Sensitivity of Vegetation Productivity to Extreme Droughts across the Yunnan Plateau, China
Abstract
1. Introduction
2. Materials and Methods
2.1. Study Area
2.2. Data
2.3. Methods
2.3.1. Identification of Extreme Drought Disasters
2.3.2. CASA Model for Estimating NPP in Yunnan Plateau
2.3.3. The Lagged Response of Vegetation to Extreme Drought
2.3.4. The Resistance of Vegetation to Extreme Drought
2.3.5. The Recovery Ability of Vegetation after Extreme Drought
3. Results
3.1. Spatial-Temporal Distribution of Drought Disasters and NPP in Yunnan Plateau
3.2. Lag Effects of Vegetation on Extreme Drought
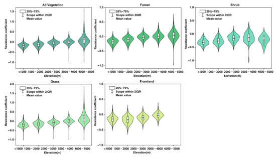
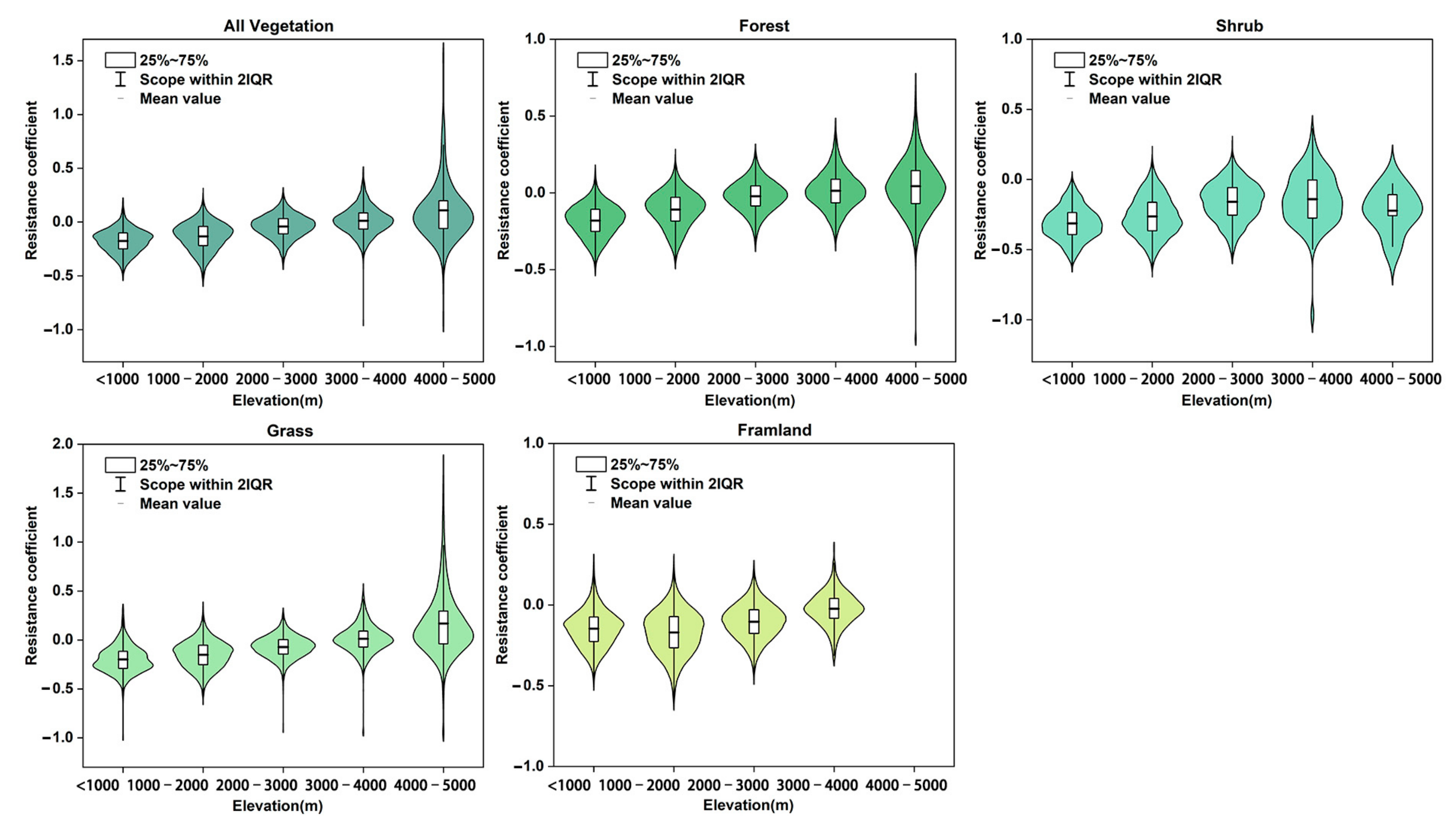
3.3. Resistance of Vegetation to Extreme Drought
3.4. Vegetation’s Recovery Ability from Extreme Drought
4. Discussion
4.1. The Manifestations of Vegetation in Response to Extreme Drought
4.2. The Impact of Elevation on Vegetation during Extreme Drought Events
4.3. Limitations and Prospects
5. Conclusions
Author Contributions
Funding
Institutional Review Board Statement
Informed Consent Statement
Data Availability Statement
Acknowledgments
Conflicts of Interest
References
- Huang, J.; Ji, M.; Xie, Y.; Wang, H.; He, Y.; Ran, J. Global semi-arid climate change over last 60 years. Clim. Dyn. 2016, 46, 1131–1150. [Google Scholar] [CrossRef]
 - Ciais, P.; Reichstein, M.; Viovy, N.; Granier, A.; Ogée, J.; Allard, V.; Aubinet, M.; Buchmann, N.; Bernhofer, C.; Carrara, A.; et al. Europe-wide reduction in primary productivity caused by the heat and drought in 2003. Nature 2005, 437, 529–533. [Google Scholar] [CrossRef]
 - Craine, J.M.; Nippert, J.B.; Elmore, A.J.; Skibbe, A.M.; Hutchinson, S.L.; Brunsell, N.A. Timing of climate variability and grass-land productivity. Proc. Natl. Acad. Sci. USA 2012, 109, 3401–3405. [Google Scholar] [CrossRef]
 - Zhang, F.; Quan, Q.; Ma, F.; Tian, D.; Hoover, D.; Zhou, Q.; Niu, S. When does extreme drought elicit extreme ecological responses? J. Ecol. 2019, 107, 2553–2563. [Google Scholar] [CrossRef]
 - Schwalm, C.R.; Anderegg, W.R.L.; Michalak, A.M.; Fisher, J.B.; Biondi, F.; Koch, G.; Litvak, M.; Ogle, K.; Shaw, J.D.; Wolf, A.; et al. Global patterns of drought recovery. Nature 2017, 548, 202–205. [Google Scholar] [CrossRef]
 - Piao, S.; Zhang, X.; Chen, A.; Liu, Q.; Lian, X.; Wang, X.; Peng, S.; Wu, X. Effects of extreme climatic events on the carbon cycle of terrestrial ecosystems. Sci. Sin. Terrae 2019, 49, 1321–1334. [Google Scholar]
 - Field, C.B.; Behrenfeld, M.J.; Randerson, J.T.; Falkowski, P. Primary production of the biosphere: Integrating terrestrial and oceanic components. Science 1998, 281, 237–240. [Google Scholar] [CrossRef] [PubMed]
 - Halbac-Cotoara-Zamfir, R.; Smiraglia, D.; Quaranta, G.; Salvia, R.; Salvati, L.; Giménez-Morera, A. Land Degradation and Mitigation Policies in the Mediterranean Region: A Brief Commentary. Sustainability 2020, 12, 8313. [Google Scholar] [CrossRef]
 - Wang, X.; Wang, T.; Xu, J.; Shen, Z.; Yang, Y.; Chen, A.; Piao, S. Enhanced habitat loss of the Himalayan endemic flora driven by warming-forced upslope tree expansion. Nat. Ecol. Evol. 2022, 6, 890–899. [Google Scholar] [CrossRef]
 - Liu, X.; Guo, R.; Xu, X.; Shi, Q.; Li, X.; Yu, H.; Ren, Y.; Huang, J. Future increase in aridity drives abrupt biodiversity loss among terrestrial vertebrate species. Earth’s Future 2023, 11, e2022EF003162. [Google Scholar] [CrossRef]
 - Li, J.; Wang, Z.; Wu, X.; Zscheischler, J.; Guo, S.; Chen, X. A standardized index for assessing sub-monthly compound dry and hot conditions with application in China. Hydrol. Earth Syst. Sci. 2021, 25, 1587–1601. [Google Scholar] [CrossRef]
 - Mohammed, S.; Alsafadi, K.; Enaruvbe, G.O.; Bashir, B.A.E.; Széles, A.; Alsalman, A.; Harsanyi, E. Assessing the impacts of agricultural drought (SPI/SPEI) on maize and wheat yields across Hungary. Sci. Rep. 2020, 12, 8838. [Google Scholar] [CrossRef]
 - Zhao, M.; Running, S.W. Drought-induced reduction in global terrestrial net primary production from 2000 through 2009. Science 2010, 329, 940–943. [Google Scholar] [CrossRef]
 - Mustafa Alee, M.; Danandeh Mehr, A.; Akdegirmen, O.; Nourani, V. Drought Assessment across Erbil Using Satellite Products. Sustainability 2023, 15, 6687. [Google Scholar] [CrossRef]
 - Fu, Y.H.; Zhao, H.; Piao, S.; Peaucelle, M.; Peng, S.; Zhou, G.; Ciais, P.; Huang, M.; Menzel, A.; Peñuelas, J.; et al. Declining global warming effects on the phenology of spring leaf unfolding. Nature 2015, 526, 104–107. [Google Scholar] [CrossRef]
 - Zhu, W.; Pan, Y.; Yang, X.; Song, G. Impact of climate change on net primary productivity of terrestrial vegetation in China. Chin. Sci. Bull. 2007, 52, 2535–2541. [Google Scholar] [CrossRef]
 - Quan, Q.; Tian, D.; Luo, Y.; Zhang, F.; Crowther, T.W.; Zhu, K.; Chen, H.; Zhou, Q.; Niu, S. Water scaling of ecosystem carbon cycle feedback to climate warming. Sci. Adv. 2019, 5, eaav1131. [Google Scholar] [CrossRef] [PubMed]
 - Green, J.K.; Berry, J.; Ciais, P.; Zhang, Y.; Gentine, P. Amazon rainforest photosynthesis increases in response to atmospheric dryness. Sci. Adv. 2020, 6, eabb7232. [Google Scholar] [CrossRef] [PubMed]
 - Saleska, S.R.; Didan, K.; Huete, A.R.; Da Rocha, H.R. Amazon forests green-up during 2005 drought. Science 2007, 318, 612. [Google Scholar] [CrossRef]
 - Nanzad, L.; Zhang, J.; Tuvdendorj, B.; Yang, S.; Rinzin, S.; Prodhan, F.A.; Sharma, T.P.P. Assessment of Drought Impact on Net Primary Productivity in the Terrestrial Ecosystems of Mongolia from 2003 to 2018. Remote Sens. 2021, 13, 2522. [Google Scholar] [CrossRef]
 - Cao, D.; Zhang, J.; Han, J.; Zhang, T.; Yang, S.; Wang, J.; Prodhan, F.A.; Yao, F. Projected increases in global terrestrial net primary productivity loss caused by drought under climate change. Earth’s Future 2022, 10, e2022EF002681. [Google Scholar] [CrossRef]
 - Li, P.; Zhu, D.; Wang, Y.; Liu, D. Elevation dependence of drought legacy effects on vegetation greenness over the Tibetan Plateau. Agric. For. Meteorol. 2020, 295, 108190. [Google Scholar] [CrossRef]
 - Liu, L.; Wang, Y.; Wang, Z.; Li, D.; Zhang, Y.; Qin, D.; Li, S. Elevation-dependent decline in vegetation greening rate driven by increasing dryness based on three satellite NDVI datasets on the Tibetan Plateau. Ecol. Indic. 2019, 107, 105569. [Google Scholar] [CrossRef]
 - Knowles, J.F.; Scott, R.L.; Biederman, J.A.; Blanken, P.D.; Burns, S.P.; Dore, S.; Kolb, T.E.; Litvak, M.E.; Barron-Gafford, G.A. Montane forest productivity across a semiarid climatic gradient. Glob. Chang. Biol. 2020, 26, 6945–6958. [Google Scholar] [CrossRef]
 - Sun, H.; Wang, J.; Xiong, J.; Bian, J.; Jin, H.; Cheng, W.; Li, A. Vegetation Change and Its Response to Climate Change in Yunnan Province, China. Adv. Meteorol. 2021, 2021, 8857589. [Google Scholar] [CrossRef]
 - Shao, H.; Zhang, Y.; Yu, Z.; Gu, F.; Peng, Z. The Resilience of Vegetation to the 2009/2010 Extreme Drought in Southwest China. Forests 2022, 13, 851. [Google Scholar] [CrossRef]
 - Wang, W.; Wang, W.J.; Li, J.S.; Wu, H.; Xu, C.; Liu, X.F.; Liu, T. Remote Sensing Analysis of lmpacts of Extreme Drought Weather on Ecosystems in Southwest Region of China Based on Normalized DifferenceVegetation Index. Res. Environ. Sci. 2010, 23, 1447–1455. [Google Scholar]
 - Zhao, Z.P.; Wu, X.P.; Li, G.; Li, J.S. Drought in southwestern China and its impact on the net primary productivity of vegetation from 2009–2011. Acta Ecol. Sin. 2015, 35, 350–360. [Google Scholar]
 - Yan, W.B.; He, Y.L.; Yu, L.; Qu, X.X. Effect of drought on net primary productivity of vegetation in Yunnan Province. J. Yunnan Univ. Nat. Sci. Ed. 2021, 43, 736–745. [Google Scholar]
 - Han, L.; Zhang, Q.; Yao, Y.; Li, Y.; Jia, J.; Wang, J. Characteristics and origins of drought disasters in Southwest China in nearly 60 years. Acta Geogr. Sin. 2014, 69, 632–639. [Google Scholar]
 - Yin, H.; Li, Y. Summary of Advance on Drought Study in Southwest China. J. Arid Meteorol. 2013, 31, 182–193. [Google Scholar]
 - Huang, R.; Liu, Y.; Wang, L.; Wang, L. Analyses of the Causes of Severe Drought Occurring in Southwest China from the Fall of 2009 to the Spring of 2010. Chin. J. Atmos. Sci. 2012, 36, 443–457. [Google Scholar] [CrossRef]
 - Liu, J.; Yan, H.; Li, Y. Analysis of the circulation influencing factors of the abnormal high temperature and drought in Yunnan in the early summer of 2019. Yunnan Geogr. Environ. Res. 2020, 32, 42–48. [Google Scholar] [CrossRef]
 - Tong, C.; Zhang, W.; Tang, Y.; Wang, H. Estimation of Daily Solar Radiation in China. Chin. J. Agrometeorol. 2005, 26, 165–169. [Google Scholar] [CrossRef]
 - Hutchinson, M.F. ANUSPLIN Version 4.3 User Guide; The Australia National University, Center for Resource and Environment Studies: Canberra, Australia, 2004; Available online: https://fennerschool.anu.edu.au/research/products/anusplin (accessed on 1 January 2023).
 - Liu, Z.H.; Tim, R.; Van, N.; Yang, Q.K.; Li, R. Introduction of the Professional Interpolation Software for Meteorology Data: ANUSPLINN. Meteorol. Mon. 2008, 398, 92–100. [Google Scholar]
 - Parra, J.L.; Monahan, W.B. Variability in 20th century climate change reconstructions and its consequences for predicting geographic responses of California mammals. Glob. Chang. Biol. 2008, 14, 2215–2231. [Google Scholar] [CrossRef]
 - Feng, L.; Liu, Y.X.; Feng, Z.Z.; Yang, S.Q. Analysing the spatiotemporal characteristics of climate comfort in China based on 2005–2018 MODIS data. Theor. Appl. Climatol. 2021, 143, 1235–1249. [Google Scholar] [CrossRef]
 - Wu, W.; Liu, Q.; Li, H.; Huang, C. Spatiotemporal Distribution of Heatwave Hazards in the Chinese Mainland for the Period 1990–2019. Int. J. Environ. Res. Public Health 2023, 20, 1532. [Google Scholar] [CrossRef]
 - Ma, Z.; Dong, C.; Lin, K.; Yan, Y.; Luo, J.; Jiang, D.; Chen, X. A Global 250-m Downscaled NDVI Product from 1982 to 2018. Remote Sens. 2022, 14, 3639. [Google Scholar] [CrossRef]
 - Yang, J.; Huang, X. The 30 m annual land cover dataset and its dynamics in China from 1990 to 2019. Earth Syst. Sci. Data 2021, 13, 3907–3925. [Google Scholar] [CrossRef]
 - Vicente-Serrano, S.M.; Beguería, S.; López-Moreno, J.I. A multiscalar drought index sensitive to global warming: The standardized precipitation evapotranspiration index. J. Clim. 2010, 23, 1696–1718. [Google Scholar] [CrossRef]
 - Box, G. Time Series Analysis, Forecasting and Control; Holden-Day: San Francisco, CA, USA, 1976. [Google Scholar]
 - Wang, J.; Sun, H.; Xu, W.; Zhou, J. Spatio-temporal change of drought disaster in China in recent fifty years. J. Nat. Disasters 2002, 11, 1–6. [Google Scholar] [CrossRef]
 - Yang, H.; Song, J.; Yan, H.; Yin, L. Cause of the severe drought in Yunnan Province during winter of 2009 to 2010. Clim. Environ. Res. 2012, 17, 315–326. (In Chinese) [Google Scholar] [CrossRef]
 - Passioura, J.B. The yield of crops in relation to drought. In Physiology and Determination of Crop Yield; American Society of Agronomy: Maddison, WI, USA, 1994; pp. 343–359. [Google Scholar] [CrossRef]
 - Cramer, M.D.; Hawkins, H.J.; Verboom, G.A. The importance of nutritional regulation of plant water flux. Oecologia 2009, 161, 15–24. [Google Scholar] [CrossRef] [PubMed]
 - Stocker, B.D.; Zscheischler, J.; Keenan, T.F.; Prentice, I.C.; Seneviratne, S.I.; Peñuelas, J. Drought impacts on terrestrial primary production underestimated by satellite monitoring. Nat. Geosci. 2019, 12, 264–270. [Google Scholar] [CrossRef]
 - Chen, Y.; Feng, X.; Tian, H.; Wu, X.; Gao, Z.; Feng, Y.; Piao, S.; Lv, N.; Pan, N.; Fu, B. Accelerated increase in vegetation carbon sequestration in China after 2010: A turning point resulting from climate and human interaction. Glob. Chang. Biol. 2021, 27, 5848–5864. [Google Scholar] [CrossRef]
 - Abbas, S.; Nichol, J.E.; Qamer, F.M.; Xu, J. Characterization of Drought Development through Remote Sensing: A Case Study in Central Yunnan, China. Remote Sens. 2014, 6, 4998–5018. [Google Scholar] [CrossRef]
 - Huang, K.; Xia, J. High ecosystem stability of evergreen broadleaf forests under severe droughts. Glob. Chang. Biol. 2019, 25, 3494–3503. [Google Scholar] [CrossRef] [PubMed]
 - Wu, J.; Albert, L.P.; Lopes, A.P.; Restrepo-Coupe, N.; Hayek, M.; Wiedemann, K.T.; Guan, K.; Stark, S.C.; Christoffersen, B.; Prohaska, N.; et al. Leaf development and demography explain photosynthetic seasonality in Amazon evergreen forests. Science 2016, 351, 972–976. [Google Scholar] [CrossRef] [PubMed]
 - Muñoz, R.; Bongers, F.; Rozendaal, D.M.A.; González, E.J.; Dupuy, J.M.; Meave, J.A. Autogenic regulation and resilience in tropical dry forest. J. Ecol. 2021, 109, 3295–3307. [Google Scholar] [CrossRef]
 - Schenk, H.J.; Jackson, R.B. Rooting depths, lateral root spreads and below-ground/above-ground allometries of plants in water-limited ecosystems. J. Ecol. 2002, 90, 480–494. [Google Scholar] [CrossRef]
 - Kulmatiski, A.; Adler, P.; Foley, M. Hydrologic niches explain species coexistence and abundance in a shrub–steppe system. J. Ecol. 2019, 108, 998–1008. [Google Scholar] [CrossRef]
 - Barbeta, A.; Mejía-Chang, M.; Ogaya, R.; Voltas, J.; Dawson, T.E.; Peñuelas, J. The combined effects of a long-term experimental drought and an extreme drought on the use of plant-water sources in a Mediterranean forest. Glob. Chang. Biol. 2015, 21, 1213–1225. [Google Scholar] [CrossRef] [PubMed]
 - Lortie, C.J.; Gruber, E.; Filazzola, A.; Noble, T.; Westphal, M. The Groot Effect: Plant facilitation and desert shrub regrowth following extensive damage. Ecol. Evol. 2018, 8, 706–715. [Google Scholar] [CrossRef] [PubMed]
 - Shinoda, M.; Nachinshonhor, G.U.; Nemoto, M. Impact of drought on vegetation dynamics of the Mongolian steppe: A field experiment. J. Arid. Environ. 2010, 74, 63–69. [Google Scholar] [CrossRef]
 - Li, X.; Li, Y.; Chen, A.; Gao, M.; Slette, I.J.; Piao, S. The impact of the 2009/2010 drought on vegetation growth and terrestrial carbon balance in southwest china. Agric. For. Meteorol. 2019, 269–270, 239–248. [Google Scholar] [CrossRef]
 - Yin, F.; Mao, R.Z.; Fu, B.J.; Liu, G.H. Farmland ecosystem service and its formation mechanism. Chin. J. Appl. Ecol. 2006, 5, 929–934. [Google Scholar]
 - Lesk, C.; Rowhani, P.; Ramankutty, N. Influence of extreme weather disasters on global crop production. Nature 2016, 529, 84–87. [Google Scholar] [CrossRef]
 - Rita, A.; Camarero, J.J.; Nolè, A.; Borghetti, M.; Brunetti, M.; Pergola, N.; Serio, C.; Vicente-Serrano, S.M.; Tramutoli, V.; Ripullone, F. The impact of drought spells on forests depends on site conditions: The case of 2017 summer heat wave in southern Europe. Glob. Chang. Biol. 2020, 26, 851–863. [Google Scholar] [CrossRef]
 - Wu, X.; Li, X.; Liu, H.; Ciais, P.; Li, Y.; Xu, C.; Babst, F.; Guo, W.; Hao, B.; Wang, P.; et al. Uneven winter snow influence on tree growth across temperate China. Glob. Chang. Biol. 2019, 25, 144–154. [Google Scholar] [CrossRef]
 - Wang, Y.; Fu, B.; Liu, Y.; Li, Y.; Feng, X.; Wang, S. Response of vegetation to drought in the Tibetan Plateau: Elevation differentiation and the dominant factors. Agric. For. Meteorol. 2021, 306, 108468. [Google Scholar] [CrossRef]
 - Zhang, Y.; Shui, W.; Sun, X.; Sun, X. Spatiotemporal variation and influencing factors of vegetation water use efficiency in Yunnan Province. Acta Ecol. Sin. 2022, 42, 2405–2417. [Google Scholar] [CrossRef]
 - Danandeh Mehr, A.; Vaheddoost, B. Identification of the trends associated with the SPI and SPEI indices across Ankara, Turkey. Theor. Appl. Climatol. 2020, 139, 1531–1542. [Google Scholar] [CrossRef]
 










Disclaimer/Publisher’s Note: The statements, opinions and data contained in all publications are solely those of the individual author(s) and contributor(s) and not of MDPI and/or the editor(s). MDPI and/or the editor(s) disclaim responsibility for any injury to people or property resulting from any ideas, methods, instructions or products referred to in the content.  | 
© 2023 by the authors. Licensee MDPI, Basel, Switzerland. This article is an open access article distributed under the terms and conditions of the Creative Commons Attribution (CC BY) license (https://creativecommons.org/licenses/by/4.0/).
Share and Cite
Lin, C.; He, Y.; Wang, Z. Sensitivity of Vegetation Productivity to Extreme Droughts across the Yunnan Plateau, China. Atmosphere 2023, 14, 1026. https://doi.org/10.3390/atmos14061026
Lin C, He Y, Wang Z. Sensitivity of Vegetation Productivity to Extreme Droughts across the Yunnan Plateau, China. Atmosphere. 2023; 14(6):1026. https://doi.org/10.3390/atmos14061026
Chicago/Turabian StyleLin, Chen, Yunling He, and Zhenyan Wang. 2023. "Sensitivity of Vegetation Productivity to Extreme Droughts across the Yunnan Plateau, China" Atmosphere 14, no. 6: 1026. https://doi.org/10.3390/atmos14061026
APA StyleLin, C., He, Y., & Wang, Z. (2023). Sensitivity of Vegetation Productivity to Extreme Droughts across the Yunnan Plateau, China. Atmosphere, 14(6), 1026. https://doi.org/10.3390/atmos14061026
        