Determination and Similarity Analysis of PM2.5 Emission Source Profiles Based on Organic Markers for Monterrey, Mexico
Abstract
1. Introduction
2. Materials and Methods
2.1. Study Area and Sampling
2.2. Sampling Sites Description
2.3. Sample Analysis
2.3.1. Gravimetry and OC Determination
2.3.2. Organic Markers Characterization
2.4. Source Profile Representativeness
2.4.1. Carbon Number Indicators
2.4.2. PAHs Ratios
2.4.3. Test of Similarity between Organic Source Profiles
3. Results and Discussion
3.1. General Results
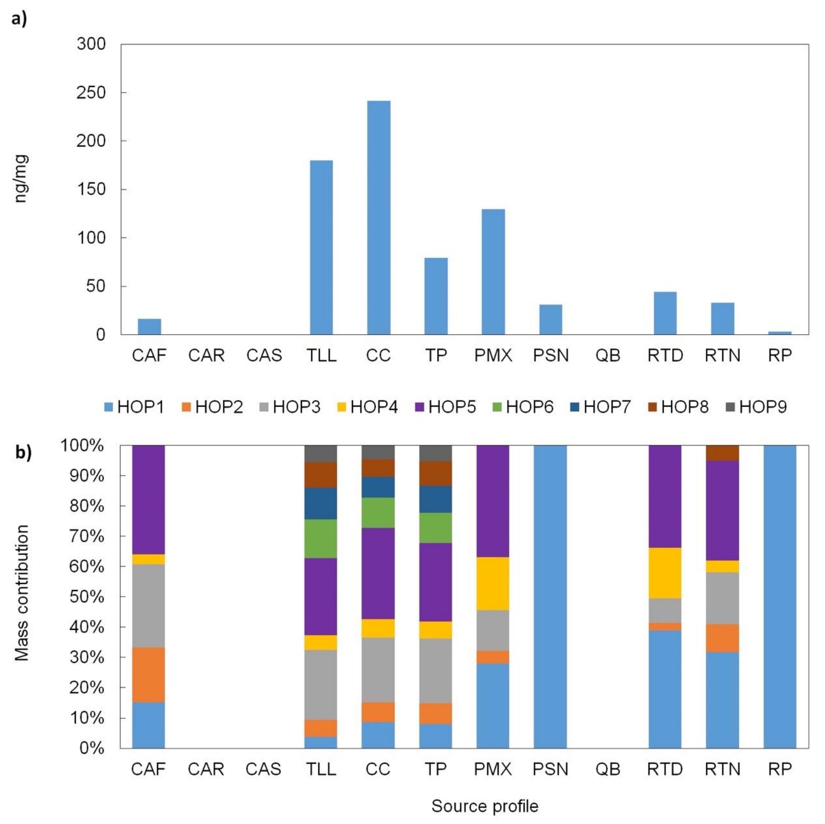
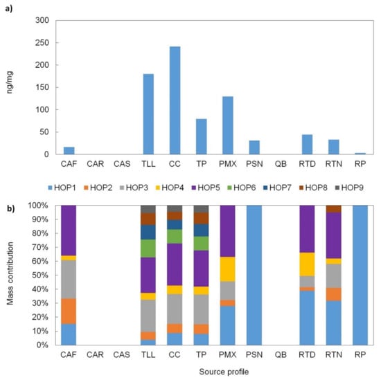
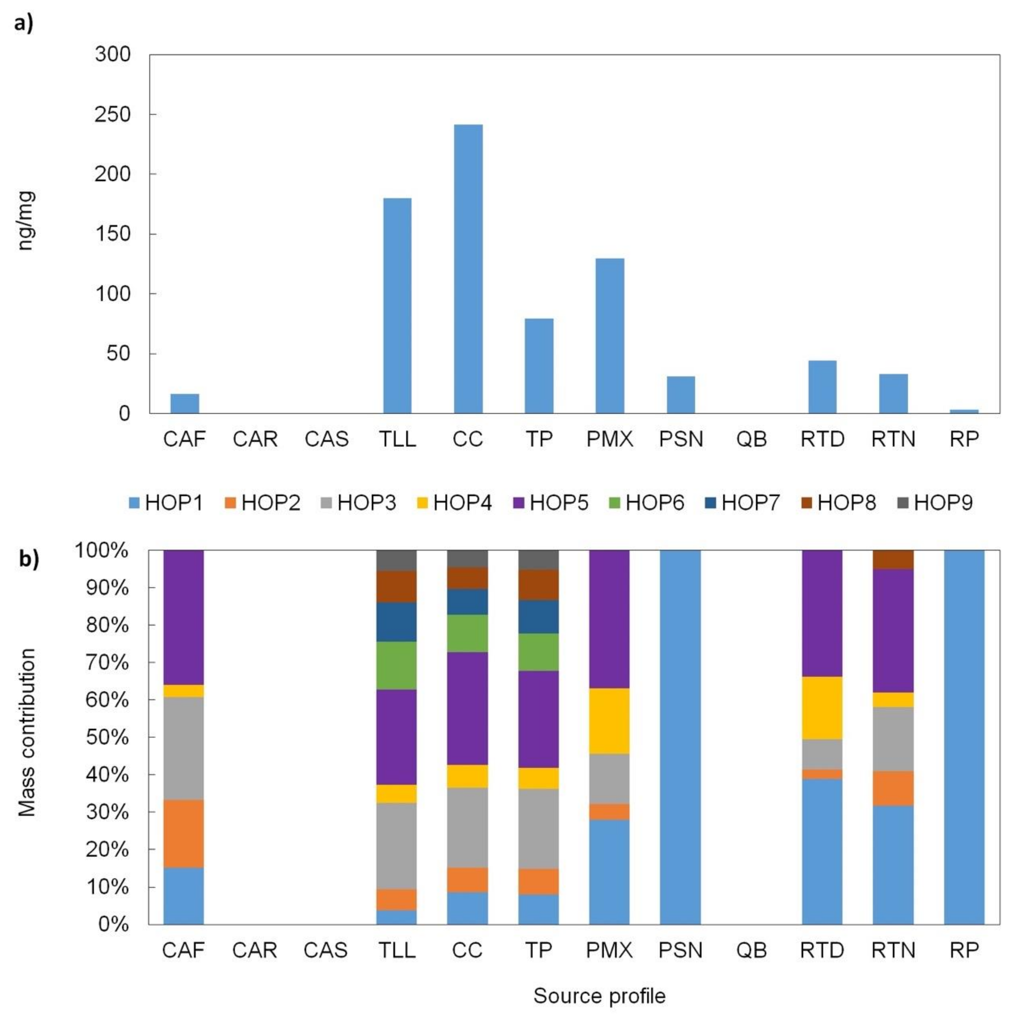
3.2. n-alkanes and Hopanes
3.3. Polycyclic Aromatic Hydrocarbons (PAHs)
3.4. n-alkanoic Acids
3.5. Levoglucosan and Cholesterol
3.6. Methoxyphenols
3.7. Resin Acids (Diterpenoids)
3.8. Secondary Organic Markers
3.9. Source Profile Similarity Analysis
4. Conclusions
Supplementary Materials
Author Contributions
Funding
Institutional Review Board Statement
Informed Consent Statement
Data Availability Statement
Conflicts of Interest
References
- Jacobson, M.C.; Hansson, H.-C.; Noone, K.J.; Charlson, R.J. Organic atmospheric aerosols: Review and state of the science. Rev. Geophys. 2000, 38, 267–294. [Google Scholar] [CrossRef]
- Grahame, T.J.; Klemm, R.; Schlesinger, R.B. Public health and components of particulate matter: The changing assessment of black carbon. J. Air Waste Manag. Assoc. 2014, 64, 620–660. [Google Scholar] [CrossRef]
- Atkinson, R.W.; Mills, I.C.; Walton, H.A.; Anderson, H.R. Fine particle components and health—A systematic review and meta-analysis of epidemiological time series studies of daily mortality and hospital admissions. J. Expo. Sci. Environ. Epidemiol. 2015, 25, 208–214. [Google Scholar] [CrossRef] [PubMed]
- Srivastava, D.; Favez, O.; Perraudin, E.; Villenave, E.; Albinet, A. Comparison of Measurement-Based Methodologies to Apportion Secondary Organic Carbon (SOC) in PM2.5: A Review of Recent Studies. Atmosphere 2018, 9, 452. [Google Scholar] [CrossRef]
- Christiansen, A.E.; Carlton, A.G.; Porter, W.C. Changing Nature of Organic Carbon over the United States. Environ. Sci. Technol. 2020, 54, 10524–10532. [Google Scholar] [CrossRef] [PubMed]
- McNeill, V.F. Atmospheric Aerosols: Clouds, Chemistry, and Climate. Annu. Rev. Chem. Biomol. Eng. 2017, 8, 427–444. [Google Scholar] [CrossRef]
- Mukherjee, A.; Agrawal, M. World air particulate matter: Sources, distribution and health effects. Environ. Chem. Lett. 2017, 15, 283–309. [Google Scholar] [CrossRef]
- Noziere, B.; Kalberer, M.; Claeys, M.; Allan, J.; D’Anna, B.; Decesari, S.; Finessi, E.; Glasius, M.; Grgic, I.; Hamilton, J.F.; et al. The molecular identification of organic compounds in the atmosphere: State of the art and challenges. Chem. Rev. 2015, 115, 3919–3983. [Google Scholar] [CrossRef]
- Pirhadi, M.; Mousavi, A.; Taghvaee, S.; Shafer, M.M.; Sioutas, C. Semi-volatile components of PM2.5 in an urban environment: Volatility profiles and associated oxidative potential. Atmos. Environ. 2020, 223, 117197. [Google Scholar] [CrossRef]
- Klyta, J.; Czaplicka, M. Determination of secondary organic aerosol in particulate matter—Short review. Microchem. J. 2020, 157, 104997. [Google Scholar] [CrossRef]
- Ali, M.U.; Liu, G.; Yousaf, B.; Ullah, H.; Abbas, Q.; Munir, M.A.M. A systematic review on global pollution status of particulate matter-associated potential toxic elements and health perspectives in urban environment. Environ. Geochem. Health 2019, 41, 1131–1162. [Google Scholar] [CrossRef]
- Schauer, J.J.; Rogge, W.F.; Hildemann, L.M.; Mazurek, M.A.; Cass, G.R.; Simoneit, B.R.T. Source apportionment of airborne particulate matter using organic compounds as tracers. Atmos. Environ. 1996, 30, 3837–3855. [Google Scholar] [CrossRef]
- Schauer, J.J.; Cass, G.R. Source apportionment and particle phase air pollutants using organic compounds as tracers. Environ. Sci. Technol. 2000, 34, 1821–1832. [Google Scholar] [CrossRef]
- Lin, L.; Lee, M.L.; Eatough, D.J. Review of recent advances in detection of organic markers in fine particulate matter and their use for source apportionment. J. Air Waste Manag. Assoc. 2010, 60, 3–25. [Google Scholar] [CrossRef]
- Calvo, A.; Alves, C.; Castro, A.; Pont, V.; Vicente, A.; Fraile, R. Research on Aerosol Sources and Chemical Composition: Past, Current and Emerging Issues. Atmos. Res. 2013, 120, 1–28. [Google Scholar] [CrossRef]
- Belis, C.A.; Karagulian, F.; Larsen, B.R.; Hopke, P.K. Critical review and meta-analysis of ambient particulate matter source apportionment using receptor models in Europe. Atmos. Environ. 2013, 69, 94–108. [Google Scholar] [CrossRef]
- Hopke, P.K.; Dai, Q.; Li, L.; Feng, Y. Global review of recent source apportionments for airborne particulate matter. Sci. Total Environ. 2020, 740, 140091. [Google Scholar] [CrossRef]
- Hopke, P.K. Review of receptor modeling methods for source apportionment. J. Air Waste Manag. Assoc. 2016, 66, 237–259. [Google Scholar] [CrossRef]
- Cai, T.; Schauer, J.J.; Huang, W.; Fang, D.; Shang, J.; Wang, Y.; Zhang, Y. Sensitivity of source apportionment results to mobile source profiles. Environ. Pollut. 2016, 219, 821–828. [Google Scholar] [CrossRef]
- Mancilla, Y.; Herckes, P.; Fraser, M.P.; Mendoza, A. Secondary organic aerosol contributions to PM2.5 in Monterrey, Mexico: Temporal and seasonal variation. Atmos. Res. 2015, 153, 348–359. [Google Scholar] [CrossRef]
- Martínez-Cinco, M.; Santos-Guzmán, J.; Mejía-Velázquez, G. Source apportionment of PM2.5 for supporting control strategies in the Monterrey Metropolitan Area, Mexico. J. Air Waste Manag. Assoc. 2016, 66, 631–642. [Google Scholar] [CrossRef] [PubMed]
- González-Santiago, O. Determinación del Contenido de PAH’s en Partículas PM2.5 en una Zona de alto tráfico Vehicular y Otra con Potencial Exposición Industrial del Área Metropolitana de Monterrey. Ph.D. Thesis, Facultad de Ciencias Químicas, Universidad Autónoma de Nuevo León (UANL), San Nicolás de los Garza, NL, Mexico, 2009. Available online: http://eprints.uanl.mx/1959/1/1080186668.pdf (accessed on 5 March 2021).
- López-Ayala, O.; González-Hernández, L.T.; Alcantar-Rosales, V.M.; Elizarragaz de la Rosa, D.; Heras-Ramírez, M.E.; Silva-Vidaurri, L.G.; Alfaro-Barbosa, J.M.; Gaspar-Ramírez, O. Levels of polycyclic aromatic hydrocarbons associated with particulate matter in a highly urbanized and industrialized region in northeastern Mexico. Atmos. Pollut. Res. 2019, 10, 1655–1662. [Google Scholar] [CrossRef]
- Mancilla, Y.; Mendoza, A.; Fraser, M.P.; Herckes, P. Organic composition and source apportionment of fine aerosol at Monterrey, Mexico, based on organic markers. Atmos. Chem. Phys. 2016, 16, 953–970. [Google Scholar] [CrossRef]
- Stone, E.; Snyder, D.; Sheelsey, R.; Sullivan, A.; Weber, R.; Schauer, J. Source Apportionment of Fine Organic Aerosol in Mexico City During the MILAGRO Experiment 2006. Atmos. Chem. Phys. 2008, 8, 1249–1259. [Google Scholar] [CrossRef]
- Martinez–Cinco, M.A.; Caballero, P.; Carrillo, O.; Mendoza, A.; Mejía, M.G. Chemical characterization and factor analysis of PM2.5 in two sites of Monterrey, Mexico. J. Air Waste Manag. Assoc. 2012, 62, 817–827. [Google Scholar] [CrossRef]
- Secretaria de Desarrollo Sustentable; Secretaría de Medio Ambiente y Recursos Naturales. Programa de Gestión para Mejorar la Calidad del Aire del Estado de Nuevo León ProAire 2016–2025; Gobierno de Estado de Nuevo León: Monterrey, Mexico, 2016. Available online: https://www.gob.mx/cms/uploads/attachment/file/250974/ProAire_Nuevo_Leon.pdf (accessed on 20 June 2020).
- Chow, J.C.; Watson, J.G.; Kuhns, H.; Etyemezian, V.; Lowenthal, D.H.; Crow, D.; Kohl, S.D.; Engelbrecht, J.P.; Green, M.C. Source profiles for industrial, mobile, and area sources in the Big Bend Regional Aerosol Visibility and observational study. Chemosphere 2004, 54, 185–208. [Google Scholar] [CrossRef]
- Pulong, C.; Tijian, W.; Mei, D.; Kasoar, M.; Yong, H.; Min, X.; Shu, L.; Bingliang, Z.; Mengmeng, L.; Tunan, H. Characterization of major natural and anthropogenic source profiles for size-fractionated PM in Yangtze River Delta. Sci. Total Environ. 2017, 598, 135–145. [Google Scholar] [CrossRef]
- Mancilla, Y.; Mendoza, D. A tunnel study to characterize PM2.5 emissions from gasoline–powered vehicles in Monterrey, Mexico. Atmos. Environ. 2012, 59, 449–460. [Google Scholar] [CrossRef]
- Plewka, A.; Gnauk, T.; Brüggemann, E.; Neusüss, C.; Herrmann, H. Size-resolved aerosol characterization for a polluted episode at the IfT research station Melpitz in autumn 1997. J. Atmos. Chem. 2004, 48, 131–156. [Google Scholar] [CrossRef]
- Birch, M.E.; Cary, R.A. Elemental Carbon-Based Method for Monitoring Occupational Exposures to Particulate Diesel Exhaust. Aerosol Sci. Tech. 1996, 25, 221–241. [Google Scholar] [CrossRef]
- Brown, S.; Herckes, P.; Ashbaugh, L.; Hannigan, M.; Kreidenweis, S.; Collett, J. Characterization of Organic Aerosol in Big Bend National Park, Texas. Atmos. Environ. 2002, 26, 5807–5818. [Google Scholar] [CrossRef]
- Tsapakis, M.; Lagoudaki, E.; Stephanou, E.G.; Kavouras, I.G.; Koutrakis, P.; Oyola, P.; von Baer, D. The composition and sources of PM2.5 organic aerosol in two urban areas of Chile. Atmos. Environ. 2002, 36, 3851–3863. [Google Scholar] [CrossRef]
- Harrad, S.; Hassoun, S.; Callén Romero, M.S.; Harrison, R.M. Characterisation and source attribution of the semi-volatile organic content of atmospheric particles and associated vapour phase in Birmingham, UK. Atmos. Environ. 2003, 37, 4985–4991. [Google Scholar] [CrossRef]
- Kalaitzoglou, M.; Terzi, E.; Samara, C. Patterns and sources of particle-phase aliphatic and polycyclic aromatic hydrocarbons in urban and rural sites of western Greece. Atmos. Environ. 2004, 38, 2545–2560. [Google Scholar] [CrossRef]
- Feng, J.; Hu, M.; Chan, C.K.; Lau, P.S.; Fang, M.; He, L.; Tang, X. A comparative study of the organic matter in PM2.5 from three Chinese megacities in three different climatic zones. Atmos. Environ. 2006, 40, 3983–3994. [Google Scholar] [CrossRef]
- Kang, M.; Ren, L.; Ren, H.; Zhao, Y.; Kawamura, K.; Zhang, H.; Wei, L.; Sun, Y.; Wang, Z.; Fu, P. Primary biogenic and anthropogenic sources of organic aerosols in Beijing, China: Insights from saccharides and n-alkanes. Environ. Pollut. 2018, 243, 1579–1587. [Google Scholar] [CrossRef]
- Li, J.; Wang, G.; Aggarwal, S.G.; Huang, Y.; Ren, Y.; Zhou, B.; Singh, K.; Gupta, P.K.; Cao, J.; Zhang, R. Comparison of abundances, compositions and sources of elements, inorganic ions and organic compounds in atmospheric aerosols from Xi’an and New Delhi, two megacities in China and India. Sci. Total Environ. 2014, 485–495. [Google Scholar] [CrossRef]
- Esmaeilirad, S.; Lai, A.; Abbaszade, G.; Schnelle-Kreis, J.; Zimmermann, R.; Uzu, G.; Daellenbach, K.; Canonaco, F.; Hassankhany, H.; Arhami, M.; et al. Source apportionment of fine particulate matter in a middle eastern metropolis, Tehran-Iran, using PMF with organic and inorganic markers. Sci. Total Environ. 2020, 705, 135330. [Google Scholar] [CrossRef]
- Gelencsér, A. Carbonaceous Aerosol: Atmospheric and Oceanographic Sciences Library; Springer Publications: Dordrecht, The Netherlands, 2004; pp. 184–190. [Google Scholar]
- Kang, M.; Fu, P.; Aggarwal, S.G.; Kumar, S.; Zhao, Y.; Sun, Y.; Wang, Z. Size distributions of n-alkanes, fatty acids and fatty alcohols in springtime aerosols from New Delhi, India. Environ. Pollut. 2016, 219, 957–966. [Google Scholar] [CrossRef]
- Pateraki, S.; Manousakas, M.; Bairachtari, K.; Kantarelou, V.; Eleftheriadis, K.; Vasilakos, C.; Assimakopoulos, V.D.; Maggos, T. The traffic signature on the vertical PM profile: Environmental and health risks within an urban roadside environment. Sci. Total Environ. 2019, 646, 448–459. [Google Scholar] [CrossRef]
- Romagnoli, P.; Balducci, C.; Perilli, M.; Esposito, G.; Cecinato, A. Organic molecular markers in marine aerosols over the western mediterranean sea. Environ. Pollut. 2019, 248, 145–458. [Google Scholar] [CrossRef] [PubMed]
- Young, L.-H.; Wang, C.-S. Characterization of n-alkanes in PM2.5 of the Taipei aerosol. Atmos. Environ. 2002, 36, 477–482. [Google Scholar] [CrossRef]
- Sklorz, M.; Schnelle-Kreis, J.; Liu, Y.; Orasche, J.; Zimmermann, R. Daytime resolved analysis of polycyclic aromatic hydrocarbons in urban aerosol samples–Impact of sources and meteorological conditions. Chemosphere 2007, 67, 934–943. [Google Scholar] [CrossRef] [PubMed]
- Dvorská, A.; Lammel, G.; Klánová, J. Use of diagnostic ratios for studying source apportionment and reactivity of ambient polycyclic aromatic hydrocarbons over central Europe. Atmos. Environ. 2011, 45, 420–427. [Google Scholar] [CrossRef]
- Katsoyiannis, A.; Sweetman, A.J.; Jones, K.C. PAH molecular diagnostic ratios applied to atmospheric sources: A critical evaluation using two decades of source inventory and air concentration data from UK. Environ. Sci. Technol. 2011, 45, 8897–8906. [Google Scholar] [CrossRef]
- Chen, F.; Hu, W.; Zhong, Q. Emissions of particle-phase polycyclic aromatic hydrocarbons (PAHs) in the Fu Gui-shan Tunnel of Nanjing, China. Atmos. Res. 2013, 124, 53–60. [Google Scholar] [CrossRef]
- Alves, C.A.; Vicente, A.M.P.; Gomes, J.; Nunes, T.; Duarte, M.; Bandowe, B.A.M. Polycyclic aromatic hydrocarbons (PAHs) and their derivatives (oxygenated-PAHs, nitrated-PAHs and azaarenes) in size-fractionated particles emitted in an urban road tunnel. Atmos. Res. 2016, 180, 128–137. [Google Scholar] [CrossRef]
- Demir, T.; Yenisoy-Karakaş, S.; Karakaş, D. PAHs, elemental and organic carbons in a highway tunnel atmosphere and road dust: Discrimination of diesel and gasoline emissions. Build. Environ. 2019, 160, 106166. [Google Scholar] [CrossRef]
- Mao, Y.; Hu, T.; Shi, M.; Cheng, C.; Liu, W.; Zhang, J.; Qi, S.; Xing, X. PM2.5-bound PAHs during a winter haze episode in a typical mining city, central China: Characteristics, influencing parameters, and sources. Atmos. Pollut. Res. 2020, 11, 131–140. [Google Scholar] [CrossRef]
- Tobiszewski, M.; Namieśnik, J. PAH diagnostic ratios for the identification of pollution emission sources. Environ. Pollut. 2012, 162, 110–119. [Google Scholar] [CrossRef]
- Kong, S.; Ji, Y.; Li, Z.; Lu, B.; Bai, Z. Emission and profile characteristic of polycyclic aromatic hydrocarbons in PM2.5 and PM10 from stationary sources based on dilution sampling. Atmos. Environ. 2013, 77, 155–165. [Google Scholar] [CrossRef]
- Liu, Y.; Gao, Y.; Yu, N.; Zhang, C.; Wang, S.; Ma, L.; Zhao, J.; Lohmann, R. Particulate matter, gaseous and particulate polycyclic aromatic hydrocarbons (PAHs) in an urban traffic tunnel of China: Emission from on-road vehicles and gas-particle partitioning. Chemosphere 2015, 134, 52–59. [Google Scholar] [CrossRef]
- Zhu, Y.; Yang, L.; Meng, C.; Yuan, Q.; Yan, C.; Dong, C.; Sui, X.; Yao, L.; Yang, F.; Lu, Y.; et al. Indoor/outdoor relationships and diurnal/nocturnal variations in water-soluble ion and PAH concentrations in the atmospheric PM2.5 of a business office area in Jinan, a heavily polluted city in China. Atmos. Res. 2015, 153, 276–285. [Google Scholar] [CrossRef]
- Zhang, F.; Zhang, R.; Guan, M.; Shu, Y.; Shen, L.; Chen, X.; Li, T. Polycyclic aromatic hydrocarbons (PAHs) and Pb isotopic ratios in a sediment core from Shilianghe Reservoir, eastern China: Implying pollution sources. Appl. Geochem. 2016, 66, 140–148. [Google Scholar] [CrossRef]
- Zhang, N.; Han, B.; He, F.; Xu, J.; Zhao, R.; Zhang, Y.; Bai, Z. Chemical characteristic of PM2.5 emission and inhalational carcinogenic risk of domestic Chinese cooking. Environ. Pollut. 2017, 227, 24–30. [Google Scholar] [CrossRef]
- Belis, C.A.; Pernigotti, D. DeltaSA tool for source apportionment bechmarking, description and sensitivity analysis. Atmos. Environ. 2018, 180, 138–148. [Google Scholar] [CrossRef]
- Weber, S.; Salameh, D.; Albinet, A.; Alleman, L.Y.; Waked, A.; Besombes, J.-L.; Jacob, V.; Guillaud, G.; Meshbah, B.; Rocq, B.; et al. Comparison of PM10 Sources Profiles at 15 French Sites Using a Harmonized Constrained Positive Matrix Factorization Approach. Atmosphere 2019, 10, 310. [Google Scholar] [CrossRef]
- Karagulian, F.; Belis, C.A.; Dora, C.F.; Prüss-Ustün, A.M.; Bonjour, S.; Adair-Rohani, H.; Amann, M. Contributions to cities’ ambient particulate matter (PM): A systematic review of local source contributions at global level. Atmos. Environ. 2015, 120, 475–483. [Google Scholar] [CrossRef]
- Pinto, J.P.; Lefohn, A.S.; Shadwick, D.S. Spatial variability of PM2.5 in urban areas in the United States. J. Air Waste Manag. Assoc. 2004, 54, 440–449. [Google Scholar] [CrossRef]
- Simoneit, B.R.T.; Kobayashi, M.; Mochida, M.; Kawamura, K.; Lee, M.; Lim, H.-J.; Turpin, B.; Komazaki, Y. Composition and major sources of organic compounds of aerosol particulate matter sampled during the ACE-Asia campaign. J. Geophys. Res. Atmos. 2004, 109, 1–22. [Google Scholar] [CrossRef]
- Rogge, W.F.; Hildemann, L.M.; Mazurek, M.A.; Cass, G.R.; Simoneit, B.R.T. Sources of fine organic aerosol. 2. Noncatalyst and catalyst-equipped automobiles and Heavy-duty diesel trucks. Environ. Sci. Technol. 1993, 27, 636–651. [Google Scholar] [CrossRef]
- Phuleria, H.C.; Sheesley, R.J.; Schauer, J.J.; Fine, P.M.; Sioutas, C. Roadside measurements of size-segregated particulate organic compounds near gasoline and diesel-dominated freeways in Los Angeles, CA. Atmos. Environ. 2007, 41, 4653–4671. [Google Scholar] [CrossRef]
- Pérez Pastor, R.; Salvador, P.; García Alonso, S.; Alastuey, A.; García dos Santos, S.; Querol, X.; Artíñano, B. Characterization of organic aerosol at a rural site influenced by olive waste biomass burning. Chemosphere 2020, 248, 125896. [Google Scholar] [CrossRef]
- Simoneit, B.R.T.; Mazurek, M.A. Organic matter of the troposphere—II. Natural background of biogenic lipid matter in aerosols over the rural western United States. Atmos. Environ. 1982, 16, 2139–2159. [Google Scholar] [CrossRef]
- Seigler, D.S. Plant Waxes. In Plant Secondary Metabolism; Springer: Boston, MA, USA, 1998. [Google Scholar] [CrossRef]
- Cai, T.; Zhang, Y.; Fang, D.; Shang, J.; Zhang, Y.; Zhang, Y. Chinese vehicle emissions characteristic testing with small sample size: Results and comparison. Atmos. Pollut. Res. 2017, 8, 154–163. [Google Scholar] [CrossRef]
- Schauer, J.J.; Kleeman, M.J.; Cass, G.R.; Simoneit, B.R.T. Measurement of Emissions from Air Pollution Sources. 3. C1-C29 Organic Compounds from Fireplace Combustion of Wood. Environ. Sci. Technol. 2001, 35, 1716–1728. [Google Scholar] [CrossRef] [PubMed]
- Kawamura, K.; Ishimura, Y.; Yamazaki, K. Four years’ observations of terrestrial lipid class compounds in marine aerosols from the western North Pacific. Glob. Biogeochem. Cycles 2003, 17, 1–3. [Google Scholar] [CrossRef]
- Yadav, S.; Tandon, A.; Attri, A.K. Monthly and seasonal variations in aerosol associated n-alkane profiles in relation to meteorological parameters in New Delhi, India. Aerosol Air Qual. Res. 2013, 13, 287–300. [Google Scholar] [CrossRef]
- Shrivastava, M.K.; Subramanian, R.; Rogge, W.F.; Robinson, A.L. Sources of organic aerosol: Positive matrix factorization of molecular marker data and comparison of results from different source apportionment models. Atmos. Environ. 2007, 41, 9353–9369. [Google Scholar] [CrossRef]
- Simoneit, B.R.T. Biomass burning-a review of organic tracers for smoke from incomplete combustion. Appl. Geochem. 2002, 17, 129–162. [Google Scholar] [CrossRef]
- Vila-Escalé, M.; Vegas-Vilarrúbia, T.; Prat, N. Release of polycyclic aromatic compounds into a Mediterranean creek (Catalonia, NE Spain) after a forest fire. Water Resour. 2007, 41, 2171–2179. [Google Scholar] [CrossRef] [PubMed]
- Marr, L.C.; Grogan, L.A.; Wöhrnschimmel, H.; Molina, L.T.; Molina, M.J.; Smith, T.J.; Garshick, E. Vehicle traffic as a source of particulate polycyclic aromatic hydrocarbon exposure in the Mexico City metropolitan area. Environ. Sci. Technol. 2004, 38, 2584–2592. [Google Scholar] [CrossRef] [PubMed]
- Wang, C.; Meng, Z.; Yao, P.; Zhang, L.; Wang, Z.; Lv, Y.; Tian, Y.; Feng, Y. Sources-specific carcinogenicity and mutagenicity of PM2.5-bound PAHs in Beijing, China: Variations of contributions under diverse anthropogenic activities. Ecotox. Environ. Safe. 2019, 183, 109552. [Google Scholar] [CrossRef] [PubMed]
- Ramdahl, T. Retene—A molecular marker of wood combustion in ambient air. Nature 1983, 306, 580–582. [Google Scholar] [CrossRef]
- Schauer, J.J.; Kleeman, M.J.; Cass, G.R.; Simoneit, B.R.T. Measurement of Emissions from Air Pollution Sources. 4. C1-C27 Organic Compounds from Cooking with Seed Oils. Environ. Sci. Technol. 2002, 36, 567–575. [Google Scholar] [CrossRef]
- Schauer, J.J.; Kleeman, M.J.; Cass, G.R.; Simoneit, B.R.T. Measurement of emissions from Air Pollution Sources. 5. C1-C32 Organic Compounds from Gasoline-Powered Motor Vehicles. Environ. Sci. Technol. 2002, 36, 1169–1180. [Google Scholar] [CrossRef]
- Schauer, J.J.; Kleeman, M.J.; Cass, G.R.; Simoneit, B.R.T. Measurements of emissions from air pollution sources. 2. C1 through C30 organic compounds from medium duty diesel trucks. Environ. Sci. Technol. 1999, 33, 1578–1587. [Google Scholar] [CrossRef]
- Rogge, W.F.; Hildemann, L.M.; Mazurek, M.A.; Cass, G.R.; Simoneit, B.R.T. Sources of fine organic aerosol. 5. Natural gas home appliances. Environ. Sci. Technol. 1993, 27, 2736–2744. [Google Scholar] [CrossRef]
- Zhao, X.; Wang, X.; Ding, X.; He, Q.; Zhang, Z.; Liu, T.; Fu, X.; Gao, B.; Wang, Y.; Zhang, Y.; et al. Composition and sources of organic acids in fine particles (PM2.5) over the Pearl River Delta region, south China. J. Environ. Sci. 2014, 26, 110–121. [Google Scholar] [CrossRef]
- Zhao, X.; Hu, Q.; Wang, X.; Ding, X.; He, Q.; Zhang, Z.; Shen, R.; Lü, S.; Liu, T.; Fu, X. Composition profiles of organic aerosols from Chinese residential cooking: Case study in urban Guangzhou, south China. J. Atmos. Chem. 2015, 72, 1–18. [Google Scholar] [CrossRef]
- Schauer, J.J.; Kleeman, M.J.; Cass, G.R.; Simoneit, B.R.T. Measurement of Emissions from Air Pollution Sources. 1. C1 through C29 organic compounds from meat charbroiling. Environ. Sci. Technol. 1999, 33, 1566–1577. [Google Scholar] [CrossRef]
- Robinson, A.L.; Subramanian, R.; Donahue, N.M.; Bernardo-Bricker, A.; Rogge, W.F. Source apportionment of molecular markers and organic aerosol. 2. Biomass smoke. Environ. Sci. Technol. 2006, 40, 7811–7819. [Google Scholar] [CrossRef]
- Alves, C.A.; Vicente, A.; Monteiro, C.; Gonçalves, C.; Evtyugina, M.; Pio, C. Emission of trace gases and organic components in smoke particles from wildfire in a mixed-evergreen forest in Portugal. Sci. Total Environ. 2011, 409, 1466–1475. [Google Scholar] [CrossRef]
- Gonçalves, C.; Alves, C.; Fernandes, A.P.; Monteiro, C.; Tarelho, L.; Evtyugina, M.; Pio, C. Organic compounds in PM2.5 emitted from fireplace and woodstove combustion of typical Portuguese wood species. Atmos. Environ. 2011, 45, 4533–4545. [Google Scholar] [CrossRef]
- Latif, M.T.; Anuwar, N.Y.; Srithawirat, T.; Razak, I.S.; Ramli, N.A. Composition of levoglucosan and surfactants in atmospheric aerosols from biomass burning. Aerosol Air Qual. Res. 2011, 11, 837–845. [Google Scholar] [CrossRef]
- Vicente, E.D.; Alves, C.A. An overview of particulate emissions from residential biomass combustion. Atmos. Res. 2018, 199, 159–185. [Google Scholar] [CrossRef]
- Rogge, W.F.; Hildemann, L.M.; Mazurek, M.A.; Cass, G.R.; Simoneit, B.R.T. Sources of fine organic aerosol. 1. Charbroilers and meat cooking operations. Environ. Sci. Technol. 1991, 25, 1112–1125. [Google Scholar] [CrossRef]
- Robinson, A.L.; Subramanian, R.; Donahue, N.M.; Bernardo-Bricker, A.; Rogge, W.F. Source apportionment of molecular markers and organic aerosol. 3. Food cooking emissions. Environ. Sci. Technol. 2006, 40, 7820–7827. [Google Scholar] [CrossRef]
- Wang, Q.; Shao, M.; Zhang, Y.; Wei, Y.; Hu, M.; Guo, S. Source apportionment of fine organic aerosol in Beijing. Atmos. Chem. Phys. 2009, 9, 8573–8585. [Google Scholar] [CrossRef]
- Wu, X.; Cao, F.; Haque, M.; Fan, M.-Y.; Zhang, S.-C.; Zhang, Y.-L. Molecular composition and source apportionment of fine organic aerosols in Northeast China. Atmos. Environ. 2020, 117722. [Google Scholar] [CrossRef]
- Eatough, D.J.; Benner, C.L.; Tang, H.; Landon, V.; Richards, G.; Caka, F.M.; Crawford, J.; Lewis, E.A.; Hansen, L.D.; Eatough, N.L. The chemical composition of environmental tobacco smoke III. Identification of conservative tracers of environmental tobacco smoke. Environ. Int. 1989, 15, 19–28. [Google Scholar] [CrossRef]
- Rogge, W.F.; Hildemann, L.M.; Mazurek, M.A.; Cass, G.R.; Simoneit, B.R.T. Sources of fine organic aerosol. 6. Cigarette smoke in the urban atmosphere. Environ. Sci. Technol. 1994, 28, 1375–1388. [Google Scholar] [CrossRef]
- Hildemann, L.M.; Markowski, G.R.; Cass, G.R. Chemical composition of emissions from urban sources of fine organic aerosol. Environ. Sci. Technol. 1991, 25, 744–759. [Google Scholar] [CrossRef]
- Gaston, C.J.; Lopez-Hilfiker, F.D.; Whybrew, L.E.; Hadley, O.; McNair, F.; Gao, H.; Jaffe, D.A.; Thornton, J.A. Online molecular characterization of fine particulate matter in Port Angeles, WA: Evidence for a major impact from residential wood smoke. Atmos. Environ. 2016, 138, 99–107. [Google Scholar] [CrossRef]
- Linuma, Y.; Keywood, M.; Herrmann, H. Characterization of primary and secondary organic aerosol in Melbourne airshed: The influence of biogenic emissions, wood smoke and bushfires. Atmos. Environ. 2016, 130, 54–63. [Google Scholar] [CrossRef]
- Bergauff, M.; Ward, T.; Noonan, C.; Palmer, C.P. Determination and evaluation of selected organic chemical tracers for wood smoke in airborne particulate matter. Int. J. Environ. An. Ch. 2008, 88, 473–486. [Google Scholar] [CrossRef]
- Simpson, C.D.; Paulsen, M.; Dills, R.L.; Liu, L.J.S.; Kalman, D.A. Determination of methoxyphenols in ambient atmospheric particulate matter: Tracers for wood combustion. Environ. Sci. Tech. 2005, 39, 631–637. [Google Scholar] [CrossRef]
- Oros, D.R.; Simoneit, B.R.T. Identification and emission factors of molecular tracers in organic aerosols from biomass burning: Part 2. Deciduous trees. Appl. Geochem. 2001, 16, 1545–1565. [Google Scholar] [CrossRef]
- Jia, L.; Xu, Y. The role of functional groups in the understanding of secondary organic aerosol formation mechanism from α-pinene. Sci. Total. Environ. 2020, 738, 139831. [Google Scholar] [CrossRef]
- Christoffersen, T.S.; Hjorth, J.; Horie, O.; Jensen, N.R.; Kotzias, D.; Molander, L.L.; Neeb, P.; Rupper, L.; Winterhalter, R.; Virkkula, A.; et al. cis-pinic acid, a possible precursor for organic aerosol formation from ozonolysis of α-pinene. Atmos. Environ. 1998, 32, 1657–1661. [Google Scholar] [CrossRef]
- Bhat, S.; Fraser, M.P. Primary source attribution and analysis of α-pinene photooxidation products in Duke Forest, North Carolina. Atmos. Environ. 2007, 41, 2958–2966. [Google Scholar] [CrossRef]
- Ding, X.; Wang, X.M.; Zheng, M. The influence of temperature and aerosol acidity on biogenic secondary organic aerosol tracers: Observations at a rural site in the central Pearl River Delta region, South China. Atmos. Environ. 2011, 45, 1303–1311. [Google Scholar] [CrossRef]
- Fraser, M.P.; Yue, Z.W.; Buzcu, B. Source apportionment of fine particulate matter in Houston, TX, using organic molecular markers. Atmos. Environ. 2003, 37, 2117–2123. [Google Scholar] [CrossRef]
- Nakashima, S.; Hayashi, Y. Determination of detection limits and quantification limits for compounds in a database of GC/MS by FUMI theory. Mass Spectrom. 2016, 5, 1–6. [Google Scholar] [CrossRef]
- Taylor, J.R. Propagation of uncertainties. In An Introduction to Error Analysis: The Study of Uncertainties in Physical Measurement, 2nd ed.; University Science Books: Mill Valley, CA, USA, 1997; pp. 45–79. [Google Scholar]










| Source Category | Profile | Sample Code | Number of Samples | Sampling Date | Sampling Time Range (h) |
|---|---|---|---|---|---|
| Meat cooking operations | Restaurant charbroiled and grilled meat (25°39′18.9″ N, 100°17′29.2″ W) | CAR | 2 | 26 June 2014 | 4.0 |
| Residential charbroiled meat (25°39′00.5″ N, 100°17′05.5″ W) | CAF | 2 | 29 June 2014 | 2.9 | |
| Supermarket charbroiled meat service (25°38′21.7″ N, 100°17′00.6″ W) | CAS | 2 | 4 June 2014 | 2.3 | |
| Vehicle exhausts | Gasoline-powered vehicles (Loma Larga Tunnel) (25°39′30.25″ N, 100°20′11.85″ W) | TLL | 3 | 2 July 2014 | 3.6 |
| Urban Transport (Av. Juarez, crossing with Arteaga Street) (25°40′59.2″ N, 100°18′48.6″ W) | TP | 3 | 12 July 2014 | 3.4 | |
| Freight transport (Av. Felix U. Gomez, crossing with Av. Ciudad Los Angeles) (25°42′28.7″ N, 100°16′55.9″ W) | CC | 3 | 12 July 2014 | 2.6 | |
| Industry | Oil refinery (25°36′10″ N, 99°59′19.7″ W) | PMX | 2 | 18 June 2014 | 12.9 |
| Manufacturing industry (25°39′30.25″ N, 100°20′11.85″ W) | PSN | 4 | 25 June 2014 | 8.0 | |
| Biomass and trash burning | Open waste burning (25°41′24.1″ N, 100°10′00.1″ W) | QB | 2 | 25 June 2014 | 0.9 |
| Urban background | Suburban area in daytime (25°29′34.1″ N, 100°10′52.8″ W) | RTD | 3 | 20 June 2014 | 6.8 |
| Suburban area in nighttime (25°29′34.1″ N, 100°10′52.8″ W) | RTN | 2 | 27 June 2014 | 15.2 | |
| Urban construction site (Av. Felix U. Gomez, Line 3 of the city subway construction site) (25°41′24.1″ N, 100°17′47.5″ W) | RP | 2 | 4 July 2014 | 2.2 |
| Label | n-alkanes | Label | Hopanes | Label | n-alkanoic acids |
| C19 | n-nonadecane | HOP1 | 18a(H)-22,29,30 trisnorneohopane | C10-Acid | n-Decanoic acid |
| C20 | n-eicosane | HOP2 | 17a(H)-22,29,30-trisnorhopane | C11-Acid | n-Undecanoic acid |
| C21 | n-henicosane | HOP3 | 17a21b-29hopane | C12-Acid | n-Dodecanoic acid |
| C22 | n-docosane | HOP4 | 18a(H)-30-Norneohopane | C13-Acid | n-Tridecanoic acid |
| C23 | n-tricosane | HOP5 | 17a21b-hopane | C14-Acid | n-Tetradecanoic acid |
| C24 | n-tetracosane | HOP6 | 22S 17a21b-30-homohopane | C15-Acid | n-Pentadecanoic acid |
| C25 | n-pentacosane | HOP7 | 22R 17a21b-30-homohopane | C16-Acid | n-Hexadecanoic acid |
| C26 | n-hexacosane | HOP8 | 22S-17a21b-30-bishomohopane | C17-Acid | n-Heptadecanoic acid |
| C27 | n-heptacosane | HOP9 | 22R-17a21b-30-bishomohopane | C18-Acid | n-Octadecanoic acid |
| C28 | n-octacosane | C19-Acid | n-Nonadecanoic acid | ||
| C29 | n-nonacosane | Label | Methoxyphenols | C20-Acid | n-Eicosanoic acid |
| C30 | n-triacontane | GUA | Guaiacol | C21-Acid | n-Henicosanic acid |
| C31 | n-hentriacontane | MGUA | 4-Methylguaiacol (2-methoxy-4-methylphenol) | C22-Acid | n-Docosanoic acid |
| C32 | n-dotriacontane | MSYR | 4-Methylsyringol (2,6-dimethoxy-4-methylphenol) | C23-Acid | n-Tricosanoic acid |
| C33 | n-tritriacontane | SYA | Syringaldehyde | C24-Acid | n-Tetracosanoic acid |
| C34 | n-tetratiracontane | VAN | Vanillin (4-hydroxy-3-methoxy benzoic acid) | C25-Acid | n-Pentacosanoic acid |
| Label | PAH | IVAN | Isovanillin (3-hydroxy-4-methoxybenzaldehyde) | C26-Acid | n-Hexacosanoic acid |
| FLT | Fluoranthene | Label | Resin acids | C27-Acid | n-Heptacosanoic acid |
| ACE | Acephenanthrylene | AB-Acid | Abietic acid | C29-Acid | n-Nonacosanoic acid |
| PYR | Pyrene | DHAB-Acid | Dehydroabietic acid | ||
| BaA | Benzo(a)anthracene | ODHAB-Acid | 7-Oxo-dehydroabietic acid | ||
| CHR | Chrysene | PIM-Acid | Pimaric acid | ||
| BbF | Benzo(b)fluoranthene | IPIM-Acid | Isopimaric acid | ||
| BaP+BeP | Benzo(a)pyrene + Benzo(e)pyrene | Label | Other acids | ||
| PER | Perylene | CPIN-Acid | cis-Pinonic acid | ||
| IPY | Indeno (1,2,3-cd)pyrene | OLE-Acid | cis-9-octadecenoic acid (Oleic acid)-C18 | ||
| BPE | Benzo(g,h,i)perylene | Sugars | |||
| DaA | Dibenzo(a,h)anthracene | LEV | Levoglucosan | ||
| COR | Coronene | Sterols | |||
| RET | Retene | CHO | Cholesterol |
| Emission Source Profile | Organic Marker |
|---|---|
| Restaurant charbroiled and grilled meat | Cholesterol and levoglucosan |
| Residential charbroiled meat | Cholesterol and levoglucosan |
| Supermarket charbroiled meat service | Cholesterol and levoglucosan |
| Gasoline-powered vehicles | High molecular weight PAHs and n-alkanes |
| Urban transport | Low molecular weight PAHs, n-alkanes and hopanes |
| Freight transport | Low molecular weight PAHs, n-alkanes and hopanes |
| Oil refinery | Hopanes and n-alkanes |
| Manufacturing industry | Hopanes and n-alkanes |
| Open waste burning | Levoglucosan, methoxyphenols and diterpenoids |
| Suburban area in daytime | Cis-pinonic acid (secondary organic marker) |
| Suburban area in nighttime | Cis-pinonic acid (secondary organic marker) |
| Urban construction site | Hopanes and n-alkanes |
| Diagnostic Ratio * | Range | Source Type |
|---|---|---|
| IPY/(IPY+BPE) | <0.20 | Petrogenic |
| >0.20 | Pyrogenic | |
| 0.20–0.50 | Petroleum combustion | |
| >0.50 | Coal, grass, and wood combustion | |
| FLT/(FLT+PYR) | <0.40 | Petrogenic |
| >0.40 | Pyrogenic | |
| 0.40–0.50 | Fuel combustion | |
| >0.50 | Diesel combustion | |
| BaA/(BaA+CHR) | <0.20 | Petrogenic |
| 0.20–0.35 | Coal combustion | |
| >0.35 | Pyrogenic, vehicle exhausts |
| n-alkanes | n-alkanoic Acid | PAHs | |||||
|---|---|---|---|---|---|---|---|
| Profiles | CPI | Cmax | CPI | Cmax | FLT/(FLT+PYR) | IPY/(IPY+BPE) | BaA/(BaA+CHR) |
| CAF | 1.7 | C27 | 3.6 | C14 | 0.64 | 0.60 | 0.10 |
| CAR | 1.7 | C29 | 2.7 | C15 | 0.94 | 0.23 | 0.84 |
| CAS | 1.1 | C24 | 3.1 | C14 | 0.63 | 0.42 | 0.04 |
| TLL | 1.1 | C25 | 5.6 | C16 | 0.80 | 0.45 | 0.54 |
| CC | 1.0 | C25 | 12.8 | C16 | 0.73 | 0.33 | 0.25 |
| TP | 1.1 | C28 | 3.0 | C16 | 0.53 | 0.23 | 0.20 |
| PMX | 1.2 | C24 | 5.4 | C16 | 0.97 | NA 1 | 0.52 |
| PSN | 1.0 | C28 | 4.8 | C16 | 0.50 | 0.47 | 1.00 |
| QB | 1.2 | C27 | 4.5 | C16 | 0.64 | 0.57 | 0.05 |
| RTD | 1.2 | C28 | 4.2 | C16 | 0.57 | 0.43 | 1.00 |
| RTN | 1.2 | C29 | 3.8 | C14 | 0.75 | 0.54 | 1.00 |
| RP | 1.0 | C25 | 17.1 | C16 | 0.72 | 0.19 | 0.16 |
Publisher’s Note: MDPI stays neutral with regard to jurisdictional claims in published maps and institutional affiliations. |
© 2021 by the authors. Licensee MDPI, Basel, Switzerland. This article is an open access article distributed under the terms and conditions of the Creative Commons Attribution (CC BY) license (https://creativecommons.org/licenses/by/4.0/).
Share and Cite
Mancilla, Y.; Medina, G.; González, L.T.; Herckes, P.; Fraser, M.P.; Mendoza, A. Determination and Similarity Analysis of PM2.5 Emission Source Profiles Based on Organic Markers for Monterrey, Mexico. Atmosphere 2021, 12, 554. https://doi.org/10.3390/atmos12050554
Mancilla Y, Medina G, González LT, Herckes P, Fraser MP, Mendoza A. Determination and Similarity Analysis of PM2.5 Emission Source Profiles Based on Organic Markers for Monterrey, Mexico. Atmosphere. 2021; 12(5):554. https://doi.org/10.3390/atmos12050554
Chicago/Turabian StyleMancilla, Yasmany, Gerardo Medina, Lucy T. González, Pierre Herckes, Matthew P. Fraser, and Alberto Mendoza. 2021. "Determination and Similarity Analysis of PM2.5 Emission Source Profiles Based on Organic Markers for Monterrey, Mexico" Atmosphere 12, no. 5: 554. https://doi.org/10.3390/atmos12050554
APA StyleMancilla, Y., Medina, G., González, L. T., Herckes, P., Fraser, M. P., & Mendoza, A. (2021). Determination and Similarity Analysis of PM2.5 Emission Source Profiles Based on Organic Markers for Monterrey, Mexico. Atmosphere, 12(5), 554. https://doi.org/10.3390/atmos12050554

