Development and Evaluation of SLINE 1.0, a Line Source Dispersion Model for Gaseous Pollutants by Incorporating Wind Shear Near the Ground under Stable and Unstable Atmospheric Conditions
Abstract
1. Introduction
2. Literature Review
3. SLINE 1.0 Model Development
3.1. Dispersion Model
3.2. Turbulence Parametrization
- The first flow regime (Initial Phase) is near the mobile sources and the highway. The plume dispersion is dominated by vehicular and thermal turbulence in this phase. The downwind distance used is 6.5 m, as discussed in the following section;
- The second flow regime (Transition Phase) is in the wake area created by wind flow. The Transition Phase includes the effect of thermal turbulence, vehicular turbulence, and atmospheric turbulence. This phase is assumed from the downwind distances of 6.5 m to 50 m. The value of 50 m will depend on the type of vehicles on the highway and could be as high as 150 m for large trucks, as pointed by Yu et al. [37];
- The third flow regime (Dispersion Phase) is away from the vehicular wake area, and the plume dispersion is dominated by atmospheric turbulence.
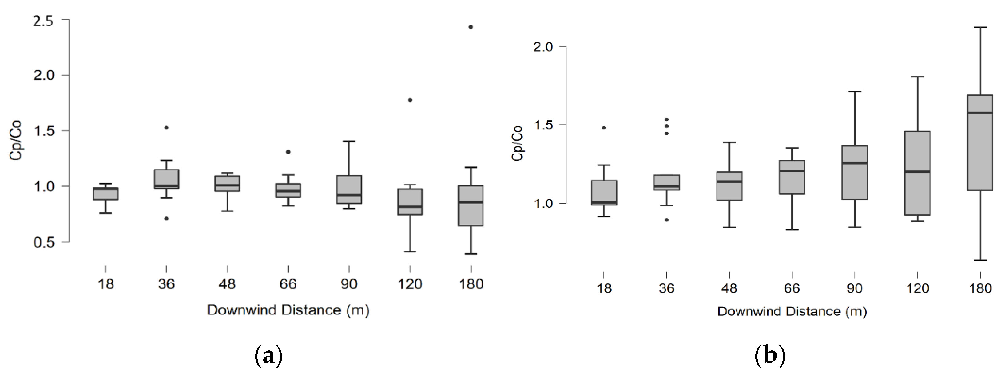
4. Model Evaluation
5. Analysis of Incorporating Wind Shear in SLINE 1.0
6. Sensitivity Analysis
6.1. ASTM Guide (1994) Technique
6.2. Discussion
- 10 m downwind distance, which is near the wake area and in the Initial Phase;
- 50 m downwind distance, which is near the Transition Phase;
- 250 m downwind distance, which is far away from the wake area and in the Dispersion phase.
6.2.1. The Sensitivity of Model Results to the Emission Factor of Pollutants (EF)
6.2.2. The Sensitivity of Model Results to the Exponent of Power-Law Velocity Profile (m)
6.2.3. The Sensitivity of Model Results to Wind Velocity at a Reference Height ()
6.2.4. The Sensitivity of Model Results to Coefficient a
6.2.5. The Sensitivity of Model Results to Coefficient and
6.2.6. The Sensitivity of Model Results to Surface Friction Velocity ()
6.2.7. The Sensitivity of Model Results to Initial Vertical Dispersion ()
6.2.8. Summary
7. Conclusions
Author Contributions
Funding
Institutional Review Board Statement
Informed Consent Statement
Data Availability Statement
Acknowledgments
Conflicts of Interest
References
- Wark, K.; Warner, C.F.; Wayne, T.D. Air Pollution: Its Origin and Control; Addison-Wesley: Boston, MA, USA, 1998. [Google Scholar]
- United Nation (DESA) Homepages. 68% Of the World Population Projected to Live in Urban Areas by 2050, Says UN. Available online: https://www.un.org/development/desa/en/news/population/2018-revision-of-world-urbanization-prospects.html (accessed on 27 August 2020).
- US EPA. Smog, Soot, and Other Air Pollution from Transportation, US EPA. 10 September 2015. Available online: https://www.epa.gov/transportation-air-pollution-and-climate-change/smog-soot-and-local-air-pollution (accessed on 7 November 2020).
- Timothy, S. Guidelines for Developing an Air Quality (Ozone and PM2.5) Forecasting Program; EPA-456/R-03-002; BiblioGov: Washington, DC, USA, June 2003. [Google Scholar]
- Karroum, K.; Lin, Y.; Chiang, Y.-Y.; Ben Maissa, Y.; El Haziti, M.; Sokolov, A.; Delbarre, H. A Review of Air Quality Modeling. MAPAN 2020, 35, 287–300. [Google Scholar] [CrossRef]
- Sharma, N.; Chaudhry, K.K.; Rao, C.V.C. Vehicular pollution prediction modelling: A Review of Highway Dispersion Models. Transp. Rev. 2004, 24, 409–435. [Google Scholar] [CrossRef]
- Cook, R.; Isakov, V.; Touma, J.S.; Benjey, W.; Thurman, J.; Kinnee, E.; Ensley, D. Resolving local-scale emissions for modeling air quality near roadways. J. Air Waste Manag. Assoc. 2008, 58, 451–461. [Google Scholar] [CrossRef]
- Sutton, O.G. Micrometeorology: A Study of Physical Processes in the Lowest Layers of the Earth’s Atmosphere; McGraw-Hill: New York, NY, USA, 1953. [Google Scholar]
- Stockie, J.M. The Mathematics of Atmospheric Dispersion Modeling. SIAM Rev. 2011, 53, 349–372. [Google Scholar] [CrossRef]
- Zimmerman, J.R.; Thompson, R.S. User’s Guide for HIWAY: A Highway Air Pollution Model; US Environmental Protection Agency, Office of Research and Development: Research Triangle Park, NC, USA, 1975.
- Chock, D.P. A simple line-source model for dispersion near roadways. Atmos. Environ. 1978, 12, 823–829. [Google Scholar] [CrossRef]
- Rao, S.T.; Keenan, M.T. Suggestions for Improvement of the EPA-HIWAY Model. J. Air Pollut. Control. Assoc. 1980, 30, 247–256. [Google Scholar] [CrossRef]
- Rao, S.T.; Sistla, G.; Keenan, M.T.; Wilson, J.S. An Evaluation of Some Commonly Used Highway Dispersion Models. J. Air Pollut. Control. Assoc. 1980, 30, 239–246. [Google Scholar] [CrossRef]
- Watson, A.Y.; Bates, R.R.; Kennedy, D. Atmospheric transport and dispersion of air pollutants associated with vehicular emissions. In Air Pollution, the Automobile, and Public Health; National Academies Press: Washington, DC, USA, 1988. [Google Scholar]
- Heist, D.; Isakov, V.; Perry, S.; Snyder, M.; Venkatram, A.; Hood, C.; Stocker, J.; Carruthers, D.; Arunachalam, S.; Owen, R.C. Estimating near-road pollutant dispersion: A model inter-comparison. Transp. Res. Part D Transp. Environ. 2013, 25, 93–105. [Google Scholar] [CrossRef]
- Jones, K.; Wilbur, A. A User’s Manual for the CALINE-2 Computer Program; SE: Washington, DC, USA, 1976; Available online: https://trid.trb.org/view/56208 (accessed on 10 May 2021).
- Benson, P.E. Caline 4-A Dispersion Model for Predicting Air Pollutant Concentrations Near Roadways. 1984. Available online: https://trid.trb.org/view/215944 (accessed on 10 May 2021).
- Luhar, A.K.; Patil, R. A General Finite Line Source Model for vehicular pollution prediction. Atmos. Environ. 1989, 23, 555–562. [Google Scholar] [CrossRef]
- Eckhoff, P.A.; Braverman, T.N. Addendum to the User’s Guide to CAL3QHC Version 2.0 (CAL3QHCR User’s Guide). 1995. Available online: http://citeseerx.ist.psu.edu/viewdoc/summary?doi=10.1.1.360.5544 (accessed on 10 May 2021).
- Boeft, J.D.; Eerens, H.; Tonkelaar, W.D.; Zandveld, P. CAR International: A simple model to determine city street air quality. Sci. Total Environ. 1996, 189-190, 321–326. [Google Scholar] [CrossRef]
- Hall, D.; Spanton, A.; Dunkerley, F.; Bennett, M.; Griffiths, R. A Review of Dispersion Model Inter-Comparison Studies Using ISC, R91, AERMOD and ADMS; Environment Agency: Durham, NC, USA, 2000. Available online: https://citeseerx.ist.psu.edu/viewdoc/download?doi=10.1.1.500.993&rep=rep1&type=pdf (accessed on 10 May 2021).
- Khare, M.; Sharma, P. Performance evaluation of general finite line source model for Delhi traffic conditions. Transp. Res. Part D Transp. Environ. 1999, 4, 65–70. [Google Scholar] [CrossRef]
- Kukkonen, J.; Harkonen, J.; Walden, J.; Karppinen, A.; Lusa, K. Validation of the dispersion model CAR-FMI against measurements near a major road. Int. J. Environ. Pollut. 2001, 16, 137. [Google Scholar] [CrossRef]
- Rao, S.; Sistla, G.; Eskridge, R.; Petersen, W. Turbulent diffusion behind vehicles: Evaluation of ROADWAY models. Atmos. Environ. 1986, 20, 1095–1103. [Google Scholar] [CrossRef]
- Bang, H.Q.; Khue, V.H.N.; Tam, N.T.; Lasko, K. Air pollution emission inventory and air quality modeling for Can Tho City, Mekong Delta, Vietnam. Air Qual. Atmos. Health 2018, 11, 35–47. [Google Scholar] [CrossRef]
- Kenty, K.L.; Poor, N.D.; Kronmiller, K.G.; McClenny, W.; King, C.; Atkeson, T.; Campbell, S.W. Application of CALINE4 to roadside NO/NO2 transformations. Atmos. Environ. 2007, 41, 4270–4280. [Google Scholar] [CrossRef]
- Bluett, J.; Kuschel, G.; Xie, S.; Unwin, M.; Metcalfe, J. The development, use and value of a long-term on-road vehicle emission database in New Zealand. Air Qual. Clim. Change 2013, 47, 17. [Google Scholar]
- US EPA. Air Quality Dispersion Modeling—Preferred and Recommended Models, US EPA. 2 November 2016. Available online: https://www.epa.gov/scram/air-quality-dispersion-modeling-preferred-and-recommended-models (accessed on 7 November 2020).
- Gokhale, S.; Pandian, S. A semi-empirical box modeling approach for predicting the carbon monoxide concentrations at an urban traffic intersection. Atmos. Environ. 2007, 41, 7940–7950. [Google Scholar] [CrossRef]
- Cai, H.; Xie, S. Traffic-related air pollution modeling during the 2008 Beijing Olympic Games: The effects of an odd-even day traffic restriction scheme. Sci. Total. Environ. 2011, 409, 1935–1948. [Google Scholar] [CrossRef]
- Milando, C.W.; Batterman, S.A. Operational evaluation of the RLINE dispersion model for studies of traffic-related air pollutants. Atmos. Environ. 2018, 182, 213–224. [Google Scholar] [CrossRef]
- Bowatte, G.; Lodge, C.J.; Knibbs, L.D.; Erbas, B.; Perret, J.L.; Jalaludin, B.; Morgan, G.G.; Bui, D.S.; Giles, G.G.; Hamilton, G.S.; et al. Traffic related air pollution and development and persistence of asthma and low lung function. Environ. Int. 2018, 113, 170–176. [Google Scholar] [CrossRef]
- Liang, D.; Golan, R.; Moutinho, J.L.; Chang, H.H.; Greenwald, R.; Sarnat, S.E.; Russell, A.G.; Sarnat, J.A. Errors associated with the use of roadside monitoring in the estimation of acute traffic pollutant-related health effects. Environ. Res. 2018, 165, 210–219. [Google Scholar] [CrossRef] [PubMed]
- Amoatey, P.; Omidvarborna, H.; Baawain, M.S.; Al-Mamun, A. Evaluation of vehicular pollution levels using line source model for hot spots in Muscat, Oman. Environ. Sci. Pollut. Res. 2020, 27, 31184–31201. [Google Scholar] [CrossRef] [PubMed]
- Rao, K.S. Analytical Solutions of a Gradient-Transfer Model for Plume Deposition and Sedimentation; Air Resources Lab.: Silver Spring, MD, USA, 1981.
- Nimmatoori, P.; Kumar, A. Development and evaluation of a ground-level area source analytical dispersion model to predict particulate matter concentration for different particle sizes. J. Aerosol Sci. 2013, 66, 139–149. [Google Scholar] [CrossRef]
- Yu, Y.T.; Xiang, S.; Noll, K.E. Evaluation of the Relationship between Momentum Wakes behind Moving Vehicles and Dispersion of Vehicle Emissions Using Near-Roadway Measurements. Environ. Sci. Technol. 2020, 54, 10483–10492. [Google Scholar] [CrossRef] [PubMed]
- Paine, R.; Lee, R.; Brode, R.W.; Wilson, R.; Cimorelli, A. AERMOD: Model Formulation and Evaluation Results; National Exposure Research Laboratory, Office of Research and Development: Research Triangle Park, NC, USA, 1999. Available online: https://cfpub.epa.gov/si/si_public_record_report.cfm?dirEntryId=63755&Lab=NERL (accessed on 10 May 2021).
- Zhang, K.; Batterman, S. Near-Road Air Pollutant Concentrations of CO and PM2.5: A comparison of MOBILE6.2/CALINE4 and generalized additive models. Atmos. Environ. 2010, 44, 1740–1748. [Google Scholar] [CrossRef]
- Benson, P.E. Modifications to the Gaussian Vertical Dispersion Parameter, σz, Near Roadways. Atmos. Environ. 1982, 16, 1399–1405. [Google Scholar] [CrossRef]
- Michelle, G.S.; David, K.H. User’s Guide for R-LINE Model Version 1.2 A Research LINE source model for near-surface releases. In Atmospheric Exposure Research Branch Atmospheric Modeling and Analysis Division; Research Triangle Park, NC, USA, 15 November 2013; Available online: https://www.cmascenter.org/r-line/documentation/1.2/RLINE_UserGuide_11-13-2013.pdf (accessed on 10 May 2021).
- Chock, D.P. General motors sulfate dispersion experiment. Bound. Layer Meteorol. 1980, 18, 431–451. [Google Scholar] [CrossRef]
- Snyder, M.G.; Venkatram, A.; Heist, D.K.; Perry, S.G.; Petersen, W.B.; Isakov, V. RLINE: A line source dispersion model for near-surface releases. Atmos. Environ. 2013, 77, 748–756. [Google Scholar] [CrossRef]
- Venkatram, A. Estimating the convective velocity scale for diffusion applications. Bound. Layer Meteorol. 1978, 15, 447–452. [Google Scholar] [CrossRef]
- CMAS: Community Modeling and Analysis System. Available online: https://www.cmascenter.org/help/documentation.cfm?.model=r-line&version=1.2 (accessed on 10 April 2021).
- Model Evaluation. Available online: http://www.eng.utoledo.edu/aprg/courses/dm/hmodel.html (accessed on 10 April 2021).
- Gudivaka, V.; Kumar, A. An evaluation of four box models for instantaneous dense-gas releases. J. Hazard. Mater. 1990, 25, 237–255. [Google Scholar] [CrossRef]
- Riswadkar, R.M.; Kumar, A. Evaluation of the Industrial Source Complex short-term model in a large-scale multiple source region for different stability classes. Environ. Monit. Assess. 1994, 33, 19–32. [Google Scholar] [CrossRef] [PubMed]
- Patel, V.C.; Kumar, A. Evaluation of Three Air Dispersion Models: ISCST2, ISCLT2, and Screen2 for Mercury Emissions in an Urban Area. Environ. Monit. Assess. 1998, 53, 259–277. [Google Scholar] [CrossRef]
- Kumar, A.; Bellam, N.K.; Sud, A. Performance of an industrial source complex model: Predicting long-term concentrations in an urban area. Environ. Prog. 1999, 18, 93–100. [Google Scholar] [CrossRef]
- Kumar, A.; Luo, J.; Bennett, G.F. Statistical evaluation of Lower Flammability Distance(LFD) using four hazardous release models. Process. Saf. Prog. 1993, 12, 1–11. [Google Scholar] [CrossRef]
- Ahuja, S. Evaluation of Mesopuff-II-SOx Transport and Deposition in the Great Lakes Region; University of Toledo: Toledo, OH, USA, 1996. [Google Scholar]
- JASP. Version 0.14.1.0; University of Amsterdam: Amsterdam, The Netherlands, 2020; Available online: https://jasp-stats.org/ (accessed on 8 April 2021).
- ASTM. Standard Guide for Conducting a Sensitivity Analysis for a Ground-Water Flow Model Application; ASTM: West Conshohocken, PA, USA, 1994; pp. 5611–5694. [Google Scholar]
- Madiraju, S.V.H.; Kumar, A. Development of a Line Source Dispersion Model for Gaseous Pollutants by Incorporating Wind Shear near the Ground under Stable Atmospheric Conditions. Environ. Sci. Proc. 2020, 4, 17. [Google Scholar] [CrossRef]
- Nimmatoori, P.; Kumar, A. Application and sensitivity analysis of two screening dispersion models (SCREEN3 and AERSCREEN) for a ground-level area source. Int. J. Environ. Sci. Eng. Res. 2013, 4, 12. [Google Scholar]










| Model Name | Stability Class Computation | Gas or Particulate Matter | Finite Length Line Source | Orientation of Wind Direction with Roadway | Include Mixing Zone |
|---|---|---|---|---|---|
| CALINE4 | P–G stability | Both | Yes | Any | Yes, within 500 m |
| AERMOD | Monin–Obukhov length | Both | Yes | Any | Yes |
| GFLSM | P–G stability | Both | Yes | Any | Yes |
| SLINE 1.0 | Monin–Obukhov length | Gas | Yes | Any | Yes (using a 3-phase turbulence model) |
| Study | Comment | |
|---|---|---|
| Chock [42] | 1.78 | Thermal turbulence generated by hot vehicle exhaust that contributed to dispersion in near-roadway environments is considered within the mixing zone. Richardson Number (Ri) > 0.07, which is a stable atmospheric condition. |
| Benson [40] | 1.98 | Measured values of at various distances downwind from the roadway centerline under crosswind conditions were used to fit the curve. The intercept on the y-axis is the approximate value of . The atmospheric stability conditions are: Pasquill–Gifford (P–G) classes A to E. P–G class E is considered for this value. |
| 2.78 | P–G class F is considered for this value. | |
| AERMOD [41] | 1.32 | Although RLINE is not a recommended regulatory model, EPA’s PM hotspot guidance recommends setting to the average vehicle height * 1.7/2.15 for all atmospheric conditions (no specific stability conditions are mentioned in the guide for this equation). AERMOD uses the surface roughness length and the Monin–Obukhov length (L) to categorize the atmospheric stability. |
| Wake area model by Yu et al. [37] | 1.92 | was parameterized based on vehicle wake, vehicular density, and vehicle types. Assuming that each vehicle provides an independent vehicle wake indicates there is no interaction between vehicles, and the mixing of the pollutant is uniform throughout the vehicle fleet. Atmospheric stability classes were neutral or stable. |
| Statistical Indicator | Ideal Values | Stable Atmospheric Conditions | Unstable Atmospheric Conditions | Suggested Range from the Literature | Comments | ||
|---|---|---|---|---|---|---|---|
| SLINE 1.0 Stable | SLSM Case | SLINE 1.0 Unstable | SLSM Case | ||||
| Model Bias (µg/m3) | 0 | −8.99 | 42.75 | 1.83 ✓ | 12.69 | Mean error | Minimal error (4% to 8%) for SLINE 1.0. |
| Fractional Bias | 0 | −0.07 ✓ | 0.47 ✓ | 0.04 ✓ | 0.35 ✓ | −0.5 ≤ FB ≤ +0.5 | FB is close to the ideal value. |
| Normalized Mean Square Error | 0 | 0.02 ✓ | 0.81 ✓ | 0.05 ✓ | 0.88 ✓ | Smaller values of NMSE denote better model performance. | The NMSE values for SLINE 1.0 are better than SLSM values. |
| Correlation Coefficient | 1 | 0.98 ✓ | 0.83 ✓ | 0.97 ✓ | 0.80 ✓ | Close to unity implies good model performance. | The results show that at least 94% of SLINE 1.0 model results are correlated with observed values. |
| Geometric Mean Bias | 1 | 0.85 ✓ | 1.58 | 1.08 ✓ | 2.01 | 0.75 ≤ MG ≤ 1.25 | The model shows values close to the ideal value for a perfect model. |
| Geometric Mean Variance | 1 | 1.03 ✓ | 1.23 ✓ | 1.01 ✓ | 1.63 | 0.75 ≤ VG ≤ 1.25 | The model shows values close to the ideal value. A better performance. |
| Fa2 | 1 | 0.99 ✓ | 0.72 | 0.94 ✓ | 0.62 | 0.80 ≤ Fa2 | SLINE 1.0 predicts over 94% of the observed values within a factor of 2. |
| Statistics | Stable Atmospheric Conditions | Unstable Atmospheric Conditions | ||||
|---|---|---|---|---|---|---|
| Co | Cp (SLINE 1.0) | Cp (SLSM) | Co | Cp (SLINE 1.0) | Cp (SLSM) | |
| No. of Data Points | 103 | 103 | 103 | 84 | 84 | 84 |
| Mean | 112.76 | 121.76 | 70.01 | 42.25 | 40.42 | 29.56 |
| Std. Error of Mean | 10.33 | 9.96 | 5.15 | 5.71 | 5.54 | 4.19 |
| Std. Deviation | 104.88 | 101.11 | 52.32 | 52.32 | 50.78 | 38.45 |
| Inter Quartile Range | 141.74 | 153.26 | 90.91 | 26.81 | 31.15 | 27.74 |
| Variance | 10,998.77 | 10,223.05 | 2737.39 | 2736.98 | 2578.95 | 1478.28 |
| Minimum | 8.94 | 5.7 | 2.81 | 1.95 | 1.83 | 0.27 |
| Maximum | 463.34 | 425.32 | 263.11 | 461.09 | 436.34 | 231.59 |
| Parameter | Stable | Unstable |
|---|---|---|
| q (g/m-s) | 0.0028 | 0.0028 |
| z (m) | 0.1 | 0.1 |
| (m/s) | 1.4 | 0.7 |
| n | 0.7 | 0.15 |
| m | 0.3 | 0.85 |
| s | 0.813 | 0.685 |
| γ(s) | 1.28 | 1.32 |
| (m) | 10 | 10 |
| h (m) | 50 | 50 |
| 15.462 | 1.798 | |
| n+1 | 1.7 | 1.15 |
| a | 0.57 | 0.57 |
| (m/s) | 0.05 | 0.15 |
| 3 | - | |
| - | 1.5 | |
| L (m) | 134 | −30 |
| (m) | 0.5 | 0.5 |
| σv (m/s) | 0.095 | 0.730 |
| (m/s) | 0 | 1.120 |
| (m) | 1000 | 1000 |
| Atmospheric Conditions | Emission Factor (g/vehicle. m) | (m/s) | m | (m/s) | a | |
|---|---|---|---|---|---|---|
| Stable | 0.0226 | 1.4 | 0.3 | 0.05 | 0.57 | 3 |
| Unstable | 0.0226 | 0.7 | 0.85 | 0.15 | 0.57 | 1.5 |
| Condition | Categories | Changes in Model Results | Changes in CALIBRATION Residuals |
|---|---|---|---|
| Variation in input variables/parameters | Type I | X | X |
| Type II | X | ✓ | |
| Type III | ✓ | ✓ | |
| Type IV | ✓ | X |
| Model Input Variables/ Parameters | Stable Atmospheric Conditions | Unstable Atmospheric Conditions | ||||||||||||||||
|---|---|---|---|---|---|---|---|---|---|---|---|---|---|---|---|---|---|---|
| 10 m | 50 m | 250 m | 10 m | 50 m | 250 m | |||||||||||||
| MR | CR | Type | MR | CR | Type | MR | CR | Type | MR | CR | Type | MR | CR | Type | MR | CR | Type | |
| EF | ✓ | ✓ | III | ✓ | ✓ | III | ✓ | ✓ | III | ✓ | ✓ | III | ✓ | ✓ | III | ✓ | ✓ | III |
| m | ✓ | ✓ | III | ✓ | ✓ | III | ✓ | ✓ | III | ✓ | ✓ | III | X | ✓ | II | X | X | I |
| ✓ | ✓ | III | ✓ | ✓ | III | X | X | I | ✓ | ✓ | III | ✓ | ✓ | III | X | X | I | |
| a | ✓ | ✓ | III | ✓ | ✓ | III | ✓ | ✓ | III | ✓ | ✓ | III | ✓ | ✓ | III | ✓ | ✓ | III |
| X | ✓ | II | X | ✓ | II | X | ✓ | II | NA | NA | NA | NA | NA | NA | NA | NA | NA | |
| NA | NA | NA | NA | NA | NA | NA | NA | NA | X | X | I | X | ✓ | II | X | ✓ | II | |
| ✓ | ✓ | III | ✓ | ✓ | III | ✓ | ✓ | III | ✓ | ✓ | III | ✓ | ✓ | III | ✓ | ✓ | III | |
| ✓ | ✓ | III | ✓ | ✓ | III | X | ✓ | II | ✓ | ✓ | III | X | ✓ | II | X | X | I | |
Publisher’s Note: MDPI stays neutral with regard to jurisdictional claims in published maps and institutional affiliations. |
© 2021 by the authors. Licensee MDPI, Basel, Switzerland. This article is an open access article distributed under the terms and conditions of the Creative Commons Attribution (CC BY) license (https://creativecommons.org/licenses/by/4.0/).
Share and Cite
Madiraju, S.V.H.; Kumar, A. Development and Evaluation of SLINE 1.0, a Line Source Dispersion Model for Gaseous Pollutants by Incorporating Wind Shear Near the Ground under Stable and Unstable Atmospheric Conditions. Atmosphere 2021, 12, 618. https://doi.org/10.3390/atmos12050618
Madiraju SVH, Kumar A. Development and Evaluation of SLINE 1.0, a Line Source Dispersion Model for Gaseous Pollutants by Incorporating Wind Shear Near the Ground under Stable and Unstable Atmospheric Conditions. Atmosphere. 2021; 12(5):618. https://doi.org/10.3390/atmos12050618
Chicago/Turabian StyleMadiraju, Saisantosh Vamshi Harsha, and Ashok Kumar. 2021. "Development and Evaluation of SLINE 1.0, a Line Source Dispersion Model for Gaseous Pollutants by Incorporating Wind Shear Near the Ground under Stable and Unstable Atmospheric Conditions" Atmosphere 12, no. 5: 618. https://doi.org/10.3390/atmos12050618
APA StyleMadiraju, S. V. H., & Kumar, A. (2021). Development and Evaluation of SLINE 1.0, a Line Source Dispersion Model for Gaseous Pollutants by Incorporating Wind Shear Near the Ground under Stable and Unstable Atmospheric Conditions. Atmosphere, 12(5), 618. https://doi.org/10.3390/atmos12050618
