Salt Tolerance Diversity in Citrus Rootstocks Agrees with Genotypic Diversity at the LCl-6 Quantitative Trait Locus
Abstract
1. Introduction
2. Materials and Methods
2.1. Plant Materials
2.2. Salt Tolerance Experiment and Trait Evaluation
2.3. Candidate Gene Genotyping
2.4. Statistical Analysis
3. Results
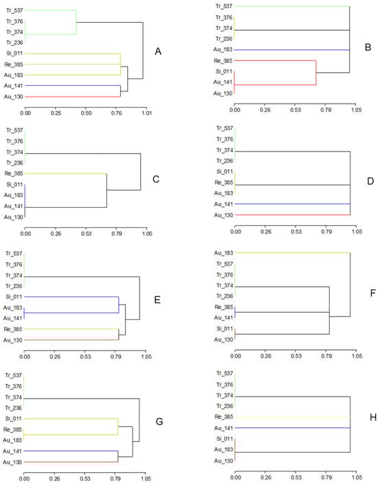
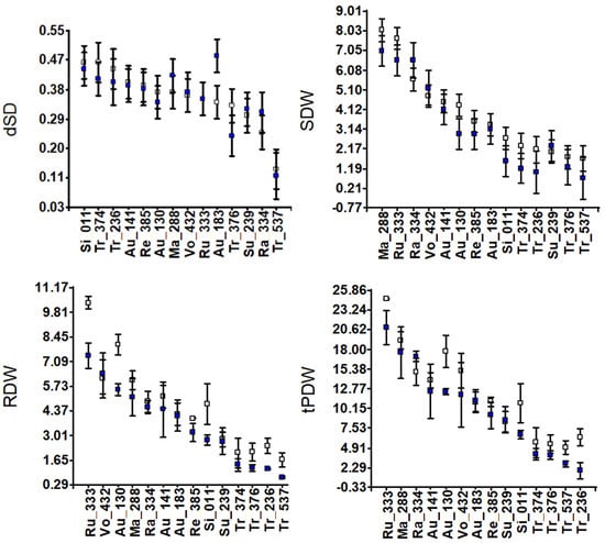
3.1. Salinity Effects on Symptomatology and Vegetative Development
3.2. Ion Homeostasis
3.3. Candidate Gene Polymorphisms at LCl_6 QTL
4. Discussion
4.1. Diversity in Salt Response Among Citrus Species
4.2. Diversity in Salt Response Among Trifoliate Orange Accessions Matches the Genotype Diversity at NPF5.9 and PIP2.1
4.3. Diversity in Salt Response Among Sour Orange Accessions Is Related to Na+ Homeostasis and Is Consistent with Their Genotype Classification at NPF5.9 and CHX20
5. Conclusions
Supplementary Materials
Author Contributions
Funding
Institutional Review Board Statement
Informed Consent Statement
Data Availability Statement
Acknowledgments
Conflicts of Interest
References
- Martínez-Álvarez, V.; Imbernón-Mulero, A.; Maestre-Valero, J.F.; Ben Abdallah, S.; Gallego-Elvira, B. Agronomic Analysis of the Replacement of Conventional Agricultural Water Supply by Desalinated Seawater as an Adaptive Strategy to Water Scarcity in South-Eastern Spain. Agronomy 2023, 13, 2878. [Google Scholar] [CrossRef]
- Acosta, J.A.; Imbernón-Mulero, A.; Martínez-Alvarez, V.; Gallego-Elvira, B.; Maestre-Valero, J.F. Midterm effects of irrigation with desalinated seawater on soil properties and constituents in a Mediterranean citrus orchard. Agric. Ecosyst. Environ. 2025, 381, 109424. [Google Scholar] [CrossRef]
- FAO. Extent of Salt-Affected Soils. Available online: https://www.fao.org/soils-portal/soil-management/management-of-some-problem-soils/salt-affected-soils/more-information-on-salt-affected-soils/en/ (accessed on 5 May 2025).
- Maas, E.V. Salinity and citriculture. Tree Physiol. 1993, 12, 195–216. [Google Scholar] [CrossRef]
- Bingham, F.T.; Mahler, R.J.; Parra, J.; Stolzy, L.H. Long-term effects of irrigation-salinity management on a Valencia orange orchard. Soil Sci. 1974, 117, 369. [Google Scholar] [CrossRef]
- Cerda, A.; Nieves, M.; Guillen, M.G. Salt tolerance of lemon trees as affected by rootstock. Irrig. Sci. 1990, 11, 245–249. [Google Scholar] [CrossRef]
- Sulistyowati, E.; Keane, P. Effects of salinity on root rot of citrus caused by Phytophthora citrophthora. Aust. J. Agric. Res. 1992, 43, 1581–1589. [Google Scholar]
- Dunn, D.C.; Romeo, L.W.D.; Towers, G.H.N. Changes in arginine, PAL activity, and nematode behavior in salinity-stressed citrus. Phytochemistry 1998, 49, 413–417. [Google Scholar] [CrossRef]
- Syvertsen, J.P.; Garcia-Sanchez, F. Multiple abiotic stresses occurring with salinity stress in citrus. Environ. Exp. Bot. 2014, 103, 128–137. [Google Scholar] [CrossRef]
- dos Santos, M.A.C.M.; Filho, M.A.C.; Modesto, F.J.N.; Patt, J.M.; Fancelli, M. Behavioral responses of Asian citrus psyllid to salinity-stressed citrus. Environ. Entomol. 2021, 50, 719–731. [Google Scholar] [CrossRef]
- Castle, W.S. A career perspective on citrus rootstocks, their development, and commercialization. HortScience 2010, 45, 11–15. [Google Scholar] [CrossRef]
- Ream, C.L.; Furr, J.R. Salt Tolerance of Some Citrus Species, Relatives, and Hybrids Tested as Rootstocks1. J. Am. Soc. Hortic. Sci. 1976, 101, 265–267. [Google Scholar] [CrossRef]
- Storey, R.; Walker, R.R. Citrus and salinity. Sci. Hortic. 1998, 78, 39–81. [Google Scholar] [CrossRef]
- Levy, Y.; Lifshitz, J.; De Malach, Y.; David, Y. The Response of Several Citrus Genotypes to High-salinity Irrigation Water. HortScience 1999, 34, 878–881. [Google Scholar] [CrossRef]
- García, M.R.; Bernet, G.P.; Puchades, J.; Gómez, I.; Carbonell, E.A.; Asins, M.J. Reliable and Easy Screening Technique for Salt Tolerance of Citrus Rootstocks under Controlled Environments. Aust. J. Agric. Res. 2002, 53, 653. [Google Scholar] [CrossRef]
- Sykes, S.R. Chloride and Sodium Excluding Capacities of Citrus Rootstock Germplasm Introduced to Australia from the People’s Republic of China. Sci. Hortic. 2011, 128, 443–449. [Google Scholar] [CrossRef]
- Balal, R.M.; Khan, M.M.; Shahid, M.A.; Mattson, N.S.; Abbas, T.; Ashfaq, M.; Garcia-Sanchez, F.; Ghazanfer, U.; Gimeno, V.; Iqbal, Z. Comparative Studies on the Physiobiochemical, Enzymatic, and Ionic Modifications in Salt-Tolerant and Salt-Sensitive Citrus Rootstocks under NaCl Stress. J. Amer. Soc. Hort. Sci. 2012, 137, 86–95. [Google Scholar] [CrossRef]
- Raga, V.; Intrigliolo, D.S.; Bernet, G.P.; Carbonell, E.A.; Asins, M.J. Genetic Analysis of Salt Tolerance in a Progeny Derived from the Citrus Rootstocks Cleopatra Mandarin and Trifoliate Orange. Tree Genet. Genomes 2016, 12, 34. [Google Scholar] [CrossRef]
- Pathania, S.; Singh, H. Evaluation and prediction of salinity tolerance behavior of citrus rootstocks. Sci. Hortic. 2021, 289, 110422. [Google Scholar] [CrossRef]
- Modica, G.; Di Guardo, M.; Puglisi, I.; Baglieri, A.; Fortuna, S.; Arcidiacono, F.; Costantino, D.; La Malfa, S.; Gentile, A.; Arbona, V.; et al. Novel and widely spread citrus rootstocks behavior in response to salt stress. Environ. Exp. Bot. 2024, 225, 105835. [Google Scholar] [CrossRef]
- Asins, M.J.; Bullones, A.; Raga, V.; Romero-Aranda, M.R.; Espinosa, J.; Triviño, J.C.; Bernet, G.P.; Traverso, J.A.; Carbonell, E.A.; Claros, M.G.; et al. Combining Genetic and Transcriptomic Approaches to Identify Transporter-Coding Genes as Likely Responsible for a Repeatable Salt Tolerance QTL in Citrus. Int. J. Mol. Sci. 2023, 24, 15759. [Google Scholar] [CrossRef]
- Léran, S.; Varala, K.; Boyer, J.-C.; Chiurazzi, M.; Crawford, N.; Daniel-Vedele, F.; David, L.; Dickstein, R.; Fernandez, E.; Forde, B.; et al. A unified nomenclature of nitrate transporter 1/peptide transporter family members in plants. Trends Plant Sci. 2014, 19, 5–9. [Google Scholar] [CrossRef] [PubMed]
- Li, B.; Tester, M.; Gilliham, M. Chloride on the Move. Trends Plant Sci. 2017, 22, 236–248. [Google Scholar] [CrossRef] [PubMed]
- Colmenero-Flores, J.M.; Franco-Navarro, J.D.; Cubero-Font, P.; Peinado-Torrubia, P.; Rosales, M.A. Chloride as a Beneficial Macronutrient in Higher Plants: New Roles and Regulation. IJMS 2019, 20, 4686. [Google Scholar] [CrossRef] [PubMed]
- Subba, A.; Tomar, S.; Pareek, A.; Singla-Pareek, S.L. The chloride channels: Silently serving the plants. Physiol. Plant. 2021, 171, 688–702. [Google Scholar] [CrossRef]
- Kumar, A.; Sandhu, N.; Kumar, P.; Pruthi, G.; Singh, J.; Kaur, S.; Chhuneja, P. Genome-wide identification and in silico analysis of NPF, NRT2, CLC, and SLAC1/SLAH nitrate transporters in hexaploid wheat (Triticum aestivum). Sci. Rep. 2022, 12, 11227. [Google Scholar] [CrossRef]
- Wu, Y.; Yuan, J.; Shen, L.; Li, Q.; Li, Z.; Cao, H.; Zhu, L.; Liu, D.; Sun, Y.; Jia, Q.; et al. A phosphorylation-regulated NPF transporter determines salt tolerance by mediating chloride uptake in soybean plants. EMBO J. 2025, 44, 923–946. [Google Scholar] [CrossRef]
- Chen, S.-Y.; Gu, T.-Y.; Qi, Z.-A.; Yan, J.; Fang, Z.-J.; Lu, Y.-T.; Li, H.; Gong, J.-M. Two NPF Transporters Mediate Iron Long-Distance Transport and Homeostasis in Arabidopsis. Plant Commun. 2021, 2, 100244. [Google Scholar] [CrossRef]
- He, Y.N.; Peng, J.S.; Cai, Y.; Liu, D.F.; Guan, Y.; Yi, H.Y.; Gong, J.M. Tonoplast-localized nitrate uptake transporters involved in vacuolar nitrate efflux and reallocation in Arabidopsis. Sci. Rep. 2017, 7, 6417. [Google Scholar] [CrossRef]
- Diyang, Q.; Rui, H.; Ji, L.; Ying, L.; Jierong, D.; Kuaifei, X.; Xuhua, Z.; Zhongming, F.; Mingyong, Z. Peptide transporter OsNPF8. 1 contributes to sustainable growth under salt and drought stresses, and grain yield under nitrogen deficiency in rice. Rice Sci. 2023, 30, 113–126. [Google Scholar] [CrossRef]
- Julião, M.H.; Silva, S.R.; Ferro, J.A.; Varani, A.M. A Genomic and Transcriptomic Overview of MATE, ABC, and MFS Transporters in Citrus sinensis Interaction with Xanthomonas citri subsp. citri. Plants 2020, 9, 794. [Google Scholar] [CrossRef]
- de Paula Santos Martins, C.; Pedrosa, A.M.; Du, D.; Goncalves, L.P.; Yu, Q.; Gmitter, F.G., Jr.; Costa, M.G.C. Genome-wide characterization and expression analysis of major intrinsic proteins during abiotic and biotic stresses in sweet orange (Citrus sinensis L. Osb.). PLoS ONE 2015, 10, e0138786. [Google Scholar]
- Wei, Q.; Ma, Q.; Ma, Z.; Zhou, G.; Feng, F.; Le, S.; Lei, C.; Gu, Q. Genome-wide identification and characterization of sweet orange (Citrus sinensis) aquaporin genes and their expression in two citrus cultivars differing in drought tolerance. Tree Genet. Genomes 2019, 15, 1–13. [Google Scholar] [CrossRef]
- Abel, G.H. Inheritance of the capacity for chloride inclusion and chloride exclusion by soybeans. Crop Sci. 1969, 9, 697–698. [Google Scholar] [CrossRef]
- Qi, X.; Li, M.-W.; Xie, M.; Liu, X.; Ni, M.; Shao, G.; Song, C.; Yim, A.K.-Y.; Tao, Y.; Wong, F.-L.; et al. Identification of a novel salt tolerance gene in wild soybean by whole-genome sequencing. Nat. Commun. 2014, 5, 4340. [Google Scholar] [CrossRef]
- Do, T.D.; Chen, H.; Hien, V.T.T.; Hamwieh, A.; Yamada, T.; Sato, T.; Yan, Y.; Cong, H.; Shono, M.; Suenaga, K.; et al. Ncl Synchronously Regulates Na+, K+ and Cl− in Soybean and Greatly Increases the Grain Yield in Saline Field Conditions. Sci. Rep. 2016, 6, 19147. [Google Scholar] [CrossRef]
- Qu, Y.; Guan, R.; Bose, J.; Henderson, S.W.; Wege, S.; Qiu, L.; Gilliham, M. Soybean CHX-type ion transport protein GmSALT3 confers leaf Na+ exclusion via a root derived mechanism, and Cl− exclusion via a shoot derived process. Plant Cell Environ. 2021, 44, 856–869. [Google Scholar] [CrossRef]
- Dempewolf, H.; Baute, G.; Anderson, J.; Kilian, B.; Smith, C.; Guarino, L. Past and Future Use of Wild Relatives in Crop Breeding. Crop Sci. 2017, 57, 1070–1082. [Google Scholar] [CrossRef]
- Hernández-Suárez, E.; Suárez-Méndez, L.; Parrilla, M.; Arjona-López, J.M.; Hervalejo, A.; Arenas-Arenas, F.J. Feeding and Oviposition Behaviour of Trioza erytreae (Hemiptera: Triozidae) on Different Citrus Rootstock Material Available in Europe. Insects 2021, 12, 623. [Google Scholar] [CrossRef] [PubMed]
- Huang, M.; Roose, M.L.; Yu, Q.; Stover, E.; Hall, D.G.; Deng, Z.; Gmitter, F.G. Mapping of QTLs and candidate genes associated with multiple phenotypic traits for Huanglongbing tolerance in citrus. Hortic. Plant J. 2023, 9, 705–719. [Google Scholar] [CrossRef]
- Bernet, G.P.; Gorris, M.T.; Carbonell, E.A.; Cambra, M.; Asins, M.J. Citrus tristeza virus resistance in a core collection of sour orange based on a diversity study of three germplasm collections using QTL-linked markers. Plant Breed. 2008, 127, 398–406. [Google Scholar] [CrossRef]
- Mestre, P.F.; Asins, M.J.; Pina, J.A.; Navarro, L. Efficient search for new, resistant genotypes to citrus tristeza cloterovirus in the orange subfamily Aurantioideae. Theor. Appl. Genet. 1997, 95, 1282–1288. [Google Scholar] [CrossRef]
- Ruiz, C.; Breto, M.P.; Asins, M.J. A quick methodology to identify sexual seedlings in citrus breeding programs using SSR markers. Euphytica 2000, 112, 89–94. [Google Scholar] [CrossRef]
- Gilliam, J.W. Rapid Measurement of Chlorine in Plant Materials. Soil Sci. Soc. Am. J. 1971, 35, 512–513. [Google Scholar] [CrossRef]
- Di Rienzo, J.A.; Guzmán, A.W.; Casanoves, F. A Multiple Comparisons Method based on the Distribution of the Root Node Distance of a Binary Tree. J. Agric. Biol. Environ. Stat. 2002, 7, 1–14. [Google Scholar] [CrossRef]
- Benjamini, Y.; Hockberg, Y. Controlling for false discovery rate: A practical and powerful approach to multiple testing. J. Roy. Statist. Soc. B 1995, 57, 289–300. [Google Scholar] [CrossRef]
- Di Rienzo, J.A.; Casanoves, F.; Balzarini, M.G.; Gonzalez, L.; Tablada, M.; Robledo, C.W. InfoStat; versión 2020; Centro de Transferencia InfoStat, FCA, Universidad Nacional de Córdoba: Córdoba, Argentina, 2020. [Google Scholar]
- Adams, S.N.; Ac-Pangan, W.O.; Rossi, L. Effects of Soil Salinity on Citrus Rootstock ‘US-942’ Physiology and Anatomy. HortScience 2019, 54, 787–792. [Google Scholar] [CrossRef]
- Ribeiro, M.d.S.d.S.; Brito, M.E.B.; Lacerda, C.F.; Silva, L.d.A.; Filho, W.d.S.S.; Neves, A.L.R.; Araújo, I.C.d.S.; Gadelha, C.G. Toxicity indicators and biochemical responses in leaves of ‘Tahiti’ acid lime grafted on ten Citrus rootstocks under salt stress. Theor. Exp. Plant Physiol. 2022, 34, 23–35. [Google Scholar] [CrossRef]
- NSW DPI Citrus Team. Rough Lemon. 2005. Available online: https://www.dpi.nsw.gov.au/__data/assets/pdf_file/0006/1395564/Rough-lemon.pdf (accessed on 25 April 2025).
- Ziogas, V.; Tanou, G.; Morianou, G.; Kourgialas, N. Drought and Salinity in Citriculture: Optimal Practices to Alleviate Salinity and Water Stress. Agronomy 2021, 11, 1283. [Google Scholar] [CrossRef]
- Franco-Navarro, J.D.; Díaz-Rueda, P.; Rivero-Núñez, C.M.; Brumós, J.; Rubio-Casal, A.E.; de Cires, A.; Colmenero-Flores, J.M.; Rosales, M.A. Chloride nutrition improves drought resistance by enhancing water deficit avoidance and tolerance mechanisms. J. Exp. Bot. 2021, 72, 5246–5261. [Google Scholar] [CrossRef]
- Broadbent, P.; Gollnow, B.I. Selecting disease-resistant citrus rootstocks. Aust. J. Exp. Agric. 1993, 33, 775–780. [Google Scholar] [CrossRef]
- Wang, X.; Xu, Y.; Zhang, S.; Cao, L.; Huang, Y.; Cheng, J.; Wu, G.; Tian, S.; Chen, C.; Liu, Y.; et al. Genomic analyses of primitive, wild and cultivated citrus provide insights into asexual reproduction. Nat. Genet. 2017, 49, 765–772. [Google Scholar] [CrossRef] [PubMed]
- Shimada, T.; Endo, T.; Fujii, H.; Nakano, M.; Sugiyama, A.; Daido, G.; Ohta, S.; Yoshioka, T.; Omura, M. MITE insertion-dependent expression of CitRKD1 with a RWP-RK domain regulates somatic embryogenesis in citrus nucellar tissues. BMC Plant Biol. 2018, 18, 166. [Google Scholar] [CrossRef]
- Wang, N.; Song, X.; Ye, J.; Zhang, S.; Cao, Z.; Zhu, C.; Hu, J.; Zhou, Y.; Huang, Y.; Cao, S.; et al. Structural variation and parallel evolution of apomixis in citrus during domestication and diversification. Natl. Sci. Rev. 2022, 9, nwac114. [Google Scholar] [CrossRef] [PubMed]
- Xu, Y.; Jia, H.; Wu, X.; Koltunow, A.M.G.; Deng, X.; Xu, Q. Regulation of nucellar embryony, a mode of sporophytic apomixis in Citrus resembling somatic embryogenesis. Curr. Opin. Plant Biol. 2021, 59, 101984. [Google Scholar] [CrossRef]
- Yan, L.; Li, S.; Cheng, J.; Liu, Y.; Liu, J.; Jiang, C. Boron contributes to excessive aluminum tolerance in trifoliate orange (Poncirus trifoliata (L.) Raf.) by inhibiting cell wall deposition and promoting vacuole compartmentation. J. Hazard. Mater. 2022, 437, 129275. [Google Scholar] [CrossRef]
- Witcombe, J.R.; Hollington, P.A.; Howarth, C.J.; Reader, S.; Steele, K.A. Breeding for abiotic stresses for sustainable agriculture. Phil. Trans. R. Soc. B 2008, 363, 703–716. [Google Scholar] [CrossRef]
- Peng, Z.; Bredeson, J.V.; Wu, G.A.; Shu, S.; Rawat, N.; Du, D.; Parajuli, S.; Yu, Q.; You, Q.; Rokhsar, D.S.; et al. A chromosome-scale reference genome of trifoliate orange (Poncirus trifoliata) provides insights into disease resistance, cold tolerance and genome evolution in Citrus. Plant J. 2020, 104, 1215–1232. [Google Scholar] [CrossRef] [PubMed]
- Ben Yahmed, J.; Costantino, G.; Amiel, P.; Talón, M.; Ollitrault, P.; Morrillon, R.; Luro, F. Diversity in the trifoliate orange taxon reveals two main groups marked by specific morphological traits and water deficit tolerance properties. J. Agric. Sci. 2016, 154, 495–514. [Google Scholar] [CrossRef]
- Qiu, J.; McGaughey, S.A.; Groszmann, M.; Tyerman, S.D.; Byrt, C.S. Phosphorylation influences water and ion channel function of AtPIP2.1. Plant Cell Environ. 2020, 43, 2428–2442. [Google Scholar] [CrossRef]
- Israel, D.; Lee, S.H.; Robson, T.M.; Zwiazek, J.J. Plasma membrane aquaporins of the PIP1 and PIP2 subfamilies facilitate hydrogen peroxide diffusion into plant roots. BMC Plant Biol. 2022, 22, 566. [Google Scholar] [CrossRef]





| Species | Common Name | Code |
|---|---|---|
| C. aurantium L. | Sour orange Afin Verna | Au-130 |
| C. aurantium L. | Sour orange Clementina | Au-141 |
| C. aurantium L. | Sour orange Guo Kuo Cheng | Au-183 |
| C. jambhiri Lush. | Rough lemon | Ru-333 |
| C. limonia Osbeck | Rangpur lime | Ra-334 |
| C. reshni Hort. Ex Tan. | Cleopatra mandarin | Re-385 |
| C. sinensis (L.) Osb. | Sweet orange Pineaple | Si-011 |
| C. sunki (Hayata) hort ex. Tanaka | Sunki mandarin | Su-239 |
| C. volkameriana Te. & Pasq. | Volkamer lemon | Vo-432 |
| C. macrophylla Wester. | Alemow | Ma-288 |
| P. trifoliata (L.) Raf. | trifoliate orange Rich | Tr-236 |
| P. trifoliata (L.) Raf. | trifoliate orange Pomeroy | Tr-374 |
| P. trifoliata (L.) Raf. | trifoliate orange Benecke | Tr-376 |
| P. trifoliata (L.) Raf. | trifoliate orange Flying Dragon | Tr-537 |
| Trait | G | E | G × E |
|---|---|---|---|
| L_Cl | 0.0041 | <0.0001 | 0.0451 |
| ClR-ClL/ClR | 0.06/0.0001 * | 0.0010 | |
| R_Cl | <0.0001 | <0.0001 | 0.0059 |
| H_7 | <0.0001 | ||
| SD_7 | <0.0001 | <0.0001 | |
| LN_7 | <0.0001 | ||
| SD_11 | <0.0001 | 0.0030 | |
| LN_11 | <0.0001 | 0.0020 | |
| BN_11 | 0.0027 | ||
| dSD | 0.0001 | ||
| dLN | 0.0001 | <0.0001 | 0.0387 |
| SDW | <0.0001 | 0.0329 | |
| LDW | <0.0001 | ||
| RDW | <0.0001 | 0.0007 | |
| tPDW | <0.0001 | 0.0072 | |
| RDW/tPDW | <0.0001 | <0.0001 |
| Trait | G | E | G × E |
|---|---|---|---|
| B | <0.0001 | <0.0001 | 0.0106 |
| Ca | <0.0001 | 0.0002 | |
| Fe | 0.0403 | ||
| K | <0.0001 | ||
| Mg | <0.0001 | 0.0479 | |
| Na | <0.0001 | <0.0001 | 0.0003 |
| P | <0.0001 | 0.0018 | |
| S | <0.0001 | 0.0004 | |
| Si | <0.0001 | 0.0044 |
Disclaimer/Publisher’s Note: The statements, opinions and data contained in all publications are solely those of the individual author(s) and contributor(s) and not of MDPI and/or the editor(s). MDPI and/or the editor(s) disclaim responsibility for any injury to people or property resulting from any ideas, methods, instructions or products referred to in the content. |
© 2025 by the authors. Licensee MDPI, Basel, Switzerland. This article is an open access article distributed under the terms and conditions of the Creative Commons Attribution (CC BY) license (https://creativecommons.org/licenses/by/4.0/).
Share and Cite
Asins, M.J.; Raga, M.V.; Romero-Aranda, M.R.; Jaime-Fernández, E.; Carbonell, E.A.; Belver, A. Salt Tolerance Diversity in Citrus Rootstocks Agrees with Genotypic Diversity at the LCl-6 Quantitative Trait Locus. Genes 2025, 16, 683. https://doi.org/10.3390/genes16060683
Asins MJ, Raga MV, Romero-Aranda MR, Jaime-Fernández E, Carbonell EA, Belver A. Salt Tolerance Diversity in Citrus Rootstocks Agrees with Genotypic Diversity at the LCl-6 Quantitative Trait Locus. Genes. 2025; 16(6):683. https://doi.org/10.3390/genes16060683
Chicago/Turabian StyleAsins, Maria J., M. Verónica Raga, Maria R. Romero-Aranda, Emilio Jaime-Fernández, Emilio A. Carbonell, and Andres Belver. 2025. "Salt Tolerance Diversity in Citrus Rootstocks Agrees with Genotypic Diversity at the LCl-6 Quantitative Trait Locus" Genes 16, no. 6: 683. https://doi.org/10.3390/genes16060683
APA StyleAsins, M. J., Raga, M. V., Romero-Aranda, M. R., Jaime-Fernández, E., Carbonell, E. A., & Belver, A. (2025). Salt Tolerance Diversity in Citrus Rootstocks Agrees with Genotypic Diversity at the LCl-6 Quantitative Trait Locus. Genes, 16(6), 683. https://doi.org/10.3390/genes16060683

