Irrigation Groundwater Quality Characteristics: A Case Study of Cyprus
Abstract
1. Introduction
2. Materials and Methods
2.1. Study Area
2.2. Groundwater Sampling and Analysis
2.3. Groundwater Quality Evaluation Indices
2.4. Statistical Analysis
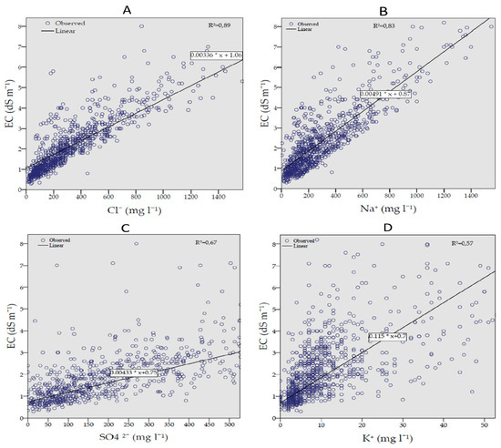
3. Results
4. Discussion
5. Conclusions
Author Contributions
Funding
Conflicts of Interest
References
- Sánchez-Molina, J.A.; Rodríguez, F.; Guzmán, J.L.; Ramírez-Arias, J.A. Water Content Virtual Sensor for Tomatoes in Coconut Coir Substrate for Irrigation Control Design. Agric. Water Manag. 2015, 151, 114–125. [Google Scholar] [CrossRef]
- Diffenbaugh, N.S.; Pal, J.S.; Giorgi, F.; Gao, X. Heat Stress Intensification in the Mediterranean Climate Change Hotspot. Geophys. Res. Lett. 2007, 34, 1–6. [Google Scholar] [CrossRef]
- Zachariadis, T. Climate Change in Cyprus; Review of the Impacts and Outline of an Adaptation Strategy, Springer Briefs in Environmental Science; Springer International Publishing: Cham, Switzerland, 2016. [Google Scholar] [CrossRef]
- Daccache, A.; Ciurana, J.S.; Rodriguez Diaz, J.A.; Knox, J.W. Water and Energy Footprint of Irrigated Agriculture in the Mediterranean Region. Environ. Res. Lett. 2014, 9, 1–12. [Google Scholar] [CrossRef]
- Thompson, R.B.; Gallardo, M.; Valdez, L.C.; Fernandez, M.D. Using Plant Water Status to Define Threshold Values for Irrigation Management of Vegetable Crops Using Soil Moisture Sensors. Agric. Water Manag. 2007, 88, 147–158. [Google Scholar] [CrossRef]
- Michael, G.; Antonelli, M.; Greco, F. Opportunity Costs of Virtual Water: A Justification for Green-Water Based Agricultural Capacity Growth for Economic, Social and Environmental Sustainability. In: Water Footprint Applications for Water Resource Management in Agriculture. Guest Editors, Marta, A.D., Nejedlik, R., Altobelli, F. Ital. J. Agrometeorol. 2015, 3, 49–58. [Google Scholar]
- Garcia-Caparros, P.; Contreras, J.; Baeza, R.; Segura, M.; Lao, M. Integral Management of Irrigation Water in Intensive Horticultural Systems of Almería. Sustainability 2017, 9, 2271. [Google Scholar] [CrossRef]
- Suarez, D.L. Impact of Agricultural Practices on Groundwater Salinity. Agric. Ecosyst. Environ. 1989, 26, 215–227. [Google Scholar] [CrossRef]
- Levidow, L.; Zaccaria, D.; Maia, R.; Vivas, E.; Todorovic, M.; Scardigno, A. Improving Water-Efficient Irrigation: Prospects and Difficulties of Innovative Practices. Agric. Water Manag. 2014, 146, 84–94. [Google Scholar] [CrossRef]
- Barik, R.; Pattanayak, S.K. Assessment of Groundwater Quality for Irrigation of Green Spaces in the Rourkela City of Odisha, India. Groundw. Sustain. Dev. 2019, 8, 428–438. [Google Scholar] [CrossRef]
- Yumurtaci, A. Utilization of Wild Relatives of Wheat, Barley, Maize and Oat in Developing Abiotic and Biotic Stress Tolerant New Varieties. Emir. J. Food Agric. 2015, 27, 1–14. [Google Scholar] [CrossRef]
- Savvas, D.; Ntatsi, G.; Barouchas, P.E. Soil Conservation, Soil Fertility and Plant Nutrition Management. In Good Agricultural Practices for Greenhouse Vegetable Production in the South East European Countries—Principles for Sustainable Intensification of Smallholder Farms; Plant Production and Protection Paper 230; FAO: Rome, Italy, 2017; pp. 53–79. [Google Scholar]
- Eitzinger, J.; Alexandrou, V.; Utset, A.; Saylan, L. Factors Determining Crop Water Productivity in Agricultural Crop Production—A Review. In: Water Footprint Applications for Water Resource Management in Agricultural; Guest Editors, Marta, A.D., Nejedlik, R., Altobelli, F. Ital. J. Agrometereol. 2015, 15–29. [Google Scholar]
- McFarland, M.L.; Provin, T.L.; Redmon, L.A.; Boellstorff, D.A.; McDonald, A.K.; Stein, L.A.; Wherley, B.G. An Index of Salinity and Boron Tolerance of Common Native and Introduced Plant Species in Texas. Soil and Water Salinity and Boron Thresholds for Selected Trees, Shrubs, Turfgrasses, Ornamental Ground Covers, Fruits and Nut Crops, Vegetables, Flowers, Herbaceous Crops, Field Grasses, Forages, and Field Crops; Texas A&M Agrilife Extension: College Station, TX, USA, 2014; pp. 3–45. [Google Scholar]
- Breś, W.; Kleiber, T.; Trelka, T. Quality of Water Used for Drip Irrigation and Fertigation of Horticultural Plants. Folia Hortic. 2010, 22, 67–74. [Google Scholar] [CrossRef]
- Ben-Gal, A.; Ityel, E.; Dudley, L.; Cohen, S.; Yermiyahu, U.; Presnov, E.; Zigmond, L.; Shani, U. Effect of Irrigation Water Salinity on Transpiration and on Leaching Requirements: A Case Study for Bell Peppers. Agric. Water Manag. 2008, 95, 587–597. [Google Scholar] [CrossRef]
- Papadopoulos, I. Efficient Fertilizer Use in Pressurized Irrigation Systems. In Agricultural Research Institute, Ministry of Agriculture, Natural Resources and the Environment; Miscellaneous Reports 93; Press and Information Office: Nicosia, Cyprus, 2006; pp. 1–10. [Google Scholar]
- Gilbert, G.; Ford, H.W. Operational Principles, Emitter Clogging. In Trickle Irrigation for Crop Production. Design, Operation and Management; Nakayama, F.S., Bucks, D.A., Eds.; Developments in Agricultural Design; Elsevier Science Publishers B.V.: Amsterdam, The Netherlands, 1986. [Google Scholar]
- Shannon, M.C.; Grieve, C.M. Tolerance of Vegetable Crops to Salinity. Sci. Hortic. 1998, 78, 5–38. [Google Scholar] [CrossRef]
- Liu, C.; Huang, L.P.; Liu, M.L.; Hao, S.Q.; Zhai, H.; Shao, X.J.; Du, Y.P. Effects of Seawater Irrigation on Fruit Quality of Grapevine, Soil Properties and Microbial Diversity. Sci. Hortic. 2019, 253, 80–86. [Google Scholar] [CrossRef]
- Sgherri, C.; Kadlecová, Z.; Pardossi, A.; Navari-Izzo, F.; Izzo, R. Irrigation with Diluted Seawater Improves the Nutritional Value of Cherry Tomatoes. J. Agric. Food Chem. 2008, 56, 3391–3397. [Google Scholar] [CrossRef]
- Magán, J.J.; Moreno, N.; Meca, D.; Cánovas, F. Response to Salinity of a Tomato Crop in Mediterranean Climate Conditions. Acta Hortic. 2004, 644, 479–484. [Google Scholar] [CrossRef]
- Maas, E.V.; Hoffman, G.J. Crop Salt Tolerance—Current Assessment. J. Irrig. Drain. Div. 1977, 103, 115–134. [Google Scholar]
- Bouaroudj, S.; Menad, A.; Bounamous, A.; Ali-Khodja, H.; Weigel, D.A.; Chenchouni, H. Assessment of Water Quality at the Largest Dam in Algeria (Beni Haroun Dam) and Effects of Irrigation on Soil Characteristics of Agricultural Lands. Chemosphere 2019, 219, 76–88. [Google Scholar] [CrossRef]
- Ranatunga, K.; Nation, E.R.; Barodien, G. Potential Use of Saline Groundwater for Irrigation in the Murray Hydrogeological Basin of Australia. Environ. Modell. Softw. 2010, 25, 1188–1196. [Google Scholar] [CrossRef]
- Reca, J.; Trillo, C.; Sánchez, J.A.; Martínez, J.; Valera, D. Optimization Model for On-Farm Irrigation Management of Mediterranean Greenhouse Crops Using Desalinated and Saline Water from Different Sources. Agric. Syst. 2018, 166, 173–183. [Google Scholar] [CrossRef]
- Eurostat. Online Information on the Water Exploitation Index. 2015. Available online: http://Ec.Europa.Eu/Eurostat/En/Web/Products-Datasets/-/TSDNR310 (accessed on 7 October 2018).
- Eleftheriou, P. Boron in Groundwater of the Island of Cyprus. J. Environ. Hydrol. 2001, 9, 1–5. [Google Scholar]
- Demetriou, C.; Georgiou, A. Management of Groundwater Resources in Cyprus—Harmonisation with the EU Water Framework Directive. In Proceedings of the BALWOIS 2004, Ohrid, Republic of Macedonia, 25–29 May 2004; Volume 1. [Google Scholar]
- Georghiou, G.; Pashalidis, I. Boron in Groundwaters of Nicosia (Cyprus) and Its Treatment by Reverse Osmosis. Desalination 2007, 215, 104–110. [Google Scholar] [CrossRef]
- Tsiourtis, N.X.; Photiou, C.; Hajispyrou, E.; Pashardes, P.; Rostandi, N. Application of the Drought Management Guidelines in Cyprus. In Drought Management Guidelines Technical Annex; Iglesias, A., Moneo, M., Lopez-Francos, A., Eds.; CIHEAM: Zaragoza, Spain, 2007; pp. 215–245. [Google Scholar]
- DK Consultants Engineers, & Planners S.A.; ECOS Consulting S.A. River Basin Management Plan of Cyprus for the Implementation of the Directive 2000/60/ΕC (Period 2016-2021), Consulting Services for the Elaboration of the 2nd River Management Plan of Cyprus, for the Implementation of Directive 200/60/EC, and for the Elaboration of the Flood Risk Management Plan for the Implementation of the Directive 2007/60/EC; ECOS Consulting S.A.: Athina, Greece, 2014; Volume 2016, pp. 1–442. [Google Scholar]
- Christofi, C.; Bruggeman, A.; Kuells, C.; Constantinou, C. Hydrochemical Evolution of Groundwater in Gabbro of the Troodos Fractured Aquifer. A Comprehensive Approach. Appl. Geochem. 2020, 114, 104524. [Google Scholar] [CrossRef]
- Chimonidou, D.; Metochis, C.; Papadopoulos, I. Irrigation Systems Performance: Case Study of Cyprus. In Irrigation Systems Performance; Lamaddalena, N., Lebdi, F., Todorovic, M., Bogliotti, C., Eds.; Options Méditerranéennes: Série, B. Etudes et Recherches, n. 52; CIHEAM: Bari, Italy, 2005; pp. 79–84. [Google Scholar]
- Josephides, C.M. Performance of Selected Cotton Varieties under Cyprus Conditions; Technical Bulletin; Agricultural Research Institute, Ministry of Agriculture and Natural Resources. Issued by the Press and Information Office: Nicosia, Cyprus, 1989; Volume 3, pp. 1–9.
- Papasolomontos, A. Annual Report of the Department of Agriculture for the Year; Department of Agriculture, Ministry of Agriculture and Natural Resources: Strovolos, Cyprus, 1968; pp. 3–107.
- Christou, A.; Dalias, P.; Neocleous, D. Spatial and Temporal Variations in Evapotranspiration and Net Water Requirements of Typical Mediterranean Crops on the Island of Cyprus. J. Agric. Nat. Resour. 2017, 155, 1311–1323. [Google Scholar] [CrossRef]
- Allen, R.; Pereira, L.; Raes, D.; Smith, M. Crop Evapotranspiration Guidelines for Computing Crop Water Requirements; FAO Irrigation and Drainage Paper, 56; FAO: Rome, Italy, 1998; pp. 1–289. [Google Scholar]
- Estefan, G.; Sommer, R.; Ryan, J. Methods of Soil, Plant and Water Analysis: A Manual for the West Asia and North Africa Region, 3rd ed.; International Center for Agricultural Research in the Dry Areas: Beirut, Lebanon, 2013. [Google Scholar]
- Ayers, R.S.; Westcot, D.W. Water Quality for Agriculture; FAO Irrigation and Drainage Paper; FAO: Rome, Italy, 1989; Volume 29, ISBN 92-5-102263-1. [Google Scholar]
- Maas, E.V. Crop Salt Tolerance. In Agricultural Salinity Assessment and Management, ASCE Manual Reports on Engineering Practices; Tanji, K.K., Ed.; ASCE: New York, NY, USA, 1990; Volume 71, pp. 262–304. [Google Scholar]
- Zaman, M.; Shahid, S.A.; Heng, L. Irrigation Water Quality. In Guideline for Salinity Assessment, Mitigation and Adaptation Using Nuclear and Related Technique; Springer: Cham, Switzerland, 2018; pp. 113–131. [Google Scholar]
- Markou, M.; Papadavid, G. Norm Input -Output Data for the Main Crop and Livestock Enterprises of Cyprus. Agric. Econ. 2007, 46, 0379–0827. [Google Scholar]
- Smith, C.J.; Oster, J.D.; Sposito, G. Potassium and Magnesium in Irrigation Water Quality Assessment. Agric. Water Manag. 2015, 157, 59–64. [Google Scholar] [CrossRef]
- Richards, L.A. Diagnosis and Improvement of Saline Alkali Soils, Agriculture, Handbook 60; US Department of Agriculture: Washington, DC, USA, 1954; pp. 1–160.
- Eaton, F.M. Significance of Carbonate in Irrigation Water. Soil Sci. 1950, 69, 123–133. [Google Scholar] [CrossRef]
- Olubanjo, O.O.; Alade, E. Evaluation of Irrigation Water Quality from Major Water Sources in Ondo and Osun States, Nigeria. J. Exp. Agric. Int. 2018, 24, 1–12. [Google Scholar] [CrossRef]
- Iqbal, J.; Nazzal, Y.; Howari, F.; Xavier, C.; Yousef, A. Hydrochemical Processes Determining the Groundwater Quality for Irrigation Use in an Arid Environment: The Case of Liwa Aquifer, Abu Dhabi, United Arab Emirates. Groundw. Sustain. Dev. 2018, 7, 212–219. [Google Scholar] [CrossRef]
- Food and Agricultural Organization (FAO). 2020. Available online: http://www.Fao.Org/Faostat/En/#home (accessed on 8 March 2020).
- Lauchi, A.; Grattan, A.S.R. Plant growth and development under salinity stress. In Advances in Molecular Breeding towards Drought and Salt Tolerance Crops; Jenks, M.A., Hassegawa, P.M., Jain, S.M., Eds.; Springer: Berlin/Heidelberg, Germany, 2007; pp. 1–32. [Google Scholar]
- Kebede, F.; Hollington, P. Boron Status in the Irrigated Fields of Semi Arid North Ethiopia. Researcher 2010, 2, 28–37. [Google Scholar]
- Smith, T.E.; Grattan, S.R.; Grieve, C.M.; Poss, J.A.; Suarez, D.L. Salinity’s Influence on Boron Toxicity in Broccoli: II. Impacts on Boron Uptake, Uptake Mechanisms and Tissue Ion Relations. Agric. Water Manag. 2010, 97, 783–791. [Google Scholar] [CrossRef]
- Metochis, C. Water Requirement, Yield and Fruit Quality of Grapefruit Irrigated with High-Sulphate Water. J. Hortic. Sci. 1989, 64, 733–737. [Google Scholar] [CrossRef]
- Papadopoulos, I. Effect of Sulphate Waters on Soil Salinity, Tomatoes. Plant Soil 1984, 81, 353–361. [Google Scholar] [CrossRef]
- Nejatijahromia, Z.; Nassery, H.R.; Hosono, T.; Nakhaei, M.; Alijani, F.; Okumura, A. Groundwater Nitrate Contamination in an Area Using Urban Wastewaters for Agricultural Irrigation under Arid Climate Condition, Southeast of Tehran, Iran. Agric. Water Manag. 2019, 221, 397–414. [Google Scholar] [CrossRef]
- Yeshno, E.; Arnon, S.; Dahan, O. Real-Time Monitoring of Nitrate in Soils as a Key for Optimization of Agricultural Productivity and Prevention of Groundwater Pollution. Hydrol. Earth Syst. Sci. 2019, 23, 3997–4010. [Google Scholar] [CrossRef]
- Juntakut, P.; Snow, D.D.; Haacker, E.M.K.; Ray, C. The Long Term Effect of Agricultural, Vadose Zone and Climatic Factors on Nitrate Contamination in Nebraska’s Groundwater System. J. Contam. Hydrol. 2019, 220, 33–48. [Google Scholar] [CrossRef]
- Grafton, R.Q.; Williams, J.; Perry, C.J.; Molle, F.; Ringler, C.; Steduto, P.; Udall, B.; Wheeler, S.A.; Wang, Y.; Garrick, D.; et al. The Paradox of Irrigation Efficiency. Higher Efficiency Rarely Reduces Water Consumption. Science 2018, 361, 748–750. [Google Scholar] [CrossRef]
- Savvas, D.; Akoumianakis, K.; Karapanos, I.; Kontopoulou, C.K.; Ntatsi, G.; Liontakis, A.; Akoumianakis, A. Recharging Greek Youth to Revitalize the Agriculture and Food Sector of the Greek Economy; Final Report Sectoral study 5 Vegetables: Open-Field and Greenhouse Production; Agricultural University of Athens: Athens, Greece, 2015; pp. 1–214. [Google Scholar]
- Luo, J.M.; Yang, F.; Wang, Y.J.; Ya, Y.J.; Deng, W.; Zhang, X.P.; Liu, Z. Mechanism of Soil Sodification at the Local Scale in Songnen Plain, Northeast China, as Affected by Shallow Groundwater Table. Arid Land Res. Manag. 2011, 25, 234–256. [Google Scholar] [CrossRef]
- Flowers, T.J.; Ragab, R.; Malash, N.; Gawad, G.A.; Cuartero, J.; Arslan, A. Sustainable Strategies for Irrigation in Salt Prone Mediterranean: SALTMED. Agric. Water Manag. 2005, 78, 3–14. [Google Scholar] [CrossRef]
- Minhas, P.S.; Ramos, T.B.; Ben-Gal, A.; Pereira, L.S. Coping with Salinity in Irrigated Agriculture: Crop Evapotranspiration and Water Management Issues. Agric. Water Manag. 2020, 227, 105832. [Google Scholar] [CrossRef]
- Elaty, I.; Sallam, G.A.H.; Straface, S.; Scozzari, A. Effects of Climate Change on the Design of Subsurface Drainage Systems in Coastal Aquifers in Arid/Semi-Arid Regions: Case Study of the Nile Delta. Sci. Total Environ. 2019, 672, 283–295. [Google Scholar] [CrossRef] [PubMed]
- Harun, A.N.; Mohamed, N.; Ahmad, R.; Rahim, A.R.A.; Ani, N.N. Improved Internet of Things (IoT) Monitoring System for Growth Optimization of Brassica Chinensis. Comput. Electron. Agric. 2019, 164, 104836. [Google Scholar] [CrossRef]
- Nikolaou, G.; Neocleous, D.; Katsoulas, N.; Kittas, C. Irrigation of Greenhouse Crops. Horticulturae 2019, 5, 1–20. [Google Scholar] [CrossRef]




| Degree of Restriction on Use | Electrical Conductivity (dS m−1) | Salinity Hazard to Crops |
|---|---|---|
| None | 0.75 | No negative effects will usually be noticed |
| Some | 0.75–1.50 | Sensitive crops may experience detrimental effects |
| Moderate | 1.50–3.00 | Adverse effects on many crops, thus requiring careful management practices |
| Severe | 3.00–7.00 | For salt tolerance crops with specific management practices on permeable soils |
| Crop | Salinity at Initial Yield Decline | % Yield Decreased Per Unit Increase in Salinity Beyond Threshold | 100% Yield Reduction | Salt Tolerance Rating | ETc | WEP |
|---|---|---|---|---|---|---|
| Almond | 1.5 | 19 | 4.5 | S | 354 | 2.39 |
| Apricot | 1.6 | 24 | 3.8 | S | 682 | 6.98 |
| Orange | 1.8 | 16 | 5.4 | S | 846 | 1.57 |
| Bean greenhouse | 1.0 | 19 | 4.2 | S | 452 | 32.38 |
| Carrot | 1.0 | 14 | 5.4 | S | 424 | 4.78 |
| Strawberry greenhouse | 1.0 | 33 | 2.7 | S | 586 | 17.06 |
| Strawberry open field | 1.0 | 33 | 2.7 | S | 586 | 10.27 |
| Alfalfa | 2 | 7.3 | 10 | MS | 1276 | 0.56 |
| Corn | 1.7 | 12 | 10 | MS | 554 | na |
| Cowpea | 1.3 | 14 | 7.8 | MS | 449 | 1.61 |
| Cucumber greenhouse | 2.5 | 13 | 6.8 | MS | 585 | 30.52 |
| Cucumber open field | 2.5 | 13 | 6.8 | MS | 476 | 4.70 |
| Cabbage | 1.8 | 9.7 | 8.1 | MS | 537 | na |
| Spinach | 2.0 | 7.6 | 10 | MS | 371 | 7.56 |
| Tomato greenhouse | 2.5 | 9.9 | 8.4 | MS | 743 | 21.03 |
| Sweet potato | 1.5 | 11 | 7.1 | MS | na | na |
| Brocolli | 2.8 | 9.2 | 9.1 | MT | na | na |
| Soybean | 5.0 | 20 | 6.7 | MT | 449 | 1.61 |
| Date palm | 4.3 | 3.6 | 21 | T | na | na |
| Cotton | 7.7 | 5.2 | 18 | T | na | na |
| Crop | Cl−1 (mg L−1) | Crop | Cl−1 (mg L−1) |
|---|---|---|---|
| Bean | 350 | Spinach | 700 |
| Carrot | 350 | Alfalfa | 700 |
| Strawberry | 350 | Tomato | 875 |
| Onion | 350 | Cucumber | 875 |
| Potato | 525 | Brocolli | 875 |
| Corn | 525 | Squash, Scallop | 1050 |
| Cabbage | 525 | Sudan grass | 1050 |
| Celery | 525 | Squash, Zucchini | 1575 |
| Pepper | 525 | Cowpea | 1750 |
| VS | S | MS | MT | T | VT | |
|---|---|---|---|---|---|---|
| <0.5 | 0.5–0.75 | 0.75–1 | 1.0–2 | 2–4 | 4–6 | 6–15 |
| Lemon | Avocado | Garlic | Cucumber | Lettuce | Tomato | Cotton |
| Blackberry | Grapefruit | Strawberry | Radish | Cabbage | Alfalfa | Asparagus |
| Orange | Sweet potato | Potato | Oats | Sugar beet | ||
| Apricot | Peanut | Carrot | Muskmelon | |||
| Peach | Pepper | Tobacco | ||||
| Cherry | Maize | |||||
| Plum | Celery | |||||
| Onion | ||||||
| SAR (meg L−1) | RSC (meg L−1) | Water Quality |
|---|---|---|
| <10 | Excellent | |
| 10–18 | <1.25 | Good |
| 18–26 | 1.25–2.5 | Doubtful |
| >26 | >2.5 | Unsuitable |
| Salinity | Alkalinity | Sodicity | ||||||
|---|---|---|---|---|---|---|---|---|
| Year | n | EC | Na+ | CO3− | HCO3− | pH | SAR | RSC |
| 2009 | 69 | 2.42 (0.24) | 353.86 (45.29) | 1.51 (0.55) | 293.29 (22.96) | 7.54 (0.05) | 8.60 (1.02) | 0.15 (0.59) |
| 2010 | 120 | 2.38 (0.17) | 318.19 (32.06) | 2.10 (0.58) | 314.86 (13.41) | 7.45 (0.07) | 8.09 (0.72) | −0.22 (0.51) |
| 2011 | 97 | 2.41 (0.17) | 321.01 (32.79) | 5.11 (1.50) | 327.15 (22.47) | 7.76 (0.10) | 7.86 (0.84) | 0.10 (0.57) |
| 2012 | 111 | 2.49 (0.16) | 312.48 (27.02) | 2.21 (0.51) | 341.50 (12.37) | 7.65 (0.04) | 7.13 (0.66) | −0.36 (0.49) |
| 2013 | 85 | 2.75 (0.27) | 380.14 (48.19) | 3.59 (0.81) | 368.39 (23.08) | 7.74 (0.06) | 8.52 (0.90) | 0.59 (0.66) |
| 2014 | 87 | 2.45 (0.18) | 300.48 (27.12) | 4.63 (1.59) | 330.97 (15.98) | 7.63 (0.05) | 7.086 (0.65) | −0.90 (0.66) |
| 2015 | 97 | 2.26 (0.14) | 295.00 (26.32) | 3.53 (0.79) | 335.99 (15.14) | 7.47 (0.08) | 7.75 (0.79) | 0.01 (0.53) |
| 2016 | 93 | 2.60 (0.33) | 355.44 (66.00) | 4.18 (0.88) | 318.52 (15.43) | 7.64 (0.04) | 7.42 (0.98) | −1.67 (1.00) |
| 2017 | 63 | 2.72 (0.34) | 424.86 (76.77) | 3.97 (1.56) | 324.21 (21.87) | 7.59 (0.12) | 10.25 (1.48) | 0.55 (0.61) |
| 2018 | 68 | 3.14 (0.41) | 384.66 (68.30) | 3.54 (1.04) | 320.47 (19.89) | 7.37 (0.07) | 7.48 (0.72) | −1.92 (0.90) |
| 2.53 (0.07) | 338.73 (13.97) | 3.40 (0.32) | 328.31 (5.67) | 7.59 (0.02) | 7.93 (0.27) | −0.36 (0.21) | ||
© 2020 by the authors. Licensee MDPI, Basel, Switzerland. This article is an open access article distributed under the terms and conditions of the Creative Commons Attribution (CC BY) license (http://creativecommons.org/licenses/by/4.0/).
Share and Cite
Nikolaou, G.; Neocleous, D.; Christophi, C.; Heracleous, T.; Markou, M. Irrigation Groundwater Quality Characteristics: A Case Study of Cyprus. Atmosphere 2020, 11, 302. https://doi.org/10.3390/atmos11030302
Nikolaou G, Neocleous D, Christophi C, Heracleous T, Markou M. Irrigation Groundwater Quality Characteristics: A Case Study of Cyprus. Atmosphere. 2020; 11(3):302. https://doi.org/10.3390/atmos11030302
Chicago/Turabian StyleNikolaou, Georgios, Damianos Neocleous, Christos Christophi, Theodosia Heracleous, and Marinos Markou. 2020. "Irrigation Groundwater Quality Characteristics: A Case Study of Cyprus" Atmosphere 11, no. 3: 302. https://doi.org/10.3390/atmos11030302
APA StyleNikolaou, G., Neocleous, D., Christophi, C., Heracleous, T., & Markou, M. (2020). Irrigation Groundwater Quality Characteristics: A Case Study of Cyprus. Atmosphere, 11(3), 302. https://doi.org/10.3390/atmos11030302

