Planetary Boundary Layer Flow over Complex Terrain during a Cold Surge Event: A Case Study
Abstract
1. Introduction
2. Materials and Methods
2.1. Data
2.2. Model
2.3. Evaluation
2.4. Froude Number
3. Results and Discussion
3.1. General Meteorological Conditions on 23 January 2018
3.2. Near-Surface Air Temperature and Wind
3.3. Vertical Structure
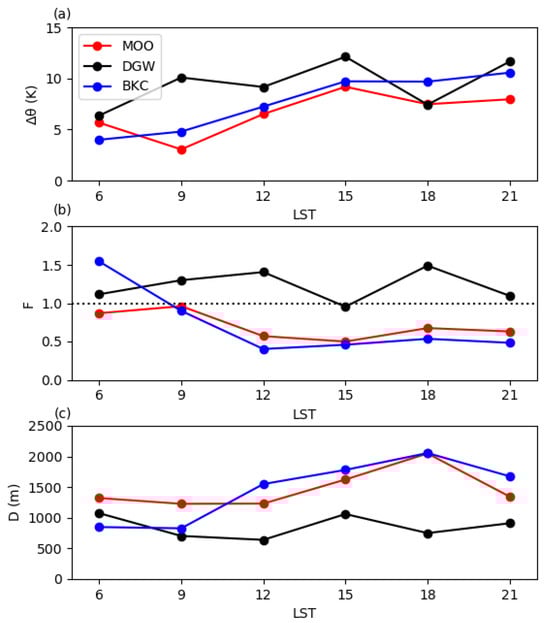
3.4. Application of the Reduced Gravity Shallow Water (RGSW) Theory
4. Summary and Conclusions
Author Contributions
Funding
Institutional Review Board Statement
Informed Consent Statement
Data Availability Statement
Acknowledgments
Conflicts of Interest
References
- Grisogono, B.; Belušić, D. A Review of Recent Advances in Understanding the Meso- and Microscale Properties of the Severe Bora Wind. Tellus A 2009, 61, 1–16. [Google Scholar] [CrossRef]
- Rotunno, R.; Bryan, G.H. Numerical Simulations of Two-Layer Flow Past Topography. Part I: The Leeside Hydraulic Jump. J. Atmos. Sci. 2018, 75, 1231–1241. [Google Scholar] [CrossRef]
- Smith, R.B. 100 Years of Progress on Mountain Meteorology Research. Meteorol. Monogr. 2019, 59, 20.1–20.73. [Google Scholar] [CrossRef]
- Cheng, F.Y.; Wang, Y.T.; Huang, M.Q.; Lin, P.L.; Lin, C.H.; Lin, P.H.; Wang, S.H.; Tsuang, B.J. Boundary Layer Characteristics Over Complex Terrain in Central Taiwan: Observations and Numerical Modeling. J. Geophys. Res. Atmos. 2022, 127, e2021JD035726. [Google Scholar] [CrossRef]
- Stull, R.B. An Introduction to Boundary Layer Meteorology; Kluwer: Alphen aan den Rijn, The Netherlands, 1988; p. 670. [Google Scholar]
- Long, R.R. Some aspects of the flow of stratified fluids: II. Experiments with a two-fluid system. Tellus 1954, 6, 97–115. [Google Scholar] [CrossRef]
- Pettre, P. On the problem of violent valley winds. J. Atmos. Sci. 1982, 39, 542–554. [Google Scholar] [CrossRef][Green Version]
- Drobinski, P.; Flamant, C.; Dusek, J.; Flamant, P.H.; Pelon, J. Observational Evidence and Modelling of an Internal Hydraulic Jump at the Atmospheric Boundary-Layer Top During a Tramontane Event. Bound. Layer Meteorol. 2001, 98, 497–515. [Google Scholar] [CrossRef]
- Flamant, C.; Drobinski, P.; Nance, L.; Banta, R.; Darby, L.; Dusek, J.; Hardesty, M.; Pelon, J.; Richard, E. Gap Flow in an Alpine Valley during a Shallow South Föhn Event: Observations, Numerical Simulations and Hydraulic Analogue. Q. J. R. Meteorol. Soc. 2002, 128, 1173–1210. [Google Scholar] [CrossRef]
- Thompson, D.W.; Wallace, J.M. The Arctic Oscillation Signature in the Wintertime Geopotential Height and Temperature Fields. Geophys. Res. Lett. 1998, 25, 1297–1300. [Google Scholar] [CrossRef]
- Jeong, J.H.; Ho, C.H. Changes in Occurrence of Cold Surges over East Asia in Association with Arctic Oscillation: Cold Surges and Ao Over East Asia. Geophys. Res. Lett. 2005, 32, L14704. [Google Scholar] [CrossRef]
- Chen, T.C.; Huang, W.R.; Yoon, J.H. Interannual Variation of the East Asian Cold Surge Activity. J. Clim. 2004, 17, 401–413. [Google Scholar] [CrossRef]
- Lu, F.C.; Juang, H.M.H.; Liao, C.C. A Numerical Case Study of the Passage of a Cold Surge across Taiwan. Meteorol. Atmos. Phys. 2007, 95, 27–52. [Google Scholar] [CrossRef]
- Gehring, J.; Oertel, A.; Vignon, É.; Jullien, N.; Besic, N.; Berne, A. Microphysics and Dynamics of Snowfall Associated with a Warm Conveyor Belt over Korea. Atmos. Chem. Phys. 2020, 20, 7373–7392. [Google Scholar] [CrossRef]
- Kim, K.; Bang, W.; Chang, E.C.; Tapiador, F.J.; Tsai, C.L.; Jung, E.; Lee, G. Impact of Wind Pattern and Complex Topography on Snow Microphysics during International Collaborative Experiment for PyeongChang 2018 Olympic and Paralympic Winter Games (ICE-POP 2018). Atmos. Chem. Phys. 2021, 21, 11955–11978. [Google Scholar] [CrossRef]
- Jang, W.; Chun, H.Y. A Numerical Study on Severe Downslope Windstorms Occurred on 5 April 2005 at Gangneung and Yangyang, Korea. Asia Pac. J. Atmos. Sci. 2010, 46, 155–172. [Google Scholar] [CrossRef]
- Lee, J.; Seo, J.M.; Baik, J.J.; Park, S.B.; Han, B.S. A Numerical Study of Windstorms in the Lee of the Taebaek Mountains, South Korea: Characteristics and Generation Mechanisms. Atmosphere 2020, 11, 431. [Google Scholar] [CrossRef]
- Shin, Y.; Kim, J.H.; Chun, H.Y.; Jang, W.; Son, S.W. Classification of Synoptic Patterns with Mesoscale Mechanisms for Downslope Windstorms in Korea Using a Self-Organizing Map. J. Geophys. Res. Atmos. 2022, 127, e2021JD035867. [Google Scholar] [CrossRef]
- Skamarock, W.C.; Klemp, J.B.; Dudhia, J.; Gill, D.O.; Barker, D.M.; Duda, M.G.; Huang, X.Y.; Wang, W.; Powers, J.G. A description of the advanced Research WRF version 3; NCAR/TN-475+STR Technical Note; NCAR: Boulder, CO, USA, 2008. [Google Scholar]
- Shin, H.H.; Hong, S.Y. Representation of the subgrid-scale turbulent transport in convective boundary layers at gray-zone resolutions. Mon. Weather Rev. 2015, 143, 250–271. [Google Scholar] [CrossRef]
- Mitchell, K. The Community Noah Land-Surface Model (LSM). 2005. Available online: https://ftp.emc.ncep.noaa.gov/mmb/gcp/ldas/noahlsm/ver_2.7.1/ (accessed on 24 February 2023).
- Mlawer, E.J.; Taubman, S.J.; Brown, P.D.; Jacono, M.J.; Clough, S.A. Radiative transfer for inhomogeneous atmosphere: RRTM, a validated correlated k-model for the long-wave. J. Geophys. Res. 1997, 102, 16663–166682. [Google Scholar] [CrossRef]
- Dudhia, J. Numerical study of convection observed during the Winter Monsoon Experiment using a mesoscale two–dimensional model. J. Atmos. Sci. 1989, 46, 3077–3107. [Google Scholar] [CrossRef]
- Hersbach, H.; Bell, B.; Berrisford, P.; Hirahara, S.; Horányi, A.; Muñoz-Sabater, J.; Nicolas, J.; Peubey, C.; Radu, R.; Schepers, D.; et al. The ERA5 Global Reanalysis. Q. J. R. Meteorol. Soc. 2020, 146, 1999–2049. [Google Scholar] [CrossRef]
- Park, J.Y.; Suh, M.S. Improvement of MODIS land cover classification over the Asia-Oceania region. Korean J. Remote Sens. 2015, 31, 51–64. [Google Scholar] [CrossRef][Green Version]
- Reuter, H.I.; Nelson, A.; Jarvis, A. An evaluation of void filling interpolation methods for SRTM data. Int. J. Geogr. Inf. Sci. 2007, 21, 983–1008. [Google Scholar] [CrossRef]
- Willmott, C.J.; Ackleson, S.G.; Davis, R.E.; Feddema, J.J.; Klink, K.M.; Legates, D.R.; O’Donnell, J.; Rowe, C.M. Statistics for the Evaluation and Comparison of Models. J. Geophys. Res. Ocean. 1985, 90, 8995–9005. [Google Scholar] [CrossRef]
- Whiteman, C.D. Mountain Meteorology, Fundamentals and Application; Oxford University Press: Oxford, UK, 2000; p. 355. [Google Scholar]
- Baines, P.G. Topographic Effects in Stratified Flows; Cambridge University Press: Cambridge, UK, 1995; p. 482. [Google Scholar]
- Vosper, S.B. Inversion Effects on Mountain Lee Waves. Q. J. R. Meteorol. Soc. 2004, 130, 1723–1748. [Google Scholar] [CrossRef]
- Doyle, J.D.; Durran, D.R. The dynamics of Mountain-wave-induced rotors. J. Atmos. Sci. 2002, 59, 186–201. [Google Scholar] [CrossRef]










| Measured Variable | Sensor Type | Resolution | Absolute Accuracy |
|---|---|---|---|
| Temperature | Thermistor | 0.01 °C | 0.3 °C |
| Humidity | Capacitor | 0.1% | 3% |
| Pressure | Calculated from GPS | 0.1 hPa | 1 hPa at surface |
| Windspeed | Calculated from GPS | 0.01 m s−1 | 0.15 m s−1 |
| Wind direction | Calculated from GPS | 0.1° | 1.0° |
| Station | Variable | MBE | RMSE | IOA |
|---|---|---|---|---|
| DGW | T at 2 m (K) | −0.34 | 0.95 | 0.99 |
| WS at 10 m (m s−1) | 3.27 | 4.01 | 0.45 | |
| BGN | T at 2 m (K) | −0.39 | 1.64 | 0.94 |
| WS at 10 m (m s−1) | 3.18 | 4.39 | 0.35 |
| Station | Time | n | Virtual Potential Temperature (K) | Wind Speed (m s−1) | Wind Vector | |||||
|---|---|---|---|---|---|---|---|---|---|---|
| MBE | RMSE | IOA | MBE | RMSE | IOA | RMSE | IOA | |||
| BKC | 06 | 20 | −1.26 | 1.59 | 0.95 | 2.15 | 3.58 | 0.92 | 5.70 | 0.86 |
| 09 | 20 | −0.96 | 1.43 | 0.92 | −0.22 | 3.86 | 0.92 | 6.24 | 0.85 | |
| 12 | 20 | −0.44 | 1.35 | 0.94 | 5.87 | 7.14 | 0.69 | 8.48 | 0.63 | |
| 15 | 20 | −1.53 | 2.12 | 0.86 | −1.27 | 7.42 | 0.66 | 8.18 | 0.68 | |
| 18 | 20 | 0.09 | 2.82 | 0.78 | 3.06 | 4.85 | 0.93 | 6.05 | 0.91 | |
| 21 | 20 | −0.49 | 1.43 | 0.95 | −3.00 | 5.11 | 0.87 | 7.46 | 0.83 | |
| DGW | 06 | 20 | −2.73 | 2.83 | 0.84 | 1.80 | 2.71 | 0.97 | 5.74 | 0.89 |
| 09 | 20 | −1.12 | 1.72 | 0.97 | 1.25 | 2.52 | 0.95 | 5.71 | 0.88 | |
| 12 | 20 | −1.06 | 1.34 | 0.98 | 1.93 | 2.63 | 0.88 | 3.76 | 0.93 | |
| 15 | 20 | −1.58 | 2.42 | 0.93 | 5.07 | 5.43 | 0.73 | 7.00 | 0.76 | |
| 18 | 20 | −1.50 | 2.05 | 0.95 | 2.89 | 3.92 | 0.91 | 5.29 | 0.89 | |
| 21 | 20 | −0.48 | 1.36 | 0.99 | 5.56 | 6.08 | 0.78 | 6.67 | 0.84 | |
| MOO | 06 | 20 | −2.58 | 2.99 | 0.82 | 3.20 | 4.18 | 0.91 | 5.96 | 0.84 |
| 09 | 20 | −1.78 | 2.02 | 0.90 | 0.79 | 2.01 | 0.98 | 5.23 | 0.88 | |
| 12 | 20 | −1.32 | 1.70 | 0.94 | 3.40 | 4.55 | 0.85 | 7.87 | 0.76 | |
| 15 | 20 | −1.98 | 2.14 | 0.88 | 4.37 | 5.28 | 0.89 | 6.62 | 0.83 | |
| 18 | 20 | −1.12 | 2.17 | 0.86 | 4.55 | 5.37 | 0.89 | 6.52 | 0.86 | |
| 21 | 20 | −1.68 | 1.91 | 0.94 | 0.24 | 1.95 | 0.99 | 3.06 | 0.97 | |
Disclaimer/Publisher’s Note: The statements, opinions and data contained in all publications are solely those of the individual author(s) and contributor(s) and not of MDPI and/or the editor(s). MDPI and/or the editor(s) disclaim responsibility for any injury to people or property resulting from any ideas, methods, instructions or products referred to in the content. |
© 2024 by the authors. Licensee MDPI, Basel, Switzerland. This article is an open access article distributed under the terms and conditions of the Creative Commons Attribution (CC BY) license (https://creativecommons.org/licenses/by/4.0/).
Share and Cite
Lee, Y.-H.; Lim, H.-J.; Lee, G. Planetary Boundary Layer Flow over Complex Terrain during a Cold Surge Event: A Case Study. Atmosphere 2024, 15, 153. https://doi.org/10.3390/atmos15020153
Lee Y-H, Lim H-J, Lee G. Planetary Boundary Layer Flow over Complex Terrain during a Cold Surge Event: A Case Study. Atmosphere. 2024; 15(2):153. https://doi.org/10.3390/atmos15020153
Chicago/Turabian StyleLee, Young-Hee, Hee-Jeong Lim, and Gyuwon Lee. 2024. "Planetary Boundary Layer Flow over Complex Terrain during a Cold Surge Event: A Case Study" Atmosphere 15, no. 2: 153. https://doi.org/10.3390/atmos15020153
APA StyleLee, Y.-H., Lim, H.-J., & Lee, G. (2024). Planetary Boundary Layer Flow over Complex Terrain during a Cold Surge Event: A Case Study. Atmosphere, 15(2), 153. https://doi.org/10.3390/atmos15020153

