Risk Assessment for People Exposed to PM2.5 and Constituents at Different Vertical Heights in an Urban Area of Taiwan
Abstract
1. Introduction
2. Materials and Methods
2.1. Field Measurement
2.2. Quality Control
2.3. Data Analysis
3. Results and Discussion
3.1. Collocation Comparison
3.2. PM Concentrations at Different Residential Heights in Different Seasons
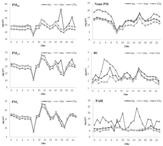
3.3. Temporal Patterns of PM Concentrations at Different Residential Heights
3.4. Excess Lung Cancer Risk and Loss of Life by PM2.5 Exposure
4. Conclusions
Author Contributions
Funding
Acknowledgments
Conflicts of Interest
Appendix A

References
- Wang, J.; Wang, S.; Voorhees, A.S.; Zhao, B.; Jang, C.; Jiang, J.; Fu, J.S.; Ding, D.; Zhu, Y.; Hao, J. Assessment of short-term PM2.5-related mortality due to different emission sources in the Yangtze River Delta, China. Atmos. Environ. 2015, 123, 440–448. [Google Scholar] [CrossRef]
- Bandowe, B.A.M.; Meusel, H.; Huang, R.J.; Ho, K.; Cao, J.; Hoffmann, T.; Wilcke, W. PM2.5-bound oxygenated PAHs, nitro-PAHs and parent-PAHs from the atmosphere of a Chinese megacity: Seasonal variation, sources and cancer risk assessment. Sci. Total Environ. 2014, 473–474, 77–87. [Google Scholar] [CrossRef] [PubMed]
- Zhan, C.; Zhang, J.; Cao, J.; Han, Y.; Wang, P.; Zheng, J.; Yao, R.; Liu, H.; Li, H.; Xiao, W. Characteristics and sources of black carbon in atmospheric dustfall particles from Huangshi, China. Aerosol. Air Qual. Res. 2016, 16, 2096–2106. [Google Scholar]
- Kong, S.; Li, X.; Li, L.; Yin, Y.; Chen, K.; Yuan, L.; Zhang, Y.; Shan, Y.; Ji, Y. Variation of polycyclic aromatic hydrocarbons in atmospheric PM2.5 during winter haze period around 2014 Chinese Spring Festival at Nanjing: Insights of source changes, air mass direction and firework particle injection. Sci. Total Environ. 2015, 520, 59–72. [Google Scholar] [CrossRef]
- Li, P.; Xin, J.; Wang, Y.; Wang, S.; Shang, K.; Liu, Z.; Li, G.; Pan, X.; Wei, L.; Wang, M. Time-series analysis of mortality effects from airborne particulate matter size fractions in Beijing. Atmos. Environ. 2013, 81, 253–262. [Google Scholar] [CrossRef]
- Jiménez, E.; Linares, C.; Rodríguez, L.F.; Bleda, M.J.; Díaz, J. Short-term impact of particulate matter (PM2.5) on daily mortality among the over-75 age group in Madrid (Spain). Sci. Total Environ. 2009, 407, 5486–5492. [Google Scholar] [CrossRef]
- Pope, C.A., III; Burnett, R.T.; Thun, M.J.; Calle, E.E.; Krewski, D.; Ito, K.; Thurston, G.D. Lung cancer, cardiopulmonary mortality, and long-term exposure to fine particulate air pollution. JAMA 2002, 287, 1132–1141. [Google Scholar] [CrossRef]
- Islam, M.S.; Paul, G.; Ong, H.X.; Young, P.M.; Gu, Y.T.; Saha, S.C. A review of respiratory anatomical development, air flow characterization and particle deposition. Int. J. Environ. Res. Public Health 2020, 17, 380. [Google Scholar] [CrossRef]
- Pan, W.C.; Wu, C.D.; Chen, M.J.; Huang, Y.T.; Chen, C.J.; Su, H.J.; Yang, H.I. Fine particle pollution, alanine transaminase, and liver cancer: A Taiwanese prospective cohort study (REVEAL-HBV). J. Natl. Cancer Inst. 2006, 108, djv341. [Google Scholar] [CrossRef]
- Kim, K.H.; Jahan, S.A.; Kabir, E.; Brown, R.J. A review of airborne polycyclic aromatic hydrocarbons (PAHs) and their human health effects. Environ. Int. 2013, 60, 71–80. [Google Scholar] [CrossRef]
- Boffetta, P.; Jourenkova, N.; Gustavsson, P. Cancer risk from occupational and environmental exposure to polycyclic aromatic hydrocarbons. Cancer Causes Control 1997, 8, 444–472. [Google Scholar] [CrossRef] [PubMed]
- Bach, P.B.; Kelley, M.J.; Tate, R.C.; McCrory, D.C. Screening for lung cancer: A review of the current literature. Chest 2003, 123, 72S–82S. [Google Scholar] [CrossRef] [PubMed]
- Olsson, A.C.; Fevotte, J.; Fletcher, T.; Cassidy, A.; Andrea’t Mannetje, A.; Zaridze, D.; Szeszenia-Dabrowska, N.; Rudnai, P.; Lissowska, J.; Fabianova, E.; et al. Occupational exposure to polycyclic aromatic hydrocarbons and lung cancer risk: A multicenter study in Europe. Occup. Environ. Med. 2010, 67, 98–103. [Google Scholar] [CrossRef]
- Diggs, D.L.; Huderson, A.C.; Harris, K.L.; Myers, J.N.; Banks, L.D.; Rekhadevi, P.V.; Niaz, M.S.; Ramesh, A. Polycyclic aromatic hydrocarbons and digestive tract cancers: A perspective. J. Environ. Sci. Health C 2011, 29, 324–357. [Google Scholar] [CrossRef] [PubMed]
- Gunter, M.J.; Divi, R.L.; Kulldorff, M.; Vermeulen, R.; Haverkos, K.J.; Kuo, M.M.; Strickland, P.; Poirier, M.C.; Rothman, N.; Sinha, R. Leukocyte polycyclic aromatic hydrocarbon-DNA adduct formation and colorectal adenoma. Carcinogenesis 2007, 28, 1426–1429. [Google Scholar] [CrossRef]
- John, K.; Ragavan, N.; Pratt, M.M.; Singh, P.B.; Al-Buheissi, S.; Matanhelia, S.S.; Phillips, D.H.; Poirier, M.C.; Martin, F.L. Quantification of phase I/II metabolizing enzyme gene expression and polycyclic aromatic hydrocarbon-DNA adduct levels in human prostate. Prostate 2009, 69, 505–519. [Google Scholar] [CrossRef]
- Garcia-Suastegui, W.A.; Huerta-Chagoya, A.; Carrasco-Colin, K.L.; Pratt, M.M.; John, K.; Petrosyan, P.; Rubio, J.; Poirier, M.C.; Gonsebatt, M.E. Seasonal variations in the levels of PAH-DNA adducts in young adults living in Mexico City. Mutagenesis 2011, 26, 385–391. [Google Scholar] [CrossRef]
- Mumtaz, M.M.; George, J.D.; Gold, K.W.; Cibulas, W.; DeRosa, C.T. ATSDR evaluation of health effects of chemicals. IV. Polycyclic aromatic hydrocarbons (PAHs): Understanding a complex problem. Toxicol. Ind. Health 1996, 12, 742–971. [Google Scholar] [CrossRef]
- Kuo, C.Y.; Hsu, Y.W.; Lee, H.S. Study of human exposure to particulate PAHs using personal air samplers. Arch. Environ. Cont. Toxicol. 2003, 44, 454–459. [Google Scholar] [CrossRef]
- Li, C.; Fu, J.; Sheng, G.; Bi, X.; Hao, Y.; Wang, X.; Mai, B. Vertical distribution of PAHs in the indoor and outdoor PM2.5 in Guangzhou, China. Build. Environ. 2005, 40, 329–341. [Google Scholar] [CrossRef]
- Kalaiarasan, M.; Balasubramanian, R.; Cheong, K.W.D.; Tham, K.W. Traffic-generated airborne particles in naturally ventilated multi-storey residential buildings of Singapore: Vertical distribution and potential health risks. Build. Environ. 2009, 44, 1493–1500. [Google Scholar] [CrossRef]
- Sasaki, K.; Sakamoto, K. Vertical differences in the composition of PM10 and PM2.5 in the urban atmosphere of Osaka, Japan. Atmos. Environ. 2005, 39, 7240–7250. [Google Scholar] [CrossRef]
- The Statistical Yearbook. The Construction and Planning Agency, Ministry of the Interior, Taiwan. Available online: https://www.cpami.gov.tw/public-information/statistics/34346-107.html (accessed on 12 October 2020).
- Population by Sex and 5 Year Age Group for Counties and Cities. Dept. of Household Registration, Ministry of the Interior, Taiwan. Available online: https://www.ris.gov.tw/app/en/3910 (accessed on 12 October 2020).
- Lee, M.; Lin, L.; Chen, C.Y.; Tsao, Y.; Yao, T.H.; Fei, M.H.; Fang, S.H. Forecasting air quality in Taiwan by using machine learning. Sci. Rep. 2020, 10, 4153. [Google Scholar] [CrossRef]
- Fleiss, J.L. The Design and Analysis of Clinical Experiments; Wiley Series in Probability and Mathematical Statistics; Applied Probability and Statistics; Wiley: New York, NY, USA, 1986. [Google Scholar]
- Hamra, G.B.; Guha, N.; Cohen, A.; Laden, F.; Raaschou-Nielsen, O.; Samet, J.M.; Vineis, P.; Forastiere, F.; Saldiva, P.; Yorifuji, T.; et al. Outdoor particulate matter exposure and lung cancer: A systematic review and meta-analysis. Environ. Health Perspect. 2014, 122, 906–911. [Google Scholar] [CrossRef]
- Cui, P.; Huang, Y.; Han, J.; Song, F.; Chen, K. Ambient particulate matter and lung cancer incidence and mortality: A meta-analysis of prospective studies. Eur. J. Public Health 2015, 25, 324–329. [Google Scholar] [CrossRef]
- Guo, Y.; Zeng, H.; Zheng, R.; Li, S.; Pereira, G.; Liu, Q.; Chen, W.; Huxley, R. The burden of lung cancer mortality attributable to fine particles in China. Sci. Total Environ. 2017, 579, 1460–1466. [Google Scholar] [CrossRef] [PubMed]
- Huang, F.F.; Pan, B.; Wu, J.; Chen, E.G.; Chen, L.Y. Relationship between exposure to PM2.5 and lung cancer incidence and mortality: A meta-analysis. Oncotarget 2017, 8, 43322–43331. [Google Scholar] [CrossRef] [PubMed]
- Kim, H.B.; Shim, J.Y.; Park, B.; Lee, Y.J. Long-term exposure to air pollutants and cancer mortality: A meta-analysis of cohort studies. Int. J. Environ. Res. Public Health 2018, 15, 2608. [Google Scholar] [CrossRef] [PubMed]
- Cause of Death Statistics. Department of Statistics, Ministry of Health and Welfare, Taiwan. Available online: https://www.mohw.gov.tw/np-128-2.html (accessed on 15 July 2020).
- Pope, C.A., III; Ezzati, M.; Dockery, D.W. Fine-particulate air pollution and life expectancy in the United States. N. Engl. J. Med. 2009, 360, 376–386. [Google Scholar] [CrossRef]
- Van Zoest, V.M.; Stein, A.; Hoek, G. Outlier detection in urban air quality sensor networks. Water Air Soil Pollut. 2018, 229, 111. [Google Scholar] [CrossRef]
- Ambient Air Quality Standards. Environmental Protection Administration, Taiwan. Available online: https://gazette.nat.gov.tw/egFront/detail.do?metaid=118537&log=detailLog (accessed on 12 October 2020). (In Chinese)
- Chang, L.T.; Chuang, K.J.; Yang, W.T.; Wang, V.S.; Chuang, H.C.; Bao, B.Y.; Liu, C.S.; Chang, T.Y. Short-term exposure to noise, fine particulate matter and nitrogen oxides on ambulatory blood pressure: A repeated-measure study. Environ. Res. 2015, 140, 634–640. [Google Scholar] [CrossRef] [PubMed]
- Liu, S.; Xia, X.; Zhai, Y.; Wang, R.; Liu, T.; Zhang, S. Black carbon (BC) in urban and surrounding rural soils of Beijing, China: Spatial distribution and relationship with polycyclic aromatic hydrocarbons (PAHs). Chemosphere 2011, 82, 223–228. [Google Scholar] [CrossRef]
- Wu, H.; Zhang, Y.F.; Han, S.Q.; Wu, J.H.; Bi, X.H.; Shi, G.L.; Wang, J.; Yao, Q.; Cai, Z.Y.; Liu, J.L.; et al. Vertical characteristics of PM2.5 during the heating season in Tianjin, China. Sci. Total Environ. 2015, 523, 152–160. [Google Scholar] [CrossRef] [PubMed]
- Wu, Y.; Hao, J.; Fu, L.; Wang, Z.; Tang, U. Vertical and horizontal profiles of airborne particulate matter near major roads in Macao, China. Atmos. Environ. 2002, 36, 4907–4918. [Google Scholar] [CrossRef]
- Gan, C.M.; Wu, Y.; Madhavan, B.L.; Gross, B.; Moshary, F. Application of active optical sensors to probe the vertical structure of the urban boundary layer and assess anomalies in air quality model PM2.5 forecasts. Atmos. Environ. 2011, 45, 6613–6621. [Google Scholar] [CrossRef]
- Carnerero, C.; Perez, N.; Reche, C.; Ealo, M.; Titos, G.; Lee, H.K.; Eun, H.R.; Park, Y.H.; Dada, L.; Paasonen, P.; et al. Vertical and horizontal distribution of regional new particle formation events in Madrid. Atmos. Chem. Phys. 2018, 18, 16601–16618. [Google Scholar] [CrossRef]
- Quang, T.N.; He, C.; Morawska, L.; Knibbs, L.D.; Falk, M. Vertical particle concentration profiles around urban office buildings. Atmos. Chem. Phys. 2012, 12, 5017–5030. [Google Scholar] [CrossRef]
- Alföldy, B.; Osán, J.; Tóth, Z.; Török, S.; Harbusch, A.; Jahn, C.; Emeis, S.; Schäfer, K. Aerosol optical depth, aerosol composition and air pollution during summer and winter conditions in Budapest. Sci. Total Environ. 2007, 383, 141–163. [Google Scholar] [CrossRef]
- Schleicher, N.; Stefan, N.; Mathieu, F.; Uwe, K.; Yizhen, C.; Fahe, C.; Shulan, W.; Yang, Y.; Kuang, C. Spatio-temporal variations of black carbon concentrations in the megacity Beijing. Environ. Pollut. 2013, 182, 392–401. [Google Scholar] [CrossRef]
- Zhao, B.; Liou, K.N.; Gu, Y.; Li, Q.; Jiang, J.H.; Su, H.; He, C.L.; Tseng, H.L.R.; Wang, S.X.; Liu, R.; et al. Enhanced PM2.5 pollution in China due to aerosol-cloud interactions. Sci. Rep. 2017, 7, 4453. [Google Scholar] [CrossRef]
- Lu, S.J.; Wang, D.; Li, X.B.; Wang, Z.; Gao, Y.; Peng, Z.R. Three-dimensional distribution of fine particulate matter concentrations and synchronous meteorological data measured by an unmanned aerial vehicle (UAV) in Yangtze River Delta, China. Atmos. Meas. Tech. Discuss. 2016. [Google Scholar] [CrossRef]
- Xie, Y.; Zhao, B.; Zhang, L.; Luo, R. Spatiotemporal variations of PM2.5 and PM10 concentrations between 31 Chinese cities and their relationships with SO2, NO2, CO and O3. Particuology 2015, 20, 141–149. [Google Scholar] [CrossRef]
- Zhai, Y.; Liu, X.; Chen, H.; Xu, B.; Zhu, L.; Li, C.; Zeng, G. Source identification and potential ecological risk assessment of heavy metals in PM2.5 from Changsha. Sci. Total Environ. 2014, 493, 109–115. [Google Scholar] [CrossRef] [PubMed]
- Lu, F.; Zhou, L.; Xu, Y.; Zheng, T.; Guo, Y.; Wellenius, G.A.; Bassig, B.A.; Chen, X.; Wang, H.; Zheng, X. Short-term effects of air pollution on daily mortality and years of life lost in Nanjing, China. Sci. Total Environ. 2015, 536, 123–129. [Google Scholar] [CrossRef] [PubMed]
- Qian, Z.; Lin, H.M.; Stewart, W.F.; Kong, L.; Xu, F.; Zhou, D.; Zhu, Z.; Liang, S.; Chen, W.; Shah, N.; et al. Seasonal pattern of the acute mortality effects of air pollution. J. Air Waste Manag. Assoc. 2010, 60, 481–488. [Google Scholar] [CrossRef] [PubMed]
- Abridged Life Table in Republic of China Area. Department of Statistics, Ministry of the Interior, Taiwan. Available online: https://www.moi.gov.tw/stat/node.aspx?cate_sn=&belong_sn=6028&sn=6073 (accessed on 15 July 2020).
- Jerrett, M.; Burnett, R.T.; Ma, R.; Pope, C.A., III; Krewski, D.; Newbold, K.B.; Thurston, G.; Shi, Y.; Finkelstein, N.; Calle, E.E.; et al. Spatial analysis of air pollution and mortality in Los Angeles. Epidemiology 2005, 16, 727–736. [Google Scholar] [CrossRef] [PubMed]
- Wang, H.; Gao, Z.; Ren, J.; Liu, Y.; Chang, L.T.; Cheung, K.; Feng, Y.; Li, Y. An urban-rural and sex differences in cancer incidence and mortality and the relationship with PM2.5 exposure: An ecological study in the southeastern side of Hu line. Chemosphere 2019, 216, 766–773. [Google Scholar] [CrossRef]
- Turner, M.C.; Krewski, D.; Pope, C.A., III; Chen, Y.; Gapstur, S.M.; Thun, M.J. Long-term ambient fine particulate matter air pollution and lung cancer in a large cohort of never-smokers. Am. J. Respir. Crit. Care Med. 2011, 184, 1374–1381. [Google Scholar] [CrossRef]
- Zuraimi, M.S.; Tan, Z. Impact of residential building regulations on reducing indoor exposures to outdoor PM2.5 in Toronto. Build. Environ. 2015, 89, 336–344. [Google Scholar] [CrossRef]
- Chen, C.; Zhao, B. Review of relationship between indoor and outdoor particles: I/O ratio, infiltration factor and penetration factor. Atmos. Environ. 2011, 45, 275–288. [Google Scholar] [CrossRef]
- Challoner, A.; Gill, L. Indoor/outdoor air pollution relationships in ten commercial buildings: PM2.5 and NO2. Build. Environ. 2014, 80, 159–173. [Google Scholar] [CrossRef]
- Laumbach, R.; Meng, Q.; Kipen, H. What can individuals do to reduce personal health risks from air pollution? J. Thorac. Dis. 2015, 7, 96–107. [Google Scholar] [PubMed]
- Carlsten, C.; Salvi, S.; Wong, G.W.K.; Chung, K.F. Personal strategies to minimise effects of air pollution on respiratory health: Advice for providers, patients and the public. Eur. Respir. J. 2020, 55, 1902056. [Google Scholar] [CrossRef] [PubMed]







| Season | Pollutant | Instrument Serial No. | R2 | Adjustment Factor | ICC 4 |
|---|---|---|---|---|---|
| Winter | PM10 | 086 vs. 098 | 0.96 | 1.33 | 0.97 |
| 050 vs. 098 | 0.93 | 1.53 | 0.94 | ||
| PM2.5 | 086 vs. 098 | 0.98 | 1.29 | 0.99 | |
| 050 vs. 098 | 0.93 | 1.83 | 0.91 | ||
| PM1 | 086 vs. 098 | 0.99 | 1.31 | 0.99 | |
| 050 vs. 098 | 0.99 | 2.17 | 0.85 | ||
| Nanoparticle | 485 vs. 444 | 0.86 | 1.70 | 0.91 | |
| 443 vs. 444 | 0.94 | 0.85 | 0.96 | ||
| BC 1 | 580 vs. 365 | 0.67 | 0.94 | 0.81 | |
| 314 vs. 365 | 0.83 | 0.95 | 0.91 | ||
| p-PAHs 2 | 234 vs. 102 | 0.58 | 1.77 | 0.76 | |
| 210 vs. 102 | 0.56 | 1.64 | 0.75 | ||
| Temperature | 642 vs. 644 | 0.97 | 1.02 | 0.98 | |
| 643 vs. 644 | 0.98 | 1.02 | 0.98 | ||
| Relative humidity | 642 vs. 644 | 0.99 | 0.99 | 1.00 | |
| 643 vs. 644 | 0.99 | 1.00 | 1.00 | ||
| Summer | PM10 | 086 vs. 098 | 0.93 | 1.18 | 0.96 |
| 056 vs. 098 | 0.90 | 1.27 | 0.94 | ||
| PM2.5 | 086 vs. 098 | 0.99 | 1.15 | 0.99 | |
| 056 vs. 098 | 0.98 | 1.14 | 0.99 | ||
| PM1 | 086 vs. 098 | 0.99 | 1.13 | 0.99 | |
| 056 vs. 098 | 0.99 | 1.11 | 0.99 | ||
| Nanoparticle | 485 vs. 444 | N.A. 3 | N.A. 3 | N.A. 3 | |
| 443 vs. 444 | 0.99 | 0.71 | 0.98 | ||
| BC 1 | 580 vs. 365 | 0.09 | 0.86 | 0.28 | |
| 315 vs. 365 | 1.00 | 0.97 | 0.99 | ||
| p-PAHs 2 | 234 vs. 102 | 0.37 | 1.52 | 0.61 | |
| 210 vs. 102 | 0.11 | 1.16 | 0.25 | ||
| Temperature | 642 vs. 644 | 0.98 | 1.00 | 0.99 | |
| 643 vs. 644 | 0.99 | 1.00 | 0.99 | ||
| Relative humidity | 642 vs. 644 | 0.99 | 0.99 | 0.99 | |
| 643 vs. 644 | 0.98 | 1.00 | 0.99 |
| Pollutant (Unit) | Season | N 3 | 6 m (2F) 4 | 16 m (5F) 4 | 27 m (8F) 4 | Significant Difference 6 |
|---|---|---|---|---|---|---|
| PM10 | Winter | 9522 | 57.2 (36.5) | 59.0 (37.1) | 48.8 (21.9) | 6 m vs. 16 m |
| (μg/m3) | 6 m vs. 27 m | |||||
| 16 m vs. 27 m | ||||||
| Summer | 13028 | 31.4 (114.4) | 28.7 (16.6) | 24.9 (14.8) | 6 m vs. 16 m | |
| 6 m vs. 27 m | ||||||
| 16 m vs. 27 m | ||||||
| PM2.5 | Winter | 9522 | 42.1 (29.9) | 42.8 (30.2) | 32.0 (15.2) | 6 m vs. 16 m |
| (μg/m3) | 6 m vs. 27 m | |||||
| 16 m vs. 27 m | ||||||
| Summer | 13028 | 21.1 (16.0) | 20.9 (14.4) | 19.3 (13.7) | 6 m vs. 16 m | |
| 6 m vs. 27 m | ||||||
| 16 m vs. 27 m | ||||||
| PM1 | Winter | 9522 | 29.5 (21.9) | 31.5 (23.5) | 22.1 (10.4) | 6 m vs. 16 m |
| (μg/m3) | 6 m vs. 27 m | |||||
| 16 m vs. 27 m | ||||||
| Summer | 13028 | 17.0 (15.0) | 16.8 (13.0) | 16.1 (13.1) | 6 m vs. 16 m | |
| 6 m vs. 27 m | ||||||
| 16 m vs. 27 m | ||||||
| Nanoparticle | Winter | 9522 | 26.6 (32.5) | 23.5 (24.1) | 24.0 (22.4) | 6 m vs. 16 m |
| (ng/m3) | 6 m vs. 27 m | |||||
| 16 m vs. 27 m | ||||||
| Summer | 12658 | 13.1 (10.0) | 11.0 (8.4) | N.A. 5 | 6 m vs. 16 m | |
| BC 1 | Winter | 9278 | 2.0 (1.8) | 2.1 (1.6) | 2.2 (1.8) | 6 m vs. 16 m |
| (μg/m3) | 6 m vs. 27 m | |||||
| 16 m vs. 27 m | ||||||
| Summer | 525 | N.A. 5 | 1.6 (1.1) | 2.4 (2.2) | 16 m vs. 27 m | |
| p-PAHs 2 | Winter | 9522 | 7.1 (9.6) | 7.2 (9.8) | 7.7 (11.5) | 6 m vs. 27 m |
| (ng/m3) | 16 m vs. 27 m | |||||
| Summer | 482 | N.A. 5 | 6.3 (3.9) | 7.4 (13.2) | No difference |
| Height | PM2.5 Concentration (μg/m3) 1 | Excess Lung Cancer Mortality Rate (per 1,000,000) 2 | Life Expectancy Change (Day) 2 |
|---|---|---|---|
| 6 m | 27.9 | - | - |
| 16 m | 28.1 | 0.15 | −4.5 |
| 27 m | 24.0 | −2.84 | 86.8 |
Publisher’s Note: MDPI stays neutral with regard to jurisdictional claims in published maps and institutional affiliations. |
© 2020 by the authors. Licensee MDPI, Basel, Switzerland. This article is an open access article distributed under the terms and conditions of the Creative Commons Attribution (CC BY) license (http://creativecommons.org/licenses/by/4.0/).
Share and Cite
Chen, H.-L.; Li, C.-P.; Tang, C.-S.; Lung, S.-C.C.; Chuang, H.-C.; Chou, D.-W.; Chang, L.-T. Risk Assessment for People Exposed to PM2.5 and Constituents at Different Vertical Heights in an Urban Area of Taiwan. Atmosphere 2020, 11, 1145. https://doi.org/10.3390/atmos11111145
Chen H-L, Li C-P, Tang C-S, Lung S-CC, Chuang H-C, Chou D-W, Chang L-T. Risk Assessment for People Exposed to PM2.5 and Constituents at Different Vertical Heights in an Urban Area of Taiwan. Atmosphere. 2020; 11(11):1145. https://doi.org/10.3390/atmos11111145
Chicago/Turabian StyleChen, Hsiu-Ling, Chi-Pei Li, Chin-Sheng Tang, Shih-Chun Candice Lung, Hsiao-Chi Chuang, Da-Wei Chou, and Li-Te Chang. 2020. "Risk Assessment for People Exposed to PM2.5 and Constituents at Different Vertical Heights in an Urban Area of Taiwan" Atmosphere 11, no. 11: 1145. https://doi.org/10.3390/atmos11111145
APA StyleChen, H.-L., Li, C.-P., Tang, C.-S., Lung, S.-C. C., Chuang, H.-C., Chou, D.-W., & Chang, L.-T. (2020). Risk Assessment for People Exposed to PM2.5 and Constituents at Different Vertical Heights in an Urban Area of Taiwan. Atmosphere, 11(11), 1145. https://doi.org/10.3390/atmos11111145

