Aging and Light Stress Result in Overlapping and Unique Gene Expression Changes in Photoreceptors
Abstract
1. Introduction
2. Materials and Methods
2.1. Fly Stocks, Husbandry, and Blue Light Stress
2.2. Retina Staining and Analysis
2.3. Nuclei Immunoprecipitation and RNA-Seq
2.4. Bioinformatics
2.5. RT-qPCR from Whole Heads
2.6. Glutathione Redox Ratios in Dissected Eyes
3. Results
3.1. Age and Blue Light Exposure Induce Global Changes in the Photoreceptor Transcriptome
3.2. Stress-Response Genes Are Upregulated upon Blue Light Exposure or Aging, While Behavioral and Neuronal-Specific Genes Are Downregulated
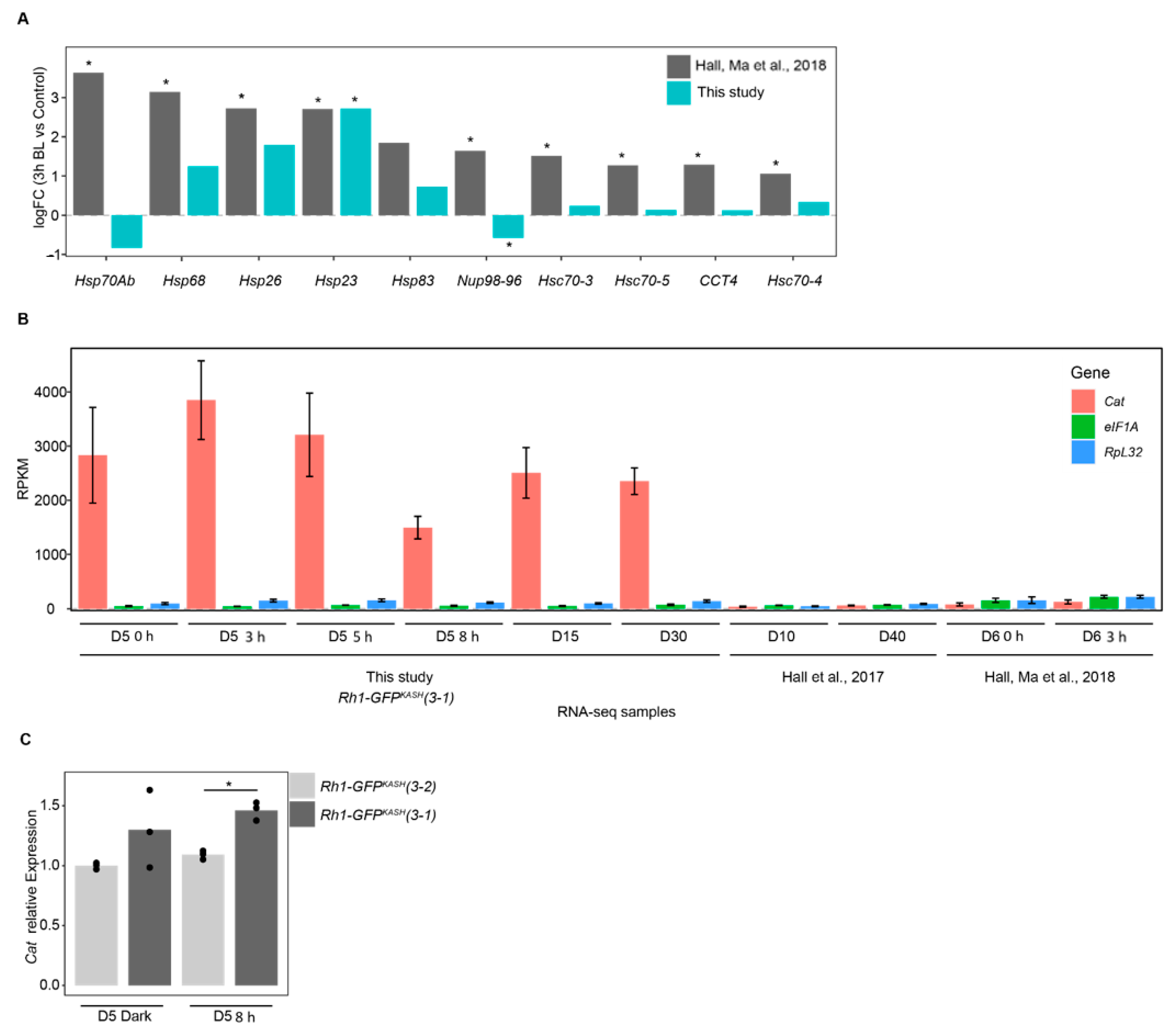
3.3. The Flies Used in This Study Are Potentially Resistant to Light Stress Due to Overexpression of Catalase in Photoreceptors
3.4. Aging and Light Stress Have Unique and Overlapping Effects on Gene Expression in Photoreceptors
3.5. Catalase Overexpression Correlates with Decreased Retinal Degeneration and Oxidative Stress Levels
4. Discussion
Supplementary Materials
Author Contributions
Funding
Institutional Review Board Statement
Data Availability Statement
Acknowledgments
Conflicts of Interest
References
- Harman, D. Aging: A Theory Based on Free Radical and Radiation Chemistry. J. Gerontol. 1956, 11, 298–300. [Google Scholar] [CrossRef] [PubMed]
- The Hallmarks of Aging. Available online: https://www.ncbi.nlm.nih.gov/pmc/articles/PMC3836174/ (accessed on 13 November 2020).
- Andersen, G.J. Aging and Vision: Changes in Function and Performance from Optics to Perception. Wiley Interdiscip. Rev. Cogn. Sci. 2012, 3, 403–410. [Google Scholar] [CrossRef] [PubMed]
- Hall, H.; Medina, P.; Cooper, D.A.; Escobedo, S.E.; Rounds, J.; Brennan, K.J.; Vincent, C.; Miura, P.; Doerge, R.; Weake, V.M. Transcriptome Profiling of Aging Drosophila Photoreceptors Reveals Gene Expression Trends That Correlate with Visual Senescence. BMC Genom. 2017, 18, 894. [Google Scholar] [CrossRef] [PubMed]
- Carbone, M.A.; Yamamoto, A.; Huang, W.; Lyman, R.A.; Meadors, T.B.; Yamamoto, R.; Anholt, R.R.H.; Mackay, T.F.C. Genetic Architecture of Natural Variation in Visual Senescence in Drosophila. Proc. Natl. Acad. Sci. USA 2016, 113, E6620–E6629. [Google Scholar] [CrossRef] [PubMed]
- Gipson, I.K. Age-Related Changes and Diseases of the Ocular Surface and Cornea. Investig. Ophthalmol. Vis. Sci. 2013, 54, ORSF48–ORSF53. [Google Scholar] [CrossRef] [PubMed]
- Spitzer, M.S.; Januschowski, K. Gesunder Glaskörper und seine Alterung. Ophthalmologe 2015, 112, 552–558. [Google Scholar] [CrossRef] [PubMed]
- Curcio, C.A.; Millican, C.L.; Allen, K.A.; Kalina, R.E. Aging of the Human Photoreceptor Mosaic: Evidence for Selective Vulnerability of Rods in Central Retina. Investig. Ophthalmol. Vis. Sci. 1993, 34, 3278–3296. [Google Scholar]
- Jackson, G.R.; Owsley, C.; Curcio, C.A. Photoreceptor Degeneration and Dysfunction in Aging and Age-Related Maculopathy. Ageing Res. Rev. 2002, 1, 381–396. [Google Scholar] [CrossRef]
- Campello, L.; Singh, N.; Advani, J.; Mondal, A.K.; Corso-Díaz, X.; Swaroop, A. Aging of the Retina: Molecular and Metabolic Turbulences and Potential Interventions. Annu. Rev. Vis. Sci. 2021, 7, 633–664. [Google Scholar] [CrossRef]
- Maylahn, C.; Gohdes, D.M.; Balamurugan, A.; Larsen, B.A. Age-Related Eye Diseases: An Emerging Challenge for Public Health Professionals. Prev. Chronic. Dis. 2005, 2, A17. [Google Scholar]
- Velilla, S.; García-Medina, J.J.; García-Layana, A.; Dolz-Marco, R.; Pons-Vázquez, S.; Pinazo-Durán, M.D.; Gómez-Ulla, F.; Arévalo, J.F.; Díaz-Llopis, M.; Gallego-Pinazo, R. Smoking and Age-Related Macular Degeneration: Review and Update. J. Ophthalmol. 2013, 2013, 895147. [Google Scholar] [CrossRef]
- Capurso, C.; Bellanti, F.; Lo Buglio, A.; Vendemiale, G. The Mediterranean Diet Slows Down the Progression of Aging and Helps to Prevent the Onset of Frailty: A Narrative Review. Nutrients 2019, 12, 35. [Google Scholar] [CrossRef]
- Rittié, L.; Fisher, G.J. Natural and Sun-Induced Aging of Human Skin. Cold Spring Harb. Perspect. Med. 2015, 5, a015370. [Google Scholar] [CrossRef]
- Arshavsky, V.Y.; Lamb, T.D.; Pugh, E.N. G Proteins and Phototransduction. Annu. Rev. Physiol. 2002, 64, 153–187. [Google Scholar] [CrossRef]
- Wang, T.; Montell, C. Phototransduction and Retinal Degeneration in Drosophila. Pflug. Arch.-Eur. J. Physiol. 2007, 454, 821–847. [Google Scholar] [CrossRef]
- Katz, B.; Minke, B. Drosophila Photoreceptors and Signaling Mechanisms. Front. Cell Neurosci. 2009, 3, 2. [Google Scholar] [CrossRef]
- Hillman, P.; Hochstein, S.; Minke, B. A Visual Pigment with Two Physiologically Active Stable States. Science 1972, 175, 1486–1488. [Google Scholar] [CrossRef]
- White, R.H. Insect Visual Pigments. In Advances in Insect Physiology; Treherne, J.E., Berridge, M.J., Wigglesworth, V.B., Eds.; Academic Press: Cambridge, MA, USA, 1978; Volume 13, pp. 35–67. [Google Scholar] [CrossRef]
- Chen, X.; Leon-Salas, W.D.; Zigon, T.; Ready, D.F.; Weake, V.M. A Programmable Optical Stimulator for the Drosophila Eye. HardwareX 2017, 2, 13–33. [Google Scholar] [CrossRef]
- Weiss, S.; Kohn, E.; Dadon, D.; Katz, B.; Peters, M.; Lebendiker, M.; Kosloff, M.; Colley, N.J.; Minke, B. Compartmentalization and Ca2+ Buffering Are Essential for Prevention of Light-Induced Retinal Degeneration. J. Neurosci. 2012, 32, 14696–14708. [Google Scholar] [CrossRef]
- Weiss, S.; Minke, B. A New Genetic Model for Calcium Induced Autophagy and ER-Stress in Drosophila Photoreceptor Cells. Channels 2015, 9, 14–20. [Google Scholar] [CrossRef]
- Satoh, A.K.; Ready, D.F. Arrestin1 Mediates Light-Dependent Rhodopsin Endocytosis and Cell Survival. Curr. Biol. 2005, 15, 1722–1733. [Google Scholar] [CrossRef]
- Kiselev, A.; Socolich, M.; Vinós, J.; Hardy, R.W.; Zuker, C.S.; Ranganathan, R. A Molecular Pathway for Light-Dependent Photoreceptor Apoptosis in Drosophila. Neuron 2000, 28, 139–152. [Google Scholar] [CrossRef]
- Nash, T.R.; Chow, E.S.; Law, A.D.; Fu, S.D.; Fuszara, E.; Bilska, A.; Bebas, P.; Kretzschmar, D.; Giebultowicz, J.M. Daily Blue-Light Exposure Shortens Lifespan and Causes Brain Neurodegeneration in Drosophila. NPJ Aging Mech. Dis. 2019, 5, 8. [Google Scholar] [CrossRef]
- Stegeman, R.; Weake, V.M. Transcriptional Signatures of Aging. J. Mol. Biol. 2017, 429, 2427–2437. [Google Scholar] [CrossRef]
- Ratnapriya, R.; Sosina, O.A.; Starostik, M.R.; Kwicklis, M.; Kapphahn, R.J.; Fritsche, L.G.; Walton, A.; Arvanitis, M.; Gieser, L.; Pietraszkiewicz, A.; et al. Retinal Transcriptome and EQTL Analyses Identify Genes Associated with Age-Related Macular Degeneration. Nat. Genet. 2019, 51, 606–610. [Google Scholar] [CrossRef]
- Liang, Q.; Dharmat, R.; Owen, L.; Shakoor, A.; Li, Y.; Kim, S.; Vitale, A.; Kim, I.; Morgan, D.; Liang, S.; et al. Single-Nuclei RNA-Seq on Human Retinal Tissue Provides Improved Transcriptome Profiling. Nat. Commun. 2019, 10, 5743. [Google Scholar] [CrossRef]
- Hall, H.; Ma, J.; Shekhar, S.; Leon-Salas, W.D.; Weake, V.M. Blue Light Induces a Neuroprotective Gene Expression Program in Drosophila Photoreceptors. BMC Neurosci. 2018, 19, 43. [Google Scholar] [CrossRef]
- Tearle, R. Tissue Specific Effects of Ommochrome Pathway Mutations in Drosophila Melanogaster. Genet. Res. 1991, 57, 257–266. [Google Scholar] [CrossRef]
- Ma, J.; Weake, V.M. Affinity-Based Isolation of Tagged Nuclei from Drosophila Tissues for Gene Expression Analysis. JoVE (J. Vis. Exp.) 2014, 85, e51418. [Google Scholar] [CrossRef]
- Escobedo, S.E.; Shah, A.; Easton, A.N.; Hall, H.; Weake, V.M. Characterizing a Gene Expression Toolkit for Eye- and Photoreceptor-Specific Expression in Drosophila. Fly 2021, 15, 73–88. [Google Scholar] [CrossRef]
- Jauregui-Lozano, J.; Bakhle, K.; Weake, V.M. In Vivo Tissue-Specific Chromatin Profiling in Drosophila Melanogaster Using GFP-Tagged Nuclei. Genetics 2021, 218, iyab079. [Google Scholar] [CrossRef]
- Trimmomatic: A Flexible Trimmer for Illumina Sequence Data|Bioinformatics|Oxford Academic. Available online: https://academic.oup.com/bioinformatics/article/30/15/2114/2390096 (accessed on 15 September 2021).
- Kim, D.; Paggi, J.M.; Park, C.; Bennett, C.; Salzberg, S.L. Graph-Based Genome Alignment and Genotyping with HISAT2 and HISAT-Genotype. Nat. Biotechnol. 2019, 37, 907–915. [Google Scholar] [CrossRef]
- Sequence Alignment/Map Format and SAMtools|Bioinformatics|Oxford Academic. Available online: https://academic.oup.com/bioinformatics/article/25/16/2078/204688 (accessed on 15 September 2021).
- Anders, S.; Pyl, P.T.; Huber, W. HTSeq—A Python Framework to Work with High-Throughput Sequencing Data. Bioinformatics 2015, 31, 166–169. [Google Scholar] [CrossRef]
- Normalization of RNA-Seq Data Using Factor Analysis of Control Genes or Samples|Nature Biotechnology. Available online: https://www.nature.com/articles/nbt.2931 (accessed on 15 September 2021).
- Robinson, M.D.; McCarthy, D.J.; Smyth, G.K. EdgeR: A Bioconductor Package for Differential Expression Analysis of Digital Gene Expression Data. Bioinformatics 2010, 26, 139–140. [Google Scholar] [CrossRef]
- Kolde, R. Pheatmap: Pretty Heatmaps. 2015. CRAN. Available online: https://CRAN.R-project.org/package=pheatmap (accessed on 3 October 2021).
- Yu, G.; Wang, L.-G.; Han, Y.; He, Q.-Y. ClusterProfiler: An R Package for Comparing Biological Themes among Gene Clusters. OMICS J. Integr. Biol. 2012, 16, 284–287. [Google Scholar] [CrossRef]
- Clusterprofiler 4.0: A Universal Enrichment Tool for Interpreting Omics Data: The Innovation. Available online: https://www.cell.com/the-innovation/fulltext/S2666-675800066-7?_returnURL=https%3A%2F%2Flinkinghub.elsevier.com%2Fretrieve%2Fpii%2FS2666675821000667%3Fshowall%3Dtrue (accessed on 15 September 2021).
- Wang, M.; Zhao, Y.; Zhang, B. Efficient Test and Visualization of Multi-Set Intersections. Sci. Rep. 2015, 5, 16923. [Google Scholar] [CrossRef]
- Stegeman, R.; Hall, H.; Escobedo, S.E.; Chang, H.C.; Weake, V.M. Proper Splicing Contributes to Visual Function in the Aging Drosophila Eye. Aging Cell 2018, 17, e12817. [Google Scholar] [CrossRef]
- Juan Jauregui-Lozano, J.; Hall, H.; Stanhope, S.C.; Bakhle, K.; Marlin, M.M.; Weake, V.M. The Clock: Cycle Complex Is a Major Transcriptional Regulator of Drosophila Photoreceptors That Protects the Eye from Retinal Degeneration and Oxidative Stress. PLoS Genet. 2021. [Google Scholar] [CrossRef]
- Chen, X.; Hall, H.; Simpson, J.P.; Leon-Salas, W.D.; Ready, D.F.; Weake, V.M. Cytochrome B5 Protects Photoreceptors from Light Stress-Induced Lipid Peroxidation and Retinal Degeneration. NPJ Aging Mech. Dis. 2017, 3, 18. [Google Scholar] [CrossRef]
- Shieh, B.-H. Molecular Genetics of Retinal Degeneration. Fly 2011, 5, 356–368. [Google Scholar] [CrossRef]
- Ferreiro, M.J.; Pérez, C.; Marchesano, M.; Ruiz, S.; Caputi, A.; Aguilera, P.; Barrio, R.; Cantera, R. Drosophila Melanogaster White Mutant W1118 Undergo Retinal Degeneration. Front. Neurosci. 2018, 11, 732. [Google Scholar] [CrossRef]
- Stark, W.S.; Walker, K.D.; Eidel, J.M. Ultraviolet and Blue Light Induced Damage to the Drosophila Retina: Microspectrophotometry and Electrophysiology. Curr. Eye Res. 1985, 4, 1059–1075. [Google Scholar] [CrossRef]
- Santos, N.V.D.; Saponi, C.F.; Greaves, T.L.; Pereira, J.F.B. Revealing a New Fluorescence Peak of the Enhanced Green Fluorescent Protein Using Three-Dimensional Fluorescence Spectroscopy. RSC Adv. 2019, 9, 22853–22858. [Google Scholar] [CrossRef]
- Hye Oh, J.; Ji Yang, S.; Rag Do, Y. Healthy, Natural, Efficient and Tunable Lighting: Four-Package White LEDs for Optimizing the Circadian Effect, Color Quality and Vision Performance. Light Sci. Appl. 2014, 3, e141. [Google Scholar] [CrossRef]
- Pust, P.; Schmidt, P.J.; Schnick, W. A Revolution in Lighting. Nat. Mater. 2015, 14, 454–458. [Google Scholar] [CrossRef]
- Pust, P.; Weiler, V.; Hecht, C.; Tücks, A.; Wochnik, A.S.; Henß, A.-K.; Wiechert, D.; Scheu, C.; Schmidt, P.J.; Schnick, W. Narrow-Band Red-Emitting Sr[LiAl₃N₄]:Eu2+ as a next-Generation LED-Phosphor Material. Nat. Mater. 2014, 13, 891–896. [Google Scholar] [CrossRef]
- Salih, A.; Larkum, A.; Cox, G.; Kühl, M.; Hoegh-Guldberg, O. Fluorescent Pigments in Corals Are Photoprotective. Nature 2000, 408, 850–853. [Google Scholar] [CrossRef]
- Smith, E.G.; D’Angelo, C.; Salih, A.; Wiedenmann, J. Screening by Coral Green Fluorescent Protein (GFP)-like Chromoproteins Supports a Role in Photoprotection of Zooxanthellae. Coral. Reefs 2013, 32, 463–474. [Google Scholar] [CrossRef]
- Quick, C.; D’Angelo, C.; Wiedenmann, J. Trade-Offs Associated with Photoprotective Green Fluorescent Protein Expression as Potential Drivers of Balancing Selection for Color Polymorphism in Reef Corals. Front. Mar. Sci. 2018, 5, 11. [Google Scholar] [CrossRef]
- Schriner, S.E.; Linford, N.J. Extension of Mouse Lifespan by Overexpression of Catalase. Age 2006, 28, 209–218. [Google Scholar] [CrossRef][Green Version]
- Selvaratnam, J.; Robaire, B. Overexpression of Catalase in Mice Reduces Age-Related Oxidative Stress and Maintains Sperm Production. Exp. Gerontol. 2016, 84, 12–20. [Google Scholar] [CrossRef]
- Nandi, A.; Yan, L.-J.; Jana, C.K.; Das, N. Role of Catalase in Oxidative Stress- and Age-Associated Degenerative Diseases. Oxidative Med. Cell. Longev. 2019, 2019, e9613090. [Google Scholar] [CrossRef]
- Frade, J.M.; Ovejero-Benito, M.C. Neuronal Cell Cycle: The Neuron Itself and Its Circumstances. Cell Cycle 2015, 14, 712–720. [Google Scholar] [CrossRef]
- Freeman, R.S.; Estus, S.; Johnson, E.M. Analysis of Cell Cycle-Related Gene Expression in Postmitotic Neurons: Selective Induction of Cyclin D1 during Programmed Cell Death. Neuron 1994, 12, 343–355. [Google Scholar] [CrossRef]
- Herrup, K.; Neve, R.; Ackerman, S.L.; Copani, A. Divide and Die: Cell Cycle Events as Triggers of Nerve Cell Death. J. Neurosci. 2004, 24, 9232–9239. [Google Scholar] [CrossRef]
- Kruman, I.I. Why Do Neurons Enter the Cell Cycle? Cell Cycle 2004, 3, 767–771. [Google Scholar] [CrossRef]
- Zerofsky, M.; Harel, E.; Silverman, N.; Tatar, M. Aging of the Innate Immune Response in Drosophila Melanogaster. Aging Cell 2005, 4, 103–108. [Google Scholar] [CrossRef]
- Garschall, K.; Flatt, T. The Interplay between Immunity and Aging in Drosophila. F1000Res 2018, 7, 160. [Google Scholar] [CrossRef]
- Turi, Z.; Lacey, M.; Mistrik, M.; Moudry, P. Impaired Ribosome Biogenesis: Mechanisms and Relevance to Cancer and Aging. Aging (Albany NY) 2019, 11, 2512–2540. [Google Scholar] [CrossRef]
- Chyb, S.; Hevers, W.; Forte, M.; Wolfgang, W.J.; Selinger, Z.; Hardie, R.C. Modulation of the Light Response by CAMP InDrosophila Photoreceptors. J. Neurosci. 1999, 19, 8799–8807. [Google Scholar] [CrossRef]
- Midorikawa, R.; Yamamoto-Hino, M.; Awano, W.; Hinohara, Y.; Suzuki, E.; Ueda, R.; Goto, S. Autophagy-Dependent Rhodopsin Degradation Prevents Retinal Degeneration in Drosophila. J. Neurosci. 2010, 30, 10703–10719. [Google Scholar] [CrossRef]
- Zhang, X.; Yang, D.; Hughes, B.A. KCNQ5/Kv7.5 Potassium Channel Expression and Subcellular Localization in Primate Retinal Pigment Epithelium and Neural Retina. Am. J. Physiol. Cell Physiol. 2011, 301, C1017–C1026. [Google Scholar] [CrossRef] [PubMed][Green Version]
- Abdul Kadir, L.; Stacey, M.; Barrett-Jolley, R. Emerging Roles of the Membrane Potential: Action beyond the Action Potential. Front. Physiol. 2018, 9, 1661. [Google Scholar] [CrossRef] [PubMed]
- Liguori, I.; Russo, G.; Curcio, F.; Bulli, G.; Aran, L.; Della-Morte, D.; Gargiulo, G.; Testa, G.; Cacciatore, F.; Bonaduce, D.; et al. Oxidative Stress, Aging, and Diseases. Clin. Interv. Aging 2018, 13, 757–772. [Google Scholar] [CrossRef] [PubMed]
- Tan, B.L.; Norhaizan, M.E.; Liew, W.-P.-P.; Sulaiman Rahman, H. Antioxidant and Oxidative Stress: A Mutual Interplay in Age-Related Diseases. Front. Pharmacol. 2018, 9, 1162. [Google Scholar] [CrossRef] [PubMed]
- Maher, P. The Effects of Stress and Aging on Glutathione Metabolism. Ageing Res. Rev. 2005, 4, 288–314. [Google Scholar] [CrossRef]
- McCay, P.B.; Gibson, D.D.; Kuo-Lan, F.; Roger, K.H. Effect of Glutathione Peroxidase Activity on Lipid Peroxidation in Biological Membranes. Biochim. Biophys. Acta (BBA)-Lipids Lipid. Metab. 1976, 431, 459–468. [Google Scholar] [CrossRef]
- Jones, D.P.; Carlson, J.L.; Mody, V.C.; Cai, J.; Lynn, M.J.; Sternberg, P. Redox State of Glutathione in Human Plasma. Free Radic. Biol. Med. 2000, 28, 625–635. [Google Scholar] [CrossRef]
- Florholmen-Kjær, Å.; Lyså, R.A.; Fuskevåg, O.-M.; Goll, R.; Revhaug, A.; Mortensen, K.E. A Sensitive Method for the Analysis of Glutathione in Porcine Hepatocytes. Scand. J. Gastroenterol. 2014, 49, 1359–1366. [Google Scholar] [CrossRef]
- Hall, H.; Cooper, B.R.; Qi, G.; Wijeratne, A.B.; Mosley, A.L.; Weake, V.M. Quantitative Proteomic and Metabolomic Profiling Reveals Altered Mitochondrial Metabolism and Folate Biosynthesis Pathways in the Aging Drosophila Eye. Mol. Cell Proteom. 2021, 20, 100127. [Google Scholar] [CrossRef]







Publisher’s Note: MDPI stays neutral with regard to jurisdictional claims in published maps and institutional affiliations. |
© 2022 by the authors. Licensee MDPI, Basel, Switzerland. This article is an open access article distributed under the terms and conditions of the Creative Commons Attribution (CC BY) license (https://creativecommons.org/licenses/by/4.0/).
Share and Cite
Escobedo, S.E.; Stanhope, S.C.; Dong, Z.; Weake, V.M. Aging and Light Stress Result in Overlapping and Unique Gene Expression Changes in Photoreceptors. Genes 2022, 13, 264. https://doi.org/10.3390/genes13020264
Escobedo SE, Stanhope SC, Dong Z, Weake VM. Aging and Light Stress Result in Overlapping and Unique Gene Expression Changes in Photoreceptors. Genes. 2022; 13(2):264. https://doi.org/10.3390/genes13020264
Chicago/Turabian StyleEscobedo, Spencer E., Sarah C. Stanhope, Ziyu Dong, and Vikki M. Weake. 2022. "Aging and Light Stress Result in Overlapping and Unique Gene Expression Changes in Photoreceptors" Genes 13, no. 2: 264. https://doi.org/10.3390/genes13020264
APA StyleEscobedo, S. E., Stanhope, S. C., Dong, Z., & Weake, V. M. (2022). Aging and Light Stress Result in Overlapping and Unique Gene Expression Changes in Photoreceptors. Genes, 13(2), 264. https://doi.org/10.3390/genes13020264

