Protective Effects of Resveratrol on Cytotoxicity of Mouse Hepatic Stellate Cells Induced by PM2.5
Abstract
1. Introduction
2. Materials and Methods
2.1. PM2.5 Collection and Preparation
2.2. mHSC Culture
2.3. Assessment of Cytotoxicity
2.4. Experimental Grouping
2.5. Measurement of ROS, SOD, MDA, LDH and IL-1β Levels in the Cells
2.6. Western Blot
2.7. Statistical Analysis
3. Results
3.1. mHSC Viability Results Provide a Dosage Basis of PM2.5 and RES
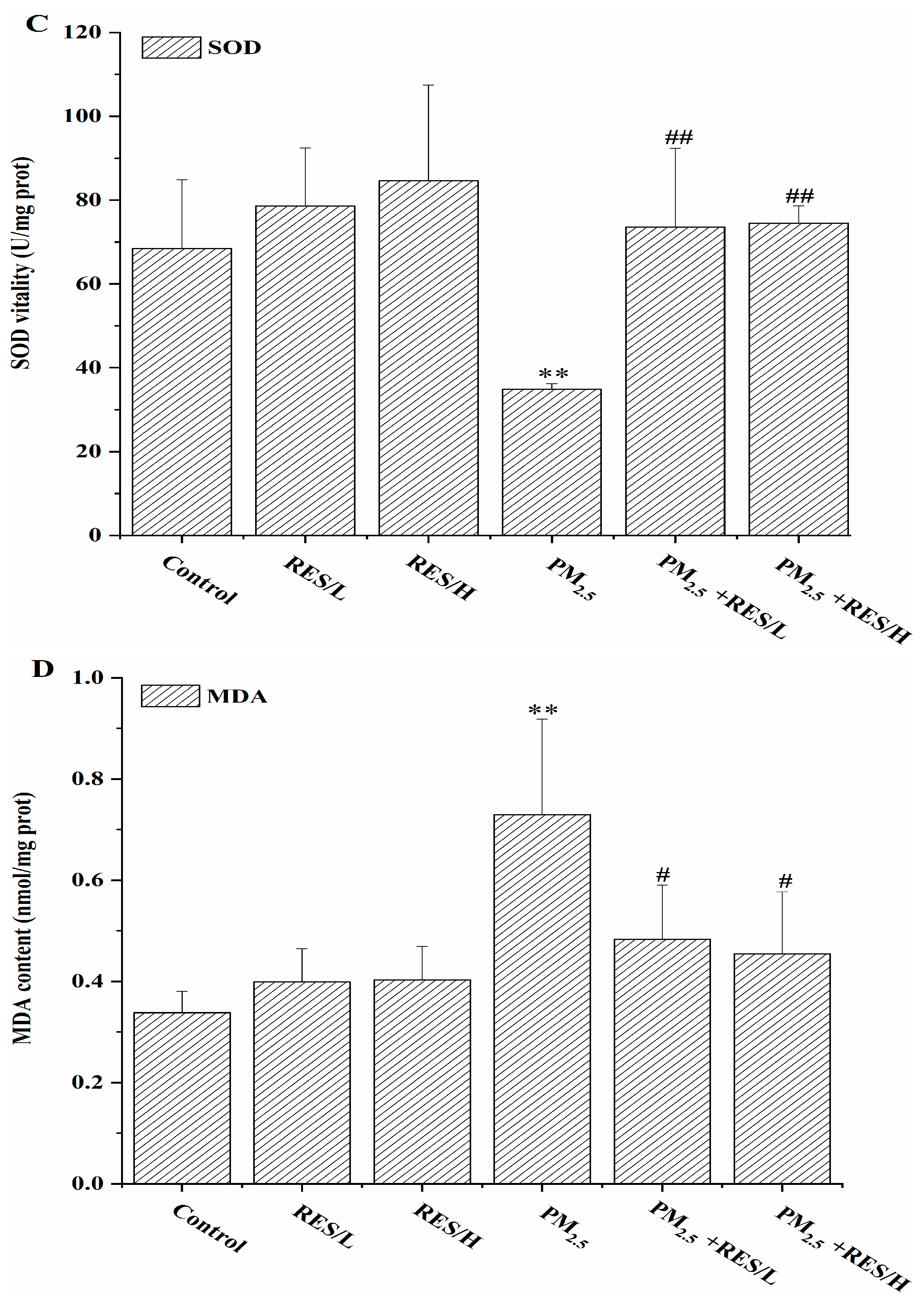
3.2. Effect of RES on Oxidative Stress and Cytotoxicity Induced by PM2.5
3.3. Effect of RES on PM2.5-Induced Fibrosis Biomarker Level Change in mHSCs
3.4. The Effects of RES Activate SIRT1 on PM2.5-Induced NF-κB/NLRP3 Pathway
4. Discussion
5. Conclusions
Supplementary Materials
Author Contributions
Funding
Institutional Review Board Statement
Informed Consent Statement
Data Availability Statement
Conflicts of Interest
References
- Krittanawong, C.; Qadeer, Y.K.; Hayes, R.B.; Wang, Z.; Virani, S.; Thurston, G.D.; Lavie, C.J. PM2.5 and cardiovascular health risks. Curr. Probl. Cardiol. 2023, 48, 101670. [Google Scholar] [CrossRef] [PubMed]
- Kim, R.E.; Shin, C.Y.; Han, S.H.; Kwon, K.J. Astaxanthin suppresses PM2.5-induced neuroinflammation by regulating Akt Phosphorylation in BV-2 Microglial cells. Int. J. Mol. Sci. 2020, 21, 7227. [Google Scholar] [CrossRef] [PubMed]
- Yang, Y.; Feng, Y.J.; Huang, H.; Cui, L.X.; Li, F.Q. PM2.5 exposure induces reproductive injury through IRE1/JNK/autophagy signaling in male rats. Ecotoxicol. Environ. Saf. 2021, 211, 111924. [Google Scholar] [CrossRef] [PubMed]
- Xu, M.X.; Ge, C.X.; Qin, Y.T.; Gu, T.T.; Lou, D.S.; Li, Q.; Hu, L.F.; Feng, J.; Huang, P.; Tan, J. Prolonged PM2.5 exposure elevates risk of oxidative stress-driven nonalcoholic fatty liver disease by triggering increase of dyslipidemia. Free Radic. Biol. Med. 2019, 130, 542–556. [Google Scholar] [CrossRef] [PubMed]
- Qiu, Y.N.; Wang, G.H.; Zhou, F.; Hao, J.J.; Tian, L.; Guan, L.F.; Geng, X.K.; Ding, Y.C.; Wu, H.W.; Zhang, K.Z. PM2.5 induces liver fibrosis via triggering ROS-mediated mitophagy. Ecotoxicol. Environ. Saf. 2019, 167, 178–187. [Google Scholar] [CrossRef] [PubMed]
- Ge, C.X.; Tan, J.; Zhong, S.Y.; Lai, L.L.; Chen, G.; Zhao, J.J.; Yi, C.; Wang, L.Y.; Zhou, L.W.; Tang, T.T.; et al. Nrf2 mitigates prolonged PM2.5 exposure-triggered liver inflammation by positively regulating SIKE activity: Protection by Juglanin. Redox Biol. 2020, 36, 101645. [Google Scholar] [CrossRef] [PubMed]
- Sui, J.; Xia, H.; Zhao, Q.; Sun, G.J.; Cai, Y.Y. Long-term exposure to fine particulate matter and the risk of chronic liver diseases: A Meta-Analysis of observational studies. Int. J. Environ. Res. Public Health 2022, 19, 10305. [Google Scholar] [CrossRef] [PubMed]
- Chen, J.X.; Wu, L.; Yang, G.; Zhang, C.; Liu, X.F.; Sun, X.; Chen, X.; Wang, N.N. The influence of PM2.5 exposure on non-alcoholic fatty liver disease. Life Sci. 2021, 270, 119135. [Google Scholar] [CrossRef] [PubMed]
- Sun, S.; Yang, Q.; Zhou, Q.; Cao, W.; Yu, S.; Zhan, S.; Sun, F. Long-term exposure to air pollution, habitual physical activity and risk of non-alcoholic fatty liver disease: A prospective cohort study. Ecotoxicol. Environ. Saf. 2022, 15, 113440. [Google Scholar] [CrossRef]
- Jian, T.Y.; Ding, X.Q.; Wu, Y.X.; Ren, B.R.; Li, W.L.; Lv, H.; Chen, J. Hepatoprotective effect of loquat leaf flavonoids in PM2.5-induced non-alcoholic fatty liver disease via regulation of IRs-1/Akt and CYP2E1/JNK Pathways. Int. J. Mol. Sci. 2018, 19, 3005. [Google Scholar] [CrossRef]
- Du, C.; Ren, Y.J.; Wang, Q.W.; Jin, L. Synthesis and Anti-tumor Activities of resveratrol Derivatives on Cervical Cancer HeLa Cells. Chin. J. Org. Chem. 2013, 33, 1279–1283. [Google Scholar] [CrossRef][Green Version]
- Udenigwe, C.C.; Ramprasath, V.R.; Aluko, R.E.; Jones, P.J.H. Potential of resveratrol in anticancer and anti-inflammatory therapy. Nutr. Rev. 2008, 66, 445–454. [Google Scholar] [CrossRef] [PubMed]
- Agrawal, M.; Kumar, V.; Singh, A.K.; Kashyap, M.P.; Khanna, V.K.; Siddiqui, M.A.; Pant, A.B. Trans-Resveratrol protects ischemic PC12 Cells by inhibiting the hypoxia associated transcription factors and increasing the levels of antioxidant defense enzymes. ACS Chem. Neurosci. 2013, 4, 285–294. [Google Scholar] [CrossRef] [PubMed]
- Yap, S.W.; Qin, C.X.; Woodman, O.L. Effects of resveratrol and flavonols on cardiovascular function: Physiological mechanisms. BioFactors 2010, 36, 350–359. [Google Scholar] [CrossRef]
- Bishayee, A.; Darvesh, A.S.; Politis, T.; McGory, R. Resveratrol and liver disease: From bench to bedside and community. Liver Int. 2010, 30, 1103–1114. [Google Scholar] [CrossRef]
- Vairappan, B.; Sundhar, M.; Srinivas, B.H. Resveratrol restores neuronal tight junction proteins through correction of ammonia and inflammation in CCl4-induced cirrhotic mice. Mol. Neurobiol. 2019, 56, 4718–4729. [Google Scholar] [CrossRef]
- Li, Y.; Xu, X.; Wang, L.; Li, X.; Liu, R.; Zhang, L.; Xu, Y. REDD1 (regulated in development and DNA damage-1)/autophagy inhibition ameliorates fine particulate matter (PM2.5) -induced inflammation and apoptosis in BEAS-2B cells. Bioengineered 2021, 12, 1403–1414. [Google Scholar] [CrossRef]
- Jin, X.T.; Su, R.J.; Li, R.J.; Song, L.; Chen, M.L.; Cheng, L.; Li, Z.Y. Amelioration of particulate matter-induced oxidative damage by vitamin c and quercetin in human bronchial epithelial cells. Chemosphere 2016, 144, 459–466. [Google Scholar] [CrossRef] [PubMed]
- Wang, Y.; Zhang, M.; Li, Z.P.; Yue, J.W.; Xu, M.; Zhang, Y.H.; Yung, K.K.L.; Li, R.J. Fine particulate matter induces mitochondrial dysfunction and oxidative stress in human SH-SY5Y cells. Chemosphere 2019, 218, 577–588. [Google Scholar] [CrossRef]
- He, Y.G.; Zhang, Y.D.; Zhang, G.B.; Li, L.; He, Y.F.; Xi, J.K.; Zheng, H. Role of zinc in resveratrol-induced mitochondrial cardioprotection. Chin. J. New Drugs 2016, 25, 928–932+948. [Google Scholar]
- Jeong, S.; Park, S.A.; Park, I.; Kim, P.; Cho, N.H.; Hyun, J.W.; Hyun, Y.M. PM2.5 exposure in the respiratory system induces distinct inflammatory signaling in the lung and the liver of mice. J. Immunol. Res. 2019, 2019, 3486841. [Google Scholar] [CrossRef] [PubMed]
- Wang, S.H.; Chen, J.J.; Mo, W.B. Effects of dendrobium officinale flavonoid on oxidative stress and autophagy in the liver of an exhaustive exercise rat model. Chin. J. Tissue Eng. Res. 2022, 26, 3212–3219. [Google Scholar]
- Ma, W.W.; Zhang, S.S.; Li, Y.; Chen, T.S.; Yang, Q.; Feng, X. Adiponectin alleviates non-alcoholic fatty liver injury via regulating oxidative stress in liver cells. Minerva Med. 2022, 113, 990–999. [Google Scholar] [CrossRef] [PubMed]
- Zhou, Z.P.; Qin, L.; Nong, R.N.; Liu, D.H.; Wang, J.J.; Chen, Y.; Wang, X.Y. Effects of Isodon ternifolia on NLRP3/Caspase-1/GSDMD Signaling Pathway in rats with hepatic fibrosis induced by CCl4. Pharmacol. Clin. Chin. Mater. Med. 2021, 37, 96–101. [Google Scholar]
- Xin, S.; Qu, J.; Xu, N.; Xu, B. PM2.5 inhalation aggravates inflammation, oxidative stress, and apoptosis in nonalcoholic fatty liver disease. Environ. Dis. 2019, 4, 62–68. [Google Scholar]
- Yao, Q.C.; Wu, Q.C.; Xu, X.Y.; Xing, Y.X.; Liang, J.; Lin, Q.Q.; Huang, M.Q.; Chen, Y.L.; Lin, B.; Chen, W.F. Resveratrol ameliorates systemic sclerosis via suppression of fibrosis and inflammation through activation of SIRT1/mTOR signaling. Drug Des. Dev. Ther. 2020, 14, 5337–5348. [Google Scholar] [CrossRef]
- Xia, N.; Daiber, A.; Förstermann, U.; Li, H. Antioxidant effects of resveratrol in the cardiovascular system. Br. J. Pharmacol. 2017, 174, 1633–1646. [Google Scholar] [CrossRef]
- Ahmad, A.; Ahmad, R. Resveratrol mitigate structural changes and hepatic stellate cell activation in N’-nitrosodimethylamine-induced liver fibrosis via restraining oxidative damage. Chem. Biol. Interact. 2014, 221, 1–12. [Google Scholar] [CrossRef]
- Bujanda, L.; Hijona, E.; Larzabal, M.; Beraza, M.; Aldazabal, P.; García-Urkia, N.; Sarasqueta, C.; Cosme, A.; Irastorza, B.; González, A.; et al. Resveratrol inhibits nonalcoholic fatty liver disease in rats. BMC Gastroenterol. 2008, 8, 40. [Google Scholar] [CrossRef]
- Li, R.; Li, J.; Huang, Y.; Li, H.; Yan, S.; Lin, J.; Chen, Y.; Wu, L.; Liu, B.; Wang, G.; et al. Polydatin attenuates diet-induced nonalcoholic steatohepatitis and fibrosis in mice. Int. J. Biol. Sci. 2018, 14, 1411–1425. [Google Scholar] [CrossRef]
- Campana, L.; Iredale, J.P. Regression of Liver Fibrosis. Semin. Liver Dis. 2017, 37, 1–10. [Google Scholar] [PubMed]
- Lin, L.; Zhou, F.; Shen, S.; Zhang, T. Fighting liver fibrosis with naturally occurring antioxidants. Planta Med. 2018, 84, 1318–1333. [Google Scholar] [CrossRef]
- Higashi, T.; Friedman, S.L.; Hoshida, Y.J. Hepatic stellate cells as key target in liver fibrosis. Adv. Drug Deliv. 2017, 121, 27–42. [Google Scholar] [CrossRef] [PubMed]
- Zhang, J.; Liu, Y.; Chen, H.; Yuan, Q.; Wang, J.; Niu, M.; Hou, L.; Gu, J.; Zhang, J. MyD88 in hepatic stellate cells enhances liver fibrosis via promoting macrophage M1 polarization. Cell Death Dis. 2022, 13, 411. [Google Scholar] [CrossRef] [PubMed]
- Cao, R.; Cao, C.; Hu, X.; Du, K.; Zhang, J.; Li, M.; Li, B.; Lin, H.; Zhang, A.; Li, Y.; et al. Kaempferol attenuates carbon tetrachloride (CCl4)-induced hepatic fibrosis by promoting ASIC1a degradation and suppression of the ASIC1a-mediated ERS. Phytomedicine 2023, 121, 155125. [Google Scholar] [CrossRef] [PubMed]
- Sun, Y.; Liu, B.; Xie, J.; Jiang, X.; Xiao, B.; Hu, X.; Xiang, J. Aspirin attenuates liver fibrosis by suppressing TGF-β1/Smad signaling. Mol. Med. Rep. 2022, 25, 181. [Google Scholar] [CrossRef]
- Attallah, A.M.; Mosa, T.E.; Omran, M.M.; Abo-Zeid, M.M.; El-Dosoky, I.; Shaker, Y.M. Immunodetection of collagen types I, II, III, and IV for differentiation of liver fibrosis stages in patients with chronic HCV. J. Immunoass. Immunochem. 2007, 28, 155–168. [Google Scholar] [CrossRef] [PubMed]
- Kendall, R.T.; Feghali-Bostwick, C.A. Fibroblasts in fibrosis: Novel roles and mediators. Front. Pharmacol. 2014, 5, 91491. [Google Scholar] [CrossRef]
- Abdu, S.B.; Al-Bogami, F.M. Influence of resveratrol on liver fibrosis induced by dimethylnitrosamine in male rats. Saudi J. Biol. Sci. 2019, 26, 201–209. [Google Scholar] [CrossRef]
- Mangan, M.S.J.; Olhava, E.J.; Roush, W.R.; Seidel, H.M.; Glick, G.D.; Latz, E. Targeting the NLRP3 inflammasome in inflammatory diseases. Nat. Rev. Drug Discov. 2018, 17, 588–606. [Google Scholar] [CrossRef]
- Wu, X.Q.; Dong, L.; Lin, X.H.; Li, J. Relevance of the NLRP3 inflammasome in the pathogenesis of chronic liver disease. Front. Immunol. 2017, 8, 1728. [Google Scholar] [CrossRef] [PubMed]
- Ouyang, X.; Ghani, A.; Mehal, W.Z. Inflammasome biology in fibrogenesis. Biochim. Biophys. Acta Mol. Basis Dis. 2013, 1832, 979–988. [Google Scholar] [CrossRef] [PubMed]
- Liu, M.H.; Wang, Z.H.; Liu, X.; Xiao, H.; Liu, Y.C.; Wang, J.Q.; Chen, C.L.; Wang, X.; Liu, W.; Xiang, Z. Therapeutic effect of Yiyi Fuzi Baijiang formula on TNBS-induced ulcerative colitis via metabolism and Th17/Treg cell balance. J. Ethnopharmacol. 2023, 309, 116301. [Google Scholar] [CrossRef] [PubMed]
- Long, D.; Wei, W. Role of NLRP3/Caspase-1/IL-1β signaling pathway in liver fibrosis. Chin. Arch. Tradit. Chin. Med. 2022, 40, 75–79. [Google Scholar]
- Rai, R.C.; Bagul, P.K.; Banerjee, S.K. NLRP3 inflammasome drives inflammation in high fructose fed diabetic rat liver: Effect of resveratrol and metformin. Life Sci. 2020, 253, 117727. [Google Scholar] [CrossRef] [PubMed]
- Li, F. Resveratrol Regulates NLRP3 Inflammasome and Its Role in Liver Fibrosis Mice. Master’s Thesis, Guilin Medical University, Guilin, China, 2021. [Google Scholar]
- Wang, W.; Hu, C.G.; Liang, W.L. Study on Inhibitory Effect of Danggui Shaoyao San combined with TLR4 inhibitor on rat liver fibrosis and regulation of NF-κB/NLRP3 pathway. World Sci. Technol. Mod. Tradit. Chin. Med. Mater. Med. 2023, 25, 1147–1154. [Google Scholar]
- Scheiblich, H.; Schlütter, A.; Golenbock, D.T.; Latz, E.; Martinez-Martinez, P.; Heneka, M.T. Activation of the NLRP3 inflammasome in microglia: The role of ceramide. J. Neurochem. 2017, 143, 534–550. [Google Scholar] [CrossRef]
- Huo, S.M.; Li, B.; Du, J.Y.; Zhang, X.L.; Zhang, J.; Wang, Q.; Song, M.; Li, Y. Dibutyl phthalate induces liver fibrosis via p38MAPK/NF-κB/NLRP3-mediated pyroptosis. Sci. Total Environ. 2023, 897, 165500. [Google Scholar] [CrossRef] [PubMed]
- Shi, Y.; Yan, X.; Zhu, L.; Lin, M.; Lyu, D.; Liao, J.; Chen, F. Mechanic study of Qushi Kaiyu decoction on non-alcoholic fatty liver disease model rats based on the inhibition of TLR4/NF-ĸB pathway. TMR Integr. Med. 2023, 7, e23019. [Google Scholar] [CrossRef]
- Izzo, C.; Annunziata, M.; Melara, G.; Sciorio, R.; Dallio, M.; Masarone, M.; Federico, A.; Persico, M. The Role of resveratrol in liver disease: A comprehensive review from in vitro to clinical trials. Nutrients 2021, 13, 933. [Google Scholar] [CrossRef]
- Zhang, J.F.; Zhang, Y.L.; Wu, Y.C. The role of sirt1 in ischemic stroke: Pathogenesis and therapeutic strategies. Front. Neurosci. 2018, 12, 833. [Google Scholar] [CrossRef] [PubMed]
- Li, C.; Gao, J.; Wan, X.Y.; Yi, C.; Xu, C.F.; Feng, Z.M.; Zeng, H.; Lin, Y.M.; Ma, H.; Xu, P.; et al. Allyl isothiocyanate ameliorates lipid accumulation and inflammation in nonalcoholic fatty liver disease via the Sirt1/AMPK and NF-κB signaling pathways. World J. Gastroenterol. 2019, 25, 5120–5133. [Google Scholar] [CrossRef] [PubMed]
- Peng, Z.Y.; Zhang, W.X.; Qiao, J.F.; He, B.M. Melatonin attenuates airway inflammation via SIRT1 dependent inhibition of NLRP3 inflammasome and IL-1β in rats with COPD. Int. Immunopharmacol. 2018, 62, 23–28. [Google Scholar] [CrossRef]
- Nadtochiy, S.M.; Yao, H.W.; McBurney, M.W.; Gu, W.; Guarente, L.; Rahman, I.; Brookes, P.S. SIRT1-mediated acute cardioprotection. Am. J. Physiol.-Heart Circ. Physiol. 2011, 301, H1506. [Google Scholar] [CrossRef]
- Meng, X.; Zhou, J.; Zhao, C.N.; Gan, R.Y.; Li, H.B. Health benefits and molecular mechanisms of resveratrol: A narrative review. Foods 2020, 9, 340. [Google Scholar] [CrossRef] [PubMed]
- Rawat, D.; Chhonker, S.K.; Naik, R.A.; Koiri, R.K. Modulation of antioxidant enzymes, SIRT1 and NF-κB by resveratrol and nicotinamide in alcohol-aflatoxin B1-induced hepatocellular carcinoma. J. Biochem. Mol. Toxicol. 2021, 35, e22625. [Google Scholar] [CrossRef] [PubMed]
- Yan, Y.D.; Jiang, H.X.; Luo, W.; Hu, B.L.; Yu, B.; Li, F.; Fu, Y.J. Resveratrol can improve liver fibrosis by inhibiting the NF-κB pathway in liver macrophages. Chin. J. Gastroenterol. Hepatol. 2020, 29, 576–580. [Google Scholar]
- Shu, X.H. Resveratrol and its bioavailability. J. Dalian Med. Univ. 2018, 40, 193–197. [Google Scholar]






Disclaimer/Publisher’s Note: The statements, opinions and data contained in all publications are solely those of the individual author(s) and contributor(s) and not of MDPI and/or the editor(s). MDPI and/or the editor(s) disclaim responsibility for any injury to people or property resulting from any ideas, methods, instructions or products referred to in the content. |
© 2024 by the authors. Licensee MDPI, Basel, Switzerland. This article is an open access article distributed under the terms and conditions of the Creative Commons Attribution (CC BY) license (https://creativecommons.org/licenses/by/4.0/).
Share and Cite
Zhang, M.; Chen, S.; Bai, L.; Chen, W.; Li, R. Protective Effects of Resveratrol on Cytotoxicity of Mouse Hepatic Stellate Cells Induced by PM2.5. Atmosphere 2024, 15, 588. https://doi.org/10.3390/atmos15050588
Zhang M, Chen S, Bai L, Chen W, Li R. Protective Effects of Resveratrol on Cytotoxicity of Mouse Hepatic Stellate Cells Induced by PM2.5. Atmosphere. 2024; 15(5):588. https://doi.org/10.3390/atmos15050588
Chicago/Turabian StyleZhang, Mei, Shanshan Chen, Lirong Bai, Wenqi Chen, and Ruijin Li. 2024. "Protective Effects of Resveratrol on Cytotoxicity of Mouse Hepatic Stellate Cells Induced by PM2.5" Atmosphere 15, no. 5: 588. https://doi.org/10.3390/atmos15050588
APA StyleZhang, M., Chen, S., Bai, L., Chen, W., & Li, R. (2024). Protective Effects of Resveratrol on Cytotoxicity of Mouse Hepatic Stellate Cells Induced by PM2.5. Atmosphere, 15(5), 588. https://doi.org/10.3390/atmos15050588

