Global MicroRNA Expression Profiling of Buffalo (Bubalus bubalis) Embryos at Different Developmental Stages Produced by Somatic Cell Nuclear Transfer and In-Vitro Fertilization Using RNA Sequencing
Abstract
1. Introduction
2. Materials and Methods
2.1. Production of Pre-Implantation Embryos by Hand-Made Cloning (HMC)
2.2. Production of Pre-Implantation Embryos by IVF
2.3. Extraction of Total RNA for Small-RNA Sequencing
2.4. cDNA Library Preparation and Sequencing
2.5. miRNome Data Analysis
2.6. Validation of RNA-seq Data by qPCR
3. Results
3.1. miRNA Profiling in Bovine Embryos
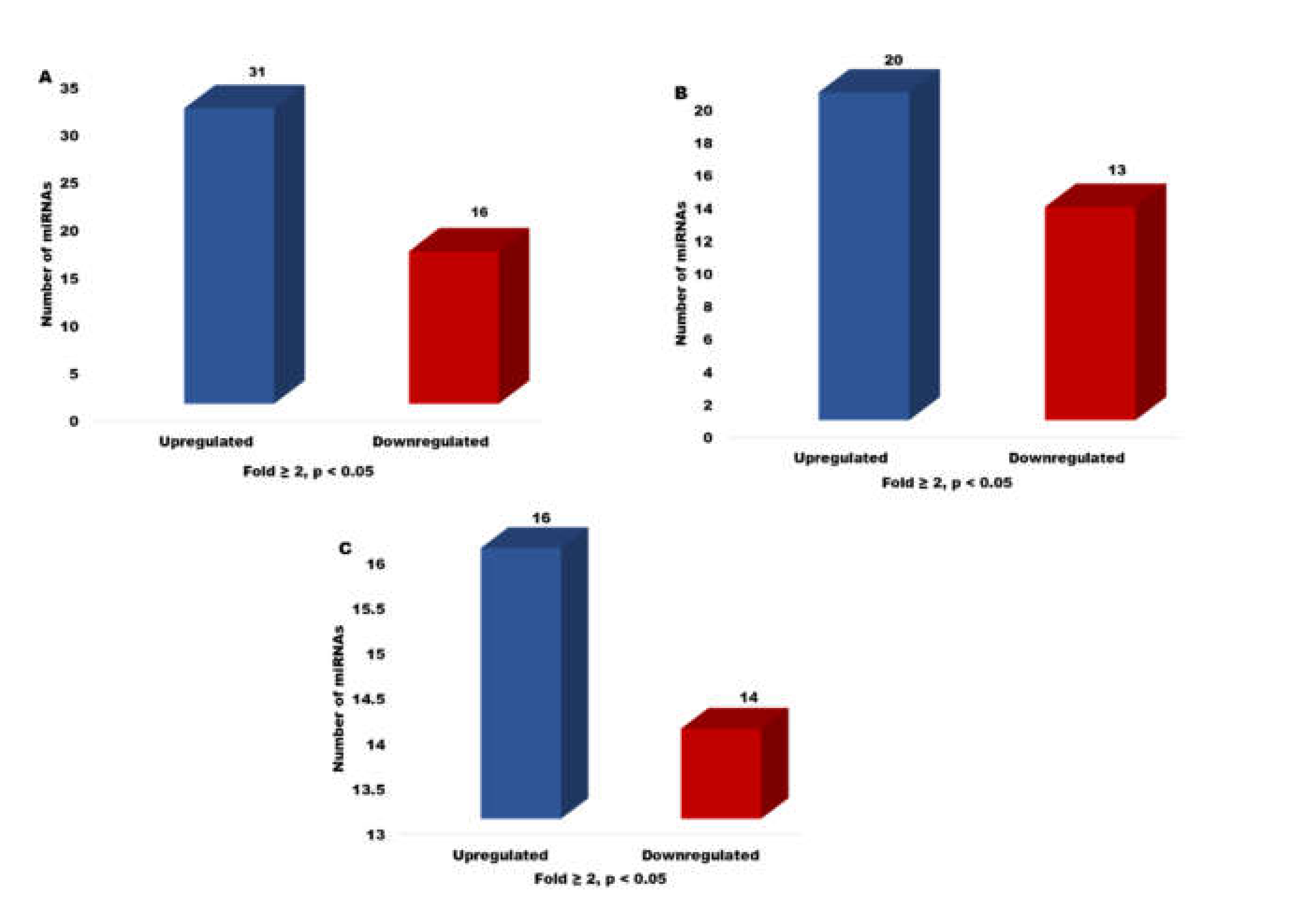
3.2. Identification of Differentially Expressed miRNAs in Pre-Implantation Embryos
3.3. Identification of Commonly and Uniquely Expressed miRNAs
3.4. Gene Ontology and KEGG Analysis of Cloned vs. IVF Preimplantation Embryos
3.5. Pathway Identification and Network Analysis
3.6. Validation of RNA-seq Data
4. Discussion
Supplementary Materials
Author Contributions
Funding
Institutional Review Board Statement
Informed Consent Statement
Data Availability Statement
Acknowledgments
Conflicts of Interest
Ethics Approval
References
- Niemann, H.; Lucas-Hahn, A. Somatic cell nuclear transfer cloning: Practical applications and current legislation. Reprod. Domest. Anim. 2012, 47, 2–10. [Google Scholar] [CrossRef] [PubMed]
- Lagutina, I.; Fulka, H.; Lazzari, G.; Galli, C. Interspecies somatic cell nuclear transfer: Advancements and problems. Cell. Reprogram. 2013, 15, 374–384. [Google Scholar] [CrossRef] [PubMed]
- Loi, P.; Modlinski, J.A.; Ptak, G. Interspecies somatic cell nuclear transfer: A salvage tool seeking first aid. Theriogenology 2011, 76, 217–228. [Google Scholar] [CrossRef] [PubMed]
- Wilmut, I.; Schnieke, A.E.; McWhir, J.; Kind, A.J.; Campbell, K.H. Viable offspring derived from fetal and adult mammalian cells. Nature 1997, 385, 810–813. [Google Scholar] [CrossRef]
- Czernik, M.; Anzalone, D.A.; Palazzese, L.; Oikawa, M.; Loi, P. Somatic cell nuclear transfer: Failures, successes and the challenges ahead. Int. J. Dev. Biol. 2019, 63, 123–130. [Google Scholar] [CrossRef]
- Keefer, C.L. Artificial cloning of domestic animals. Proc. Natl. Acad. Sci. USA 2015, 112, 8874–8878. [Google Scholar] [CrossRef]
- Loi, P.; Iuso, D.; Czernik, M.; Ogura, A. A new, dynamic era for somatic cell nuclear transfer? Trends Biotechnol. 2016, 34, 791–797. [Google Scholar] [CrossRef]
- Ogura, A.; Inoue, K.; Wakayama, T. Recent advancements in cloning by somatic cell nuclear transfer. Philos. Trans. R. Soc. Lond. B Biol. Sci. 2013, 368, 20110329. [Google Scholar] [CrossRef]
- Campbell, K.H.; Fisher, P.; Chen, W.C.; Choi, I.; Kelly, R.D.; Lee, J.H.; Xhu, J. Somatic cell nuclear transfer: Past, present and future perspectives. Theriogenology 2007, 68, S214–S231. [Google Scholar] [CrossRef]
- Akagi, S.; Geshi, M.; Nagai, T. Recent progress in bovine somatic cell nuclear transfer. Ani. Sci. J. 2013, 84, 191–199. [Google Scholar] [CrossRef]
- Panarace, M.; Agüero, J.I.; Garrote, M.; Jauregui, G.; Segovia, A.; Cane, L.; Gutierrez, J.; Marfil, M.; Rigali, F.; Pugliese, M.; et al. How healthy are clones and their progeny: 5 years of field experience. Theriogenology 2007, 67, 142–151. [Google Scholar] [CrossRef] [PubMed]
- Rodriguez-Osorio, N.; Urrego, R.; Cibelli, J.B.; Eilertsen, K.; Memili, E. Reprogramming mammalian somatic cells. Theriogenology 2012, 78, 1869–1886. [Google Scholar] [CrossRef] [PubMed]
- Niemann, H. Epigenetic reprogramming in mammalian species after SCNT-based cloning. Theriogenology 2016, 86, 80–90. [Google Scholar] [CrossRef]
- Niemann, H.; Tian, X.C.; King, W.A.; Lee, R.S. Focus on Mammalian Embryo genomics Epigenetic reprogramming in embryonic and fetal development upon somatic cell nuclear transfer cloning. Reproduction 2008, 135, 151–163. [Google Scholar] [CrossRef]
- Bartel, D.P. MicroRNAs: Target recognition and regulatory functions. Cell 2009, 136, 215–233. [Google Scholar] [CrossRef] [PubMed]
- Denis, H.; Ndlovu, M.N.; Fuks, F. Regulation of mammalian DNA methyltransferases: A route to new mechanisms. EMBO Rep. 2011, 12, 647–656. [Google Scholar] [CrossRef] [PubMed]
- Memari, F.; Joneidi, Z.; Taheri, B.; Aval, S.F.; Roointan, A.; Zarghami, N. Epigenetics and Epi-miRNAs: Potential markers/therapeutics in leukemia. Biomed. Pharmacother. 2018, 106, 1668–1677. [Google Scholar] [CrossRef] [PubMed]
- Onder, T.T.; Daley, G.Q. microRNAs become macro players in somatic cell reprogramming. Genome Med. 2011, 3, 40. [Google Scholar] [CrossRef]
- Kaneda, M.; Tang, F.; O’Carroll, D.; Lao, K.; Surani, M.A. Essential role for Argonaute2 protein in mouse oogenesis. Epigenetics Chromatin 2009, 2, 9. [Google Scholar] [CrossRef]
- Hayashi, K.; de Sousa Lopes, S.M.C.; Kaneda, M.; Tang, F.; Hajkova, P.; Lao, K.; O’Carroll, D.; Das, P.P.; Tarakhovsky, A.; Miska, E.A.; et al. MicroRNA biogenesis is required for mouse primordial germ cell development and spermatogenesis. PLoS ONE 2008, 3, e1738. [Google Scholar] [CrossRef]
- McCallie, B.; Schoolcraft, W.B.; Katz-Jaffe, M.G. Aberration of blastocyst microRNA expression is associated with human infertility. Fertil. Steril. 2010, 93, 2374–2382. [Google Scholar] [CrossRef] [PubMed]
- Rosenbluth, E.M.; Shelton, D.N.; Sparks, A.E.; Devor, E.; Christenson, L.; Van Voorhis, B.J. MicroRNA expression in the human blastocyst. Fertil. Steril. 2013, 99, 855–861. [Google Scholar] [CrossRef] [PubMed]
- Yang, Y.; Bai, W.; Zhang, L.; Yin, G.; Wang, X.; Wang, J.; Zhao, H.; Han, Y.; Yao, Y.Q. Determination of microRNAs in mouse preimplantation embryos by microarray. Dev. Dyn. 2008, 237, 2315–2327. [Google Scholar] [CrossRef] [PubMed]
- Tesfaye, D.; Worku, D.; Rings, F.; Phatsara, C.; Tholen, E.; Schellander, K.; Hoelker, M. Identification and expression profiling of microRNAs during bovine oocyte maturation using heterologous approach. Mol. Reprod. Dev. 2009, 76, 665–677. [Google Scholar] [CrossRef] [PubMed]
- Tang, F.; Kaneda, M.; O’Carroll, D.; Hajkova, P.; Barton, S.C.; Sun, Y.A.; Lee, C.; Tarakhovsky, A.; Lao, K.; Surani, M.A. Maternal microRNAs are essential for mouse zygotic development. Genes Dev. 2007, 21, 644–648. [Google Scholar] [CrossRef]
- Murchison, E.P.; Partridge, J.F.; Tam, O.H.; Cheloufi, S.; Hannon, G.J. Characterization of Dicer-deficient murine embryonic stem cells. Proc. Natl. Acad. Sci. USA 2005, 102, 12135–12140. [Google Scholar] [CrossRef]
- Gilchrist, G.C.; Tscherner, A.; Nalpathamkalam, T.; Merico, D.; LaMarre, J. MicroRNA expression during bovine oocyte maturation and fertilization. Int. J. Mol. Sci. 2016, 17, 396. [Google Scholar] [CrossRef]
- Coutinho, L.L.; Matukumalli, L.K.; Sonstegard, T.S.; Van Tassell, C.P.; Gasbarre, L.C.; Capuco, A.V.; Smith, T.P. Discovery and profiling of bovine microRNAs from immune-related and embryonic tissues. Physiol. Genom. 2007, 29, 35–43. [Google Scholar] [CrossRef]
- Hossain, M.M.; Salilew-Wondim, D.; Schellander, K.; Tesfaye, D. The role of microRNAs in mammalian oocytes and embryos. Anim. Reprod. Sci. 2012, 134, 36–44. [Google Scholar] [CrossRef]
- Mineno, J.; Okamoto, S.; Ando, T.; Sato, M.; Chono, H.; Izu, H.; Takayama, M.; Asada, K.; Mirochnitchenko, O.; Inouye, M.; et al. The expression profile of microRNAs in mouse embryos. Nucleic Acids Res. 2006, 34, 1765–1771. [Google Scholar] [CrossRef]
- Mondou, E.; Dufort, I.; Gohin, M.; Fournier, E.; Sirard, M.A. Analysis of microRNAs and their precursors in bovine early embryonic development. Mol. Hum. Reprod. 2012, 18, 425–434. [Google Scholar] [CrossRef] [PubMed]
- Qi, L.; Hongjuan, H.; Ning, G.; Zhengbin, H.; Yanjiang, X.; Tiebo, Z.; Zhijun, H.; Qiong, W. miR-370 is stage-specifically expressed during mouse embryonic development and regulates Dnmt3a. FEBS Lett. 2013, 587, 775–781. [Google Scholar] [CrossRef] [PubMed]
- Tripurani, S.K.; Lee, K.B.; Wee, G.; Smith, G.W.; Yao, J. MicroRNA-196a regulates bovine newborn ovary homeobox gene (NOBOX) expression during early embryogenesis. BMC Dev. Biol. 2011, 11, 70. [Google Scholar] [CrossRef] [PubMed]
- Tripurani, S.K.; Wee, G.; Lee, K.B.; Smith, G.W.; Wang, L. MicroRNA-212 post-transcriptionally regulates oocyte-specific basic-helix-loop-helix transcription factor, factor in the germline α (FIGLA), during bovine early embryogenesis. PLoS ONE 2013, 8, e76114. [Google Scholar] [CrossRef] [PubMed]
- Castro, F.O.; Sharbati, S.; Rodriguez-Alvarez, L.L.; Cox, J.F.; Hultschig, C.; Einspanier, R. MicroRNA expression profiling of elongated cloned and in vitro–fertilized bovine embryos. Theriogenology 2010, 73, 71–85. [Google Scholar] [CrossRef]
- Selokar, N.L.; Saini, M.; Palta, P.; Chauhan, M.S.; Manik, R.; Singla, S.K. Hope for restoration of dead valuable bulls through cloning using donor somatic cells isolated from cryopreserved semen. PLoS ONE 2004, 9, e90755. [Google Scholar] [CrossRef][Green Version]
- Selokar, N.L.; Saini, M.; Muzaffer, M.; Krishnakanth, G.; Saha, A.P.; Chauhan, M.S.; Manik, R.S.; Palta, P.; Madan, P.; Singla, S.K. Roscovitine treatment improves synchronization of donor cell cycle in G0/G1 stage and in vitro development of handmade cloned buffalo (Bubalus bubalis) embryos. Cell. Reprogram. 2012, 14, 146–154. [Google Scholar] [CrossRef]
- Selokar, N.L.; Shah, R.A.; Saha, A.P.; Muzaffar, M.; Saini, M.; Chauhan, M.S.; Manik, R.S.; Palta, P.; Singla, S.K. Effect of post-fusion holding time, orientation and position of somatic cell-cytoplasts during electrofusion on the development of handmade cloned embryos in buffalo (Bubalus bubalis). Theriogenology 2012, 78, 930–936. [Google Scholar] [CrossRef]
- Sah, R.; Shyam, S.; Singh, M.K.; Palta, P. Treatment of buffalo (Bubalus bubalis) SCNT embryos with microRNA-21 mimic improves their quality and alters gene expression but does not affect their developmental competence. Theriogenology 2019, 126, 8–16. [Google Scholar] [CrossRef]
- Cuthbert, J.M.; Russell, S.J.; Polejaeva, I.A.; Meng, Q.; White, K.L.; Benninghoff, A.D. Dynamics of small non-coding RNAs in bovine scNT embryos through the maternal-to-embryonic transition. Biol. Reprod. 2021, 105, 918–933. [Google Scholar] [CrossRef]
- Lingenfelter, B.M.; Tripurani, S.K.; Tejomurtula, J.; Smith, G.W.; Yao, J.B. Molecular cloning and expression of bovine nucleoplasmin 2 (NPM2): A maternal effect gene regulated by miR-181a. Reprod. Biol. Endocrinol. 2011, 9, 9–40. [Google Scholar] [CrossRef] [PubMed]
- Nance, J. Getting to know your neighbor: Cell polarization in early embryos. J. Cell Biol. 2014, 206, 823–832. [Google Scholar] [CrossRef] [PubMed]
- Sonderegger, S.; Pollheimer, J.; Knöfler, M. Wnt signalling in implantation, decidualisation and placental differentiation–review. Placenta 2010, 31, 839–847. [Google Scholar] [CrossRef]
- Chen, Q.; Zhang, Y.; Lu, J.; Wang, Q.; Wang, S.; Cao, Y.; Wang, H.; Duan, E. Embryo–uterine cross-talk during implantation: The role of Wnt signaling. MHR Basic Sci. Reprod. Med. 2009, 15, 215–221. [Google Scholar] [CrossRef]
- Cheng, Y.; Kawamura, K.; Takae, S.; Deguchi, M.; Yang, Q.; Kuo, C.; Hsueh, A.J. Oocyte-derived R-spondin2 promotes ovarian follicle development. FASEB J. 2013, 27, 2175–2184. [Google Scholar] [CrossRef]
- Kofron, M.; Birsoy, B.; Houston, D.; Tao, Q.; Wylie, C.; Heasman, J. Wnt11/β-catenin signaling in both oocytes and early embryos acts through LRP6-mediated regulation of axin. Development 2007, 134, 503–513. [Google Scholar] [CrossRef] [PubMed]
- Denicol, A.C.; Dobbs, K.B.; McLean, K.M.; Carambula, S.F.; Loureiro, B.; Hansen, P.J. Canonical WNT signaling regulates development of bovine embryos to the blastocyst stage. Sci. Rep. 2013, 3, 1266. [Google Scholar] [CrossRef] [PubMed]
- Xie, H.; Tranguch, S.; Jia, X.; Zhang, H.; Das, S.K.; Dey, S.; Kuo, C.J.; Wang, H. Inactivation of nuclear Wnt-β-catenin signaling limits blastocyst competency for implantation. Development 2008, 135, 717–727. [Google Scholar] [CrossRef] [PubMed]
- Feng, R.; Sang, Q.; Zhu, Y.; Fu, W.; Liu, M.; Xu, Y.; Shi, H.; Xu, Y.; Qu, R.; Chai, R.; et al. MiRNA-320 in the human follicular fluid is associated with embryo quality in vivo and affects mouse embryonic development in vitro. Sci. Rep. 2015, 5, 8689. [Google Scholar] [CrossRef]
- Sood, T.J.; Lagah, S.V.; Mukesh, M.; Singla, S.K.; Chauhan, M.S.; Manik, R.S.; Palta, P. RNA sequencing and transcriptome analysis of buffalo (Bubalus bubalis) blastocysts produced by somatic cell nuclear transfer and in vitro fertilization. Mol. Reprod. Dev. 2019, 86, 1149–1167. [Google Scholar] [CrossRef]
- Shyam, S.; Goel, P.; Kumar, D.; Malpotra, S.; Singh, M.K.; Lathwal, S.S.; Chand, S.; Palta, P. Effect of Dickkopf-1 and colony stimulating factor-2 on the developmental competence, quality, gene expression and live birth rate of buffalo (Bubalus bubalis) embryos produced by hand-made cloning. Theriogenology 2020, 157, 254–262. [Google Scholar] [CrossRef] [PubMed]









| Parameter | Total Number of Reads | Distinct Number of Reads | Aligned Reads (%) | Unaligned Reads (%) | Maximum Read Length |
|---|---|---|---|---|---|
| 2CC-1 | 17,307,418 | 232,369 | 79.67 | 20.33 | 50 |
| 2CC-2 | 15,731,948 | 227,625 | 79.82 | 20.18 | 50 |
| 2CC-3 | 16,309,020 | 392,869 | 81.38 | 18.62 | 50 |
| 2CI-1 | 13,422,098 | 314,645 | 83.54 | 16.46 | 50 |
| 2CI-2 | 12,758,526 | 311,976 | 83.66 | 16.34 | 50 |
| 2CI-3 | 11,893,184 | 225,993 | 85.40 | 14.60 | 50 |
| 8CC-1 | 17,409,668 | 364,676 | 81.35 | 18.65 | 50 |
| 8CC-2 | 12,483,044 | 331,093 | 82.16 | 17.84 | 50 |
| 8CC-3 | 14,840,784 | 351,968 | 81.80 | 18.20 | 50 |
| 8CI-1 | 13,822,944 | 234,722 | 83.31 | 16.69 | 50 |
| 8CI-2 | 13,308,848 | 237,288 | 83.49 | 16.51 | 50 |
| 8CI-3 | 15,839,750 | 366,705 | 83.71 | 16.29 | 50 |
| BL-1 | 12,608,590 | 285,577 | 85.59 | 14.41 | 50 |
| BL-2 | 10,784,686 | 273,300 | 85.92 | 14.08 | 50 |
| BL-3 | 10,875,612 | 276,876 | 84.20 | 15.80 | 50 |
| BLI-1 | 12,380,724 | 250,071 | 82.35 | 17.65 | 50 |
| BLI-2 | 12,573,252 | 252,929 | 82.39 | 17.61 | 50 |
| BLI-3 | 14,146,486 | 355,853 | 83.23 | 16.77 | 50 |
| Stages | Total Genes | Annotated Genes in the Wnt Pathway | Log Fold Change | p-Value |
|---|---|---|---|---|
| 2CC-vs-2CI | 2276 | 31 (1.37%) | 1.06 | 6.97 × 10−5 |
| 8CC-vs-8CI | 1934 | 30 (1.55%) | 1.24 | 2.45 × 10−5 |
| BL-vs-BLI | 2631 | 41 (1.56%) | 1.22 | 2.37 × 10−5 |
Publisher’s Note: MDPI stays neutral with regard to jurisdictional claims in published maps and institutional affiliations. |
© 2022 by the authors. Licensee MDPI, Basel, Switzerland. This article is an open access article distributed under the terms and conditions of the Creative Commons Attribution (CC BY) license (https://creativecommons.org/licenses/by/4.0/).
Share and Cite
Goel, P.; Malpotra, S.; Shyam, S.; Kumar, D.; Singh, M.K.; Palta, P. Global MicroRNA Expression Profiling of Buffalo (Bubalus bubalis) Embryos at Different Developmental Stages Produced by Somatic Cell Nuclear Transfer and In-Vitro Fertilization Using RNA Sequencing. Genes 2022, 13, 453. https://doi.org/10.3390/genes13030453
Goel P, Malpotra S, Shyam S, Kumar D, Singh MK, Palta P. Global MicroRNA Expression Profiling of Buffalo (Bubalus bubalis) Embryos at Different Developmental Stages Produced by Somatic Cell Nuclear Transfer and In-Vitro Fertilization Using RNA Sequencing. Genes. 2022; 13(3):453. https://doi.org/10.3390/genes13030453
Chicago/Turabian StyleGoel, Pallavi, Shivani Malpotra, Songyukta Shyam, Deepak Kumar, Manoj Kumar Singh, and Prabhat Palta. 2022. "Global MicroRNA Expression Profiling of Buffalo (Bubalus bubalis) Embryos at Different Developmental Stages Produced by Somatic Cell Nuclear Transfer and In-Vitro Fertilization Using RNA Sequencing" Genes 13, no. 3: 453. https://doi.org/10.3390/genes13030453
APA StyleGoel, P., Malpotra, S., Shyam, S., Kumar, D., Singh, M. K., & Palta, P. (2022). Global MicroRNA Expression Profiling of Buffalo (Bubalus bubalis) Embryos at Different Developmental Stages Produced by Somatic Cell Nuclear Transfer and In-Vitro Fertilization Using RNA Sequencing. Genes, 13(3), 453. https://doi.org/10.3390/genes13030453

