Dust Dry Deposition over Israel
Abstract
1. Introduction
2. Data and Methodology
2.1. The DREAM Model
2.2. Validation of Modeled Monthly-Accumulated Dust Dry Deposition
3. Results
3.1. Year-to-Year Variations of Annually-Accumulated Dust Deposition over Israel
3.2. Spatial Non-Uniformity of Annually-Accumulated Dust Dry Deposition over Israel
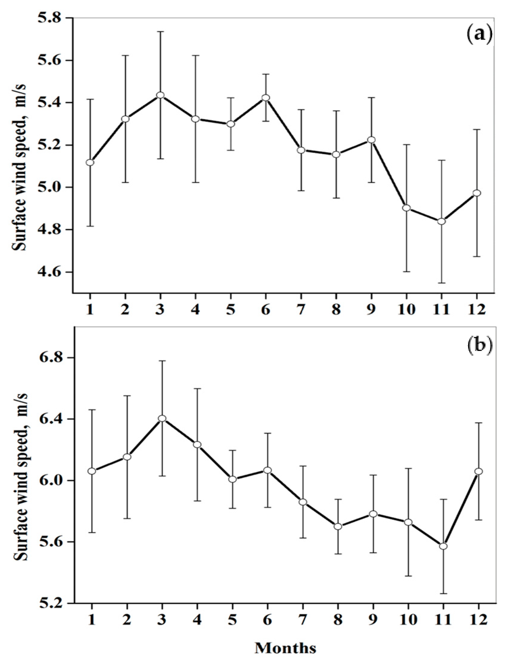
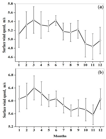
3.3. Seasonal Variations of Monthly-Accumulated Dust Dry Deposition over Israel
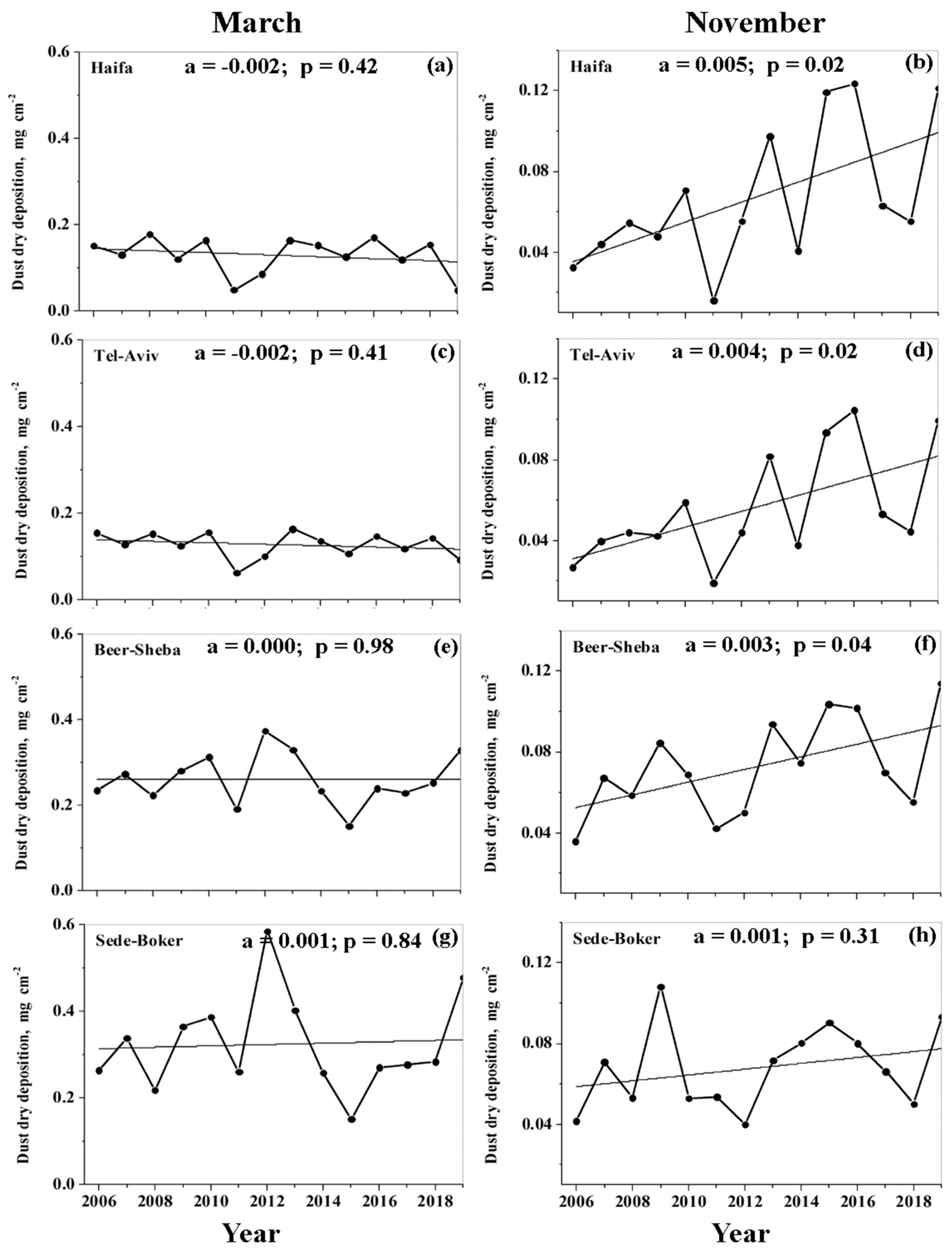
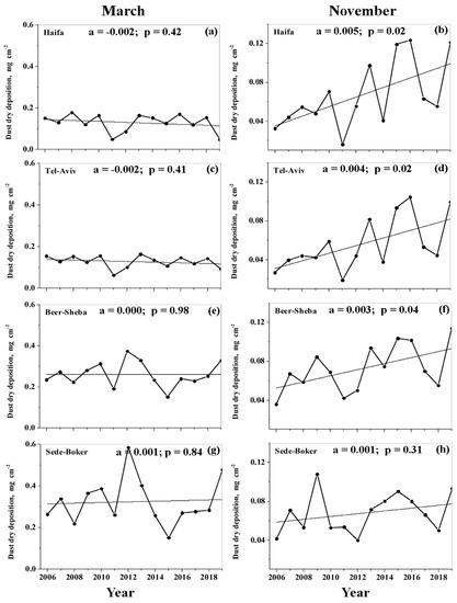
3.4. Trends
4. Conclusions
Author Contributions
Funding
Acknowledgments
Conflicts of Interest
References
- Lelieveld, J.; Berresheim, H.; Borrmann, S.; Crutzen, P.J.; Dentener, F.J.; Fischer, H.; Feichter, J.; Flatau, P.J.; Heland, J.; Holzinger, R.; et al. Global air pollution crossroads over the Mediterranean. Science 2002, 298, 794–799. [Google Scholar] [CrossRef] [PubMed]
- Provençal, S.; Buchard, V.; da Silva, A.; Leduc, R.; Barrette, N.; Elhacham, E.; Wang, S.-H. Evaluation of PM2.5 surface concentration simulated by Version 1 of the NASA’s MERRA Aerosol Reanalysis over Israel and Taiwan. Aerosol Air Qual. Res. 2017, 17, 253–261. [Google Scholar] [CrossRef]
- Kushelevsky, A.; Shani, G.; Haccoun, A. Effect of meteorologic conditions on total suspended particulate (TSP) levels and elemental concentration of aerosols in a semi-arid zone (Beer-Sheva, Israel). Tellus B 1983, 35, 55–64. [Google Scholar] [CrossRef]
- Dayan, U.; Ziv, B.; Shoob, T.; Enzel, Y. Suspended dust over southeastern Mediterranean and its relation to atmospheric circulation. Int. J. Climatol. 2008, 28, 915–924. [Google Scholar] [CrossRef]
- Biryukov, S. An experimental study of the dry deposition mechanism for airborne dust. J. Aerosol Sci. 1998, 29, 129–139. [Google Scholar] [CrossRef]
- Abdul, M.S.; Albaalib, G.; Alasisc, E.; Kaldellis, J.K. Experimental study on the effect of dust deposition on solar photovoltaic panels in desert environment. Renew. Energy 2016, 92, 499–505. [Google Scholar] [CrossRef]
- Volpov, E.; Kishcha, P. An Advanced Technique for Outdoor Insulation Pollution Mapping in the Israel Electric Company Power Grid. IEEE Trans. Dielectr. Electr. Insul. 2017, 24, 3539–3548. [Google Scholar] [CrossRef]
- Singer, A.; Ganor, E.; Fried, M.; Shamay, Y. Throughfall deposition of sulfur to a mixed oak and pine forest in Israel. Atmos. Environ. 1996, 30, 3881–3889. [Google Scholar] [CrossRef]
- Ganor, E.; Foner, H.A. Mineral dust concentrations, deposition fluxes and deposition velocities in dust episodes over Israel. J. Geophys. Res. Atmos. 2001, 106, 18431–18437. [Google Scholar] [CrossRef]
- Kishcha, P.; Barnaba, F.; Gobbi, P.; Alpert, P.; Shtivelman, A.; Krichak, S.O.; Joseph, J.H. Vertical distribution of Saharan dust over Rome: Comparison between 3-year model predictions and lidar soundings. J. Geophys. Res. 2005, 110, D06208. [Google Scholar] [CrossRef]
- Kishcha, P.; Alpert, P.; Shtivelman, A.; Krichak, S.; Joseph, J.; Kallos, G.; Spyrou, C.; Gobbi, G.P.; Barnaba, F.; Nickovic, S.; et al. Forecast errors in dust vertical distributions over Rome (Italy): Multiple particle size representation and cloud contributions. J. Geophys. Res. 2007, 112, D15205. [Google Scholar] [CrossRef]
- Kishcha, P.; Nickovic, S.; Ganor, E.; Kordova, L.; Alpert, P. Saharan dust over the Eastern Mediterranean: Model Sensitivity. In Book Air Pollution Modeling and Its Application XIX; Springer: Dordrecht, The Netherlands, 2008; Chapter 4.2; pp. 358–366. [Google Scholar] [CrossRef]
- Nickovic, S.; Kallos, G.; Papadopoulos, A.; Kakaliagou, O. A model for prediction of desert dust cycle in the atmosphere. J. Geophys. Res. 2001, 106, 18113–18130. [Google Scholar] [CrossRef]
- Ganor, E.; Osetinsky, I.; Stupp, A.; Alpert, P. Increasing trend of African dust, over 49 years, in the eastern Mediterranean. J. Geophys. Res. 2010, 115, D07201. [Google Scholar] [CrossRef]
- M2IMNXLFO–NASA MERRA2 Reanalysis including Data Assimilation; Monthly Mean Surface Wind Speed at the Surface Layer Height of Approximately 60 m. Version 5.12.4. Available online: https://disc.gsfc.nasa.gov/datasets/M2IMNXLFO_V5.12.4/summary (accessed on 12 February 2020). [CrossRef]
- Randles, C.A.; da Silva, A.M.; Buchard, V.; Colarco, P.R.; Darmenov, A.; Govindaraju, R.; Smirnov, A.; Holben, B.; Ferrare, R.; Hair, J.; et al. The MERRA-2 aerosol reanalysis, 1980 onward. Part I: System description and data assimilation evaluation. J. Clim. 2017, 30, 6823–6850. [Google Scholar] [CrossRef] [PubMed]
- Reanalysis Data Assimilation. Available online: https://climatedataguide.ucar.edu/climate-data/simplistic-overview-reanalysis-data-assimilation-methods (accessed on 12 February 2020).
- Basart, S.; Perez, C.; Nickovic, S.; Cuevas, E.; Baldasano, J.M. Development and evaluation of the BSC-DREAM8b dust regional model over Northern Africa, the Mediterranean and the Middle East. Tellus B 2012, 64, 18539. [Google Scholar] [CrossRef]
- Giorgi, F. A particle dry-deposition parameterization for use in tracer transport models. J. Geophys. Res. 1986, 91, 9794–9806. [Google Scholar] [CrossRef]
- A Tutorial on Standard Errors. Available online: http://www.minerazzi.com/tutorials/a-tutorial-on-standard-errors.pdf (accessed on 12 February 2020).















| Haifa | Tel-Aviv | Sede-Boker | North-East Africa | |
|---|---|---|---|---|
| Haifa | 1.00 | 0.92 ± 0.10 | 0.77 ± 0.20 | 0.87 ± 0.10 |
| Tel-Aviv | 0.92 ± 0.10 | 1.00 | 0.92 ± 0.10 | 0.97 ± 0.10 |
| Sede-Boker | 0.77 ± 0.20 | 0.92 ± 0.10 | 1.00 | 0.94 ± 0.10 |
| north-east Africa | 0.87 ± 0.10 | 0.97 ± 0.10 | 0.94 ± 0.10 | 1.00 |
| Haifa | Tel-Aviv | Beer-Sheba | Sede-Boker | |
|---|---|---|---|---|
| Haifa | 1.00 | 0.99 ± 0.01 | 0.85 ± 0.10 | 0.40 ± 0.20 |
| Tel-Aviv | 0.99 ± 0.01 | 1.00 | 0.90 ± 0.10 | 0.40 ± 0.20 |
| Beer-Sheba | 0.85 ± 0.10 | 0.90 ± 0.10 | 1.00 | 0.80 ± 0.10 |
| Sede-Boker | 0.40 ± 0.20 | 0.40 ± 0.20 | 0.80 ± 0.10 | 1.00 |
| Haifa | Tel-Aviv | Beer-Sheba | Sede-Boker | |
|---|---|---|---|---|
| Haifa | 1.00 | 0.95 ± 0.03 | 0.10 ± 0.20 | −0.20 ± 0.20 |
| Tel-Aviv | 0.95 ± 0.03 | 1.00 | 0.30 ± 0.20 | −0.01 ± 0.20 |
| Beer-Sheba | 0.10 ± 0.20 | 0.30 ± 0.20 | 1.00 | 0.95 ± 0.03 |
| Sede-Boker | −0.20 ± 0.20 | −0.01 ± 0.20 | 0.95 ± 0.03 | 1.00 |
© 2020 by the authors. Licensee MDPI, Basel, Switzerland. This article is an open access article distributed under the terms and conditions of the Creative Commons Attribution (CC BY) license (http://creativecommons.org/licenses/by/4.0/).
Share and Cite
Kishcha, P.; Volpov, E.; Starobinets, B.; Alpert, P.; Nickovic, S. Dust Dry Deposition over Israel. Atmosphere 2020, 11, 197. https://doi.org/10.3390/atmos11020197
Kishcha P, Volpov E, Starobinets B, Alpert P, Nickovic S. Dust Dry Deposition over Israel. Atmosphere. 2020; 11(2):197. https://doi.org/10.3390/atmos11020197
Chicago/Turabian StyleKishcha, Pavel, Evgeni Volpov, Boris Starobinets, Pinhas Alpert, and Slobodan Nickovic. 2020. "Dust Dry Deposition over Israel" Atmosphere 11, no. 2: 197. https://doi.org/10.3390/atmos11020197
APA StyleKishcha, P., Volpov, E., Starobinets, B., Alpert, P., & Nickovic, S. (2020). Dust Dry Deposition over Israel. Atmosphere, 11(2), 197. https://doi.org/10.3390/atmos11020197

