Effects of Supplementary Irrigation on Soil Respiration of Millet Farmland in a Semi-Arid Region in China
Abstract
:1. Introduction
2. Materials and Methods
2.1. Site Description
2.2. Experiment Design
2.3. Measurements and Calculation Methods
2.3.1. Soil Respiration Rate and CO2 Emission Flux
2.3.2. Soil Physical and Chemical Properties
2.3.3. Growth Index
2.3.4. Water Use Efficiency
2.4. Statistical Analysis
3. Results
3.1. Variation of Soil Respiration Rate during Growing Season
3.2. Accumulated Soil CO2 Emissions under Different Treatments
3.3. Analysis on Influencing Factors of Soil Respiration Rate
3.3.1. Soil Moisture Content
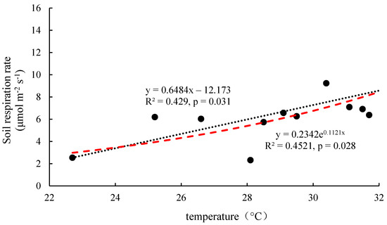
3.3.2. Soil Temperature
3.3.3. Soil pH
3.3.4. Soil Organic Matter
3.4. Analysis of Supplemental Irrigation on Millet Growth
3.4.1. Crop Growth
3.4.2. Water Use Efficiency
4. Discussion
4.1. Influencing Factors of Soil Respiration Rate
4.2. Charateristics of Millet Growth
5. Conclusions
Author Contributions
Funding
Institutional Review Board Statement
Informed Consent Statement
Data Availability Statement
Acknowledgments
Conflicts of Interest
References
- Mosongo, P.S.; Pelster, D.E.; Li, X.; Gaudel, G.; Wang, Y.; Chen, S.; Li, W.; Mburu, D.; Hu, C. Greenhouse Gas Emissions Response to Fertilizer Application and Soil Moisture in Dry Agricultural Uplands of Central Kenya. Atmosphere 2022, 13, 463. [Google Scholar] [CrossRef]
- Kim, G.S.; Kim, A.R.; Lim, B.S.; Seol, J.; An, J.H.; Lim, C.H.; Joo, S.J.; Lee, C.S. Assessment of the Carbon Budget of Local Governments in South Korea. Atmosphere 2022, 13, 342. [Google Scholar] [CrossRef]
- Rodhe, H. A Comparison of the Contribution of Various Gases to the Greenhouse Effect. Science 1990, 248, 1217–1219. [Google Scholar] [CrossRef] [PubMed]
- Ishikura, K.; Darung, U.; Inoue, T.; Hatano, R. Variation in Soil Properties Regulate Greenhouse Gas Fluxes and Global Warming Potential in Three Land Use Types on Tropical Peat. Atmosphere 2018, 9, 465. [Google Scholar] [CrossRef]
- Luo, X.; Guo, Y.; Wang, R.; Wang, N.; Li, C.; Chu, X.; Feng, H.; Chen, H. Carbon footprint of a winter wheat-summer maize cropping system under straw and plastic film mulching in the Loess Plateau of China. Sci. Total Environ. 2021, 794, 148590. [Google Scholar] [CrossRef] [PubMed]
- Ahmad, I.; Yan, Z.; Kamran, M.; Ikram, K.; Ghani, M.U.; Hou, F. Nitrogen management and supplemental irrigation affected greenhouse gas emissions, yield and nutritional quality of fodder maize in an arid region. Agric. Water Manag. 2022, 269, 107650. [Google Scholar] [CrossRef]
- Guo, L.; Wang, X.; Wang, S.; Tan, D.; Han, H.; Ning, T.; Li, Q. Tillage and irrigation effects on carbon emissions and water use of summer maize in North China Plains. Agric. Water Manag. 2019, 223, 105729. [Google Scholar] [CrossRef]
- Huang, Y.; Ren, W.; Grove, J.; Poffenbarger, H.; Jacobsen, K.; Tao, B.; Zhu, X.C.; McNear, D. Assessing synergistic effects of no-tillage and cover crops on soil carbon dynamics in a long-term maize cropping system under climate change. Agric. For. Meteorol. 2020, 291, 108090. [Google Scholar] [CrossRef]
- Pareja-Sánchez, E.; Cantero-Martínez, C.; Álvaro-Fuentes, J.; Plaza-Bonilla, D. Soil organic carbon sequestration when converting a rainfed cropping system to irrigated corn under different tillage systems and N fertilizer rates. Soil Sci. Soc. Am. J. 2020, 84, 1219–1232. [Google Scholar] [CrossRef]
- Zhong, Y.; Li, J.; Xiong, H. Effect of deficit irrigation on soil CO2 and N2O emissions and winter wheat yield. J. Clean. Prod. 2020, 279, 123718. [Google Scholar] [CrossRef]
- Zornoza, R.; Rosales, R.; Acosta, J.A.; De la Rosa, J.M.; Arcenegui, V.; Faz, Á.; Pérez-Pastor, A. Efficient irrigation management can contribute to reduce soil CO2 emissions in agriculture. Geoderma 2016, 263, 70–77. [Google Scholar] [CrossRef]
- Bowles, T.M.; Barrios-Masias, F.H.; Carlisle, E.A.; Cavagnaro, T.R.; Jackson, L.E. Effects of arbuscular mycorrhizae on tomato yield, nutrient uptake, water relations, and soil carbon dynamics under deficit irrigation in field conditions. Sci. Total Environ. 2016, 566, 1223–1234. [Google Scholar] [CrossRef] [PubMed]
- Hou, H.; Yang, Y.; Han, Z.; Cai, H.; Li, Z. Deficit irrigation effectively reduces soil carbon dioxide emissions from wheat fields in Northwest China. J. Sci. Food Agric. 2019, 99, 5401–5408. [Google Scholar] [CrossRef] [PubMed]
- Flynn, N.E.; Stewart, C.E.; Comas, L.H.; Del Grosso, S.J.; Schnarr, C.; Schipanski, M.; Fischer, J.C.; Stuchiner, E.R.; Fonte, S.J. Deficit irrigation impacts on greenhouse gas emissions under drip-fertigated maize in the Great Plains of Colorado. J. Environ. Qual. 2022, 51, 877–889. [Google Scholar] [CrossRef] [PubMed]
- Hou, H.; Han, Z.; Yang, Y.; Abudu, S.; Cai, H.; Li, Z. Soil CO2 emissions from summer maize fields under deficit irrigation. Environ. Sci. Pollut. Res. 2019, 27, 4442–4449. [Google Scholar] [CrossRef]
- Wang, J.; Li, Y.; Niu, W. Effect of alternating drip irrigation on soil gas emissions, microbial community composition, and root–soil interactions. Agric. Water Manag. 2021, 256, 107123. [Google Scholar] [CrossRef]
- Xu, Y.; Ma, X.; Wang, Y.; Ali, S.; Cai, T.; Jia, Z. Effects of ridge-furrow mulching system with supplementary irrigation on soil respiration in winter wheat fields under different rainfall conditions. Agric. Water Manag. 2020, 239, 106237. [Google Scholar] [CrossRef]
- Yang, S.; Sun, X.; Ding, J.; Jiang, Z.; Liu, X.; Xu, J. Effect of biochar addition on CO2 exchange in paddy fields under water-saving irrigation in Southeast China. J. Environ. Manag. 2020, 271, 111029. [Google Scholar] [CrossRef]
- Sun, X.; Mu, C.; Song, C. Seasonal and spatial variations of methane emissions from montane wetlands in Northeast China. Atmos. Environ. 2011, 45, 1809–1816. [Google Scholar] [CrossRef]
- Mancinelli, R.; Marinari, S.; Brunetti, P.; Radicetti, E.; Campiglia, E. Organic mulching, irrigation and fertilization affect soil CO2 emission and C storage in tomato crop in the Mediterranean environment. Soil Tillage Res. 2015, 152, 39–51. [Google Scholar] [CrossRef]
- Haddaway, N.R.; Hedlund, K.; Jackson, L.E.; Kätterer, T.; Lugato, E.; Thomsen, I.K.; Jørgensen, H.B.; Isberg, P.-E. How does tillage intensity affect soil organic carbon? A systematic review. Environ. Évid. 2017, 6, 30. [Google Scholar] [CrossRef]
- Zhao, P.; Pumpanen, J.; Kang, S. Spatio-temporal variability and controls of soil respiration in a furrow-irrigated vineyard. Soil Tillage Res. 2020, 196, 104424. [Google Scholar] [CrossRef]
- Buragienė, S.; Šarauskis, E.; Romaneckas, K.; Adamavičienė, A.; Kriaučiūnienė, Z.; Avižienytė, D.; Marozas, V.; Naujokienė, V. Relationship between CO2 emissions and soil properties of differently tilled soils. Sci. Total Environ. 2019, 662, 786–795. [Google Scholar] [CrossRef]
- Das, S.; Chatterjee, S.; Rajbanshi, J. Responses of soil organic carbon to conservation practices including climate-smart agriculture in tropical and subtropical regions: A meta-analysis. Sci. Total Environ. 2021, 805, 150428. [Google Scholar] [CrossRef] [PubMed]
- Jabro, J.D.; Sainju, U.; Stevens, W.B.; Evans, R.G. Carbon dioxide flux as affected by tillage and irrigation in soil converted from perennial forages to annual crops. J. Environ. Manag. 2008, 88, 1478–1484. [Google Scholar] [CrossRef]
- Nematpour, A.; Eshghizadeh, H.R.; Zahedi, M.; Gheysari, M. Interactive effects of sowing date and nitrogen fertilizer on water and nitrogen use efficiency in millet cultivars under drought stress. J. Plant Nutr. 2019, 43, 122–137. [Google Scholar] [CrossRef]
- Liu, Q.; Xu, H.; Mu, X.; Zhao, G.; Gao, P.; Sun, W. Effects of Different Fertilization Regimes on Crop Yield and Soil Water Use Efficiency of Millet and Soybean. Sustainability 2020, 12, 4125. [Google Scholar] [CrossRef]
- Gao, X.L.; Ma, J.J.; Jia, Y.R.; Liu, E.K.; Song, L.L. Study on Water Consumption Law and Water High-Use Efficiency Utilization of Millet in the North Region of Shanxi Province. J. Irrig. Drain. 2021, 40, 40–47. (In Chinese) [Google Scholar] [CrossRef]
- Han, G.; Zhou, G. Review of spatial and temporal variations of soil respiration and driving mechanisms. Chin. J. Plant Ecol. 2009, 33, 197–205. [Google Scholar]
- Binkley, D.; Giardina, C. Why do Tree Species Affect Soils? The Warp and Woof of Tree-soil Interactions. Biogeochemistry 1998, 42, 89–106. [Google Scholar] [CrossRef]
- Liu, H.; Liu, H.; Wang, Z.; Xu, M.; Han, X.; Li, L. The temperature sensitivity of soil respiration. Prog. Geogr. 2008, 27, 51–60. [Google Scholar]
- Singh, R.; Srivastava, P.; Singh, P.; Sharma, A.K.; Singh, H.; Raghubanshi, A.S. Impact of rice-husk ash on the soil biophysical and agronomic parameters of wheat crop under a dry tropical ecosystem. Ecol. Indic. 2019, 105, 505–515. [Google Scholar] [CrossRef]
- Soong, J.L.; Jiménez, S.M.; Cotrufo, M.F.; Boeckx, P.; Bodé, S.; Guenet, B.; Peñuelas, J.; Richter, A.; Stahl, C.; Verbruggen, E.; et al. Soil microbial CNP and respiration responses to organic matter and nutrient additions: Evidence from a tropical soil incubation. Soil Biol. Biochem. 2018, 122, 141–149. [Google Scholar] [CrossRef]
- Truong, T.H.H.; Marschner, P. Respiration, available N and microbial biomass N in soil amended with mixes of organic materials differing in C/N ratio and decomposition stage. Geoderma 2018, 319, 167–174. [Google Scholar] [CrossRef]
- Srivastava, P.; Singh, R.; Tripathi, S.; Singh, H.; Raghubanshi, A.S.; Mishra, P.K. A new insight into the warming potential of organically amended agro-ecosystems. Org. Agric. 2018, 8, 275–284. [Google Scholar] [CrossRef]
- Nikolova, P.S.; Raspe, S.; Andersen, C.P.; Mainiero, R.; Blaschke, H.; Matyssek, R.; Häberle, K.-H. Effects of the extreme drought in 2003 on soil respiration in a mixed forest. Forstwiss. Centralblatt 2008, 128, 87–98. [Google Scholar] [CrossRef]
- Linn, D.M.; Doran, J.W. Effect of Water-Filled Pore Space on Carbon Dioxide and Nitrous Oxide Production in Tilled and Nontilled Soils. Soil Sci. Soc. Am. J. 1984, 48, 1267–1272. [Google Scholar] [CrossRef]
- Yang, S.; Liu, X.; Liu, X.; Xu, J. Effect of water management on soil respiration and NEE of paddy fields in Southeast China. Paddy Water Environ. 2017, 15, 787–796. [Google Scholar] [CrossRef]
- Tong, X.; Li, J.; Nolan, R.H.; Yu, Q. Biophysical controls of soil respiration in a wheat-maize rotation system in the North China Plain. Agric. For. Meteorol. 2017, 246, 231–240. [Google Scholar] [CrossRef]
- Liu, X.; Wan, S.; Su, B.; Hui, D.; Luo, Y. Response of soil CO2 efflux to water manipulation in a tallgrass prairie ecosystem. Plant Soil 2002, 240, 213–223. [Google Scholar] [CrossRef]
- Wei, L.; Su, J.; Jing, G.; Zhao, J.; Liu, J.; Cheng, J.; Jin, J. Nitrogen addition decreased soil respiration and its components in a long-term fenced grassland on the Loess Plateau. J. Arid Environ. 2018, 152, 37–44. [Google Scholar] [CrossRef]
- Liu, J.; Schulz, H.; Brandl, S.; Miehtke, H.; Huwe, B.; Glaser, B. Short-term effect of biochar and compost on soil fertility and water status of a Dystric Cambisol in NE Germany under field conditions. J. Plant Nutr. Soil Sci. 2012, 175, 698–707. [Google Scholar] [CrossRef]
- Kumari, T.; Singh, R.; Verma, P.; Raghubanshi, A.S. Monsoon-phase regulates the decoupling of auto- and heterotrophic respiration by mediating soil nutrient availability and root biomass in tropical grassland. CATENA 2021, 209, 105808. [Google Scholar] [CrossRef]
- Li, H.; Fu, S.; Zhao, H.; Xia, H. Forest soil CO2 fluxes as a function of understory removal and N-fixing species addition. J. Environ. Sci. 2011, 23, 949–957. [Google Scholar] [CrossRef]
- Han, C.D.; Ye, X.H.; Ma, L.; Ma, J.H.; Zou, H.T.; Zhang, Y.L. The characteristics of soil CO2 emission and its impact factors of greenhouse potato soil undLer different controlled irrigation low limits. J. Irrig. Drain. 2020, 39, 46–55. (in Chinese) [Google Scholar] [CrossRef]
- Epron, D.; Nouvellon, Y.; Roupsard, O.; Mouvondy, W.; Mabiala, A.; Saint-André, L.; Joffre, R.; Jourdan, C.; Bonnefond, J.-M.; Berbigier, P.; et al. Spatial and temporal variations of soil respiration in a Eucalyptus plantation in Congo. For. Ecol. Manag. 2004, 202, 149–160. [Google Scholar] [CrossRef]
- Shi, P.L.; Zhang, X.Z.; Zhong, Z.M.; Ouyang, H. Diurna land seasonal variability of soil CO2 efflux in a cropland ecosystem on the Tibetan Plateau. Agric. For. Meteor. 2006, 137, 220–233. [Google Scholar] [CrossRef]
- Hou, M.; Jin, Q.; Lu, X.; Li, J.; Zhong, H.; Gao, Y. Growth, Water Use, and Nitrate-15N Uptake of Greenhouse Tomato as Influenced by Different Irrigation Patterns, 15N Labeled Depths, and Transplant Times. Front. Plant Sci. 2017, 8, 666. [Google Scholar] [CrossRef]
- Wang, W.; Guo, J. The contribution of root respiration to soil CO2 efflux in Puccinellia tenuiflora dominated community in a semi-arid meadow steppe. Chin. Sci. Bull. 2006, 51, 697–703. [Google Scholar] [CrossRef]
- Wang, W.; Feng, J.; Oikawa, T. Contribution of Root and Microbial Respiration to Soil CO2 Efflux and Their Environmental Controls in a Humid Temperate Grassland of Japan. Pedosphere 2009, 19, 31–39. [Google Scholar] [CrossRef]
- Liu, Y.; Han, S.-J.; Zhou, Y.-M.; Li, X.-F. Soil and Root Respiration Under Elevated CO2 Concentrations During Seedling Growth of P inus sylvestris var. sylvestriformis. Pedosphere 2007, 17, 660–665. [Google Scholar] [CrossRef]
- Du, W.; Xu, M.; Yin, Y.; Sun, Y.; Wu, J.; Zhu, J.; Guo, H. Elevated CO2 levels alleviated toxicity of ZnO nanoparticles to rice and soil bacteria. Sci. Total Environ. 2021, 804, 149822. [Google Scholar] [CrossRef] [PubMed]
- Zhang, J.; Tang, X.; He, X.; Liu, J. Glomalin-related soil protein responses to elevated CO2 and nitrogen addition in a subtropical forest: Potential consequences for soil carbon accumulation. Soil Biol. Biochem. 2015, 83, 142–149. [Google Scholar] [CrossRef]







| Period | Height/cm | Stem Diameter/cm | Leaf Area Index | Dry Matter Mass/g | ||||
|---|---|---|---|---|---|---|---|---|
| CK | W1 | CK | W1 | CK | W1 | CK | W1 | |
| Seeding stage | 35 ± 1 | 35 ± 1 | 0.42 ± 0.03 | 0.44 ± 0.03 | 0.20 ± 0.01 | 0.21 ± 0.01 | 0.20 ± 0.01 | 0.19 ± 0.01 |
| Jointing stage | 62 ± 1 * | 85 ± 1 * | 0.65 ± 0.03 * | 1.04 ± 0.04 ** | 2.03 ± 0.05 * | 2.37 ± 0.05 ** | 3.90 ± 0.05 * | 5.30 ± 0.07 ** |
| Heading stage | 137 ± 2 * | 146 ± 2 * | 1.20 ± 0.04 * | 1.32 ± 0.05 * | 3.26 ± 0.06 * | 3.97 ± 0.07 * | 17.05 ± 0.22 | 18.10 ± 0.24 * |
| Filling stage | 179 ± 3 | 208 ± 3 * | 0.81 ± 0.03 * | 0.97 ± 0.03 ** | 3.95 ± 0.07 * | 4.18 ± 0.08 ** | 44.60 ± 0.35 * | 48.60 ± 0.36 * |
| Mature stage | 167 ± 3 | 199 ± 3 ** | 0.80 ± 0.03 | 0.80 ± 0.03 * | 4.37 ± 0.08 * | 5.29 ± 0.10 ** | 73.75 ± 0.86 * | 99.33 ± 0.92 ** |
| Treatment | Crop Water Consumption/mm | Yield/kg·hm−2 | WUE/kg·m−3 |
|---|---|---|---|
| W1 | 254.49 | 5478.26 | 2.15 |
| CK | 201.92 | 3363.12 | 1.67 |
Publisher’s Note: MDPI stays neutral with regard to jurisdictional claims in published maps and institutional affiliations. |
© 2022 by the authors. Licensee MDPI, Basel, Switzerland. This article is an open access article distributed under the terms and conditions of the Creative Commons Attribution (CC BY) license (https://creativecommons.org/licenses/by/4.0/).
Share and Cite
Gao, X.; Zhao, N.; Lu, Y.; Han, X.; Yang, Z. Effects of Supplementary Irrigation on Soil Respiration of Millet Farmland in a Semi-Arid Region in China. Atmosphere 2022, 13, 1584. https://doi.org/10.3390/atmos13101584
Gao X, Zhao N, Lu Y, Han X, Yang Z. Effects of Supplementary Irrigation on Soil Respiration of Millet Farmland in a Semi-Arid Region in China. Atmosphere. 2022; 13(10):1584. https://doi.org/10.3390/atmos13101584
Chicago/Turabian StyleGao, Xiaoli, Nan Zhao, Yuhui Lu, Xuan Han, and Zhiping Yang. 2022. "Effects of Supplementary Irrigation on Soil Respiration of Millet Farmland in a Semi-Arid Region in China" Atmosphere 13, no. 10: 1584. https://doi.org/10.3390/atmos13101584
APA StyleGao, X., Zhao, N., Lu, Y., Han, X., & Yang, Z. (2022). Effects of Supplementary Irrigation on Soil Respiration of Millet Farmland in a Semi-Arid Region in China. Atmosphere, 13(10), 1584. https://doi.org/10.3390/atmos13101584
