Genome-Wide Identification, Conservation, and Expression Pattern Analyses of the BBR-BPC Gene Family Under Abiotic Stress in Brassica napus L.
Abstract
1. Introduction
2. Materials and Methods
2.1. Whole-Genome Identification of BBR-BPC Gene Family Members
2.2. Physicochemical Properties and Chromosomal Localization
2.3. Conservation Analysis of the BBR-BPC Gene Family
2.4. Phylogenetic and Collinearity Analysis
2.5. Cis-Acting Elements and KEGG Enrichment
2.6. Interaction Prediction and Subcellular Localization
2.7. Expression Pattern Analysis
2.8. Stress Response Analysis (Salt, Drought, Hormones)
3. Results
3.1. Identification and Characteristic Analysis of the BBR-BPC Family Members in B. napus
3.2. Chromosomal Localization of the BBR-BPC Gene Family
3.3. Phylogenetic Analysis of the BBR-BPC Gene Family
3.4. Motif Composition, Conserved Structural Domains, and Gene Structures of the BBR-BPC Gene Family
3.5. Collinearity Analysis of the BBR-BPC Gene Family
3.6. Analysis of the Cis-Acting Elements in the Promoter Regions of the BnBBR-BPC Genes
3.7. KEGG Enrichment Analysis of BnBBR-BPC Genes
3.8. Potential Interaction Prediction and Subcellular Localization Analysis of BnBBR-BPC Gene Family Members
3.9. Analysis of BnBBR-BPC Gene Expression Patterns
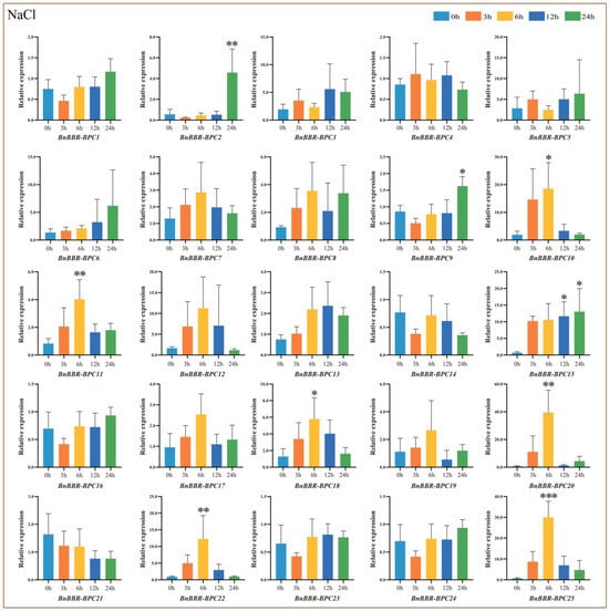
3.10. Real-Time PCR Analysis of BnBBR-BPC Family Members Under Salt Treatment
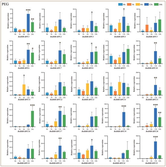
3.11. Real-Time PCR Analysis of BnBBR-BPC Family Members Under Drought Treatment
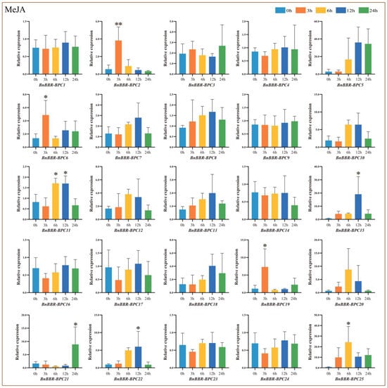
3.12. Real-Time PCR Analysis of BnBBR-BPC Family Members Under Hormone Treatment
4. Discussion
5. Conclusions
Supplementary Materials
Author Contributions
Funding
Institutional Review Board Statement
Informed Consent Statement
Data Availability Statement
Acknowledgments
Conflicts of Interest
References
- He, B.; Liu, W.; Li, J.; Xiong, S.; Jia, J.; Lin, Q.; Liu, H.; Cui, P. Evolution of Plant Genome Size and Composition. Genom. Proteom. Bioinform. 2024, 22, qzae078. [Google Scholar] [CrossRef] [PubMed] [PubMed Central]
- Batiru, G.; Lübberstedt, T. Polyploidy in maize: From evolution to breeding. Theor. Appl. Genet. 2024, 137, 182. [Google Scholar] [CrossRef] [PubMed]
- D’Agostino, N.; Fasano, C. Editorial: Genetics and Genomics of Polyploid Plants. Genes 2024, 15, 1377. [Google Scholar] [CrossRef] [PubMed] [PubMed Central]
- Paterson, A.H.; Queitsch, C. Genome organization and botanical diversity. Plant Cell 2024, 36, 1186–1204. [Google Scholar] [CrossRef] [PubMed] [PubMed Central]
- Feng, X.; Chen, Q.; Wu, W.; Wang, J.; Li, G.; Xu, S.; Shao, S.; Liu, M.; Zhong, C.; Wu, C.-I.; et al. Genomic evidence for rediploidization and adaptive evolution following the whole-genome triplication. Nat. Commun. 2024, 15, 1635. [Google Scholar] [CrossRef] [PubMed] [PubMed Central]
- Sangwan, I.; O’Brian, M.R. Identification of a soybean protein that interacts with GAGA element dinucleotide repeat DNA. Plant Physiol. 2002, 129, 1788–1794. [Google Scholar] [CrossRef] [PubMed] [PubMed Central]
- Santi, L.; Wang, Y.; Stile, M.R.; Berendzen, K.; Wanke, D.; Roig, C.; Pozzi, C.; Müller, K.; Müller, J.; Rohde, W.; et al. The GA octodinucleotide repeat binding factor BBR participates in the transcriptional regulation of the homeobox gene Bkn3. Plant J. 2003, 34, 813–826. [Google Scholar] [CrossRef] [PubMed]
- Meister, R.J.; Williams, L.A.; Monfared, M.M.; Gallagher, T.L.; Kraft, E.A.; Nelson, C.G.; Gasser, C.S. Definition and interactions of a positive regulatory element of the Arabidopsis INNER NO OUTER promoter. Plant J. 2004, 37, 426–438. [Google Scholar] [CrossRef] [PubMed]
- Strader, L.; Weijers, D.; Wagner, D. Plant transcription factors—Being in the right place with the right company. Curr. Opin. Plant Biol. 2021, 65, 102136. [Google Scholar] [CrossRef] [PubMed] [PubMed Central]
- Lee, Y.C.; Tsai, P.T.; Huang, X.X.; Tsai, H.L. Family Members Additively Repress the Ectopic Expression of BASIC PENTACYSTEINE3 to Prevent Disorders in Arabidopsis Circadian Vegetative Development. Front. Plant Sci. 2022, 13, 919946. [Google Scholar] [CrossRef] [PubMed] [PubMed Central]
- Sun, H.; Pang, B.; Yan, J.; Wang, T.; Wang, L.; Chen, C.; Li, Q.; Ren, Z. Comprehensive Analysis of Cucumber Gibberellin Oxidase Family Genes and Functional Characterization of CsGA20ox1 in Root Development in Arabidopsis. Int. J. Mol. Sci. 2018, 19, 3135. [Google Scholar] [CrossRef] [PubMed] [PubMed Central]
- Monfared, M.M.; Simon, M.K.; Meister, R.J.; Roig-Villanova, I.; Kooiker, M.; Colombo, L.; Fletcher, J.C.; Gasser, C.S. Overlapping and antagonistic activities of BASIC PENTACYSTEINE genes affect a range of developmental processes in Arabidopsis. Plant J. 2011, 66, 1020–1031. [Google Scholar] [CrossRef] [PubMed]
- Gong, R.; Cao, H.; Zhang, J.; Xie, K.; Wang, D.; Yu, S. Divergent functions of the GAGA-binding transcription factor family in rice. Plant J. 2018, 94, 32–47. [Google Scholar] [CrossRef] [PubMed]
- Li, S.; Miao, L.; Huang, B.; Gao, L.; He, C.; Yan, Y.; Wang, J.; Yu, X.; Li, Y. Genome-Wide Identification and Characterization of Cucumber BPC Transcription Factors and Their Responses to Abiotic Stresses and Exogenous Phytohormones. Int. J. Mol. Sci. 2019, 20, 5048. [Google Scholar] [CrossRef] [PubMed] [PubMed Central]
- Lloret, A.; Quesada-Traver, C.; Conejero, A.; Arbona, V.; Gómez-Mena, C.; Petri, C.; Sánchez-Navarro, J.A.; Zuriaga, E.; Leida, C.; Badenes, M.L.; et al. Regulatory circuits involving bud dormancy factor PpeDAM6. Hortic. Res. 2021, 8, 261. [Google Scholar] [CrossRef] [PubMed] [PubMed Central]
- Ma, X.; Yu, Y.; Hu, Z.; Huang, H.; Li, S.; Yin, H. Characterizations of a Class-I BASIC PENTACYSTEINE Gene Reveal Conserved Roles in the Transcriptional Repression of Genes Involved in Seed Development. Curr. Issues Mol. Biol. 2022, 44, 4059–4069. [Google Scholar] [CrossRef] [PubMed] [PubMed Central]
- Simonini, S.; Kater, M.M. Class I BASIC PENTACYSTEINE factors regulate HOMEOBOX genes involved in meristem size maintenance. J. Exp. Bot. 2014, 65, 1455–1465. [Google Scholar] [CrossRef] [PubMed] [PubMed Central]
- Li, Q.; Wang, M.; Fang, L. BASIC PENTACYSTEINE2 negatively regulates osmotic stress tolerance by modulating LEA4-5 expression in Arabidopsis thaliana. Plant Physiol. Biochem. 2021, 168, 373–380. [Google Scholar] [CrossRef] [PubMed]
- Petrella, R.; Caselli, F.; Roig-Villanova, I.; Vignati, V.; Chiara, M.; Ezquer, I.; Tadini, L.; Kater, M.M.; Gregis, V. BPC transcription factors and a Polycomb Group protein confine the expression of the ovule identity gene SEEDSTICK in Arabidopsis. Plant J. 2020, 102, 582–599. [Google Scholar] [CrossRef] [PubMed]
- Yan, J.; Liu, Y.; Yang, L.; He, H.; Huang, Y.; Fang, L.; Scheller, H.V.; Jiang, M.; Zhang, A. Cell wall β-1,4-galactan regulated by the BPC1/BPC2-GALS1 module aggravates salt sensitivity in Arabidopsis thaliana. Mol. Plant 2021, 14, 411–425. [Google Scholar] [CrossRef] [PubMed]
- Wang, X.; Wang, H.; Wang, J.; Sun, R.; Wu, J.; Liu, S.; Bai, Y.; Mun, J.-H.; Bancroft, I.; Cheng, F.; et al. The genome of the mesopolyploid crop species Brassica rapa. Nat. Genet. 2011, 43, 1035–1039. [Google Scholar] [CrossRef] [PubMed]
- Chalhoub, B.; Denoeud, F.; Liu, S.; Parkin, I.A.P.; Tang, H.; Wang, X.; Chiquet, J.; Belcram, H.; Tong, C.; Samans, B.; et al. Early allopolyploid evolution in the post-Neolithic Brassica napus oilseed genome. Science 2014, 345, 950–953. [Google Scholar] [CrossRef] [PubMed]
- Liu, S.; Liu, Y.; Yang, X.; Tong, C.; Edwards, D.; Parkin, I.A.P.; Zhao, M.; Ma, J.; Yu, J.; Huang, S.; et al. The Brassica oleracea genome reveals the asymmetrical evolution of polyploid genomes. Nat. Commun. 2014, 5, 3930. [Google Scholar] [CrossRef] [PubMed]
- Ebadi, M.; Bafort, Q.; Mizrachi, E.; Audenaert, P.; Simoens, P.; Van Montagu, M.; Bonte, D.; Van de Peer, Y. The duplication of genomes and genetic networks and its potential for evolutionary adaptation and survival during environmental turmoil. Proc. Natl. Acad. Sci. USA 2023, 120, e2307289120. [Google Scholar] [CrossRef] [PubMed] [PubMed Central]
- Cheng, F.; Liu, S.; Wu, J.; Fang, L.; Sun, S.; Liu, B.; Li, P.; Hua, W.; Wang, X. BRAD, the genetics and genomics database for Brassica plants. BMC Plant Biol. 2011, 11, 136. [Google Scholar] [CrossRef]
- Reiser, L.; Subramaniam, S.; Li, D.; Huala, E. Using the Arabidopsis information resource (TAIR) to find information about Arabidopsis genes. Curr. Protoc. Bioinform. 2017, 60, e574. [Google Scholar] [CrossRef]
- Wang, L.; Zhao, Z.; Li, H.; Pei, D.; Huang, Z.; Wang, H.; Xiao, L. Genome-Wide Identification of NDPK Family Genes and Expression Analysis under Abiotic Stress in Brassica napus. Int. J. Mol. Sci. 2024, 25, 6795. [Google Scholar] [CrossRef] [PubMed] [PubMed Central]
- Wang, L.; Zhao, Z.; Li, H.; Pei, D.; Ma, Q.; Huang, Z.; Wang, H.; Xiao, L. Genome-Wide Identification and Molecular Evolutionary History of the Whirly Family Genes in Brassica napus. Plants 2024, 13, 2243. [Google Scholar] [CrossRef] [PubMed] [PubMed Central]
- El-Gebali, S.; Mistry, J.; Bateman, A.; Eddy, S.R.; Luciani, A.; Potter, S.C.; Qureshi, M.; Richardson, L.J.; Salazar, G.A.; Smart, A.; et al. The Pfam protein families database in 2019. Nucleic Acids Res. 2019, 47, D427–D432. [Google Scholar] [CrossRef]
- Potter, S.C.; Luciani, A.; Eddy, S.R.; Park, Y.; Lopez, R.; Finn, R.D. HMMER web server: 2018 update. Nucleic Acids Res. 2018, 46, W200–W204. [Google Scholar] [CrossRef] [PubMed] [PubMed Central]
- Letunic, I.; Khedkar, S.; Bork, P. SMART: Recent updates, new developments and status in 2020. Nucleic Acids Res. 2021, 49, D458–D460. [Google Scholar] [CrossRef] [PubMed] [PubMed Central]
- Marchler-Bauer, A.; Bo, Y.; Han, L.; He, J.; Lanczycki, C.J.; Lu, S.; Chitsaz, F.; Derbyshire, M.K.; Geer, R.C.; Gonzales, N.R.; et al. CDD/SPARCLE: Functional classification of proteins via subfamily domain architectures. Nucleic Acids Res. 2017, 45, D200–D203. [Google Scholar] [CrossRef] [PubMed]
- Artimo, P.; Jonnalagedda, M.; Arnold, K.; Baratin, D.; Csardi, G.; de Castro, E.; Duvaud, S.; Flegel, V.; Fortier, A.; Gasteiger, E.; et al. ExPASy: SIB bioinformatics resource portal. Nucleic Acids Res. 2012, 40, W597–W603. [Google Scholar] [CrossRef] [PubMed]
- Horton, P.; Park, K.J.; Obayashi, T.; Fujita, N.; Harada, H.; Adams-Collier, C.J.; Nakai, K. WoLF PSORT: Protein localization predictor. Nucleic Acids Res. 2007, 35, W585–W587. [Google Scholar] [CrossRef]
- Chao, J.; Li, Z.; Sun, Y.; Aluko, O.O.; Wu, X.; Wang, Q.; Liu, G. MG2C: A user-friendly online tool for drawing genetic maps. Mol. Hortic. 2021, 1, 16. [Google Scholar] [CrossRef] [PubMed] [PubMed Central]
- Kumar, S.; Stecher, G.; Li, M.; Knyaz, C.; Tamura, K. MEGA X: Molecular evolutionary genetics analysis across computing platforms. Mol. Biol. Evol. 2018, 35, 1547–1549. [Google Scholar] [CrossRef]
- Wang, Y.; Tang, H.; Debarry, J.D.; Tan, X.; Li, J.; Wang, X.; Lee, T.-H.; Jin, H.; Marler, B.; Guo, H.; et al. MCScanX: A toolkit for detection and evolutionary analysis of gene synteny and collinearity. Nucleic Acids Res. 2012, 40, e49. [Google Scholar] [CrossRef]
- Chen, C.; Chen, H.; Zhang, Y.; Thomas, H.R.; Frank, M.H.; He, Y.; Xia, R. TBtools: An integrative toolkit developed for interactive analyses of big biological data. Mol. Plant 2020, 13, 1194–1202. [Google Scholar] [CrossRef]
- Lescot, M.; Déhais, P.; Thijs, G.; Marchal, K.; Moreau, Y.; Van de Peer, Y.; Rouzé, P.; Rombauts, S. PlantCARE, a database of plant cis-acting regulatory elements and a portal to tools for in silico analysis of promoter sequences. Nucleic Acids Res. 2002, 30, 325–327. [Google Scholar] [CrossRef]
- Cantalapiedra, C.P.; Hernández-Plaza, A.; Letunic, I.; Bork, P.; Huerta-Cepas, J. eggNOG-mapper v2: Functional Annotation, Orthology Assignments, and Domain Prediction at the Metagenomic Scale. Mol. Biol. Evol. 2021, 38, 5825–5829. [Google Scholar] [CrossRef] [PubMed] [PubMed Central]
- Liu, D.; Yu, L.; Wei, L.; Yu, P.; Wang, J.; Zhao, H.; Zhang, Y.; Zhang, S.; Yang, Z.; Chen, G.; et al. BnTIR: An online transcriptome platform for exploring RNA-seq libraries for oil crop Brassica napus. Plant Biotechnol. J. 2021, 19, 1895–1897. [Google Scholar] [CrossRef] [PubMed]
- Lynch, M.; Conery, J.S. The evolutionary fate and consequences of duplicate genes. Science 2000, 290, 1151–1155. [Google Scholar] [CrossRef] [PubMed]
- Zhang, Z.; Li, J.; Zhao, X.Q.; Wang, J.; Wong, G.K.; Yu, J. KaKs_Calculator: Calculating Ka and Ks through model selection and model averaging. Genom. Proteom. Bioinform. 2006, 4, 259–263. [Google Scholar] [CrossRef] [PubMed] [PubMed Central]
- Blake-Mahmud, J.; Sessa, E.B.; Visger, C.J.; Watkins, J.E., Jr. Polyploidy and environmental stress response: A comparative study of fern gametophytes. New Phytol. 2024. Epub ahead of print. [Google Scholar] [CrossRef] [PubMed]













| Gene Name | Gene ID | Chromosome | Number of Amino Acids (aa) | Molecular Weight (Da) | Isoelectric Point (pI) | Instability Index | GRAVY | Subcellular Localization | Orthologous Gene |
|---|---|---|---|---|---|---|---|---|---|
| BnBBR-BPC1 | BnaA01G0002800ZS | A01 | 287 | 32,212.38 | 9.44 | 55.38 | −0.819 | nucleus | AT4G38910 |
| BnBBR-BPC2 | BnaA02G0171100ZS | A02 | 308 | 34,783.84 | 9.58 | 49.55 | −0.605 | nucleus | AT1G68120 |
| BnBBR-BPC3 | BnaA03G0169700ZS | A03 | 270 | 29,757.7 | 9.92 | 52.33 | −0.375 | nucleus | AT2G35550 |
| BnBBR-BPC4 | BnaA04G0017300ZS | A04 | 305 | 34,288.76 | 9.35 | 59.04 | −0.922 | nucleus | AT5G42520 |
| BnBBR-BPC5 | BnaA04G0137800ZS | A04 | 286 | 31,885.16 | 9.17 | 34.87 | −0.699 | nucleus | AT2G21240 |
| BnBBR-BPC6 | BnaA06G0096700ZS | A06 | 570 | 65,234.18 | 8.66 | 55.78 | −0.791 | nucleus | AT1G14685 |
| BnBBR-BPC7 | BnaA06G0450000ZS | A06 | 269 | 30,325.61 | 9.27 | 56.31 | −0.842 | nucleus | AT4G38910 |
| BnBBR-BPC8 | BnaA07G0211100ZS | A07 | 341 | 38,028.13 | 9.28 | 52.71 | −0.859 | nucleus | AT5G42520 |
| BnBBR-BPC9 | BnaA08G0198900ZS | A08 | 284 | 31,838.19 | 9.29 | 54.63 | −0.866 | nucleus | AT4G38910 |
| BnBBR-BPC10 | BnaA08G0270900ZS | A08 | 273 | 30,490.56 | 9.51 | 57.73 | −0.840 | nucleus | AT1G14685 |
| BnBBR-BPC11 | BnaA09G0548200ZS | A09 | 316 | 35,778.63 | 9.47 | 50.79 | −0.876 | nucleus | AT5G42520 |
| BnBBR-BPC12 | BnaA09G0631800ZS | A09 | 279 | 31,216.44 | 9.65 | 53.63 | −0.853 | nucleus | AT1G14685 |
| BnBBR-BPC13 | BnaC01G0002300ZS | C01 | 282 | 31,760.9 | 9.46 | 52.04 | −0.828 | nucleus | AT4G38910 |
| BnBBR-BPC14 | BnaC02G0219700ZS | C02 | 370 | 41,534.44 | 9.55 | 52.48 | −0.561 | nucleus | AT1G68120 |
| BnBBR-BPC15 | BnaC03G0196600ZS | C03 | 229 | 25,501.36 | 9.75 | 58.04 | −0.601 | nucleus | AT2G35550 |
| BnBBR-BPC16 | BnaC03G0671500ZS | C03 | 279 | 31,413.76 | 9.4 | 55.93 | −0.861 | nucleus | AT4G38910 |
| BnBBR-BPC17 | BnaC04G0278000ZS | C04 | 315 | 35,646.12 | 9.25 | 51.23 | −0.979 | nucleus | AT5G42520 |
| BnBBR-BPC18 | BnaC04G0428300ZS | C04 | 284 | 31,618.83 | 9.05 | 37.51 | −0.708 | nucleus | AT2G21240 |
| BnBBR-BPC19 | BnaC05G0118800ZS | C05 | 569 | 65,338.51 | 8.92 | 57.3 | −0.764 | nucleus | AT1G14685 |
| BnBBR-BPC20 | BnaC06G0222600ZS | C06 | 340 | 38,057.17 | 9.2 | 52.3 | −0.869 | nucleus | AT5G42520 |
| BnBBR-BPC21 | BnaC07G0547100ZS | C07 | 269 | 30,443.6 | 9.26 | 58.41 | −0.863 | nucleus | AT4G38910 |
| BnBBR-BPC22 | BnaC08G0230300ZS | C08 | 271 | 30,205.25 | 9.51 | 54.96 | −0.845 | nucleus | AT1G14685 |
| BnBBR-BPC23 | BnaC08G0394500ZS | C08 | 300 | 33,903.27 | 9.51 | 57.66 | −1.010 | nucleus | AT5G42520 |
| BnBBR-BPC24 | BnaC08G0454400ZS | C08 | 134 | 14,968.89 | 10.46 | 26.5 | −0.753 | cytoplasm | AT2G21240 |
| BnBBR-BPC25 | BnaC08G0489500ZS | C08 | 279 | 31,200.44 | 9.65 | 52.14 | −0.837 | nucleus | AT1G14685 |
Disclaimer/Publisher’s Note: The statements, opinions and data contained in all publications are solely those of the individual author(s) and contributor(s) and not of MDPI and/or the editor(s). MDPI and/or the editor(s) disclaim responsibility for any injury to people or property resulting from any ideas, methods, instructions or products referred to in the content. |
© 2024 by the authors. Licensee MDPI, Basel, Switzerland. This article is an open access article distributed under the terms and conditions of the Creative Commons Attribution (CC BY) license (https://creativecommons.org/licenses/by/4.0/).
Share and Cite
Wang, L.; Chen, W.; Zhao, Z.; Li, H.; Pei, D.; Huang, Z.; Wang, H.; Xiao, L. Genome-Wide Identification, Conservation, and Expression Pattern Analyses of the BBR-BPC Gene Family Under Abiotic Stress in Brassica napus L. Genes 2025, 16, 36. https://doi.org/10.3390/genes16010036
Wang L, Chen W, Zhao Z, Li H, Pei D, Huang Z, Wang H, Xiao L. Genome-Wide Identification, Conservation, and Expression Pattern Analyses of the BBR-BPC Gene Family Under Abiotic Stress in Brassica napus L. Genes. 2025; 16(1):36. https://doi.org/10.3390/genes16010036
Chicago/Turabian StyleWang, Long, Wei Chen, Zhi Zhao, Huaxin Li, Damei Pei, Zhen Huang, Hongyan Wang, and Lu Xiao. 2025. "Genome-Wide Identification, Conservation, and Expression Pattern Analyses of the BBR-BPC Gene Family Under Abiotic Stress in Brassica napus L." Genes 16, no. 1: 36. https://doi.org/10.3390/genes16010036
APA StyleWang, L., Chen, W., Zhao, Z., Li, H., Pei, D., Huang, Z., Wang, H., & Xiao, L. (2025). Genome-Wide Identification, Conservation, and Expression Pattern Analyses of the BBR-BPC Gene Family Under Abiotic Stress in Brassica napus L. Genes, 16(1), 36. https://doi.org/10.3390/genes16010036

