Updated Assessment of Temperature Extremes over the Middle East–North Africa (MENA) Region from Observational and CMIP5 Data
Abstract
1. Introduction
2. Data and Methodology
2.1. Data
2.1.1. Global Climate Models
2.1.2. Re-Analyses and Observations
2.2. Methodology
2.2.1. Climate Extreme Indices Definition
2.2.2. Data Processing and Calculations
3. Results and Discussion
3.1. Spatial Representation
3.1.1. Climatology
3.1.2. Decadal Trends
3.2. Temporal Evolution
3.3. Box and Whisker Plots
3.3.1. Climatology
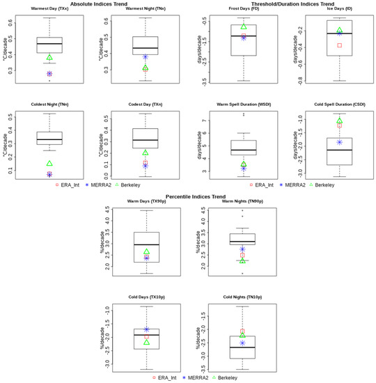
3.3.2. Decadal Trends
3.4. Quantification of Individual Model Biases
4. Summary and Conclusions
Author Contributions
Funding
Acknowledgments
Conflicts of Interest
Appendix A










References
- Allen, M.; Dube, O.; Solecki, W.; Aragón-Durand, F.; Cramer, W.; Humphreys, S.; Kainuma, M.; Kala, J.; Mahowald, N.; Mulugetta, Y.; et al. Chapter 1: Framing and Context. In Global Warming of 1.5 °C; Masson-Delmotte, V., Zhai, P., Pörtner, H.-O., Roberts, D., Skea, J., Shukla, P.R., Pirani, A., Moufouma-Okia, W., Péan, C., Pidcock, R., Eds.; An IPCC Special Report on the Impacts of Global Warming of 1.5 °C above Pre-Industrial Levels and Related Global Greenhouse Gas Emission Pathways, in the Context of Strengthening the Global Response to the Threat of Climate Change, Sustainable Development, and Efforts to Eradicate Poverty; IPCC: Geneva, Switzerland, 2018. [Google Scholar]
- Alexander, L.V.; Zhang, X.; Peterson, T.C.; Caesar, J.; Gleason, B.; Klein Tank, A.M.; Haylock, M.; Collins, D.; Trewin, B.; Rahimzadeh, F.; et al. Global observed changes in daily climate extremes of temperature and precipitation. J. Geophys. Res. Atmos. 2006, 111, 1607. [Google Scholar] [CrossRef]
- Donat, M.G.; Alexander, L.V.; Yang, H.; Durre, I.; Vose, R.; Dunn, R.J.; Willett, K.M.; Aguilar, E.; Brunet, M.; Caesar, J.; et al. Updated analyses of temperature and precipitation extreme indices since the beginning of the twentieth century: The HadEX2 dataset. J. Geophys. Res. Atmos. 2013, 118, 2098–2118. [Google Scholar] [CrossRef]
- Lelieveld, J.; Hadjinicolaou, P.; Kostopoulou, E.; Chenoweth, J.; El Maayar, M.; Giannakopoulos, C.; Hannides, C.; Lange, M.A.; Tanarhte, M.; Tyrlis, E.; et al. Climate change and impacts in the Eastern Mediterranean and the Middle East. Clim. Chang. 2012, 114, 667–687. [Google Scholar] [CrossRef] [PubMed]
- Tanarhte, M.; Hadjinicolaou, P.; Lelieveld, J. Intercomparison of temperature and precipitation data sets based on observations in the Mediterranean and the Middle East. J. Geophys. Res. Atmos. 2012, 117. [Google Scholar] [CrossRef]
- Almazroui, M.; Hasanean, H.M.; Al-Khalaf, A.K.; Basset, H.A. Detecting climate change signals in Saudi Arabia using mean annual surface air temperatures. Theor. Appl. Climatol. 2013, 113, 585–598. [Google Scholar] [CrossRef]
- Zittis, G. Observed rainfall trends and precipitation uncertainty in the vicinity of the Mediterranean, Middle East and North Africa. Theor. Appl. Climatol. 2018, 134, 1207–1230. [Google Scholar] [CrossRef]
- Zhang, X.; Aguilar, E.; Sensoy, S.; Melkonyan, H.; Tagiyeva, U.; Ahmed, N.; Kutaladze, N.; Rahimzadeh, F.; Taghipour, A.; Hantosh, T.H.; et al. Trends in Middle East climate extreme indices from 1950 to 2003. J. Geophys. Res. Atmos. 2005, 110. [Google Scholar] [CrossRef]
- Donat, M.G.; Peterson, T.C.; Brunet, M.; King, A.D.; Almazroui, M.; Kolli, R.K.; Boucherf, D.; Al-Mulla, A.Y.; Nour, A.Y.; Aly, A.A.; et al. Changes in extreme temperature and precipitation in the Arab region: Long-term trends and variability related to ENSO and NAO. Int. J. Climatol. 2014, 34, 581–592. [Google Scholar] [CrossRef]
- Tanarhte, M.; Hadjinicolaou, P.; Lelieveld, J. Heat wave characteristics in the eastern Mediterranean and Middle East using extreme value theory. Clim. Res. 2015, 63, 99–113. [Google Scholar] [CrossRef]
- El Kenawy, A.M.; Lopez-Moreno, J.I.; McCabe, M.F.; Robaa, S.M.; Domínguez-Castro, F.; Peña-Gallardo, M.; Trigo, R.M.; Hereher, M.E.; Al-Awadhi, T.; Vicente-Serrano, S.M. Daily temperature extremes over Egypt: Spatial patterns, temporal trends, and driving forces. Atmos. Res. 2019, 226, 219–239. [Google Scholar] [CrossRef]
- Almazroui, M.; Islam, M.N.; Dambul, R.; Jones, P.D. Trends of temperature extremes in Saudi Arabia. Int. J. Climatol. 2014, 34, 808–826. [Google Scholar] [CrossRef]
- Taylor, K.E.; Stouffer, R.J.; Meehl, G.A. An overview of CMIP5 and the experiment design. Bull. Am. Meteorol. Soc. 2012, 93, 485–498. [Google Scholar] [CrossRef]
- Sillmann, J.; Kharin, V.V.; Zwiers, F.W.; Zhang, X.; Bronaugh, D. Climate extremes indices in the CMIP5 multimodel ensemble: Part 2. Future climate projections. J. Geophys. Res. Atmos. 2013, 118, 2473–2493. [Google Scholar] [CrossRef]
- Lelieveld, J.; Proestos, Y.; Hadjinicolaou, P.; Tanarhte, M.; Tyrlis, E.; Zittis, G. Strongly increasing heat extremes in the Middle East and North Africa (MENA) in the 21st century. Clim. Chang. 2016, 137, 245–260. [Google Scholar] [CrossRef]
- Diffenbaugh, N.S.; Pal, J.S.; Giorgi, F.; Gao, X. Heat stress intensification in the Mediterranean climate change hotspot. Geophys. Res. Lett. 2007, 34, 205. [Google Scholar] [CrossRef]
- Lelieveld, J.; Hadjinicolaou, P.; Kostopoulou, E.; Giannakopoulos, C.; Pozzer, A.; Tanarhte, M.; Tyrlis, E. Model projected heat extremes and air pollution in the eastern Mediterranean and Middle East in the twenty-first century. Reg. Environ. Chang. 2014, 14, 1937–1949. [Google Scholar] [CrossRef]
- Zittis, G.; Hadjinicolaou, P.; Fnais, M.; Lelieveld, J. Projected changes in heat wave characteristics in the eastern Mediterranean and the Middle East. Reg. Environ. Chang. 2016, 16, 1863–1876. [Google Scholar] [CrossRef]
- Pal, J.S.; Eltahir, E.A. Future temperature in southwest Asia projected to exceed a threshold for human adaptability. Nat. Clim. Chang. 2016, 6, 197–200. [Google Scholar] [CrossRef]
- Almazroui, M. Climate Extremes over the Arabian Peninsula using RegCM4 for present conditions forced by several CMIP5 models. Atmosphere 2019, 10, 675. [Google Scholar] [CrossRef]
- Kovats, R.S.; Hajat, S. Heat stress and public health: A critical review. Annu. Rev. Public Health 2008, 29, 41–55. [Google Scholar] [CrossRef]
- Gosling, S.N.; Lowe, J.A.; McGregor, G.R.; Pelling, M.; Malamud, B.D. Associations between elevated atmospheric temperature and human mortality: A critical review of the literature. Clim. Chang. 2009, 92, 299–341. [Google Scholar] [CrossRef]
- Dunne, J.P.; Stouffer, R.J.; John, J.G. Reductions in labour capacity from heat stress under climate warming. Nat. Clim. Chang. 2013, 3, 563–566. [Google Scholar] [CrossRef]
- Abel, G.J.; Brottrager, M.; Crespo Cuaresma, J.; Muttarak, R. Climate, conflict and forced migration. Glob. Environ. Chang. 2019, 54, 239–249. [Google Scholar] [CrossRef]
- Lange, M.A. Impacts of Climate Change on the Eastern Mediterranean and the Middle East and North Africa Region and the Water nergy Nexus. Atmosphere 2019, 10, 455. [Google Scholar] [CrossRef]
- Karl, T.R.; Knight, R.W.; Easterling, D.R.; Quayle, R.G. Indices of climate change for the United States. Bull. Am. Meteorol. Soc. 1996, 77, 279–292. [Google Scholar] [CrossRef]
- Sillmann, J.; Kharin, V.V.; Zhang, X.; Zwiers, F.W.; Bronaugh, D. Climate extremes indices in the CMIP5 multimodel ensemble: Part 1. Model evaluation in the present climate. J. Geophys. Res. Atmos. 2013, 118, 1716–1733. [Google Scholar] [CrossRef]
- van Vuuren, D.P.; Edmonds, J.; Kainuma, M.; Riahi, K.; Thomson, A.; Hibbard, K.; Hurtt, G.C.; Kram, T.; Krey, V.; Lamarque, J.F.; et al. The representative concentration pathways: An overview. Clim. Chang. 2011, 109, 5–31. [Google Scholar] [CrossRef]
- Dee, D.P.; Uppala, S.M.; Simmons, A.J.; Berrisford, P.; Poli, P.; Kobayashi, S.; Andrae, U.; Balmaseda, M.A.; Balsamo, G.; Bauer, P.; et al. The ERA-Interim reanalysis: Configuration and performance of the data assimilation system. Q. J. R. Meteorol. Soc. 2011, 137, 553–597. [Google Scholar] [CrossRef]
- Molod, A.; Takacs, L.; Suarez, M.; Bacmeister, J. Development of the GEOS-5 atmospheric general circulation model: Evolution from MERRA to MERRA2. Geosci. Model Dev. 2015, 8, 1339–1356. [Google Scholar] [CrossRef]
- Rohde, R.; Muller, R.; Jacobsen, R.; Perlmutter, S.; Mosher, S. Berkeley Earth Temperature Averaging Process. Geoinform. Geostat. Overv. 2013, 1, 20–100. [Google Scholar] [CrossRef]
- Wu, T.; Song, L.; Li, W.; Wang, Z.; Zhang, H.; Xin, X.; Zhang, Y.; Zhang, L.; Li, J.; Wu, F.; et al. An Overview of BCC Climate System Model Development and application for climate change studies. J. Meteorlog. Res. 2014, 28, 34–56. [Google Scholar] [CrossRef]
- Ji, D.; Wang, L.; Feng, J.; Wu, Q.; Cheng, H.; Zhang, Q.; Yang, J.; Dong, W.; Dai, Y.; Gong, D.; et al. Description and basic evaluation of Beijing Normal University Earth System Model (BNU-ESM) version 1. Geosci. Model Dev. 2014, 7, 2039–2064. [Google Scholar] [CrossRef]
- Chylek, P.; Li, J.; Dubey, M.K.; Wang, M.; Lesins, G. Observed and model simulated 20th century Arctic temperature variability: Canadian Earth System Model CanESM2. Atmos. Chem. Phys. Discuss. 2011, 11, 22893–22907. [Google Scholar] [CrossRef]
- Gent, P.R.; Danabasoglu, G.; Donner, L.J.; Holland, M.M.; Hunke, E.C.; Jayne, S.R.; Lawrence, D.M.; Neale, R.B.; Rasch, P.J.; Vertenstein, M.; et al. The community climate system model version 4. J. Clim. 2011, 24, 4973–4991. [Google Scholar] [CrossRef]
- Voldoire, A.; Sanchez-Gomez, E.; Salas y Mélia, D.; Decharme, B.; Cassou, C.; Sénési, S.; Valcke, S.; Beau, I.; Alias, A.; Chevallier, M.; et al. The CNRM-CM5.1 global climate model: Description and basic evaluation. Clim. Dyn. 2013, 40, 2091–2121. [Google Scholar] [CrossRef]
- Collier, M.A.; Jeffrey, S.J.; Rotstayn, L.D.; Wong, K.K.H.; Dravitzki, S.M.; Moeseneder, C.; Hamalainen, C.; Syktus, J.I.; Suppiah, R.; Antony, J.; et al. The CSIRO-Mk3.6.0 Atmosphere-Ocean GCM: Participation in CMIP5 and data publication. In Proceedings of the 19th International Congress on Modelling and Simulation (MODSIM2011), Perth, Australia, 12–16 December 2011; pp. 2691–2697. [Google Scholar]
- Griffies, S.M.; Winton, M.; Donner, L.J.; Horowitz, L.W.; Downes, S.M.; Farneti, R.; Gnanadesikan, A.; Hurlin, W.J.; Lee, H.C.; Liang, Z.; et al. The GFDL CM3 coupled climate model: Characteristics of the ocean and sea ice simulations. J. Clim. 2011, 24, 3520–3544. [Google Scholar] [CrossRef]
- Dunne, J.P.; John, J.G.; Adcroft, A.J.; Griffies, S.M.; Hallberg, R.W.; Shevliakova, E.; Stouffer, R.J.; Cooke, W.; Dunne, K.A.; Harrison, M.J.; et al. GFDL’s ESM2 global coupled climate-carbon earth system models. Part I: Physical formulation and baseline simulation characteristics. J. Clim. 2012, 25, 6646–6665. [Google Scholar] [CrossRef]
- Collins, W.; Bellouin, N.; Doutriaux-Boucher, M.; Gedney, N.; Hinton, T.; Jones, C.D.; Liddicoat, S.; Martin, G.; O’Connor, F.; Rae, J.; et al. Evaluation of HadGEM2 Model; Technical Note 74; Meteorological Office Hadley Centre: Exeter, UK, 2008; p. 47. [Google Scholar]
- Dufresne, J.L.; Foujols, M.A.; Denvil, S.; Caubel, A.; Marti, O.; Aumont, O.; Balkanski, Y.; Bekki, S.; Bellenger, H.; Benshila, R.; et al. Climate change projections using the IPSL-CM5 Earth System Model: From CMIP3 to CMIP5. Clim. Dyn. 2013, 40, 2123–2165. [Google Scholar] [CrossRef]
- Watanabe, M.; Suzuki, T.; O’Ishi, R.; Komuro, Y.; Watanabe, S.; Emori, S.; Takemura, T.; Chikira, M.; Ogura, T.; Sekiguchi, M.; et al. Improved climate simulation by MIROC5: Mean states, variability, and climate sensitivity. J. Clim. 2010, 23, 6312–6335. [Google Scholar] [CrossRef]
- Watanabe, S.; Hajima, T.; Sudo, K.; Nagashima, T.; Takemura, T.; Okajima, H.; Nozawa, T.; Kawase, H.; Abe, M.; Yokohata, T.; et al. MIROC-ESM 2010: Model description and basic results of CMIP5-20c3m experiments. Geosci. Model Dev. 2011, 4, 845–872. [Google Scholar] [CrossRef]
- Giorgetta, M.A.; Jungclaus, J.; Reick, C.H.; Legutke, S.; Bader, J.; Böttinger, M.; Brovkin, V.; Crueger, T.; Esch, M.; Fieg, K.; et al. Climate and carbon cycle changes from 1850 to 2100 in MPI-ESM simulations for the Coupled Model Intercomparison Project phase 5. J. Adv. Model. Earth Syst. 2013, 5, 572–597. [Google Scholar] [CrossRef]
- Yukimoto, S.; Adachi, Y.; Hosaka, M.; Sakami, T.; Yoshimura, H.; Hirabara, M.; Tanaka, T.Y.; Shindo, E.; Tsujino, H.; Deushi, M.; et al. A new global climate model of the Meteorological Research Institute: MRI-CGCM3: -Model description and basic performance-. J. Meteorol. Soc. Jpn. 2012, 90, 23–64. [Google Scholar] [CrossRef]
- Gelaro, R.; McCarty, W.; Suárez, M.J.; Todling, R.; Molod, A.; Takacs, L.; Randles, C.A.; Darmenov, A.; Bosilovich, M.G.; Reichle, R.; et al. The modern-era retrospective analysis for research and applications, version 2 (MERRA-2). J. Clim. 2017, 30, 5419–5454. [Google Scholar] [CrossRef]
- Courtier, P.; Thépaut, J.; Hollingsworth, A. A strategy for operational implementation of 4D ar, using an incremental approach. Q. J. R. Meteorol. Soc. 1994, 120, 1367–1387. [Google Scholar] [CrossRef]
- Klein Tank, A.M.; Zwiers, F.W.; Zhang, X. WMO Guidelines on Extremes Guidelines on Analysis of Extremes in a Changing Climate in Support of Informed Decisions; Climate Data and Monitoring WCDMP-No. 72; World Meteorological Organization: Geneva, Switzerland, 2009; p. 52. [Google Scholar]
- Zhang, X.; Alexander, L.; Hegerl, G.C.; Jones, P.; Tank, A.K.; Peterson, T.C.; Trewin, B.; Zwiers, F.W. Indices for monitoring changes in extremes based on daily temperature and precipitation data. Wiley Interdiscip. Rev. Clim. Chang. 2011, 2, 851–870. [Google Scholar] [CrossRef]
- Thackeray, C.W.; Fletcher, C.G.; Derksen, C. Diagnosing the impacts of Northern Hemisphere surface albedo biases on simulated climate. J. Clim. 2019, 32, 1777–1795. [Google Scholar] [CrossRef]
- Knutti, R.; Sedláček, J. Robustness and uncertainties in the new CMIP5 climate model projections. Nat. Clim. Chang. 2013, 3, 369–373. [Google Scholar] [CrossRef]
- Cattiaux, J.; Vautard, R.; Cassou, C.; Yiou, P.; Masson-Delmotte, V.; Codron, F. Winter 2010 in Europe: A cold extreme in a warming climate. Geophys. Res. Lett. 2010, 37, 238. [Google Scholar] [CrossRef]
- Zhang, X.; Lu, C.; Guan, Z. Weakened cyclones, intensified anticyclones and recent extreme cold winter weather events in Eurasia. Environ. Res. Lett. 2012, 7, 044044. [Google Scholar] [CrossRef]
- Paik, S.; Min, S.K. Assessing the impact of volcanic eruptions on climate extremes using CMIP5 models. J. Clim. 2018, 31, 5333–5349. [Google Scholar] [CrossRef]
- Johnson, N.C.; Xie, S.P.; Kosaka, Y.; Li, X. Increasing occurrence of cold and warm extremes during the recent global warming slowdown. Nat. Commun. 2018, 9, 4–6. [Google Scholar] [CrossRef] [PubMed]
- Gómez-Navarro, J.J.; Montvez, J.P.; Jerez, S.; Jiménez-Guerrero, P.; Zorita, E. What is the role of the observational dataset in the evaluation and scoring of climate models? Geophys. Res. Lett. 2012, 39, 35. [Google Scholar] [CrossRef]
- Cohen, J.L.; Furtado, J.C.; Barlow, M.; Alexeev, V.A.; Cherry, J.E. Asymmetric seasonal temperature trends. Geophys. Res. Lett. 2012, 39, 93. [Google Scholar] [CrossRef]
- Almazroui, M.; Nazrul Islam, M.; Athar, H.; Jones, P.D.; Rahman, M.A. Recent climate change in the Arabian Peninsula: Annual rainfall and temperature analysis of Saudi Arabia for 1978–2009. Int. J. Climatol. 2012, 32, 953–966. [Google Scholar] [CrossRef]
- McSweeney, C.F.; Jones, R.G.; Lee, R.W.; Rowell, D.P. Selecting CMIP5 GCMs for downscaling over multiple regions. Clim. Dyn. 2015, 44, 3237–3260. [Google Scholar] [CrossRef]
- Flato, J.; Marotzke, B.; Abiodun, P.; Braconnot, S.; Chou, W.; Collins, P.; Cox, F.; Driouech, S.; Emori, V.; Eyring, C.; et al. Evaluation of climate models. In Climate Change 2013 the Physical Science Basis: Working Group I Contribution to the Fifth Assessment Report of the Intergovernmental Panel on Climate Change; Cambridge University Press: Cambridge, UK, 2013; Volume 9781107057, pp. 741–866. [Google Scholar] [CrossRef]
- Morak, S.; Hegerl, G.C.; Kenyon, J. Detectable regional changes in the number of warm nights. Geophys. Res. Lett. 2011, 38. [Google Scholar] [CrossRef]
- Sillmann, J.; Donat, M.G.; Fyfe, J.C.; Zwiers, F.W. Observed and simulated temperature extremes during the recent warming hiatus. Environ. Res. Lett. 2014, 9, 064023. [Google Scholar] [CrossRef]
- Hausfather, Z.; Drake, H.F.; Abbott, T.; Schmidt, G.A. Evaluating the Performance of Past Climate Model Projections. Geophys. Res. Lett. 2020, 47, e2019GL085378. [Google Scholar] [CrossRef]
- Tokarska, K.B.; Stolpe, M.B.; Sippel, S.; Fischer, E.M.; Smith, C.J.; Lehner, F.; Knutti, R. Past warming trend constrains future warming in CMIP6 models. Sci. Adv. 2020, 6, eaaz9549. [Google Scholar] [CrossRef]
- Bucchignani, E.; Mercogliano, P.; Panitz, H.J.; Montesarchio, M. Climate change projections for the Middle East orth Africa domain with COSMO-CLM at different spatial resolutions. Adv. Clim. Chang. Res. 2018, 9, 66–80. [Google Scholar] [CrossRef]
- Ozturk, T.; Turp, M.T.; Türke, M.; Kurnaz, M.L. Future projections of temperature and precipitation climatology for CORDEX-MENA domain using RegCM4.4. Atmos. Res. 2018, 206, 87–107. [Google Scholar] [CrossRef]
- Zittis, G.; Hadjinicolaou, P.; Klangidou, M.; Proestos, Y.; Lelieveld, J. A multi-model, multi-scenario, and multi-domain analysis of regional climate projections for the Mediterranean. Reg. Environ. Chang. 2019, 19, 2621–2635. [Google Scholar] [CrossRef]













| Model | lon (°) | lat (°) | ECS (°C) | TCR (°C) | Reference |
|---|---|---|---|---|---|
| BCC-CSM1.1 | 2.81 | 2.79 | 2.8 | 1.7 | [32] |
| BNU-ESM | 2.81 | 2.79 | 4.1 | 2.6 | [33] |
| CanESM2 | 2.81 | 2.79 | 3.7 | 2.4 | [34] |
| CCSM4 | 1.25 | 0.94 | 2.9 | 1.8 | [35] |
| CNRM-CM5 | 1.4 | 1.4 | 3.3 | 2.1 | [36] |
| CSIRO_Mk3.6.0 | 1.87 | 1.87 | 4.1 | 1.8 | [37] |
| GFDL-CM3 | 2.5 | 2 | 4 | 2 | [38] |
| GFDL-ESM2G | 2.5 | 2 | 2.4 | 1.1 | [39] |
| GFDL-ESM2M | 2.5 | 2 | 2.4 | 1.3 | [39] |
| HadGEM2-AO | 1.87 | 1.25 | 4.6 | 2.4 | [40] |
| HadGEM2-ES | 1.87 | 1.25 | 4.6 | 2.5 | [40] |
| IPSL-CM5A-LR | 3.75 | 1.89 | 4.1 | 2 | [41] |
| IPSL_CM5A-MR | 2.5 | 1.26 | 4.1 | 2 | [41] |
| MIROC5 | 1.4 | 1.4 | 2.7 | 1.5 | [42] |
| MIROC-ESM | 2.81 | 2.79 | 4.7 | 2.2 | [43] |
| MIROC-ESM-CHEM | 2.81 | 2.79 | 4.55 | 2.2 | [43] |
| MPI-ESM-LR | 1.87 | 1.87 | 3.6 | 2 | [44] |
| MRI-CGCM3 | 1.12 | 1.12 | 2.6 | 1.6 | [45] |
| Label | Index Name | Index Category | Description | Units |
|---|---|---|---|---|
| TN10p | Cold nights | Percentile | Let TN be the daily minimum temperature on day i in period j and let TN10 be the calendar day 10th percentile centered on a 5 day window. The percentage of days in a year is determined where TNij < TN10 | % |
| TX10p | Cold days | Percentile | Let TX be the daily maximum temperature on day i in period j and let TX10 be the calendar day 10th percentile centered on a 5 day window. The percentage of days is determined where TX < TX10 | % |
| TN90p | Warm nights | Percentile | Let TN be the daily minimum temperature on day i in period j and let TN90 be the calendar day 90th percentile centered on a 5 day window. The percentage of days is determined where TN > TN90 | % |
| TX90p | Warm days | Percentile | Let TX be the daily maximum temperature on day i in period j and let TX90 be the calendar day 90th percentile centered on a 5 day window. The percentage of days is determined where TX > TX90 | % |
| WSDI | Warm spell duration | Threshold/Duration | Let TX be the daily maximum temperature on day i in period j and let TX90 be the calendar day 90th percentile centered on a 5 day window for the base period 1981–2010. Then the number of days per period is summed where, in intervals of at least 6 consecutive days: TX > TX90 | days |
| CSDI | Cold spell duration | Threshold/Duration | Let TN be the daily minimum temperature on day i in period j and let TN10 be the calendar day 10th percentile centered on a 5 day window for the base period 1981–2010. Then the number of days per period is summed where, in intervals of at least 6 consecutive days:TN < TN10 | days |
| TXx | Warmest day | Absolute | Let TXx be the daily maximum temperature in month k, periodj. The maximum daily maximum temperature each month is then: TXx = max(TXx) | °C |
| TXn | Coldest day | Absolute | Let TXn be the daily maximum temperature in month k, periodj. The minimum daily maximum temperature each month is then: TXn = min(TXn) | °C |
| TNx | Warmest night | Absolute | Let TNx be the daily minimum temperature in month k, periodj. The maximum daily minimum temperature each month is then: TNx = max(TNx) | °C |
| TNn | Coldest night | Absolute | Let TNn be the daily minimum temperature in month k, periodj. The minimum daily minimum temperature each month is then: TNn = min(TNn) | °C |
| FD | Frost days | Threshold/Duration | Let TN be the daily minimum temperature on day i in periodj. Count the number of days where TN < 0 °C | days |
| ID | Ice days | Threshold/Duration | Let TX be the daily maximum temperature on day i in periodj. Count the number of days where TX < 0 °C | days |
© 2020 by the authors. Licensee MDPI, Basel, Switzerland. This article is an open access article distributed under the terms and conditions of the Creative Commons Attribution (CC BY) license (http://creativecommons.org/licenses/by/4.0/).
Share and Cite
Ntoumos, A.; Hadjinicolaou, P.; Zittis, G.; Lelieveld, J. Updated Assessment of Temperature Extremes over the Middle East–North Africa (MENA) Region from Observational and CMIP5 Data. Atmosphere 2020, 11, 813. https://doi.org/10.3390/atmos11080813
Ntoumos A, Hadjinicolaou P, Zittis G, Lelieveld J. Updated Assessment of Temperature Extremes over the Middle East–North Africa (MENA) Region from Observational and CMIP5 Data. Atmosphere. 2020; 11(8):813. https://doi.org/10.3390/atmos11080813
Chicago/Turabian StyleNtoumos, Athanasios, Panos Hadjinicolaou, George Zittis, and Jos Lelieveld. 2020. "Updated Assessment of Temperature Extremes over the Middle East–North Africa (MENA) Region from Observational and CMIP5 Data" Atmosphere 11, no. 8: 813. https://doi.org/10.3390/atmos11080813
APA StyleNtoumos, A., Hadjinicolaou, P., Zittis, G., & Lelieveld, J. (2020). Updated Assessment of Temperature Extremes over the Middle East–North Africa (MENA) Region from Observational and CMIP5 Data. Atmosphere, 11(8), 813. https://doi.org/10.3390/atmos11080813

