | Track 1 | 0.202 | −0.235 | 0.530 ** |
| Track 2 | 0.024 | 0.031 | −0.036 | |
| Track 3 | −0.320 * | 0.369 * | 0.674 *** | |
| Central Region | Track 1 | 0.263 | −0.279 | 0.539 ** |
| Track 2 | −0.117 | 0.143 | 0.101 | |
| Track 3 | −0.287 | 0.336 * | 0.691 *** | |
| Eastern Region | Track 1 | 0.272 | −0.358 | 0.575 ** |
| Track 2 | 0.092 | 0.022 | 0.305 | |
| Track 3 | −0.064 | 0.109 | 0.612 *** |
| Index | All Regions | Western Region | Central Region | Eastern Region |
|---|---|---|---|---|
| Asia Polar Vortex Area Index | −0.240 ** | −0.314 ** | −0.284 ** | −0.185 * |
| Pacific Polar Vortex Area Index | −0.311 ** | −0.373 ** | −0.358 ** | −0.252 ** |
| North American Polar Vortex Area Index | −0.306 ** | −0.362 ** | −0.344 ** | −0.255 ** |
| Northern Hemisphere Polar Vortex Area Index | −0.320 ** | −0.385 ** | −0.368 ** | −0.260 ** |
| Asia Polar Vortex Intensity Index | −0.287 ** | −0.351 ** | −0.327 ** | −0.232 ** |
| Pacific Polar Vortex Intensity Index | −0.228 ** | −0.303 ** | −0.277 ** | −0.172 * |
| Northern Hemisphere Polar Vortex Intensity Index | −0.266 ** | −0.331 ** | −0.308 ** | −0.212 ** |
| Pacific Subtropical High Ridge Position Index | 0.487 ** | 0.484 ** | 0.506 ** | 0.446 ** |
| Northern Hemisphere Subtropical High Northern Boundary Position Index | 0.420 ** | 0.438 ** | 0.446 ** | 0.375 ** |
| North African Subtropical High Northern Boundary Position Index | 0.362 ** | 0.387 ** | 0.386 ** | 0.320 ** |
| Mid-Eastern Pacific 200 mb Zonal Wind Index | −0.352 ** | −0.350 ** | −0.366 ** | −0.323 ** |
| Niño 1 + 2 SST | −0.406 ** | −0.340 ** | −0.398 ** | −0.398 ** |
| Niño 3 SST | −0.274 ** | −0.191 * | −0.252 ** | −0.286 ** |
| Niño 4 SST | 0.064 | 0.117 | 0.095 | 0.033 |
| Niño 3.4 SST | −0.107 | −0.026 | −0.076 | −0.134 |
Disclaimer/Publisher’s Note: The statements, opinions and data contained in all publications are solely those of the individual author(s) and contributor(s) and not of MDPI and/or the editor(s). MDPI and/or the editor(s) disclaim responsibility for any injury to people or property resulting from any ideas, methods, instructions or products referred to in the content. |
© 2024 by the authors. Licensee MDPI, Basel, Switzerland. This article is an open access article distributed under the terms and conditions of the Creative Commons Attribution (CC BY) license (https://creativecommons.org/licenses/by/4.0/).
Share and Cite
Xu, M.; Tan, Y.; Shi, C.; Xing, Y.; Shang, M.; Wu, J.; Yang, Y.; Du, J.; Bai, L. Spatiotemporal Patterns of Typhoon-Induced Extreme Precipitation in Hainan Island, China, 2000–2020, Using Satellite-Derived Precipitation Data. Atmosphere 2024, 15, 891. https://doi.org/10.3390/atmos15080891
Xu M, Tan Y, Shi C, Xing Y, Shang M, Wu J, Yang Y, Du J, Bai L. Spatiotemporal Patterns of Typhoon-Induced Extreme Precipitation in Hainan Island, China, 2000–2020, Using Satellite-Derived Precipitation Data. Atmosphere. 2024; 15(8):891. https://doi.org/10.3390/atmos15080891
Chicago/Turabian StyleXu, Mengyu, Yunxiang Tan, Chenxiao Shi, Yihang Xing, Ming Shang, Jing Wu, Yue Yang, Jianhua Du, and Lei Bai. 2024. "Spatiotemporal Patterns of Typhoon-Induced Extreme Precipitation in Hainan Island, China, 2000–2020, Using Satellite-Derived Precipitation Data" Atmosphere 15, no. 8: 891. https://doi.org/10.3390/atmos15080891
APA StyleXu, M., Tan, Y., Shi, C., Xing, Y., Shang, M., Wu, J., Yang, Y., Du, J., & Bai, L. (2024). Spatiotemporal Patterns of Typhoon-Induced Extreme Precipitation in Hainan Island, China, 2000–2020, Using Satellite-Derived Precipitation Data. Atmosphere, 15(8), 891. https://doi.org/10.3390/atmos15080891

