Anthropogenic Photolabile Chlorine in the Cold-Climate City of Montreal
Abstract
1. Introduction
2. Experiments
2.1. Observational Data from the National Air Pollution Surveillance Program (NAPS)
2.2. Materials
2.3. Analysis of Cl2-RPGE Tubes by GC-MS
2.4. Blank Experiments with NaCl and HCl
2.5. Photolabile Chlorine Measurements, Downtown McGill Campus
2.6. Technical Details and Technique Validation
2.7. High-Resolution Scanning Transmission Electron Microscopy (STEM) Imaging with Energy-Dispersive X-ray Spectroscopy (EDS)
3. Results
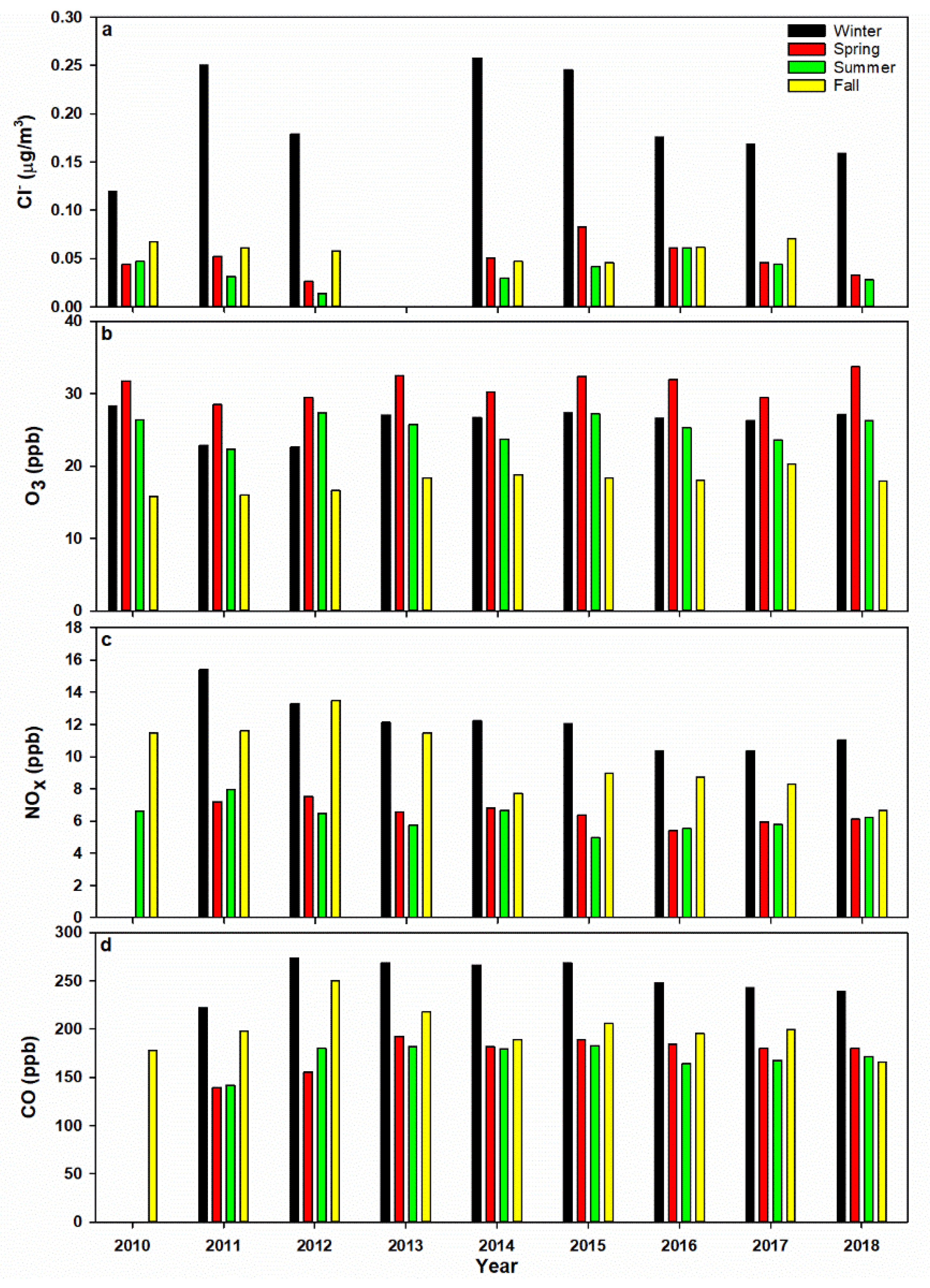
3.1. NAPS Observational Data
3.2. Measurement of Photolabile Chlorine from Downtown McGill Campus
3.3. UV Exposure Comparison
3.4. Results of NaCl and HCl Blank Experiments
3.5. Morphology and Elemental Composition of Particles
4. Discussion
5. Conclusions and Future Studies
Supplementary Materials
Author Contributions
Funding
Acknowledgments
Conflicts of Interest
References
- Saiz-Lopez, A.; von Glasow, R. Reactive halogen chemistry in the troposphere. Chem. Soc. Rev. 2012, 41, 6448–6472. [Google Scholar] [CrossRef] [PubMed]
- Faxon, C.B.; Allen, D.T. Chlorine chemistry in urban atmospheres: A review. Environ. Chem. 2013, 10, 221–233. [Google Scholar] [CrossRef]
- Simpson, W.R.; Brown, S.S.; Saiz-Lopez, A.; Thornton, J.A.; von Glasow, R. Tropospheric halogen chemistry: Sources, cycling, and impacts. Chem. Rev. 2015, 115, 4035–4062. [Google Scholar] [CrossRef] [PubMed]
- Wang, X.; Jacob, D.J.; Eastham, S.D.; Zhu, L.; Chen, Q.; Alexander, B.; Sherwen, T.; Evans, M.J.; Lee, B.H.; Haskins, J.D.; et al. The role of chlorine in global tropospheric chemistry. Atmos. Chem. Phys. 2019, 19, 3981–4003. [Google Scholar] [CrossRef]
- Ariya, P.A.; Khalizov, A.F.; Gidas, A. Reaction of gaseous mercury with atomic and molecular halogens: Kinetics, product studies, and atmospheric implications. J. Phys. Chem. A 2002, 106, 7310–7320. [Google Scholar] [CrossRef]
- Simpson, W.R.; von Glasow, R.; Riedel, K.; Ariya, P.; Bottenheim, J.; Burrows, J.; Carpenter, L.J.; Frieß, U.; Goodsite, M.E.; Heard, D.; et al. Halogens and their role in polar boundary-layer ozone depletion. Atmos. Chem. Phys. 2007, 7, 4375–4418. [Google Scholar] [CrossRef]
- Atkinson, R.; Baulch, D.L.; Cox, R.A.; Crowley, J.N.; Hampson, R.F.; Hynes, R.G.; Jenkin, M.E.; Rossi, M.J.; Troe, J.; Wallington, T.J. Evaluated kinetic and photochemical data for atmospheric chemistry: Volume IV—gas phase reactions of organic halogen species. Atmos. Chem. Phys. 2008, 8, 4141–4496. [Google Scholar] [CrossRef]
- Ravishankara, A.R. Are chlorine atoms significant tropospheric free atoms? Proc. Natl. Acad. Sci. USA 2009, 106, 13639–13640. [Google Scholar] [CrossRef]
- Young, C.J.; Washenfelder, R.A.; Edwards, P.M.; Parrish, D.D.; Gilman, J.B.; Kuster, W.C.; Mielke, L.H.; Osthoff, H.D.; Tsai, C.; Pikelnaya, O.; et al. Chlorine as a primary radical: Evaluation of methods to understand its role in initiation of oxidative cycles. Atmos. Chem. Phys. 2014, 14, 3427–3440. [Google Scholar] [CrossRef]
- Mielke, L.H.; Furgeson, A.; Osthoff, H.D. Observation of ClNO2 in a mid-continental urban environment. Environ. Sci. Technol. 2011, 11, 8889–8896. [Google Scholar] [CrossRef]
- Mielke, L.H.; Furgeson, A.; Odame-Ankrah, C.A.; Osthoff, H.D. Ubiquity of ClNO2 in the urban boundary layer of Calgary, Alberta, Canada. Can. J. Chem. 2016, 94, 414–423. [Google Scholar] [CrossRef]
- Finlayson-Pitts, B.J. Halogens in the troposphere. Anal. Chem. 2010, 82, 770–776. [Google Scholar] [CrossRef] [PubMed]
- Fang, X.; Park, S.; Saito, T.; Tunnicliffe, R.; Ganesan, A.L.; Rigby, M.; Li, S.; Yokouchi, Y.; Fraser, P.J.; Harth, C.M.; et al. Rapid increase in ozone-depleting chloroform emissions from China. Nat. Geosci. 2018, 12, 89–93. [Google Scholar] [CrossRef]
- Thornton, J.A.; Kercher, J.P.; Riedel, T.P.; Wagner, N.L.; Cozic, J.; Holloway, J.S.; Dubé, W.P.; Wolfe, G.M.; Quinn, P.M.; Middlebrook, A.M.; et al. A large atomic chlorine source inferred from mid-continental reactive nitrogen chemistry. Nature 2010, 464, 271–274. [Google Scholar] [CrossRef] [PubMed]
- Environment and Climate Change Canada NAPS Data Portal. Available online: http://maps-cartes.ec.gc.ca/rnspa-naps/data.aspx (accessed on 4 May 2020).
- Kolesar, K.R.; Mattson, C.N.; Peterson, P.K.; May, N.W.; Prendergast, R.K.; Pratt, K.A. Increases in wintertime PM2.5 sodium and chloride linked to snowfall and road salt application. Atmos. Environ. 2018, 177, 195–202. [Google Scholar] [CrossRef]
- Poulain, A.J.; Garcia, E.; Amyot, M.; Campbell, P.G.C.; Raofie, F.; Ariya, P. Biological and chemical redox transformations of mercury in fresh and salt waters of the high Arctic during spring and summer. Environ. Sci. Technol. 2007, 41, 1883–1888. [Google Scholar] [CrossRef]
- Poulain, A.J.; Lalonde, J.D.; Amyot, M.; Shead, J.A.; Raofie, F.; Ariya, P.A. Redox transformations of mercury in an Arctic snowpack at springtime. Atmos. Environ. 2004, 38, 6763–6774. [Google Scholar] [CrossRef]
- McNamara, S.M.; Kolesar, K.R.; Wang, S.; Kirpes, R.M.; May, N.W.; Gunsch, M.J.; Cook, R.D.; Fuentes, J.D.; Hornbrook, R.S.; Apel, E.C.; et al. Observation of road salt aerosol driving inland wintertime atmospheric chemistry. ACS Cent. Sci. 2020, 6, 684–694. [Google Scholar] [CrossRef]
- Riedel, T.P.; Wagner, N.; Dubé, W.P.; Middlebrook, A.M.; Young, C.J.; Öztürk, F.; Bahreini, R.; VandenBoer, T.; Wolfe, D.E.; Williams, E.J.; et al. Chlorine activation within urban or power plant plumes: Vertically resolved ClNO2 and Cl2 measurements from a tall tower in a polluted continental setting. J. Geophys. Res. Atmos. 2013, 118, 8702–8715. [Google Scholar] [CrossRef]
- Spicer, C.W.; Chapman, E.G.; Finlayson-Pitts, B.J.; Plastridge, R.A.; Hubbe, J.M.; Fast, J.D.; Berkowitz, C.M. Unexpectedly high concentrations of molecular chlorine in coastal air. Nature 1998, 394, 353–356. [Google Scholar] [CrossRef]
- Stutz, J.; Ackermann, R.; Fast, J.D.; Barrie, L. Atmospheric reactive chlorine and bromine at the Great Salt Lake, Utah. Geophys. Res. Lett. 2002, 29, 18-1–18-4. [Google Scholar] [CrossRef]
- Finley, B.; Saltzman, E. Observations of Cl2, Br2, and I2 in coastal marine air. J. Geophys. Res. Atmos. 2008, 113. [Google Scholar] [CrossRef]
- Lawler, M.; Sander, R.; Carpenter, L.; Lee, J.; von Glasow, R.; Sommariva, R.; Saltzman, E. HOCl and Cl2 observations in marine air. Atmos. Chem. Phys. 2011, 11, 7617–7628. [Google Scholar] [CrossRef]
- Impey, G.; Shepson, P.; Hastie, D.; Barrie, L.; Anlauf, K. Measurements of photolyzable chlorine and bromine during the polar sunrise experiment 1995. J. Geophys. Res. Atmos. 1997, 102, 16005–16010. [Google Scholar] [CrossRef]
- Spicer, C.W.; Plastridge, R.A.; Foster, K.L.; Finlayson-Pitts, B.J.; Bottenheim, J.W.; Grannas, A.M.; Shepson, P.B. Molecular halogens before and during ozone depletion events in the Arctic at polar sunrise: Concentrations and sources. Atmos. Environ. 2002, 36, 2721–2731. [Google Scholar] [CrossRef]
- Liao, J.; Huey, L.G.; Liu, Z.; Tanner, D.J.; Cantrell, C.A.; Orlando, J.J.; Flocke, F.M.; Shepson, P.B.; Weinheimer, A.J.; Hall, S.R.; et al. High levels of molecular chlorine in the Arctic atmosphere. Nat. Geosci. 2014, 7, 91–94. [Google Scholar] [CrossRef]
- Finley, B.D.; Saltzman, E.S. Measurement of Cl2 in coastal urban air. Geophys. Res. Lett. 2006, 33, L11809. [Google Scholar] [CrossRef]
- Riedel, T.P.; Bertram, T.H.; Crisp, T.A.; Williams, E.J.; Lerner, B.M.; Vlasenko, A.; Li, S.-M.; Gilman, J.; De Gouw, J.; Bon, D.M.; et al. Nitryl chloride and molecular chlorine in the coastal marine boundary layer. Environ. Sci. Technol. 2012, 46, 10463–10470. [Google Scholar] [CrossRef]
- Phillips, G.J.; Tang, M.J.; Thieser, J.; Brickwedde, B.; Schuster, G.; Bohn, B.; Lelieveld, J.; Crowley, J.N. Significant concentrations of nitryl chloride observed in rural continental Europe associated with the influence of sea salt chloride and anthropogenic emissions. Geophys. Res. Lett. 2012, 39. [Google Scholar] [CrossRef]
- McDuffie, E.E.; Fibiger, D.L.; Dubé, W.P.; Hilfiker, F.L.; Lee, B.H.; Jaeglé, L.; Guo, H.; Weber, R.; Reeves, J.M.; Weinheimer, A.J.; et al. ClNO2 yields from aircraft measurements during the 2015 WINTER campaign and critical evaluation of the current parameterization. J. Geophys. Res. Atmos. 2018, 123, 12994–13015. [Google Scholar] [CrossRef]
- Ariya, P.A. Mid-latitude mercury loss. Nat. Geosci. 2011, 4, 14–15. [Google Scholar] [CrossRef]
- Montreal Municipal Web Site. Available online: http://ville.montreal.qc.ca/snowremoval/operations-delais (accessed on 4 May 2020).
- Roberts, J.M.; Osthoff, H.D.; Brown, S.S.; Ravishankra, A.R. N2O5 oxidizes chloride to Cl2 in acidic atmospheric aerosol. Science 2008, 321, 1059. [Google Scholar] [CrossRef] [PubMed]
- Phillips, G.J.; Thieser, J.; Tang, M.; Sobanski, N.; Schuster, G.; Fachinger, J.; Drewnick, F.; Borrmann, S.; Bingemer, H.; Lelieveld, J.; et al. Estimating N2O5 uptake coefficients using ambient measurements of NO3, N2O5, ClNO2 and particle-phase nitrate. Atmos. Chem. Phys. 2016, 16, 13231–13249. [Google Scholar] [CrossRef]
- Sherwen, T.; Evans, M.J.; Sommariva, R.; Hollis, L.D.J.; Ball, S.M.; Monks, P.S.; Reed, C.; Carpenter, L.J.; Lee, J.D.; Forster, G.L.; et al. Effects of halogens on European air-quality. Faraday Discuss. 2017, 200, 75–100. [Google Scholar] [CrossRef] [PubMed]







| Location and Date | Analyte of Interest | Detection Method | Detection Limit to Highest Recorded Measurement | References |
|---|---|---|---|---|
| Marine BL Eastern Long Island, NY, June 1996 | Cl2 | APCI-MS/MS | 15–150 pptv | [21] |
| Great Salt Lake UT, October 2000 | ClO | DOAS | 4–15 pptv | [22] |
| Marine BL La Jolla, CA, January 2006 | Cl2 | APCI-MS/MS | 1–26 pptv | [23] |
| Marine BL Cape Verde Atmospheric Observatory, June 2009 | Cl2 | CI-MS/MS | 1–35 pptv | [24] |
| Polar BL ALERT, 1995 | Photolyzable chlorine (Cl2, HOCl, etc) | Photolyzable halogen detector, with GC coupled to electron capture detector | 9–100 pptv | [25] |
| Polar BL ALERT, 2000 | Cl2 | APCI-MS/MS | 2 pptv–Not detected | [26] |
| Polar BL Barrow, AK, Spring 2009 | Cl2 | CI-MS | 1.1–400 pptv | [27] |
| Coastal Urban Air Irvine, CA, Fall 2005 | Cl2 | APCI-MS/MS | 2.5–20 pptv | [28] |
| Polluted Coastal Region Los Angeles basin, CalNex 2010 field study | Cl2 | CI-MS | <2–200 pptv | [29] |
| Calgary, AB, Canada, Spring 2010 | ClNO2 | CI-MS | 5–250 pptv | [10] |
| Calgary, AB, Canada, Spring 2011 | ClNO2 | CI-MS | 5–338 pptv | [11] |
| Kleiner Feldberg, southwestern Germany, Summer 2011 | ClNO2 | CI-MS | 3–800 pptv | [30] |
| Eastern United States, Winter 2015 | ClNO2 | I-ToF-CIMS | 0.6–119 pptv | [31] |
| Montreal, 2017–2019 | Photolabile chlorine (Cl2, HOCl, etc) | Cl2-RPGE tube coupled to GC-MS | 0.9–545 ng/m3 (0.3–188 ppt as Cl2) | This Study |
© 2020 by the authors. Licensee MDPI, Basel, Switzerland. This article is an open access article distributed under the terms and conditions of the Creative Commons Attribution (CC BY) license (http://creativecommons.org/licenses/by/4.0/).
Share and Cite
Hall, R.; Nepotchatykh, O.; Nepotchatykh, E.; Ariya, P.A. Anthropogenic Photolabile Chlorine in the Cold-Climate City of Montreal. Atmosphere 2020, 11, 812. https://doi.org/10.3390/atmos11080812
Hall R, Nepotchatykh O, Nepotchatykh E, Ariya PA. Anthropogenic Photolabile Chlorine in the Cold-Climate City of Montreal. Atmosphere. 2020; 11(8):812. https://doi.org/10.3390/atmos11080812
Chicago/Turabian StyleHall, Ryan, Oleg Nepotchatykh, Evguenia Nepotchatykh, and Parisa A. Ariya. 2020. "Anthropogenic Photolabile Chlorine in the Cold-Climate City of Montreal" Atmosphere 11, no. 8: 812. https://doi.org/10.3390/atmos11080812
APA StyleHall, R., Nepotchatykh, O., Nepotchatykh, E., & Ariya, P. A. (2020). Anthropogenic Photolabile Chlorine in the Cold-Climate City of Montreal. Atmosphere, 11(8), 812. https://doi.org/10.3390/atmos11080812

