Impact of the Altitudinal Gradients of Precipitation on the Radar QPE Bias in the French Alps
Abstract
1. Introduction
- How these altitudinal gradients at ground level could explain the radar QPE bias observed in 2016?
- Can the altitudinal gradients observed in annual data be observed at shorter time scales, despite all the factors impacting their estimation?
- Are the altitudinal gradients of precipitation observed at ground level related to the vertical profiles detected by radar, which could have an interest for the radar QPE bias correction?
2. Experiments
2.1. Grenoble Site and Instrumentation
2.2. Data
- Data for 22 rain gauges was provided by the Météo-France national databases, which include sensors from partner’s networks: Météo-France, EDF (Electricité de France), DGPR, and local authorities. All the data benefit from a routinely non-real time validation procedure with human expertise. These gauges provide data at the daily time step, and half of them also provide hourly data.
- One rain gauge location corresponds to two hourly rain gauges of the CEN observation site in Chartreuse, with a distance of few meters between the two stations. The hourly measurements of these two rain gauges (correlation coefficient = 0.96), not yet validated, were critically analyzed in this study. The most reliable gauge was selected, but for some periods with missing values, measurements from the other gauge were used in order to provide a unique continuous series.
2.3. Methods
3. Results
3.1. Annual Precipitation and Radar QPE Bias for Each Massif
- First by the VPR processing, which estimates precipitation on a reference level corresponding to the altitude of the radar or the altitude of the bottom of the melting layer, by using a VPR model as defined Figure 3. Indeed, this VPR model is always defined constant below the maximal value of these two altitudes, and this model does not describe the vertical evolution of the radar reflectivity below these altitudes. It is applied uniformly over all the radar coverage, without any consideration of the altitude of the ground for each pixel of the radar QPE map. The result is a single radar QPE map corresponding to a horizontal reference level aloft (not at ground level), and for the Moucherotte radar (1910 m a.s.l.) at least 1700 m above the bottom of the valley, and higher if the melting layer is higher.
- Then by the hourly calibration procedure of each radar QPE, which allows to correct a mean bias of each single radar QPE map before the merging of all the single radar QPE in the composite. This radar–rain gauge adjustment procedure estimates a single hourly calibration factor by radar, constant in space. For the Moucherotte radar QPE, the mean altitude of the rain gauges selected by this calibration procedure in 2016 was equal to 1155 m a.s.l, with 91% of the rain gauges selected being installed between 800 m and 1860 m a.s.l. In consequence, the mean calibration factors were representative of these altitudes for the Moucherotte radar, and the calibrated single radar QPEs were representative of horizontal reference levels on average corresponding to 1155 m a.s.l.
3.2. Comparison of Annual, Seasonal, Monthly, and Daily Altitudinal Gradients of Precipitation
3.2.1. Normalization of the Gradient Estimates
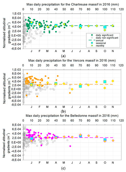
3.2.2. Comparison of the Relative Gradient Estimates for Different Temporal Accumulations
3.3. Vertical Structures of Precipitation Observed by XPORT from the Bottom of the Valleys
4. Discussion
5. Conclusions
Author Contributions
Funding
Acknowledgments
Conflicts of Interest
References
- Faure, D.; Gaussiat, N.; Dupuy, P.; Delrieu, G.; Yu, N.; Sarter, F. Quality analysis of the 2016 quantitative precipitation estimates in the French Alps. In Proceedings of the 38th Conference on Radar Meteorology, Chicago, IL, USA, 31 August 2017. [Google Scholar]
- Durand, Y.; Brun, E.; Mérindol, L.; Guyomarc’h, G.; Lesaffre, B.; Martin, E. A meteorological estimation of relevant parameters for snow models. Ann. Glaciol. 1993, 18, 65–71. [Google Scholar] [CrossRef]
- Sevruk, B. Regional dependency of precipitation-altitude relationship in the Swiss Alps. Clim. Chang. 1997, 36, 355–369. [Google Scholar] [CrossRef]
- Valéry, A. Modélisation Précipitations–Débit Sous Influence Nivale. Élaboration d’un Module Neige et Évaluation sur 380 Bassins Versants. Ph.D. Thesis, Institut des Sciences et Industries du Vivant et de l’Environnement (AgroParisTech), Paris, France, February 2010. [Google Scholar]
- Durand, Y.; Laternser, M.; Giraud, G.; Etchevers, P.; Lesaffre, B.; Mérindol, L. Reanalysis of 44 yr of climate in the French Alps (1958–2002): Methodology, model validation, climatology, and trends for air temperature and precipitation. J. Appl. Meteorol. Climatol. 2009, 48, 429–449. [Google Scholar] [CrossRef]
- Desurosne, I. Gradients D’intensités de Pluie en Zones à Relief: Expérimentations et Premières Modélisations des Données d’un Réseau Rhônalpin, le TPG. Ph.D. Thesis, Université Louis Pasteur Strasbourg-I, Strasbourg, France, September 1992. [Google Scholar]
- Desurosne, I.; Oberlin, G.; Blanchet, G. Towards a better knowledge of high basin rainfall fields at small time and space steps: Analysis of rainfall data from an unidirectional northern pre-Alps network. In FRIEND: Fow Regimes of International Experimental and Network Data, Proceedings of the Braunschweig FRIEND Conference, Brunswick, Germany, 11–15 October 1993; Seuna, P., Gustard, A., Arnell, N.W., Cole, G.A., Eds.; IAHS Press: Wallingford, UK, 1993. [Google Scholar]
- Vetter, J. Contribution d’un Code de Calcul Météorologique Méso-échelle à la Climatologie des Pluies en zone de Relief. Ph.D. Thesis, Institut National Polytechnique de Grenoble, Grenoble, France, July 2004. [Google Scholar]
- Bénichou, P.; Le Breton, O. Prise en compte de la topographie pour la cartographie des champs pluviométriques statistiques. La Météorologie 1987, 19, 23–34. [Google Scholar]
- Canellas, C.; Gibelin, A.L.; Lassègues, P.; Kerdoncuff, M.; Dandin, P.; Simon, P. Les normales climatiques spatialisées Aurelhy 1981–2010: Températures et précipitations. La Météorologie 2014, 85, 47–55. [Google Scholar] [CrossRef]
- Birman, C.; Karbou, F.; Mahfouf, J.; Lafaysse, M.; Durand, Y.; Giraud, G.; Mérindol, L.; Hermozo, L. Precipitation analysis over the French Alps using a variational approach and study of potential added value of ground based radar observations. J. Hydrometeorol. 2017, 18, 1425–1451. [Google Scholar] [CrossRef]
- Sevruk, B. Reliability of Precipitation Gradient Estimates. In Proceedings of the XIV International Conference on Carpathian Meteorology, Sofia, Bulgaria, 25–30 September 1989. [Google Scholar]
- Blanchet, J.; Marty, C.; Lehning, M. Extreme value statistics of snowfall in the Swiss Alpine region. Water Resour. Res. 2009, 45, W05424. [Google Scholar] [CrossRef]
- Grünewald, T.; Lehning, M. Altitudinal dependency of snow amounts in two small alpine catchments: Can catchment-wide snow amounts be estimated via single snow or precipitation stations? Ann. Glaciol. 2011, 52, 153–158. [Google Scholar]
- Barry, R.G. Recent advances in mountain climate research. Theor. Appl. Climatol. 2012, 110, 549–553. [Google Scholar] [CrossRef]
- Delrieu, G.; Cazenave, F.; Yu, N.; Faure, D.; Boudevillain, B.; Khanal, A.; Augros, C.; Le Bastard, N.; Gaussiat, N. Radar remote sensing for rain/snow estimation in an Alpine context: The Grenoble experiment. In Proceedings of the 10th European Conference on Radar in Meteorology and Hydrology (ERAD 2018), Ede-Wageningen, The Netherlands, 1–6 July 2018. [Google Scholar]
- Tabary, P.; Augros, C.; Champeaux, J.L.; Chèze, J.L.; Faure, D.; Idziorek, D.; Lorandel, R.; Urban, B.; Vogt, V. Le réseau et les produits radars de Météo France. La Météorologie 2013, 83, 15–27. [Google Scholar] [CrossRef]
- Schaefli, B.; Hingray, B.; Niggli, M.; Musy, A. A conceptual glacio-hydrological model for high mountainous catchments. Hydrol. Earth Syst. Sci. Discuss. 2005, 9, 95–109. [Google Scholar] [CrossRef]
- Johansson, B. Areal precipitation and temperature in the Swedish Mountains–An evaluation from a hydrological perspective. Nord. Hydrol. 2000, 31, 207–228. [Google Scholar] [CrossRef]
- Le Bastard, T.; Caumont, O.; Gaussiat, N.; Karbou, F. Combined use of volume radar observations and high-resolution numerical weather predictions to estimate precipitation at the ground: Methodology and proof of concept. Atmos. Meas. Tech. Discuss. 2019. under review. Available online: https://www.atmos-meas-tech-discuss.net/amt-2019-166/ (accessed on 10 May 2019). [CrossRef]
- Germann, U.; Galli, G.; Boscacci, M.; Bolliger, M. Radar precipitation measurement in a mountainous region. Q. J. R. Meteorol. Soc. 2006, 132, 1669–1692. [Google Scholar] [CrossRef]










| Gradients (10−4 m−1) | Chartreuse (9 Rain Gauges) | Vercors (9 Rain Gauges) | Belledonne (10 Rain Gauges) | Belledonne (9 Rain Gauges) |
|---|---|---|---|---|
| annual | 4.6 (0.75) | 2.7 (0.39) | 2.3 (0.50) | 2.2 (0.47) |
| (D)JF | 5.7 (0.85) | 2.3 (0.43) | 1.8 (0.27) | 1.8 (0.26) |
| MAM | 4.6 (0.66) | 2.9 (0.33) | 2.35 (0.59) | 2.34 (0.59) |
| JJA | 4.2 (0.78) | 1.5 (0.12) 1 | 2.9 (0.50) | 2.9 (0.49) |
| SON | 3.9 (0.72) | 3.9 (0.66) 2 | 1.0 (0.59) 3 | 1.2 (0.36) |
| Type of Filtering | Chartreuse Gradients >0 <0 | Vercors Gradients >0 <0 | Belledonne Gradients >0 <0 |
|---|---|---|---|
| No filtering (i.e., all values) | 69% 31% | 74% 26% | 67% 33% |
| Filtering only weak precipitation | 93% 7% | 84% 16% | 85% 15% |
| Filtering both weak precipitation and absence of gradients | 100% 0% | 94% 6% | 95% 5% |
© 2019 by the authors. Licensee MDPI, Basel, Switzerland. This article is an open access article distributed under the terms and conditions of the Creative Commons Attribution (CC BY) license (http://creativecommons.org/licenses/by/4.0/).
Share and Cite
Faure, D.; Delrieu, G.; Gaussiat, N. Impact of the Altitudinal Gradients of Precipitation on the Radar QPE Bias in the French Alps. Atmosphere 2019, 10, 306. https://doi.org/10.3390/atmos10060306
Faure D, Delrieu G, Gaussiat N. Impact of the Altitudinal Gradients of Precipitation on the Radar QPE Bias in the French Alps. Atmosphere. 2019; 10(6):306. https://doi.org/10.3390/atmos10060306
Chicago/Turabian StyleFaure, Dominique, Guy Delrieu, and Nicolas Gaussiat. 2019. "Impact of the Altitudinal Gradients of Precipitation on the Radar QPE Bias in the French Alps" Atmosphere 10, no. 6: 306. https://doi.org/10.3390/atmos10060306
APA StyleFaure, D., Delrieu, G., & Gaussiat, N. (2019). Impact of the Altitudinal Gradients of Precipitation on the Radar QPE Bias in the French Alps. Atmosphere, 10(6), 306. https://doi.org/10.3390/atmos10060306

