Characteristics of Ground-Level Ozone from 2015 to 2018 in BTH Area, China
Abstract
1. Introduction
2. Data and Methods
2.1. Air Quality Data
2.2. Definition of Statistical Index
3. Results and Discussion
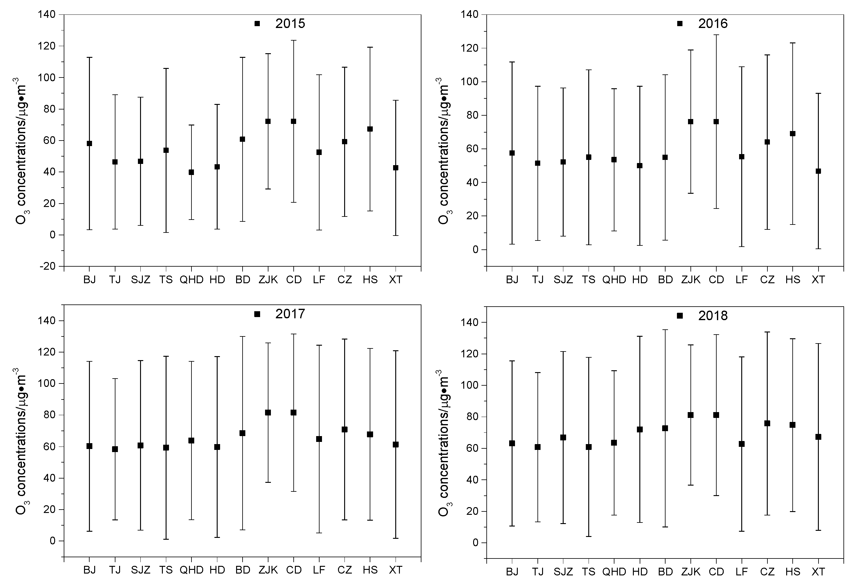
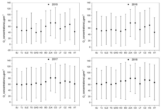
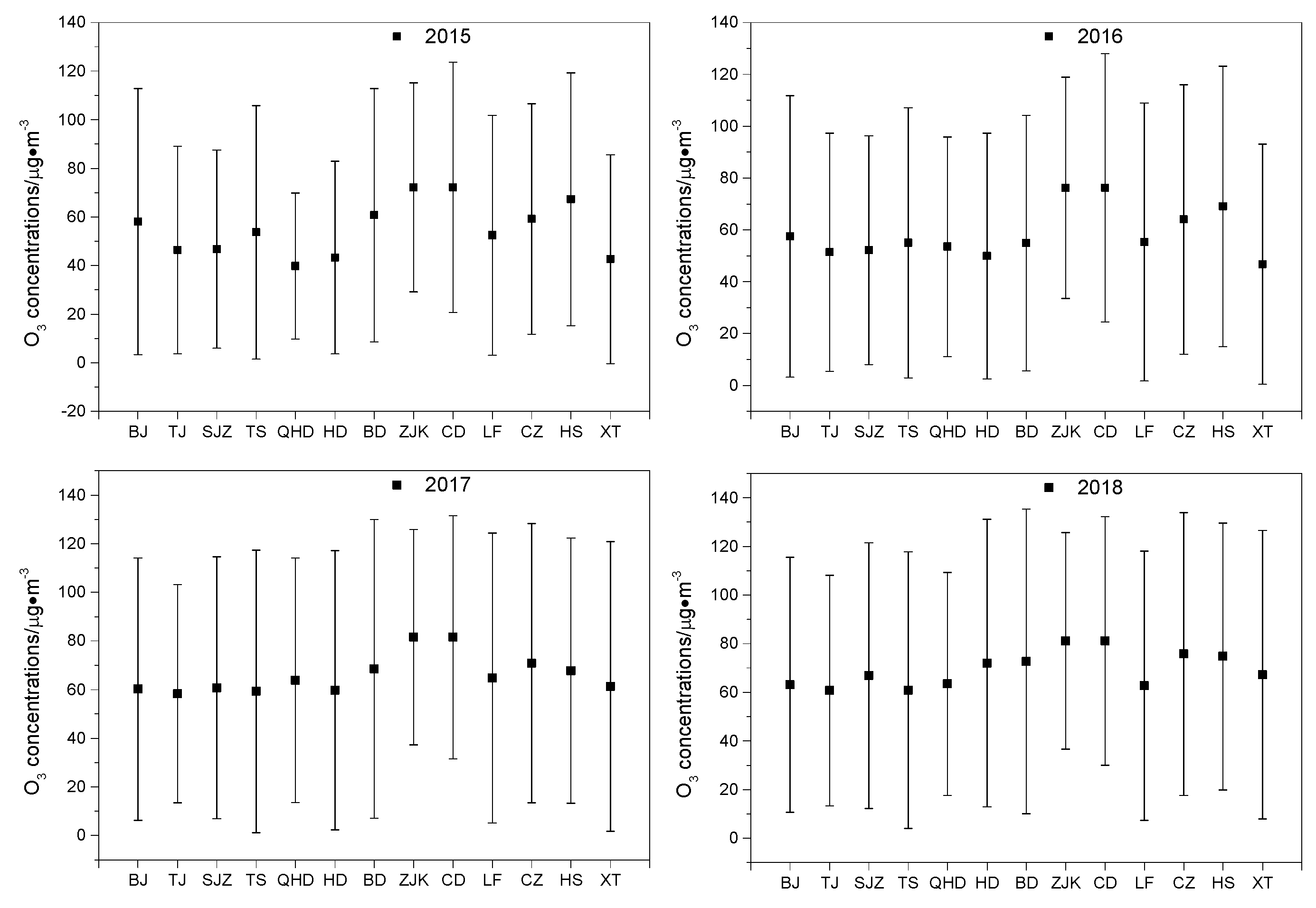
3.1. Ozone Characteristics
3.2. OX Concentrations
3.3. Ozone Weekend Effect (OWE)
3.4. Relationships between Ozone and Other Air Pollutants
3.5. Ozone Pollution Characteristics at Different Air Quality Levels
4. Conclusions
Author Contributions
Funding
Acknowledgments
Conflicts of Interest
References
- Lu, X.; Hong, J.; Zhang, L.; Cooper, O.R.; Schultz, M.G.; Xu, X.; Wang, T.; Gao, M.; Zhao, Y.; Zhang, Y. Severe surface ozone pollution in China: A global perspective. Environ. Sci. Technol. Lett. 2018, 5, 487–494. [Google Scholar] [CrossRef]
- Turner, M.C.; Jerrett, M.; Pope, C.A., 3rd; Krewski, D.; Gapstur, S.M.; Diver, W.R.; Beckerman, B.S.; Marshall, J.D.; Su, J.; Crouse, D.L.; et al. Long-Term Ozone Exposure and Mortality in a Large Prospective Study. Am. J. Respir. Crit. Care Med. 2016, 193, 1134–1142. [Google Scholar] [CrossRef] [PubMed]
- Fleming, Z.L.; Doherty, R.M.; Von Schneidemesser, E.; Malley, C.S.; Cooper, O.R.; Pinto, J.P.; Colette, A.; Xu, X.; Simpson, D.; Schultz, M.G.; et al. Tropospheric Ozone Assessment Report: Present-day ozone distribution and trends relevant to human health. Elem. Sci. Anth. 2018, 6, 12. [Google Scholar] [CrossRef]
- Liu, H.; Liu, S.; Xue, B.; Lv, Z.; Meng, Z.; Yang, X.; Xue, T. Ground-level ozone pollution and its health impacts in China. Atmos. Environ. 2018, 173, 223–230. [Google Scholar] [CrossRef]
- Wang, M.Y.; Yim, S.H.L.; Wong, D.C.; Ho, K.F. Source contributions of surface ozone in China using an adjoint sensitivity analysis. Sci. Total Environ. 2019, 662, 385–392. [Google Scholar] [CrossRef]
- Brook, R.D.; Brook, J.R.; Urch, B.; Vincent, R.; Rajagopalan, S.; Silverman, F. Inhalation of fine particulate air pollution and ozone causes acute arterial vasoconstriction in healthy adults. Acc Curr. J. Rev. 2002, 11, 32. [Google Scholar] [CrossRef]
- Jerrett, M.; Burnett, R.T.; Pope, C.A.; Ito, K.; Thurston, G.; Krewski, D.; Shi, Y.; Calle, E.; Thun, M. Long-term ozone exposure and mortality. New Engl. J. Med. 2009, 360, 1085–1095. [Google Scholar] [CrossRef]
- Michelle, L.B.; Aidan, M.; Scott, L.Z.; Jonathan, M.S.; Francesca, D. Ozone and short-term mortality in 95 US urban communities, 1987–2000. JAMA. 2004, 292, 2372. [Google Scholar]
- Li, P.; De Marco, A.; Feng, Z.; Anav, A.; Zhou, D.; Paoletti, E. Nationwide ground-level ozone measurements in China suggest serious risks to forests. Environ. Pollut. 2017, 237, 803–813. [Google Scholar] [CrossRef]
- Clare, P.W.; Peter, R.; Jack, S.; Sonya, L.F.; Robyn, S.; Howard, B.; Stephanie, B.; Richard, B.; Scott, D.C.; Lisa, T.C.; et al. A Clean Air Plan for Sydney: An Overview of the Special Issue on Air Quality in New South Wales. Atmosphere. 2019, 10, 774. [Google Scholar]
- WHO. Review of Evidence on Health Aspects of Air Pollution―REVIHAAP Final Technical Report; World Health Organization: Geneva, Switzerland, 2013. [Google Scholar]
- He, J.; Gong, S.; Yu, Y.; Yu, L.; Wu, L.; Mao, H.; Song, C.; Zhao, S.; Liu, H.; Li, X.; et al. Air pollution characteristics and their relation to meteorological conditions during 2014–2015 in major Chinese cities. Environ. Pollut. 2017, 223, 484–496. [Google Scholar] [CrossRef] [PubMed]
- Wang, T.; Xue, L.; Brimblecombe, P.; Lam, Y.F.; Li, L.; Zhang, L. Ozone pollution in China: A review of concentrations, meteorological influences, chemical precursors, and effects. Sci. Total Environ. 2017, 575, 1582–1596. [Google Scholar] [CrossRef] [PubMed]
- Wang, W.N.; Cheng, T.H.; Gu, X.F.; Chen, H.; Guo, H.; Wang, Y.; Bao, W.; Shi, S.; Xu, B.; Zuo, X.; et al. Assessing spatial and temporal patterns of observed ground-level ozone in China. Sci. Rep. 2017, 7, 3651. [Google Scholar] [CrossRef] [PubMed]
- Kota, S.H.; Zhang, H.; Chen, G.; Schade, G.W.; Ying, Q. Evaluation of on-road vehicle CO and NOx national emission inventories using an urban-scale source-oriented air quality model. Atmos. Environ. 2014, 85, 99–108. [Google Scholar] [CrossRef]
- Tiwari, S.; Dahiya, A.; Kumar, N. Investigation into relationships among NO, NO2, NOx, O3, and CO at an urban background site in Delhi, India. Atmos. Res. 2015, 157, 119–126. [Google Scholar] [CrossRef]
- Shao, P.; An, J.; Xin, J.; Wu, F.; Wang, J.; Ji, D.; Wang, Y. Source apportionment of VOCs and the contribution to photochemical ozone formation during summer in the typical industrial area in the Yangtze River Delta, China. Atmos. Res. 2016, 176–177, 64–74. [Google Scholar] [CrossRef]
- Qiao, X.; Tang, Y.; Jaffe, D.; Chen, P.; Xiao, W.; Deng, G. Surface ozone in Jiuzhaigou National Park, eastern rim of the Qinghai-Tibet Plateau, China. J. Mt. Sci. 2012, 9, 687–696. [Google Scholar] [CrossRef]
- Feng, R.; Wang, Q.; Huang, C.C.; Liang, J.; Zheng, H.J. Ethylene, xylene, toluene and hexane are major contributors of atmospheric ozone in Hangzhou, China, prior to the 2022 Asian games. Environ. Chem. Lett 2018, 17, 1151–1160. [Google Scholar] [CrossRef]
- Qiu, W.; Li, S.; Liu, Y.; Lu, K. Petrochemical and Industrial Sources of Volatile Organic Compounds Analyzed via Regional Wind-Driven Network in Shanghai. Atmosphere 2019, 10, 760. [Google Scholar] [CrossRef]
- Alexander, S.Z.; Galina, S.Z.; Vadim, V.T.; Tumen, S.B.; Ayuna, L.D.; Tamara, V.K. Investigation of Transport and Transformation of Tropospheric Ozone in Terrestrial Ecosystems of the Coastal Zone of Lake Baikal. Atmosphere 2019, 10, 739. [Google Scholar]
- Shi, K.; Di, B.; Zhang, K.; Feng, C.; Svirchev, L. Detrended cross-correlation analysis of urban traffic congestion and NO2 concentrations in Chengdu. Transport. Res. D Trans. Environ. 2017, 61, 165–173. [Google Scholar] [CrossRef]
- Van Der, A.R.J.; Eskes, H.J.; Boersma, K.F.; Noije, T.P.C.V.; Roozendael, M.V.; Smedt, I.D.; Peters, D.H.M.U.; Meijer, E.W. Trends, seasonal variability and dominant NOx source derived from a ten year record of NO2 measured from space. J. Geophys. Res. Atmos. 2008, 113, D04302. [Google Scholar] [CrossRef]
- Notario, A.; Bravo, I.; Adame, J.A.; Díaz-de-Mera, Y.; Aranda, A.; Rodríguez, A.; Rodríguez, D. Analysis of NO, NO2, NOx, O3 and oxidant (OX = O3 + NO2) levels measured in a metropolitan area in the southwest of Iberian Peninsula. Atmos. Res. 2012, 104–105, 217–226. [Google Scholar] [CrossRef]
- Brown, S.G.; Frankel, A.; Hafner, H.R. Source apportionment of VOCs in the Los Angeles area using positive matrix factorization. Atmos. Environ. 2007, 41, 227–237. [Google Scholar] [CrossRef]
- Zhang, Q.; Wu, L.; Fang, X.; Liu, M.; Zhang, J.; Shao, M.; Lu, S.; Mao, H. Emission factors of volatile organic compounds (VOCs) based on the detailed vehicle classification in a tunnel study. Sci. Total Environ. 2017, 624, 878–886. [Google Scholar] [CrossRef] [PubMed]
- Hellén, H.; Hakola, H.; Pirjola, L.; Laurila, T.; Pystynen, K.H. Ambient air concentrations, source profiles, and source apportionment of 71 different C2–C10 volatile organic compounds in urban and residential areas of Finland. Environ. Sci. Technol. 2006, 40, 103–108. [Google Scholar] [CrossRef] [PubMed]
- Han, L.; Chen, L.; Li, K.; Bao, Z.; Zhao, Y.; Zhang, X.; Azzi, M.; Cen, K. Source Apportionment of Volatile Organic Compounds (VOCs) during Ozone Polluted Days in Hangzhou, China. Atmosphere 2019, 10, 780. [Google Scholar] [CrossRef]
- Wang, Y.; Ying, Q.; Hu, J.; Zhang, H. Spatial and temporal variations of six criteria air pollutants in 31 provincial capital cities in China during 2013–2014. Environ. Int. 2014, 73, 413–422. [Google Scholar] [CrossRef]
- Streets, D.G.; Fu, J.S.; Jang, C.J.; Hao, J.; He, K.; Tang, X.; Zhang, Y.; Wang, Z.; Li, Z.; Zhang, Q.; et al. Air quality during the 2008 Beijing Olympic Games. Atmos. Environ. 2007, 41, 480–492. [Google Scholar] [CrossRef]
- Gao, W.; Tang, G.; Xin, J.; Wang, L.; Wang, Y. Spatial-temporal variations of ozone during severe photochemical pollution over the Beijing-Tianjin-Hebei region. Res. Environ. Sci. 2016, 29, 654–663. (In Chinese) [Google Scholar]
- Cheng, S.; Lang, J.; Zhou, Y.; Han, L.; Wang, G.; Chen, D. A new monitoring-simulation-source apportionment approach for investigating the vehicular emission contribution to the PM2.5 pollution in Beijing, China. Atmos. Environ. 2013, 79, 308–316. [Google Scholar] [CrossRef]
- Duan, J.; Tan, J.; Yang, L.; Wu, S.; Hao, J. Concentration, sources and ozone formation potential of volatile organic compounds (VOCs) during ozone episode in Beijing. Atmos. Res. 2008, 88, 25–35. [Google Scholar] [CrossRef]
- Cheng, L.; Wang, S.; Gong, Z.; Li, H.; Yang, Q.; Wang, Y. Regionalization based on spatial and seasonal variation in ground-level ozone concentrations across China. J. Environ. Sci. 2018, 67, 179–190. [Google Scholar] [CrossRef]
- Xu, X.; Lin, W.; Xu, W. Surface ozone in China: Present-day distribution and long-term changes. In Proceedings of the AGU Fall Meeting, New Orleans, LA, USA, 11–15 December 2017. [Google Scholar]
- Ho, C.H.; Choi, Y.S.; Hur, S.K. Long-term changes in summer weekend effect over northeastern China and the connection with regional warming. Geophys. Res. Lett. 2009, 36, L15706. [Google Scholar] [CrossRef]
- Derwent, R.G.; Witham, C.S.; Utembe, S.R.; Jenkin, M.E.; Passant, N.R. Ozone in central England: The impact of 20 years of precursor emission controls in Europe. Environ. Sci. Policy. 2010, 13, 195–204. [Google Scholar] [CrossRef]
- de Miranda, R.M.; de Fátima Andrade, M.; Fattori, A.P. Preliminary studies of the effect of aerosols on nitrogen dioxide photolysis rates in the city of São Paulo, Brazil. Atmos. Res. 2005, 75, 135–148. [Google Scholar] [CrossRef]
- Ou, J.; Yuan, Z.; Zheng, J.; Huang, Z.; Shao, M.; Li, Z.; Huang, X.; Guo, H.; Louie, P.K. Ambient ozone control in a photochemically active region: Short-term despiking or long-term attainment? Environ. Sci. Technol. 2016, 50, 5720–5728. [Google Scholar] [CrossRef]
- Wang, Y.H.; Hu, B.; Ji, D.S.; Liu, Z.R.; Tang, G.Q.; Xin, J.Y.; Zhang, H.X.; Song, T.; Wang, L.L.; Gao, W.K.; et al. Ozone weekend effects in the Beijing–Tianjin–Hebei metropolitan area, China. Atmos. Chem. Phys. 2014, 14, 2419–2429. [Google Scholar] [CrossRef]
- Paoletti, E.; De Marco, A.; Beddows, D.C.S.; Harrison, R.M.; Manning, W.J. Ozone levels in european and usa cities are increasing more than at rural sites, while peak values are decreasing. Environ. Pollut. 2014, 192, 295–299. [Google Scholar] [CrossRef]
- Lefohn, A.S.; Malley, C.S.; Simon, H.; Wells, B.; Xu, X.; Zhang, L.; Wang, T. Responses of human health and vegetation exposure metrics to changes in ozone concentration distributions in the european union, united states, and china. Atmos. Environ. 2017, 152, 123–145. [Google Scholar] [CrossRef]
- Li, G.; Zhang, R.; Fan, J.; Tie, X. Impacts of black carbon aerosol on photolysis and ozone. J. Geophys. Res. Atmos. 2005, 110, D23206. [Google Scholar] [CrossRef]
- Bian, H.; Han, S.; Tie, X.; Sun, M.; Liu, A. Evidence of impact of aerosols on surface ozone concentration in Tianjin, China. Atmos. Environ. 2007, 41, 4672–4681. [Google Scholar] [CrossRef]
- Nishanth, T.; Praseed, K.M.; Kumar, M.K.S.; Valsaraj, K.T. Influence of ozone precursors and PM10 on the variation of surface O3 over Kannur, India. Atmos. Res. 2014, 138, 112–124. [Google Scholar] [CrossRef]
- Liao, H.; Adams, P.J.; Chung, S.H.; Seinfeld, J.H. Interactions between tropospheric chemistry and aerosols in a unified general circulation model. J. Geophys. Res. 2003, 108, 4001. [Google Scholar] [CrossRef]
- Tian, Y.Z.; Chen, G.; Wang, H.T.; Huang-Fu, Y.Q.; Shi, G.L.; Han, B.; Feng, Y.C. Source regional contributions to PM2.5 in a megacity in china using an advanced source regional apportionment method. Chemosphere. 2016, 147, 256. [Google Scholar] [CrossRef] [PubMed]
- Tian, Y.Z.; Wang, J.; Peng, X.; Shi, G.L.; Feng, Y.C. Estimation of the direct and indirect impacts of fireworks on the physicochemical characteristics of atmospheric PM10 and PM2.5. Atmos. Chem. Phys. 2014, 14, 9469–9479. [Google Scholar] [CrossRef]
- Jiang, C.; Wang, H.; Zhao, T.; Li, T.; Che, H. Modeling study of PM2.5 pollutant transport across cities in China’s Jing-Jin-Ji region during a severe haze episode in December 2013. Atmos. Chem. Phys. Discuss. 2015, 15, 3745–3776. [Google Scholar] [CrossRef]
- Tan, J.H.; Duan, J.C.; Chai, F.H.; He, K.B.; Hao, J.M. Source apportionment of size segregated fine/ultrafine particle by PMF in Beijing. Atmos. Res. 2014, 139, 90–100. [Google Scholar] [CrossRef]
- Zhao, P.S.; Dong, F.; He, D.; Zhao, X.J.; Zhang, X.L.; Zhang, W.Z.; Yao, Q.; Liu, H.Y. Characteristics of concentrations and chemical compositions for PM2.5 in the region of Beijing, Tianjin, and Hebei, China. Atmos. Chem. Phys. 2013, 13, 4631–4644. [Google Scholar] [CrossRef]
- Song, C.; He, J.; Wu, L.; Jin, T.; Chen, X.; Li, R.; Ren, P.; Zhang, L.; Mao, H. Health burden attributable to ambient PM2.5 in China. Environ. Pollut. 2017, 223, 575–586. [Google Scholar] [CrossRef]
- Song, C.; Li, R.; He, J.; Wu, L.; Mao, H. Analysis of pollution characteristics of NO, NO2 and O3 at urban area of Langfang, Hebei. China Environ. Sci. 2016, 36, 2903–2912. (In Chinese) [Google Scholar]
- Demirel, G.; Özden, Ö.; Döğeroğlu, T.; Gaga, E.O. Personal exposure of primary school children to BETX, NO2 and ozone in Eskişehir, Turkey: Relationship with indoor/outdoor concentrations and risk assessment. Sci. Total Environ. 2014, 473–474, 537–548. [Google Scholar] [CrossRef] [PubMed]
- Li, J.; Wang, Z.; Akimoto, H.; Tang, J.; Uno, I. Modeling of the impacts of China’s anthropogenic pollutants on the surface ozone summer maximum on the northern Tibetan Plateau. Geophys. Res. Lett. 2009, 36, L24802. [Google Scholar] [CrossRef]
- Zhang, L.; Zhu, B.; Gao, J.; Kang, H.; Yang, P.; Wang, H.; Li, Y.; Shao, P. Modeling study of a typical summer ozone pollution event over Yangtze River Delta. Environ. Sci. 2015, 36, 3981–3988. (in Chinese). [Google Scholar]
- Chang, M.; Liu, X.; Liu, M.; Zhang, Q.; Gao, H. Simulation study of ozone and fine particulate matter in Qingdao and Eastern China in non-heating and heating periods. Period. Ocean. Univ. China 2016, 46, 14–25. [Google Scholar]
- Agudelo–Castaneda, D.M.; Teixeira, C.E.; Pereira, N.F. Time–series analysis of surface ozone and nitrogen oxides concentrations in an urban area at Brazil. Atmos. Pollut. Res. 2014, 5, 411–420. [Google Scholar] [CrossRef]
- Jing, B.; Wu, L.; Mao, H.; Gong, S.; He, J.; Zou, C.; Song, G.; Li, X.; Wu, Z. Development of a vehicle emission inventory with high temporal–spatial resolution based on NRT traffic data and its impact on air pollution in Beijing―Part 1: Development and evaluation of vehicle emission inventory. Atmos. Chem. Phys. 2016, 16, 3161–3170. [Google Scholar] [CrossRef]
- Wang, Y.; Shen, L.; Wu, S.; Mickley, L.; He, J.; Hao, J. Sensitivity of surface ozone over China to 2000–2050 global changes of climate and emissions. Atmos. Environ. 2013, 75, 374–382. [Google Scholar] [CrossRef]
- Flynn, J.; Lefer, B.; Rappenglück, B.; Leuchner, M.; Perna, R.; Dibb, J.; Ziemba, L.; Anderson, C.; Stutz, J.; Brune, W.; et al. Impact of clouds and aerosols on ozone production in southeast Texas. Atmos. Environ. 2010, 44, 4126–4133. [Google Scholar] [CrossRef]
- Li, K.; Jacob, D.J.; Liao, H.; Zhu, J.; Shen, L.; Bates, K.H.; Zhang, Q.; Zhai, S.Z. A two-pollutant strategy for improving ozone and particulate air quality in China. Nature Geosci. 2019, 12, 906–910. [Google Scholar] [CrossRef]











| OX | O3 | NO2 |
|---|---|---|
| BJ | 0.974 ** | −0.482 ** |
| TJ | 0.939 ** | −0.282 ** |
| SJZ | 0.970 ** | −0.650 ** |
| TS | 0.982 ** | −0.687 ** |
| QHD | 0.930 ** | −0.434 ** |
| HD | 0.978 ** | −0.707 ** |
| BD | 0.967 ** | −0.547 ** |
| ZJK | 0.967 ** | 0.337 ** |
| CD | 0.991 ** | −0.483 ** |
| LF | 0.970 ** | −0.510 ** |
| CZ | 0.973 ** | −0.483 ** |
| HS | 0.961 ** | −0.536 ** |
| XT | 0.971 ** | −0.551 ** |
| BTH | 0.895 ** | −0.291 ** |
| City | W/μg·m−3 | Dev/% | ||||||||||||
|---|---|---|---|---|---|---|---|---|---|---|---|---|---|---|
| O3 | PM2.5 | PM10 | NO2 | SO2 | CO | OX | O3 | PM2.5 | PM10 | NO2 | SO2 | CO | OX | |
| BJ | 1.03 | 4.14 | 7.10 | 1.14 | 0.68 | 0.05 | 2.17 | 1.74 | 6.56 | 7.73 | 2.60 | 7.98 | 5.13 | 2.11 |
| TJ | −0.41 | 2.91 | 4.54 | −0.17 | 0.44 | −0.01 | −0.58 | −0.75 | 4.72 | 4.43 | −0.36 | 1.97 | −0.74 | −0.56 |
| SJZ | −0.49 | 3.46 | 3.10 | 0.99 | −0.24 | 0.05 | 0.51 | −0.86 | 4.22 | 2.10 | 2.04 | −0.67 | 3.74 | 0.48 |
| TS | −0.48 | 3.18 | 4.70 | 0.84 | 1.88 | 0.01 | 0.36 | −0.84 | 4.53 | 3.76 | 1.47 | 4.59 | 0.39 | 0.31 |
| QHD | 0.01 | 2.68 | 3.41 | 0.18 | 0.52 | 0.03 | 0.19 | 0.02 | 6.25 | 3.97 | 0.39 | 1.89 | 2.54 | 0.19 |
| HD | −1.36 | 2.66 | 5.31 | 0.59 | 0.29 | 0.00 | −0.78 | −2.41 | 3.29 | 3.51 | 1.22 | 0.82 | 0.22 | −0.74 |
| BD | 1.39 | 4.13 | 4.82 | 0.84 | 0.13 | 0.03 | 2.23 | 2.18 | 4.80 | 3.39 | 1.65 | 0.36 | 2.02 | 1.94 |
| ZJK | 0.36 | −0.09 | −1.48 | 0.18 | 0.37 | 0.00 | 0.53 | 0.46 | −0.27 | −1.79 | 0.70 | 1.85 | −0.56 | 0.52 |
| CD | 0.90 | 0.47 | 1.21 | 0.56 | 0.67 | 0.02 | 1.46 | 1.50 | 1.31 | 1.50 | 1.78 | 4.15 | 2.12 | 1.60 |
| LF | −0.17 | 3.31 | −3.27 | 1.51 | 0.82 | 0.04 | 1.51 | −0.28 | 5.18 | −3.47 | 5.44 | 5.11 | 3.11 | 1.43 |
| CZ | −0.26 | 4.12 | 4.69 | 0.74 | 1.14 | 0.02 | 0.48 | −0.39 | 6.40 | 4.29 | 1.70 | 3.57 | 1.55 | 0.43 |
| HS | −0.05 | 2.74 | 3.71 | −0.11 | −0.70 | −0.04 | −0.16 | −0.07 | 3.41 | 2.66 | −0.28 | −2.83 | −3.18 | −0.15 |
| XT | −0.41 | 2.87 | 2.56 | 0.61 | −1.20 | −0.02 | 0.19 | −0.76 | 3.44 | 1.71 | 1.09 | −2.73 | −1.31 | 0.18 |
| BTH | 0.00 | 2.81 | 3.11 | 0.61 | 0.37 | 0.01 | 0.63 | 0.01 | 4.32 | 2.69 | 1.39 | 1.34 | 1.04 | 0.59 |
| O3. | PM2.5 | PM10 | NO2 | SO2 | CO |
|---|---|---|---|---|---|
| BJ | −0.123 | −0.081 | −0.629 ** | 0.135 | −0.403 ** |
| TJ | −0.612 ** | −0.480 ** | −0.549 ** | −0.411 ** | −0.736 ** |
| SJZ | −0.571 ** | −0.653 ** | −0.785 ** | −0.402 ** | −0.747 ** |
| TS | −0.632 ** | −0.771 ** | −0.786 ** | −0.702 ** | −0.787 ** |
| QHD | −0.664 ** | −0.832 ** | −0.705 ** | −0.663 ** | −0.825 ** |
| HD | −0.808 ** | −0.791 ** | −0.814 ** | −0.664 ** | −0.831 ** |
| BD | −0.694 ** | −0.602 ** | −0.712 ** | −0.416 ** | −0.611 ** |
| ZJK | −0.292 ** | 0.366 ** | 0.164 | −0.037 | 0.169 |
| CD | −0.561 ** | −0.226 * | −0.551 ** | 0.590 ** | −0.467 ** |
| LF | −0.536 ** | −0.553 ** | −0.680 ** | −0.327 ** | −0.765 ** |
| CZ | −0.809 ** | −0.664 ** | −0.649 ** | −0.619 ** | −0.710 ** |
| HS | −0.516 ** | −0.285 ** | −0.723 ** | −0.294 ** | −0.439 ** |
| XT | −0.581 ** | −0.597 ** | −0.696 ** | −0.454 ** | −0.785 ** |
| BTH | −0.381 ** | −0.327 ** | −0.664 ** | −0.284 ** | −0.560 ** |
© 2020 by the authors. Licensee MDPI, Basel, Switzerland. This article is an open access article distributed under the terms and conditions of the Creative Commons Attribution (CC BY) license (http://creativecommons.org/licenses/by/4.0/).
Share and Cite
Fang, X.; Xiao, H.; Sun, H.; Liu, C.; Zhang, Z.; Xie, Y.; Liang, Y.; Wang, F. Characteristics of Ground-Level Ozone from 2015 to 2018 in BTH Area, China. Atmosphere 2020, 11, 130. https://doi.org/10.3390/atmos11020130
Fang X, Xiao H, Sun H, Liu C, Zhang Z, Xie Y, Liang Y, Wang F. Characteristics of Ground-Level Ozone from 2015 to 2018 in BTH Area, China. Atmosphere. 2020; 11(2):130. https://doi.org/10.3390/atmos11020130
Chicago/Turabian StyleFang, Xiaozhen, Huayun Xiao, Haixu Sun, Cheng Liu, Zhongyi Zhang, Yajun Xie, Yue Liang, and Fang Wang. 2020. "Characteristics of Ground-Level Ozone from 2015 to 2018 in BTH Area, China" Atmosphere 11, no. 2: 130. https://doi.org/10.3390/atmos11020130
APA StyleFang, X., Xiao, H., Sun, H., Liu, C., Zhang, Z., Xie, Y., Liang, Y., & Wang, F. (2020). Characteristics of Ground-Level Ozone from 2015 to 2018 in BTH Area, China. Atmosphere, 11(2), 130. https://doi.org/10.3390/atmos11020130

