Insights into the Novel FAD2 Gene Regulating Oleic Acid Accumulation in Peanut Seeds with Different Maturity
Abstract
1. Introduction
2. Materials and Methods
2.1. Plant Materials
2.2. Multiple Sequence Alignment and Phylogenetic Analysis
2.3. Total RNA Extraction and cDNA Synthesis
2.4. PCR Amplification and Sequence Analysis of Novel FAD2 Genes
2.5. Real-Time PCR
2.6. Arabidopsis Transformation
2.7. Vector Construction and the Expression of the FAD2 Gene in S. cerevisiae
3. Results
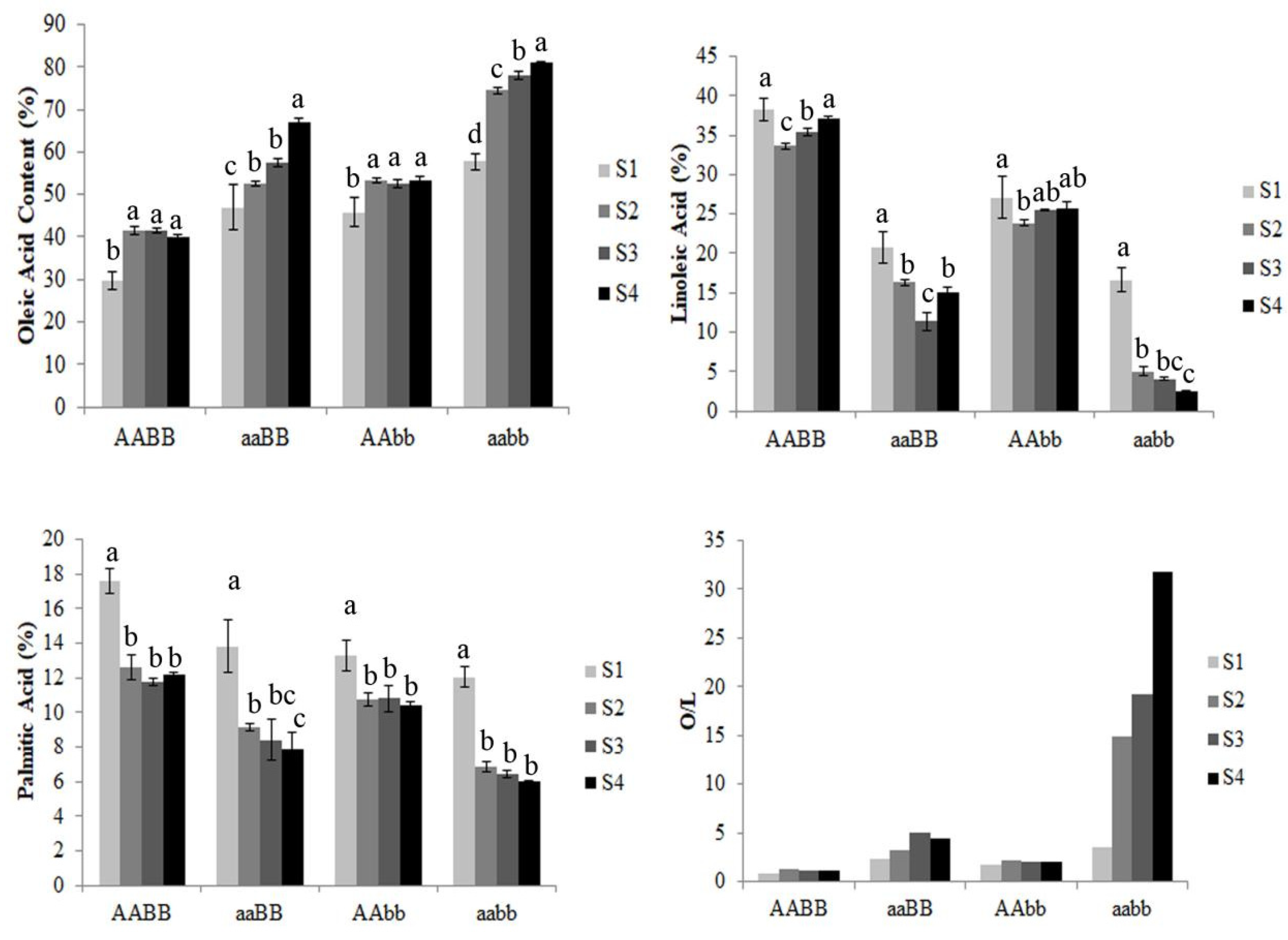
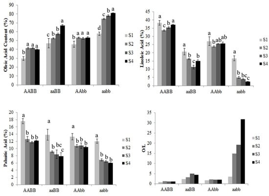
3.1. Fatty Acid Content in Peanut Seeds of Four FAD2 Genotypes at Different Development Stages
3.2. Cloning of New Members of the FAD2 Gene Family
3.3. Phylogenetic Relationship of FAD2 Genes
3.4. Functional Verification of FAD2 Members in Saccharomyces cerevisiae and Arabidopsis
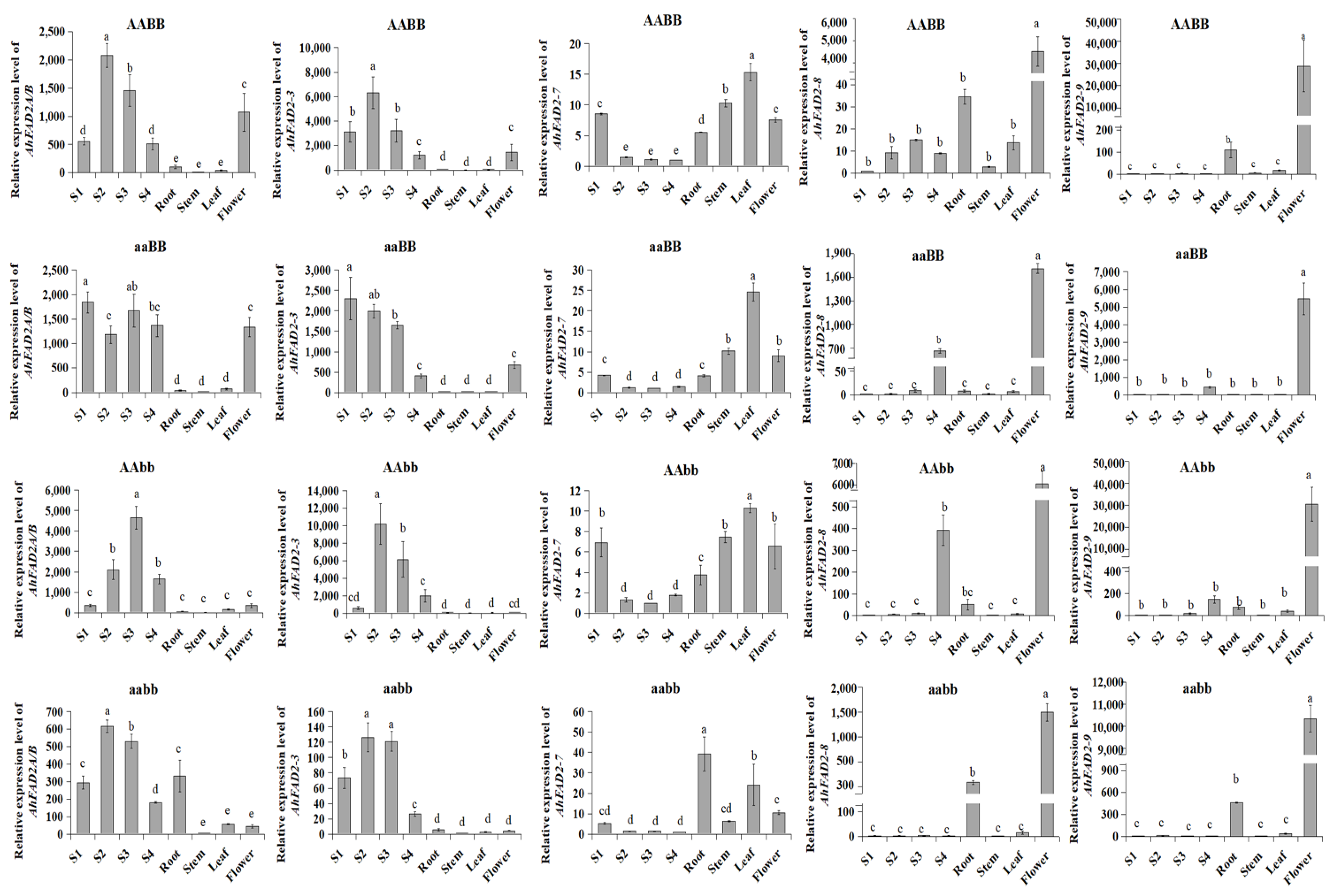
3.5. Expression Analysis of AhFAD2 Genes in Different Tissues and Seeds of Different Maturity
4. Discussion
5. Conclusions
Supplementary Materials
Author Contributions
Funding
Institutional Review Board Statement
Informed Consent Statement
Data Availability Statement
Conflicts of Interest
References
- Riveros, C.G.; Mestrallet, M.G.; Gayol, M.F.; Quiroga, P.R.; Nepote, V.; Grosso, N.R. Effect of storage on chemical and sensory profiles of peanut pastes prepared with high-oleic and normal peanuts. Sci. Food Agric. 2010, 90, 2694–2699. [Google Scholar] [CrossRef] [PubMed]
 - Uematsu, T.; Parkányiová, L.; Endo, T.; Matsuyama, C.; Yano, T.; Miyahara, M.; Sakurai, H.; Pokorný, J. Effect of the unsaturation degree on browning reactions of peanut oil and other edible oils with proteins under storage and frying conditions. Int. Congr. Ser. 2002, 1245, 445–446. [Google Scholar] [CrossRef]
 - Murata, N.; Wada, H. Acyl-lipid desaturases and their importance in the tolerance and acclimatization to cold of cyanobacteria. Biochem. J. 1995, 308, 1–8. [Google Scholar] [CrossRef] [PubMed]
 - Miao, X.M.; Zhang, L.J.; Hu, X.W.; Nan, S.Z.; Chen, X.L.; Fu, H. Cloning and functional analysis of the FAD2 gene family from desert shrub Artemisia sphaerocephala. BMC Plant Biol. 2019, 19, 481. [Google Scholar] [CrossRef] [PubMed]
 - Martínez-Rivas, J.M.; Sperling, P.; Lühs, W.; Heinz, E. Spatial and temporal regulation of three different microsomal oleate desaturase genes (FAD2) from normal-type and high-oleic varieties of sunflower (Helianthus annuus L.). Mol. Breed. 2001, 8, 159–168. [Google Scholar] [CrossRef]
 - Dar, A.A.; Choudhury, A.R.; Kancharla, P.K.; Arumugam, N. FAD2 the gene in plants: Occurrence, regulation, and role. Front. Plant Sci. 2017, 8, 1789. [Google Scholar] [CrossRef]
 - Okuley, J.; Lightner, J.; Feldmann, K.; Yadav, N.; Lark, E.; Browse, J. Arabidopsis FAD2 gene encodes the enzyme that is essential for polyunsaturated lipid synthesis. Plant Cell. 1994, 6, 147–158. [Google Scholar] [PubMed]
 - Li, L.; Wang, X.; Gai, J.; Yu, D. Molecular cloning and characterization of a novel microsomal oleate desaturase gene from soybean. J. Plant Physiol. 2007, 164, 1516–1526. [Google Scholar] [CrossRef]
 - Pham, A.T.; Shannon, J.G.; Bilyeu, K.D. Combinations of mutant FAD2 and FAD3 genes to produce high oleic acid and low linolenic acid soybean oil. Theor. Appl. Genet. 2012, 125, 503–515. [Google Scholar] [CrossRef]
 - Haun, W.; Coffman, A.; Clasen, B.M.; Demorest, Z.L.; Lowy, A.; Ray, E.; Retterath, A.; Stoddard, T.; Juillerat, A.; Cedrone, F.; et al. Improved soybean oil quality by targeted mutagenesis of the fatty acid desaturase 2 gene family. Plant Biotechnol. J. 2014, 12, 934–940. [Google Scholar] [CrossRef]
 - Lee, K.R.; Sun, H.K.; Go, Y.S.; Jung, S.M.; Roh, K.H.; Kim, J.B.; Suh, M.C.; Lee, S.; Kim, H.U. Molecular cloning and functional analysis of two FAD2 genes from American grape (Vitis labrusca L.). Gene 2012, 509, 189–194. [Google Scholar] [CrossRef]
 - Liu, F.; Ma, L.; Wang, Y.; Li, Y.; Zhang, X.; Xue, F.; Nie, X.; Zhu, Q.; Sun, J. GhFAD2-3 is required for anther development in Gossypium hirsutum. BMC Plant Biol. 2019, 19, 393. [Google Scholar] [CrossRef] [PubMed]
 - Liu, F.; Zhao, Y.P.; Wang, X.D.; Li, Y.J. Isolation and functional characterization of seed-specific FAD2-1 promoter from cotton (Gossypium hirsutum L.). J. Plant Biochem. Biotechnol. 2015, 24, 369–375. [Google Scholar] [CrossRef]
 - Hernández, M.L.; Mancha, M.; Martínez-Rivas, J.M. Molecular cloning and characterization of genes encoding two microsomal oleate desaturases (FAD2) from olive. Phytochemistry 2005, 66, 1417–1426. [Google Scholar] [CrossRef] [PubMed]
 - Hernández, M.L.; Sicardo, M.D.; Arjona, P.M.; Martínez-Rivas, J.M. Specialized functions of olive FAD2 gene family members related to fruit development and the abiotic stress response. Plant Cell. Physiol. 2020, 61, 427–441. [Google Scholar] [CrossRef] [PubMed]
 - Huang, H.; Cui, T.; Zhang, L.; Yang, Q.; Zhou, Y. Modifications of fatty acid profile through targeted mutation at BnaFAD2 gene with CRISPR/Cas9-mediated gene editing in Brassica napus. Theor. Appl. Genet. 2020, 133, 2401–2411. [Google Scholar] [CrossRef] [PubMed]
 - Jung, S.; Swift, D.; Sengoku, E.; Patel, M.; Teule, F.; Powell, G.; Moore, K.; Abbott, A. The high oleate trait in the cultivated peanut (Arachis hypogaea L.). Isolation and characterization of two genes encoding microsomal oleoyl-PC desaturases. Mol. Gen. Genet. 2000, 263, 796–805. [Google Scholar] [CrossRef] [PubMed]
 - Chu, Y.; Holbrook, C.C.; Ozias-Akins, P. Two alleles of ahFAD2B control the high oleic acid trait in cultivated peanut. Crop. Sci. 2009, 49, 2029–2036. [Google Scholar] [CrossRef]
 - Yu, S.; Pan, L.; Yang, Q.; Min, P.; Ren, Z.; Zhang, H. Comparison of the Delta(12) fatty acid desaturase gene between high-oleic and normal-oleic peanut genotypes. J. Genet. Genom. 2008, 35, 679–685. [Google Scholar] [CrossRef]
 - Nawade, B.; Bosamia, T.C.; Thankappan, R.; Rathnakumar, A.L.; Kumar, A.; Dobaria, J.R. Insights into the Indian peanut genotypes for AhFAD2 gene polymorphism regulating its oleic and linoleic acid fluxes. Front. Plant Sci. 2016, 7, 1271. [Google Scholar] [CrossRef]
 - Barkley, N.A.; Isleib, T.G.; Wang, M.L.; Pittman, R.N. Genotypic effect of AhFAD2 on fatty acid profiles in six segregating peanut (Arachis hypogaea L.) populations. BMC Genet. 2013, 14, 62. [Google Scholar] [CrossRef] [PubMed]
 - Wang, Y.; Zhang, X.G.; Zhao, Y.L.; Prakash, C.S.; He, G.H.; Yin, D.M. Insights into the novel members of the FAD2 gene family involved in high-oleate fluxes in peanut. Genome 2015, 58, 375–383. [Google Scholar] [CrossRef]
 - Chi, X.; Yang, Q.; Pan, L.; Chen, M.; He, Y.; Yang, Z.; Yu, S. Isolation and characterization of fatty acid desaturase genes from peanut (Arachis hypogaea L.). Plant Cell. Rep. 2011, 30, 1393–1404. [Google Scholar] [CrossRef] [PubMed]
 - Tamura, K.; Stecher, G.; Peterson, D.; Filipski, A.; Kumar, S. MEGA6: Molecular evolutionary genetics analysis version 6.0. Mol. Biol. Evol. 2013, 30, 2725–2729. [Google Scholar] [CrossRef]
 - Livak, K.J.; Schmittgen, T.D. Analysis of relative gene expression data using real-time quantitative PCR and the 2(-Delta Delta C(T)) method. Methods 2001, 25, 402–408. [Google Scholar] [CrossRef] [PubMed]
 - Clough, S.J.; Bent, A.F. Floral dip: A simplified method for Agrobacterium-mediated transformation of Arabidopsis thaliana. Plant J. 1998, 16, 735–743. [Google Scholar] [CrossRef]
 - Covello, P.S.; Reed, D.W. Functional expression of the extraplastidial Arabidopsis thaliana oleate desaturase gene (FAD2) in Saccharomyces cerevisiae. Plant Physiol. 1996, 111, 223–226. [Google Scholar] [CrossRef]
 - Gietz, R.D.; Schiestl, R.H.; Williems, A.R.; Woods, R.A. Studies on the transformation of intact yeast cells by the LiAc/SSDNA/PEG procedure. Yeast 1995, 11, 355–360. [Google Scholar] [CrossRef]
 - Young, C.Y.; Worthington, R.E. Fatty acid composition of Spanish peanut oil as influenced by planting location, soil moisture conditions, variety, and season. AOCS 1974, 51, 312–315. [Google Scholar] [CrossRef]
 - Hassan, F.; Manaf, A.; Ejaz, M. Determinants of oil and fatty acid accumulation in peanut. Int. J. Agric. Biol. 2005, 7, 895–899. [Google Scholar]
 - Isleib, T.G.; Tilman, B.L.; Patte, H.E.; Sanders, T.H.; Hendrix, K.W.; Dean, L.O. Genotype-by- environment interaction for seed composition traits of breeding lines in the uniform peanut performance test. Peanut. Sci. 2008, 35, 130–138. [Google Scholar] [CrossRef]
 - Pham, A.; Lee, J.; Shannon, J.G.; Bilyeu, K.D. Mutant alleles of FAD2-1A and FAD2-1B combine to produce soybeans with the high oleic acid seed oil trait. BMC Plant Biol. 2010, 10, 195. [Google Scholar] [CrossRef] [PubMed]
 - Pandey, M.K.; Wang, M.L.; Qiao, L.; Feng, S.; Khera, P.; Wang, H.; Tonnis, B.; Barkley, N.A.; Wang, J.; Holbrook, C.C.; et al. Identification of QTLs associated with oil content and mapping FAD2 genes and their relative contribution to oil quality in peanut (Arachis hypogaea L.). BMC Genet. 2014, 15, 133. [Google Scholar] [CrossRef] [PubMed]
 - Wang, M.L.; Chen, C.Y.; Tonnis, B.; Pinnow, D.; Davis, J.; An, Y.C.; Dang, P. Changes of seed weight, fatty acid composition, and oil and protein contents from different peanut FAD2 genotypes at different seed developmental and maturation stages. J. Agric. Food Chem. 2018, 66, 3658–3665. [Google Scholar] [CrossRef]
 - Dean, L.L.; Eickholt, C.M.; Lafountain, L.J.; Hendrix, K.W. Effects of maturity on the development of oleic acid and linoleic acid in the four peanut market types. J. Food Res. 2020, 9, 1. [Google Scholar] [CrossRef]
 - Gulluoglu, L.; Bakal, H.; ONAT, B.; KURT, C.; Arioglu, H. The effect of harvesting date on some agronomic and quality characteristics of peanut grown in the mediterranean region of turkey. Turk. J. Field Crops 2016, 21, 224–232. [Google Scholar] [CrossRef]
 - Isleib, T.G.; Wilson, R.F.; Novitzky, W.P. Partial dominance, pleiotropism, and epistasis in the inheritance of the high-oleate trait in peanut. Crop. Sci. 2006, 46, 1331–1335. [Google Scholar] [CrossRef]
 - Falcone, D.L.; Gibson, S.; Lemieux, B.; Somerville, C. Identification of a gene that complements an Arabidopsis mutant deficient in chloroplast omega 6 desaturase activity. Plant Physiol. 1994, 106, 1453–1459. [Google Scholar] [CrossRef]
 - Lee, K.R.; In Sohn, S.; Jung, J.H.; Kim, S.H.; Roh, K.H.; Kim, J.B.; Suh, M.C.; Kim, H.U. Functional analysis and tissue-differential expression of four FAD2 genes in amphidiploid Brassica napus derived from Brassica rapa and Brassica oleracea. Gene 2013, 531, 253–262. [Google Scholar] [CrossRef]
 - Shanklin, J.; Cahoon, E.B. Desaturation and related modifications of fatty acids. Ann. Rev. Plant Physiol. 1998, 49, 611–641. [Google Scholar] [CrossRef]
 - McCartney, A.W.; Dyer, J.M.; Dhanoa, P.K.; Kim, P.K.; Andrews, D.W.; McNew, J.A.; Mullen, R.T. Membrane-bound fatty acid desaturases are inserted co-translationally into the ER and contain different ER retrieval motifs at their carboxy termini. Plant J. 2004, 37, 156–173. [Google Scholar] [CrossRef] [PubMed]
 - Schlueter, J.A.; Vasylenkosanders, I.F.; Deshpande, S.; Yi, J.; Siegfried, M.; Roe, B.A.; Schlueter, S.D.; Scheffler, B.E.; Shoemaker, R.C. The FAD2 gene family of soybean: Insights into the structural and functional divergence of a paleopolyploid genome. Crop. Sci. 2007, 47, 14–26. [Google Scholar] [CrossRef]
 - Zhang, D.Y.; Pirtle, I.L.; Park, S.J.; Nampaisansuk, M.; Neogi, P.; Wanjie, S.W.; Pirtle, R.M.; Chapman, K.D. Identification and expression of a new delta-12 fatty acid desaturase (FAD2-4) gene in upland cotton and its functional expression in yeast and Arabidopsis thaliana plants. Plant Physiol Biochem. 2009, 47, 462–471. [Google Scholar] [CrossRef] [PubMed]
 - Cao, S.J.; Zhou, X.R.; Wood, C.C.; Green, G.A.; Singh, S.P.; Liu, L.X.; Liu, Q. A large and functionally diverse family of FAD2 genes in safflower (Carthamus tinctorius L.). BMC Plant Biol. 2013, 13, 5. [Google Scholar] [CrossRef] [PubMed]
 






| Transformant | Oleic Acid (%) | Linoleic Acid (%) | 
|---|---|---|
| pYES2 | 55.79 | 1.70 | 
| pYFAD2-7 | 47.22 | 10.44 | 
| pYFAD2-8 | 13.42 | 49.14 | 
| pYFAD2-9 | 12.87 | 57.03 | 
| Oleic Acid (%) | Linoleic Acid (%) | |
|---|---|---|
| WT | 11.63 | 31.01 | 
| fad2 | 57.28 | 2.56 | 
| AhFAD2-7 | 44.23 | 7.49 | 
| AhFAD2-8 | 51.45 | 3.82 | 
| AhFAD2-9 | 39.60 | 13.06 | 
Publisher’s Note: MDPI stays neutral with regard to jurisdictional claims in published maps and institutional affiliations.  | 
© 2022 by the authors. Licensee MDPI, Basel, Switzerland. This article is an open access article distributed under the terms and conditions of the Creative Commons Attribution (CC BY) license (https://creativecommons.org/licenses/by/4.0/).
Share and Cite
Zhao, S.; Sun, J.; Sun, J.; Zhang, X.; Zhao, C.; Pan, J.; Hou, L.; Tian, R.; Wang, X. Insights into the Novel FAD2 Gene Regulating Oleic Acid Accumulation in Peanut Seeds with Different Maturity. Genes 2022, 13, 2076. https://doi.org/10.3390/genes13112076
Zhao S, Sun J, Sun J, Zhang X, Zhao C, Pan J, Hou L, Tian R, Wang X. Insights into the Novel FAD2 Gene Regulating Oleic Acid Accumulation in Peanut Seeds with Different Maturity. Genes. 2022; 13(11):2076. https://doi.org/10.3390/genes13112076
Chicago/Turabian StyleZhao, Shuzhen, Jie Sun, Jinbo Sun, Xiaoqian Zhang, Chuanzhi Zhao, Jiaowen Pan, Lei Hou, Ruizheng Tian, and Xingjun Wang. 2022. "Insights into the Novel FAD2 Gene Regulating Oleic Acid Accumulation in Peanut Seeds with Different Maturity" Genes 13, no. 11: 2076. https://doi.org/10.3390/genes13112076
APA StyleZhao, S., Sun, J., Sun, J., Zhang, X., Zhao, C., Pan, J., Hou, L., Tian, R., & Wang, X. (2022). Insights into the Novel FAD2 Gene Regulating Oleic Acid Accumulation in Peanut Seeds with Different Maturity. Genes, 13(11), 2076. https://doi.org/10.3390/genes13112076
        
                                                
