Abstract
Hebei Province is a typical water-scarce agricultural region in North China. Quantifying the water demands of major crops and their variations in this region is crucial for the sustainable use of agricultural water resources. Based on meteorological data and crop growth parameters of 21 national weather stations in Hebei Province from 2007 to 2017, this study analyzed the crop water requirement, irrigation water demand, and water deficit index and their dynamic changes for several grain and vegetable crops including winter wheat, summer maize, soybean, potato, tomato, cucumber, eggplant, cowpea, Chinese cabbage, cabbage, and carrot. In addition, regional total irrigation water demands of these water-intensive crops were estimated. The results indicated that, except for summer maize, the crop water requirements and irrigation water demands of grain crops during the growth periods were mostly higher than those of vegetable crops. Winter wheat and cabbage had the highest water deficits among grain and vegetable crops, respectively, while summer maize had the lowest water deficits. Temporally, the irrigation water demands of winter wheat, summer maize, cabbage, and eggplant have increased for years, along with the increase in planting areas. Spatially, the total irrigation water demand in the southeast of Hebei Province was higher than that in the northwest, and the total irrigation water demand of winter wheat was much higher than that of the other crops. To mitigate water scarcity while ensuring food security, the planting areas of crops with higher yields and lower water consumptions, including summer maize, potato, cabbage, and carrot could be appropriately expanded. In contrast, the scale of water-intensive crops such as winter wheat and tomato should be strictly controlled. Our findings will be of great significance for constructing sustainable water-saving cropping systems in a changing climate.
1. Introduction
China is suffering from a water resources crisis, and water shortage has become the limiting factor of agricultural production and socio-economic development [1]. Groundwater depletion is actually the result of a trade-off between water use and agricultural products in the agricultural sector, this is especially true in Hebei Province, which is located in the northern part of the North China Plain [2]. As an important grain-producing area in China, Hebei Province is subject to long-term water shortages due to intensive agricultural production and huge irrigation water consumption [3,4]. Especially in recent years, the expansion of some water-intensive grain crops, fruits, and vegetables resulted in serious groundwater depletion in Hebei Province and caused a series of ecological and environmental problems. Hebei Province has become the largest “groundwater funnel area” in China, posing a serious threat to regional grain production and ecological security [5]. Therefore, it is particularly important to clarify the driving factors of agricultural water consumption in this region [6]. This paper studied the irrigation water requirements and their dynamics of several water-intensive crops in Hebei Province, which is of great significance for regional water security and agricultural sustainability.
China’s agricultural water use accounts for about 61% of the country’s total water consumption [7]. In Hebei Province, such a ratio is over 70%, which is much higher than the national average. Over the past years, researchers have used field experiments and crop models to explore more sustainable planting systems to achieve sustainable use of agricultural water resources [8]. Some empirical studies concluded that the key to saving agricultural water is to compress the irrigation quota of water-intensive crops, such as reducing the planting area of winter wheat in China [9,10,11,12,13,14]. In addition, making full use of natural precipitation and improving the water use efficiency of crops are also critical to alleviate water scarcity [15,16]. Studying the irrigation water demand and water deficit of different crops is vital for determining reasonable irrigation water quota [17]. Therefore, it is essential to analyze the water supply and demand features during the crop growth periods, in order to construct efficient and water-saving cropping systems in China.
In recent years, there have been many studies on the water requirements of grain crops in Hebei Province. For example, Li et al. used the Penman-Monteith formula (P-M formula) recommended by FAO-56 to analyze the trends of crop water requirements for winter wheat and spring maize in Hebei Province from 1965 to 1999 [18]. Cao et al. used a similar method to calculate the effective precipitation and water requirements of winter wheat, summer maize, and cotton in Jize county, Hebei Province [19]. The current study mainly focuses on the water demand of some grain crops (e.g., wheat, maize, and rice). In addition to grain crops, vegetable crops also consume large amounts of water, which can lead to huge irrigation water consumptions [20]. To fill the knowledge gap and rationally construct the water-saving planting structure of crops, this study aims to analyze the spatial and temporal variations of water demands for several water-intensive crops (both grain and vegetable crops). The results may provide insights for constructing sustainable cropping systems in some water-scarce regions.
2. Materials and Methods
2.1. Study Area
Hebei Province belongs to the semi-humid and semi-arid continental monsoon climate zone, with hot and humid summers and cold and dry winters. The average annual temperature is 1.6–14.1 °C, with January being the coldest month and July being the hottest month, and the annual frost-free period is 81–204 days. The annual average precipitation is 503.5 mm, with 70% to 80% of precipitation concentrated in June to September. The temperature is suitable for a variety of crops [21]. However, due to deficit water resources and high-intensity agricultural production, drought is the most frequent and most destructive meteorological disaster in Hebei Province [18].
2.2. Data Sources
The meteorological data used in this study comes from the daily data of 21 national weather stations in Hebei Province from 2007 to 2017, including daily maximum temperature, minimum temperature, average temperature, precipitation, sunshine hours, wind speed and relative humidity. Crop coefficient and growth period data are primarily from FAO-56 [22] and are calibrated based on local climatic conditions in Hebei Province. The data of crops area, yield and total production are from The Third National Agricultural Census Dataset of Hebei Province (https://data.cnki.net/yearbook/Single/N2020040400, accessed on 1 April 2020).
2.3. Methods
Reference crop evapotranspiration. In this paper, the Penman-Monteith equation recommended by FAO was used to calculate the evapotranspiration of reference crops [22]
where Δ is the slope of the saturation vapor pressure at mean air temperature curve (kPa °C−1), Rn and G are the net radiation and soil heat flux density in MJ m−2 d−1, γ is the psychrometric constant (kPa °C), Tmean is the daily mean temperature (°C), U2 is the mean wind speed in m s−1, es is the saturation vapor pressure (kPa) calculated from the mean air temperature (°C) for the day, and ea is the actual vapor pressure (kPa) calculated from the mean dew point temperature (°C) for the day.
Crop coefficient. We calibrate the crop coefficient Kc with regional meteorological conditions using the piecewise single-value average method recommended by FAO-56 [21]:
where Kc(tap) is the crop coefficient under standard conditions at different growth stages, U2 represents the wind speed at a height of two meters, RHmin is the average daily minimum relative humidity in the growth stage, and h is the average height of the crop in the growth stage (m).
Crop water demand is equal to the product of crop reference evapotranspiration and crop coefficient Kc [22]:
where ETc is the crop water demand (mm), and ET0 is crop reference evapotranspiration.
The effective precipitation is calculated using the general method recommended by the Soil Conservation Service of the United States Department of Agriculture [23]:
where P is the daily precipitation (mm/d).
The irrigation water requirement of crop is related to the crop water requirement and the effective precipitation in the period. The crop irrigation water demand is equal to the difference between the effective precipitation and the crop water requirement [24]:
where I is the irrigation water requirement (mm); ETc is the crop water requirement (mm); Pe is the effective precipitation (mm).
Water deficit index. Crop water deficit index is one of the commonly used indicators to indicate the degree of crop water deficit [25]:
where CWDI is the water deficit index; ETc is the crop water requirement (mm); Pe is the effective precipitation (mm).
In this study, we employed R language program to calculate the water demand and water deficit index of different crops. Origin 2019 software was adopted to conduct data statistics and mapping, and ArcGIS 10.5 software was used for data gridding and spatial analysis.
3. Results and Discussion
3.1. Changes in the Production of Major Grain and Vegetable Crops
As shown in Figure 1, the planting areas, yields and production of grain crops and vegetable crops in Hebei Province have changed considerably during 2007–2017. Among the grain crops, the planted area of summer maize and potato showed an increasing trend in the past 10 years. Among the vegetable crops, the planting areas of cowpeas, carrots and cabbages showed a decreasing trend, while the remaining vegetables showed an increasing trend. From the perspective of yields, grain crops and vegetable crops showed an overall upward tendency from 2007 to 2017. These changes mainly due to the improvements in agricultural financial inputs, breeding techniques, and agricultural mechanization [26]. Although the yields of winter wheat and summer maize were lower than those of vegetable crops, their total production was higher because of their large planting areas. Among the vegetable crops, Chinese cabbage owns the largest planted area, the highest yields and production in Hebei province.
Figure 1.
Changes in planting areas, yields and total production of grain crops (left) and vegetable crops (right) in Hebei Province from 2007 to 2017.
3.2. The Kc Coefficients
Based on the recommended Kc values of FAO-56 and calibrated with regional meteorological conditions, the Kc coefficients of grain crops and vegetable crops in Hebei Province were calculated (Table 1). Among the grain crops, potato had the highest Kc value in the whole growth period, while winter wheat was the lowest. As for the vegetable crops, the Kc value of tomato was the highest during the whole growth period, and that of cowpea was the lowest. The trend of Kc was consistent with the crop growth and development stages, increasing first and then decreasing from S1 to S4, and reaching a maximum at the middle of S3 growth and development (flowering stages for most crops), which is consistent with previous studies on Kc [27].
Table 1.
Kc values of major grain and vegetable crops.
3.3. Crop Water Demand and Water Deficit Index
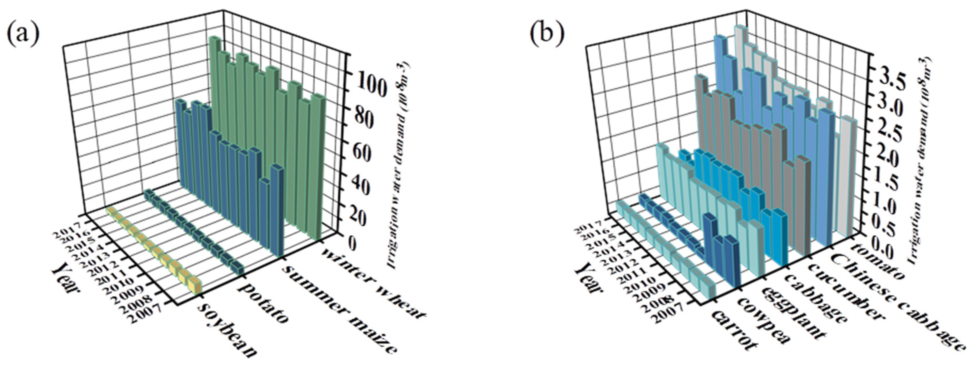
As shown in Figure 2, among the grain crops in Hebei Province, the water demand of winter wheat was the highest, while summer maize was the lowest (Figure 2a,c). Among the vegetable crops, tomato had the highest irrigation water demand, followed by eggplant, carrot, and cabbage (Figure 2c). During 2007–2017, the highest water deficit index for grain crops were winter wheat (Figure 2d), which was similar to the results reported in other literature [15,28]. As for the vegetable crops, cabbage and carrot had the highest and lowest water deficit indices, respectively (Figure 2d). Despite tomato had a high water demand, the effective rainfall during its growth period was relatively efficient, thus the water deficit of tomato was not so high. Due to the limitation of data time series, this study mainly investigated the variations of different crop water requirements during the last ten years, longer time scales could be considered in the future.
Figure 2.
Annual averages of crop water requirement (a), effective precipitation (b), irrigation water demand (c) and water deficit index (d) of different crops in Hebei Province from 2007 to 2017.
3.4. Changes in Regional Total Irrigation Water Demand of Crops
Regional total irrigation water demand is the total irrigation water demand of a crop in Hebei Province, which equals to per unit area irrigation water demand of a crop multiplied by its planting area. As shown in Figure 3, the regional irrigation water demand for winter wheat was the highest (about 8 × 109 m3), followed by summer maize, which was about 5 × 109 m3, while soybean and potato had relatively low regional irrigation water demand. Among the vegetable crops, tomato has the highest regional irrigation water demand, higher than 2.5 × 108 m3. The regional total irrigation water demand of cabbage, tomato and cucumber showed an overall increasing trend, while that of soybean and cowpea showed a declining tendency. The total irrigation water demand of eggplant, carrot and other vegetable crops did not change significantly. In general, the inter-annual variation of regional total irrigation water demand was consistent with the trend of the crop planting area.
Figure 3.
Changes in regional total irrigation water demand of major grain (a) and vegetable crops (b) in Hebei Province from 2007 to 2017.
Figure 4 showed the annually average proportions of the regional total irrigation water demand for grain crops and vegetable crops from 2007 to 2017. The regional total irrigation water demand of four grain crops was much higher than that of vegetable crops. The proportions of winter wheat and summer maize accounted for 54.04% and 34.14%, respectively, which were mainly due to their large planting areas in Hebei Province. The total proportion of regional irrigation water demand for the seven vegetable crops accounted for only 6.45%, much lower than that of grain crops.
Figure 4.
Annually average proportions of regional total irrigation water demand for major grain and vegetable crops in Hebei Province from 2007 to 2017.
The spatial distribution of the sum of irrigation water demand for all crops was shown in Figure 5. It indicated that the irrigation water demand in the southeast was generally higher than that in the northwest. The total irrigation water demand of most counties in the southeast was higher than 2 × 108 m3, especially in Baoding, Cangzhou, Hengshui, and Xingtai, which are typical water-scarce areas in Hebei Province and are at extremely high risk of drought in the future [29]. With regard to the big spatial variation in irrigation water demand, a rational redistribution of agricultural production in Hebei province is needed so as to ensure regional food and water security under a changing climate [30].
Figure 5.
Spatial distribution of regional total irrigation water demand of major grain and vegetable crops from 2007 to 2017.
North China Plain is a very important grain-producing region in China. However, due to deficit rainfall and surface water resources, agricultural production in this region consumes about 8.9 billion tons of groundwater each year, leading to severe environmental consequences that threaten the sustainability of grain production [31,32,33,34]. In particular, the large-scale cultivation of high water-consuming crops further exacerbates the water scarcity [35,36]. Winter wheat-summer maize rotation is the main cropping structure in Hebei province. This cropping pattern relies heavily on groundwater irrigation due to insufficient precipitation during the winter wheat growing season [37,38]. In this study, we also demonstrated the large water consumption of winter wheat. In the future, the planting scale of winter wheat should be strictly controlled for sustainable development. Instead, some high-yielding and low water-intensive crops should be expanded to meet the diversified needs of agricultural products and to ensure regional food security [39,40]. For instance, carrot and cabbage have low water requirements during their growing seasons, while their yields and prices are high. Therefore, the planting areas of carrot and cabbage could be appropriately expanded in the future.
4. Conclusions
In order to ensure food security while alleviating regional water crisis, this study analyzed the spatial and temporal variations of water demands for several major grain and vegetable crops in Hebei Province from 2007 to 2017. The results showed that there was a large spatial and temporal variability in the water demands of grain and vegetable crops. The crop water requirements and irrigation water requirements of grain crops were generally higher than that of vegetable crops, apart from summer maize. Winter wheat and cabbage had the highest water deficits among grain and vegetable crops, respectively, while summer maize and carrots had the lowest water deficits. Regional irrigation water demands of winter wheat, summer maize, cabbage, and eggplant have increased for years, with the increase of planting area. Spatially, the total irrigation water demands of all crops in the southeast part of Hebei Province is generally larger than that in the northwest. In this regard, Hebei Province should appropriately expand the planting area of crops with high yield and low water demand, such as summer maize, potato, Chinese cabbage, and carrot, while should strictly control the planting areas of water-intensive crops such as winter wheat and tomato.
Author Contributions
Conceptualization, Y.L. and M.L.; methodology, M.S.; software, J.Z.; validation, M.L. and Y.Q.; formal analysis, M.S.; investigation, J.Z.; resources, M.L.; data curation, M.S.; writing—original draft preparation, M.L.; writing—review and editing, Y.L.; visualization, M.S.; supervision, Y.L.; project administration, Y.L.; funding acquisition, Y.L. All authors have read and agreed to the published version of the manuscript.
Funding
This research was funded by the National Natural Science Foundation of China (72061147001; 31801315), the Major Projects of the National Social Science Foundation of China (18ZDA074), and the National Key Research and Development Program of China (2021YFD1901103). The contents of this paper are solely the responsibility of the authors and do not necessarily represent the official views of the sponsors.
Institutional Review Board Statement
Not applicable.
Informed Consent Statement
Not applicable.
Data Availability Statement
The data that support the findings of this study are in this paper.
Acknowledgments
We thank the National Natural Science Foundation of China (72061147001; 31801315), the Major Projects of the National Social Science Foundation of China (18ZDA074), and the National Key Research and Development Program of China (2021YFD1901103) for funding this study.
Conflicts of Interest
The authors declare no conflict of interest.
References
- Tao, S.; Zhang, H.; Feng, Y.; Zhu, J.; Cai, Q.; Xiong, X.; Ma, S.; Fang, L.; Fang, W.; Tian, D.; et al. Changes in China’s water resources in the early 21st century. Front. Ecol. Environ. 2020, 18, 188–193. [Google Scholar] [CrossRef]
- Luo, J.; Zhang, H.; Qi, Y.; Pei, H.; Shen, Y. Balancing water and food by optimizing the planting structure in the Beijing–Tianjin–Hebei region, China. Agric. Water Manag. 2022, 262, 107326. [Google Scholar] [CrossRef]
- Sun, H.; Zhang, X.; Liu, X.; Liu, X.; Shao, L.; Chen, S.; Wang, J.; Dong, X. Impact of different cropping systems and irrigation schedules on evapotranspiration, grain yield and groundwater level in the North China Plain. Agric. Water Manag. 2019, 211, 202–209. [Google Scholar] [CrossRef]
- Famiglietti, J.S. The global groundwater crisis. Nat. Clim. Chang. 2014, 4, 945–948. [Google Scholar] [CrossRef]
- Meng, J.; Yao, X.; Yang, X.; Luo, J.; Shen, Y. Spatial and Temporal Evolution of Agricultural Planting Structure and Crop Water Consumption in Groundwater Overdraft Area. Trans. Chin. Soc. Agric. Mach. 2020, 51, 302–312. [Google Scholar]
- Zhang, L.; Chen, F.; Lei, Y. Climate change and shifts in cropping systems together exacerbate China’s water scarcity. Environ. Res. Lett. 2020, 15, 104060. [Google Scholar] [CrossRef]
- Ministry of Water Resources of China. China’s 2019 Water Resources Bulletin. 2020; [online]. Available online: http://www.mwr.gov.cn/sj/tjgb/szygb/ (accessed on 5 October 2020).
- Cao, Y.; Li, X. Research on the Crop Water Demand and Water Shortage in the Main Producing Areas of Summer Maize in Hebei Province. China Rural. Water Hydropower 2018, 152, 141–147. [Google Scholar]
- Yang, Y.; Watanabe, M.; Zhang, X.; Hao, X.; Zhang, J. Estimation of groundwater use by crop production simulated by DSSAT-wheat and DSSAT-maize models in the piedmont region of the North China Plain. Hydrol. Process. 2006, 20, 2787–2802. [Google Scholar] [CrossRef]
- Sun, H.; Liu, C.; Zhang, X.; Shen, Y.; Zhang, Y. Effects of irrigation on water balance, yield and WUE of winter wheat in the North China Plain. Agric. Water Manag. 2006, 85, 211–218. [Google Scholar] [CrossRef]
- Gao, B.; Ju, X.; Meng, Q.; Cui, Z.; Christie, P.; Chen, X.; Zhang, F. The impact of alternative cropping systems on global warming potential, grain yield and groundwater use. Agric. Ecosyst. Environ. 2015, 203, 46–54. [Google Scholar] [CrossRef]
- Van Oort, P.A.J.; Wang, G.; Vos, J.; Meinke, H.; Li, B.G.; Huang, J.K.; van der Werf, W. Towards groundwater neutral cropping systems in the Alluvial Fans of the North China Plain. Agric. Water Manag. 2016, 165, 131–140. [Google Scholar] [CrossRef]
- Zhang, X.; Ren, L.; Wan, L. Assessing the trade-off between shallow groundwater conservation and crop production under limited exploitation in a well-irrigated plain of the Haihe River basin using the SWAT model. J. Hydrol. 2018, 567, 253–266. [Google Scholar] [CrossRef]
- Yang, X.; Chen, Y.; Pacenka, S.; Gao, W.; Ma, L.; Wang, G.; Yan, P.; Sui, P.; Steenhuis, T.S. Effect of diversified crop rotations on groundwater levels and crop water productivity in the North China Plain. J. Hydrol. 2015, 522, 428–438. [Google Scholar] [CrossRef]
- Gao, X.; Wang, C.; Zhang, J.; Xue, X. Crop water requirement and temporal-spatial variation of drought and flood disaster during growth stages for maize in Northeast during past 50 years. Trans. Chin. Soc. Agric. Eng. 2012, 28, 101–109. [Google Scholar]
- Ma, L.; Ren, D.; Yang, Y.; Sheng, Z.; Yu, L.; Han, S.; Yang, Y.; Hou, Z. Assessment of Economic Efficiency of Water Use through a Household Farmer Survey in North China. Agronomy 2022, 12, 1100. [Google Scholar] [CrossRef]
- Kong, Q.; Zhang, H.; Chen, F.; Song, Z. Estimation of main crop water requirement in Beijing based on SIMETAW model. J. China Agric. Univ. 2009, 14, 109–115. [Google Scholar]
- Li, C.; Li, B.; Hong, K. Trend of crop water requirement in recent 35 years in Hebei Province. Chin. J. Eco-Agric. 2009, 17, 359–363. [Google Scholar] [CrossRef]
- Cao, Y.; Zhu, M.; Li, W. Effective precipitation and water requirements of crops in Hebei Province over 60 years. Acta Ecologica Sinica. 2018, 38, 560–570. [Google Scholar]
- Qi, S.; Li, Z.; Gong, Y. Evaluating crop water requirements and crop coefficients for three vegetables based on field water budget. J. China Agric. Univ. 2022, 7, 71–76. [Google Scholar]
- Liu, Y.; Wang, L.; Ni, G.; Cong, Z. Spatial distribution characteristics of irrigation water requirement for main crops in China. Trans. Chin. Soc. Agric. Eng. 2009, 25, 6–12. [Google Scholar]
- Allen, R.G.; Pereira, L.S.; Raes, D.; Smith, M. FAO Irrigation and Drainage Paper No. 56; United Nations Food and Agriculture Organization: Rome, Italy, 1998; pp. 17–28. [Google Scholar]
- Döll, P.; Siebert, S. Global modeling of irrigation water requirements. Water Resour. Res. 2002, 38, 4. [Google Scholar] [CrossRef]
- Liu, Y.; Teixeira, J.L.; Zhang, H.J.; Pereira, L.S. Model validation and crop coefficients for irrigation scheduling in the North China plain. Agric. Water Manag. 1998, 36, 233–246. [Google Scholar] [CrossRef]
- Zhang, L.; Chen, F.; Lei, Y. Spatial and temporal patterns of drought risk for winter wheat grown in Hebei province in past 60 years. Acta Agron. Sin. 2019, 45, 1407–1415. [Google Scholar]
- Guo, B.; Jia, B.; Zheng, P. Analysis about the Effects of Science and Technology Engineering for Grain Bumper Harvest in Hebei Province. J. Anhui Agri. 2016, 44, 236–238. [Google Scholar]
- Wu, H.; Cui, Y.; Gao, M. Analysis of Influencing Factors of Crop Coefficient. Water Sav. Irrig. 2016, 149–152. [Google Scholar] [CrossRef]
- Shao, L.; Luo, J.; Yin, G. Research on exploiting wheat-maize grain yield theory and technology in the eastern low plain of Hebei Province. Chin. J. Eco-Agric. 2016, 24, 1114–1122. [Google Scholar]
- Yu, X.; Jie, J.; Jiang, R. Process evaluation for governance effect of groundwater over-exploitation in Hebei Province. J. Drain. Irrig. Mach. Eng. 2021, 39, 364–371. [Google Scholar]
- Xiao, Q.; Wang, X.; Li, X. Policy-oriented versus market-induced: Factors influencing crop diversity across China. Ecol. Econ. 2021, 190, 107184. [Google Scholar]
- Zhang, J.; Zhang, F.; Zhang, D.; He, D.; Zhang, L.; Wu, C.; Kong, X. The grain potential of cultivated lands in Mainland China in 2004. Land Use Policy 2009, 26, 68–76. [Google Scholar] [CrossRef]
- Xiao, D.; Tao, F. Contributions of cultivars, management and climate change to winter wheat yield in the North China Plain in the past three decades. Eur. J. Agron. 2014, 52, 112–122. [Google Scholar] [CrossRef]
- Qiu, G.Y.; Wang, L.; He, X.; Zhang, X.; Chen, S.; Chen, J.; Yang, Y. Water use efficiency and evapotranspiration of winter wheat and its response to irrigation regime in the north China plain. Agr. Forest. Meteorol. 2008, 148, 1848–1859. [Google Scholar] [CrossRef]
- Zhao, Y.; Zhu, Y.; Lin, Z.; Wang, J.; He, G.; Li, H.; Li, L.; Wang, H.; Jiang, S.; He, F.; et al. Energy Reduction Effect of the South-to-North Water Diversion Project in China. Sci. Rep. 2017, 7, 15956. [Google Scholar] [CrossRef] [PubMed] [Green Version]
- Li, C.; Du, Y.; Li, B.; Fan, Z. An analysis on variation characteristics of temperature and precipitation in Hebei Province during 1965–2005. J. Arid. Land Resour. Environ. 2009, 23, 1–7. [Google Scholar]
- Ma, J.; Zheng, C.; Dang, H.; Li, K.; Cao, C. The situation of over-exploitation aquifer in Hebei Province and economic analysis on the cropping system adjustment countermeasure. J. Water Resour. Res. 2019, 8, 575–580. [Google Scholar] [CrossRef]
- Yang, Y.; Yang, Y.; Liu, D.L.; Nordblom, T.; Wu, B.; Yan, N. Regional Water Balance Based on Remotely Sensed Evapotranspiration and Irrigation: An Assessment of the Haihe Plain, China. Remote Sens. 2014, 6, 2514–2533. [Google Scholar] [CrossRef]
- Cao, G.; Han, D.; Song, X. Evaluating actual evapotranspiration and impacts of groundwater storage change in the North China Plain. Hydrol. Process. 2014, 28, 1797–1808. [Google Scholar] [CrossRef]
- Hu, J.; Shang, Y.; Shi, R. Adjustment of crop planting structure considering optimal allocation of water resources: Taking Xingtai City, Hebei Province as an example. Water Sav. Irrig. 2016, 76–80. [Google Scholar] [CrossRef]
- Birthal, S.B.; Devesh, R.; Negi, S.D. Assessing the Impact of Crop Diversification on Farm Poverty in India. World Dev. 2015, 72, 70–92. [Google Scholar] [CrossRef]
Publisher’s Note: MDPI stays neutral with regard to jurisdictional claims in published maps and institutional affiliations. |
© 2022 by the authors. Licensee MDPI, Basel, Switzerland. This article is an open access article distributed under the terms and conditions of the Creative Commons Attribution (CC BY) license (https://creativecommons.org/licenses/by/4.0/).




