Cell Supported Single Membrane Technique for the Treatment of Large Bone Defects: Depletion of CD8+ Cells Enhances Bone Healing Mechanisms During the Early Bone Healing Phase
Abstract
1. Introduction
2. Materials and Methods
2.1. Animal Care and Ethics
2.2. Study Design and Groups
2.3. Isolation of BMC and Colonization of hADM with BMC or BMC-Depleted CD8+ T Cells
2.4. Depletion of CD8+ T-Cells from BMC
2.5. Seeding of hADM with BMC
2.6. Surgical Procedure
2.7. Production of Conditioned Media (CM)
2.8. Analysis of Protein Release from CM Using Proteome Profilers
2.9. Cultivation, Osteogenic Differentiation, and CM Treatment of MSC
2.10. Isolation, Polarization, and Treatment of Bone Marrow Derived Macrophages with CM
2.11. Gene Expression Analyses
2.12. Statistical Analysis
3. Results
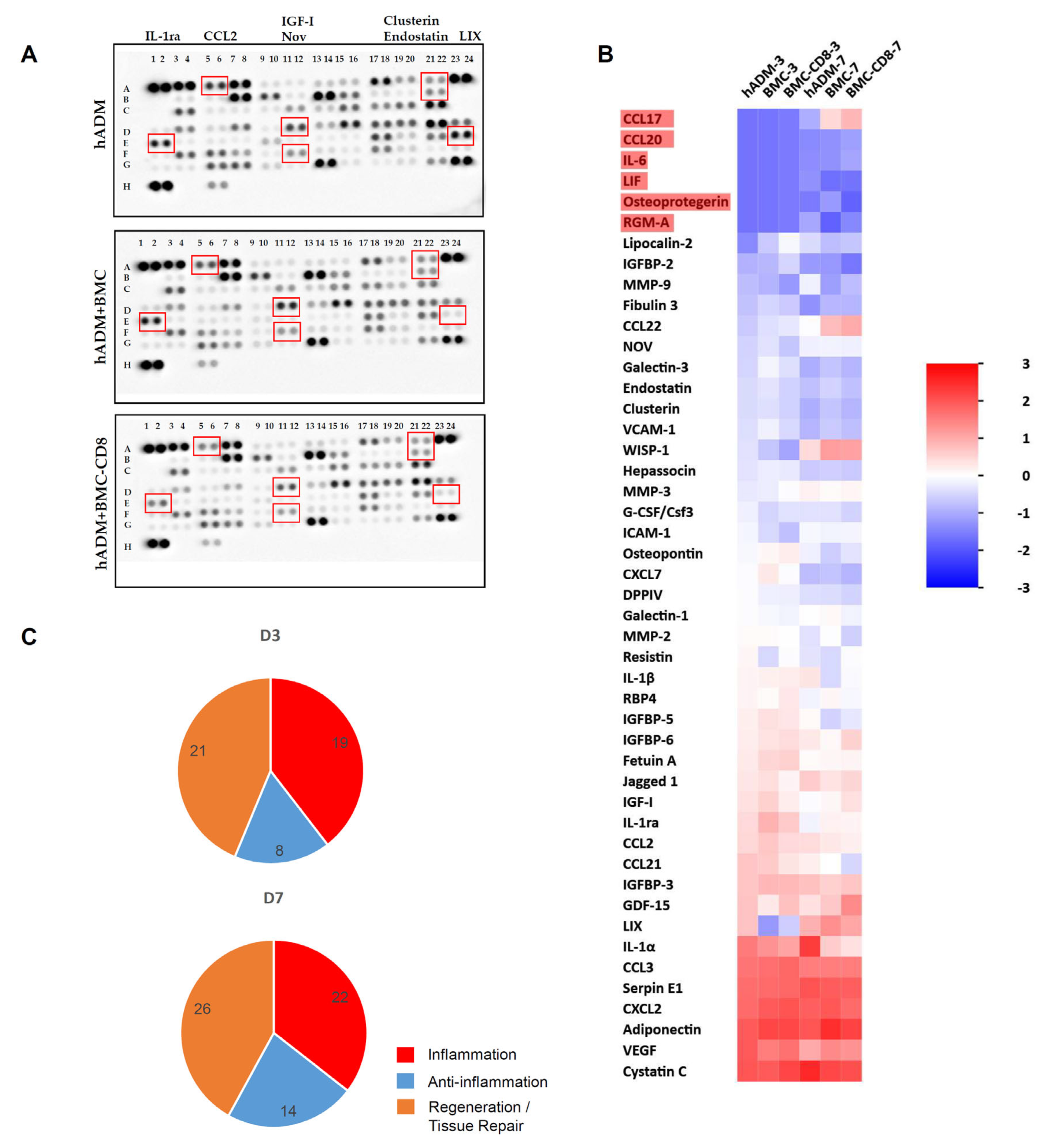
3.1. Changes in Protein Secretion Patterns over Time
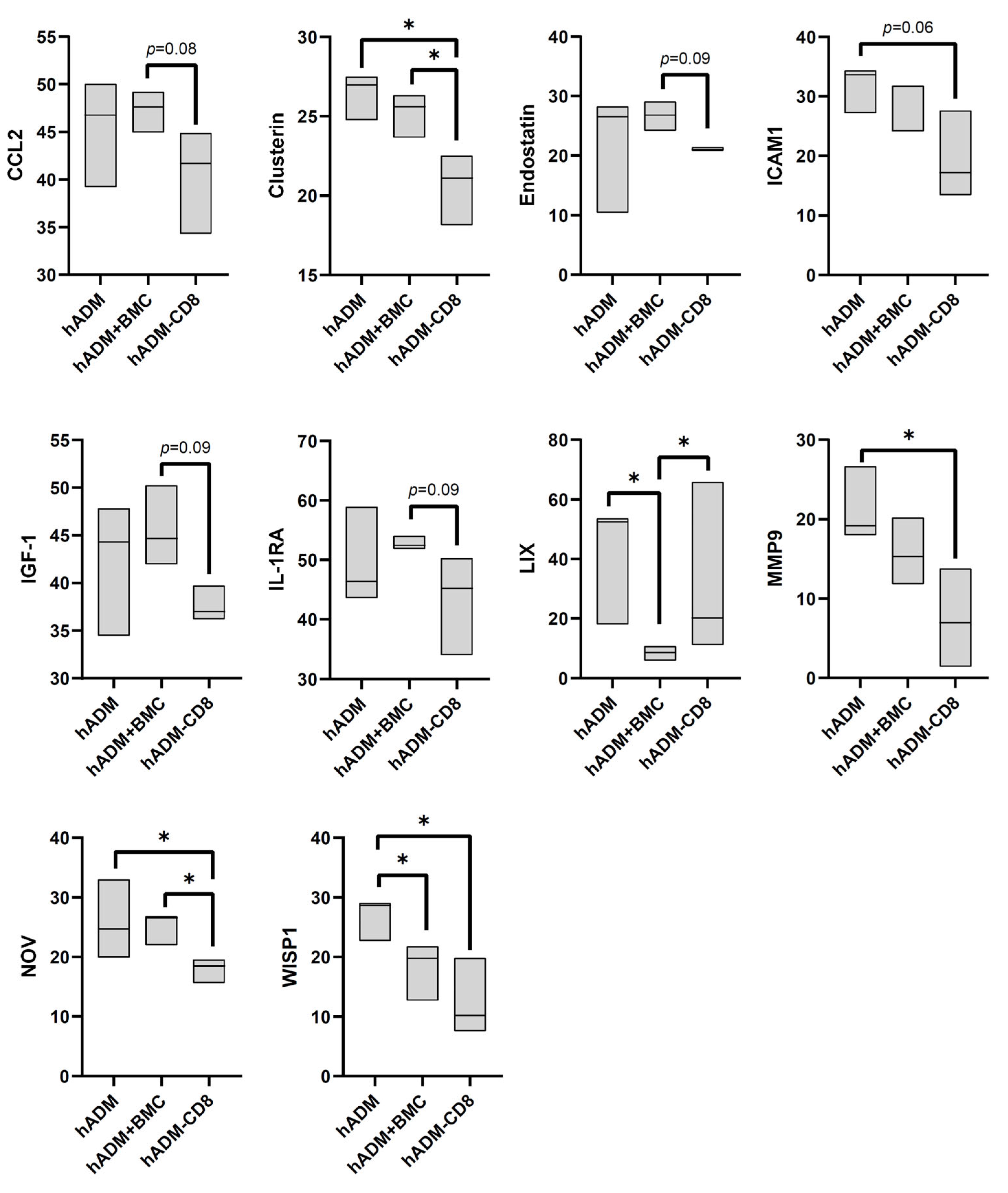
3.2. Effect of BMC Loading of hADM on Protein Content After Three and Seven Days In Vivo
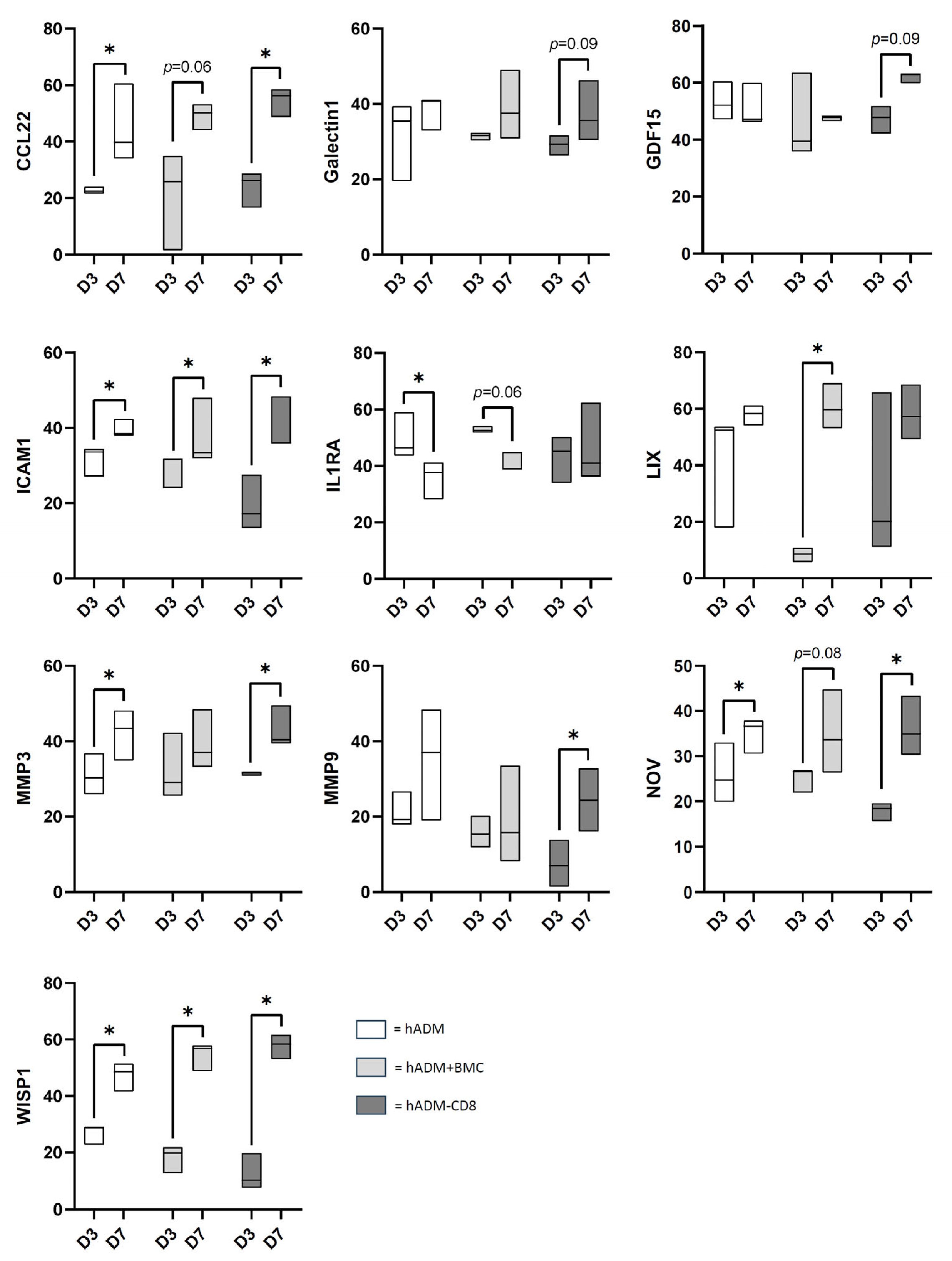
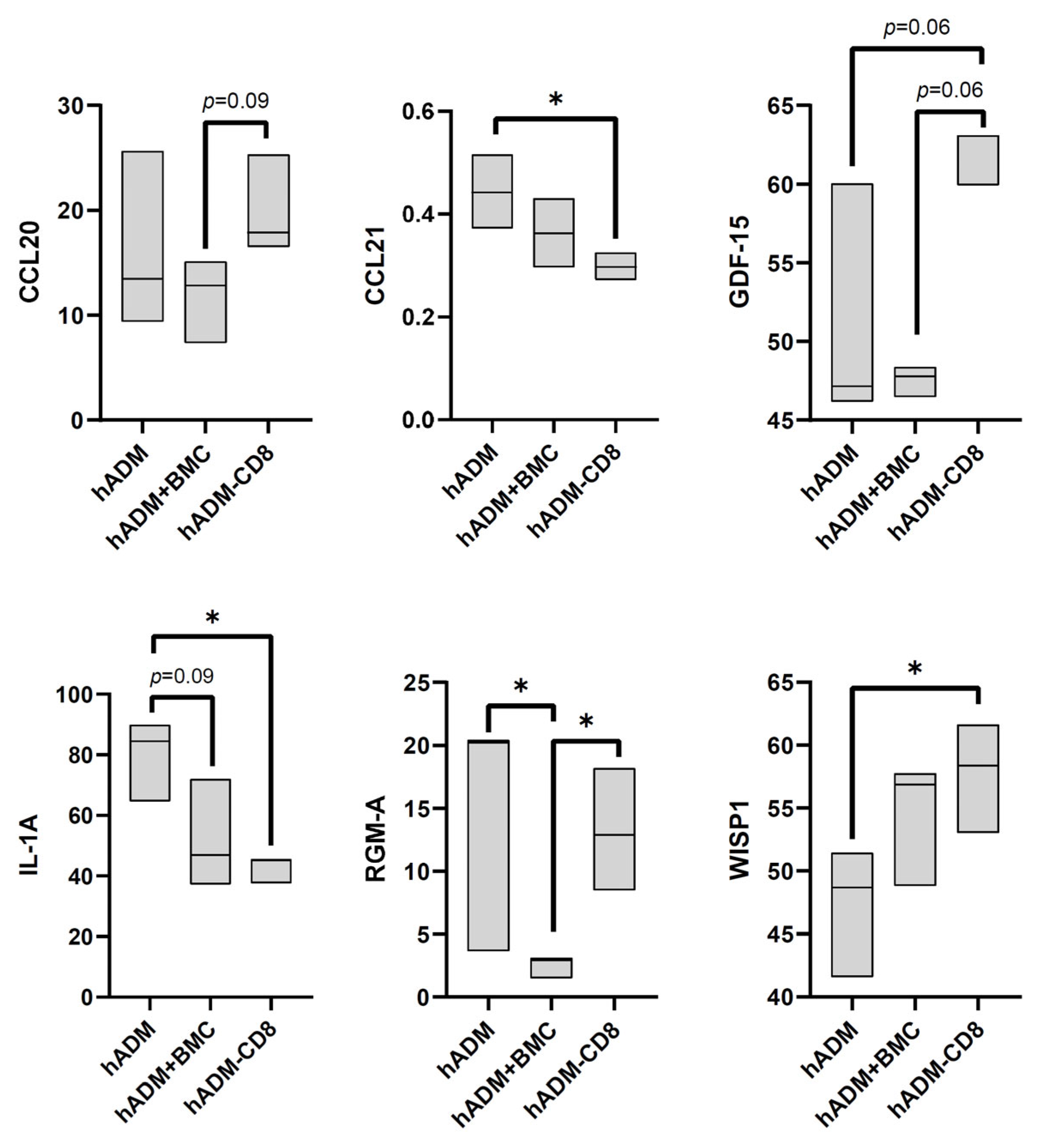
3.3. Temporal Comparison of Secreted Proteins Between 3 and 7 Days In Vivo
3.4. Influence of CM Generated with Differentially Treated hADM on Osteogenic MSC Differentiation
3.5. Influence of CM Generated with Differentially Treated hADM on Macrophage Polarization
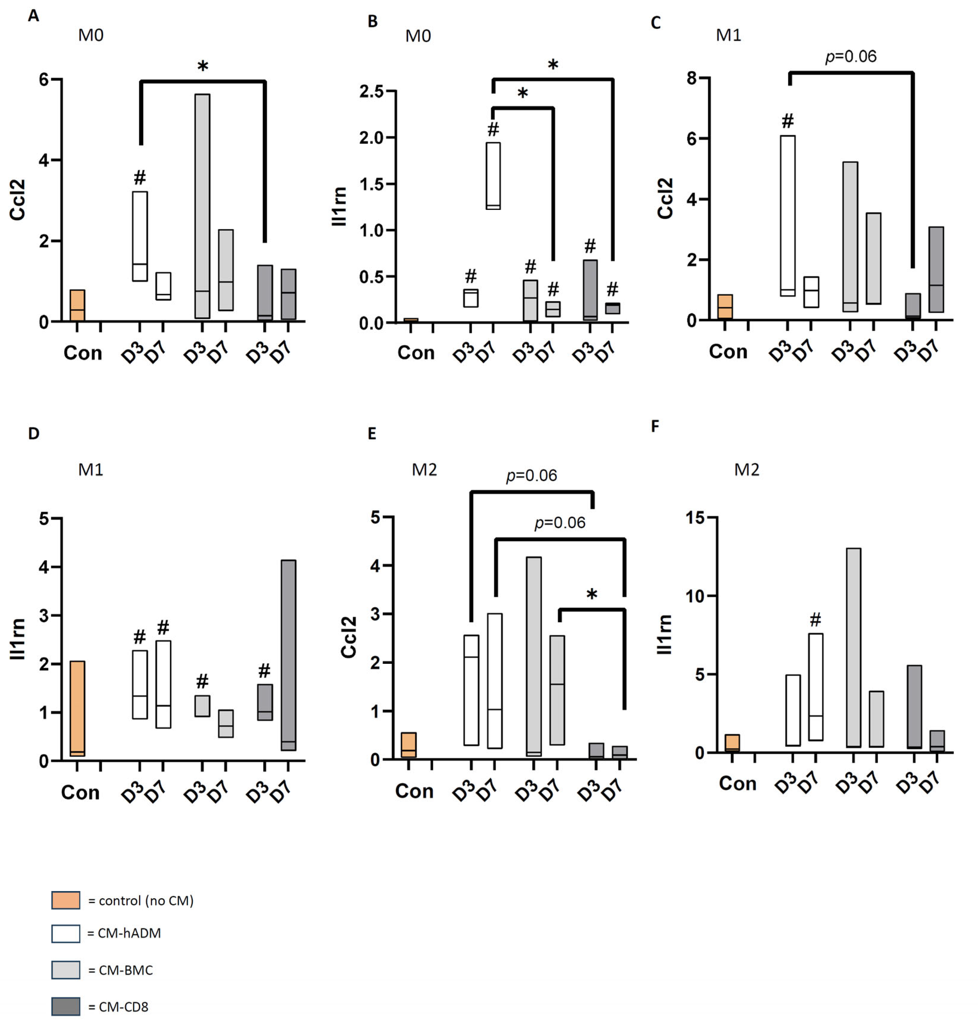
3.6. Expression of M1 and M2 Marker Genes in M0, M1 and M2 Differentiated Macrophages
3.7. CCL2 and IL-1RA Gene Expression in M1- and M2-Differentiated Macrophages
4. Discussion
4.1. BMC as Cellular Therapeutic
4.2. Sources of Proteins Released by the hADMs
4.3. Dynamics of the Protein Release: Factors Secreted Exclusively by D7 Samples
4.4. Dynamics of the Protein Release: Factors Differentially Released by D7 Samples
4.5. Impact of CD8-Depletion on Cell Differentiation
4.6. Differentiation of Macrophage Subtypes
4.7. Macrophage Response to Conditioned Media: Regulation of CCL2 and IL-1RA Expression
4.8. Limitations
5. Conclusions
Supplementary Materials
Author Contributions
Funding
Institutional Review Board Statement
Informed Consent Statement
Data Availability Statement
Conflicts of Interest
Abbreviations
| PMMA | Polymethylmethacrylate |
| hADM | Human acellular dermal matrix |
| BMC | Bone marrow mononuclear cells |
| IFN-γ | Interferon gamma |
| TNF-α | Tumor necrosis factor alpha |
| G | Group |
| MSC | Mesenchymal stem cells |
| PBS | Phosphate-buffered saline |
| CM | Conditioned medium |
| GM | Growth medium |
| IL | Interleukin |
References
- Durand, M.; Mathieu, L.; Venant, J.; Masquelet, A.-C.; Collombet, J.-M. Engineering the bone reconstruction surgery: The case of the masquelet-induced membrane technique. Eur. J. Trauma Emerg. Surg. 2025, 51, 138. [Google Scholar] [CrossRef]
- Verboket, R.D.; Leiblein, M.; Janko, M.; Schaible, A.; Brune, J.C.; Schröder, K.; Heilani, M.; Fremdling, C.; Busche, Y.; Irrle, T.; et al. From two stages to one: Acceleration of the induced membrane (Masquelet) technique using human acellular dermis for the treatment of non-infectious large bone defects. Eur. J. Trauma Emerg. Surg. 2020, 46, 317–327. [Google Scholar] [CrossRef] [PubMed]
- Verboket, R.D.; Henrich, D.; Janko, M.; Sommer, K.; Neijhoft, J.; Söhling, N.; Weber, B.; Frank, J.; Marzi, I.; Nau, C. Human Acellular Collagen Matrices-Clinical Opportunities in Tissue Replacement. Int. J. Mol. Sci. 2024, 25, 7088. [Google Scholar] [CrossRef] [PubMed]
- Seebach, C.; Henrich, D.; Schaible, A.; Relja, B.; Jugold, M.; Bönig, H.; Marzi, I. Cell-based therapy by implanted human bone marrow-derived mononuclear cells improved bone healing of large bone defects in rats. Tissue Eng. Part A 2015, 21, 1565–1578. [Google Scholar] [CrossRef] [PubMed]
- Janko, M.; Pöllinger, S.; Schaible, A.; Bellen, M.; Schröder, K.; Heilani, M.; Fremdling, C.; Marzi, I.; Nau, C.; Henrich, D.; et al. Determination of the effective dose of bone marrow mononuclear cell therapy for bone healing in vivo. Eur. J. Trauma Emerg. Surg. 2020, 46, 265–276. [Google Scholar] [CrossRef]
- Leiblein, M.; Kolb, T.; Christian, L.; Schröder, K.; Yaman, C.; Schaible, A.; Marzi, I.; Henrich, D.; Janko, M. Introduction of a New Surgical Method to Improve Bone Healing in a Large Bone Defect by Replacement of the Induced Membrane by a Human Decellularized Dermis Repopulated with Bone Marrow Mononuclear Cells in Rat. Materials 2020, 13, 2629. [Google Scholar] [CrossRef]
- Penna-Martinez, M.; Kammerer, A.; Stützle, P.; Fees, S.; Behr, S.; Schaible, I.; Schröder, K.; Verboket, R.D.; Neijhoft, J.; Marzi, I.; et al. Enhancement of a one-step membrane technique for the treatment of large bone defects by pre-seeding the membrane with CD8 lymphocyte depleted bone marrow mononuclear cells in a rat femoral defect model. Front. Immunol. 2024, 15, 1488611. [Google Scholar] [CrossRef]
- Reinke, S.; Geissler, S.; Taylor, W.R.; Schmidt-Bleek, K.; Juelke, K.; Schwachmeyer, V.; Dahne, M.; Hartwig, T.; Akyüz, L.; Meisel, C.; et al. Terminally differentiated CD8+ T cells negatively affect bone regeneration in humans. Sci. Transl. Med. 2013, 5, 177ra36. [Google Scholar] [CrossRef]
- Ortona, E.; Pagano, M.T.; Capossela, L.; Malorni, W. The Role of Sex Differences in Bone Health and Healing. Biology 2023, 12, 993. [Google Scholar] [CrossRef]
- Wang, H.; Li, Y.; Li, H.; Yan, X.; Jiang, Z.; Feng, L.; Hu, W.; Fan, Y.; Lin, S.; Li, G. T cell related osteoimmunology in fracture healing: Potential targets for augmenting bone regeneration. J. Orthop. Transl. 2025, 51, 82–93. [Google Scholar] [CrossRef]
- Rössner, E.; Smith, M.D.; Petschke, B.; Schmidt, K.; Vitacolonna, M.; Syring, C.; von Versen, R.; Hohenberger, P. Epiflex(®) a new decellularised human skin tissue transplant: Manufacture and properties. Cell Tissue Bank. 2011, 12, 209–217. [Google Scholar] [CrossRef]
- Verboket, R.D.; Söhling, N.; Heilani, M.; Fremdling, C.; Schaible, A.; Schröder, K.; Brune, J.C.; Marzi, I.; Henrich, D. The Induced Membrane Technique-The Filling Matters: Evaluation of Different Forms of Membrane Filling with and without Bone Marrow Mononuclear Cells (BMC) in Large Femoral Bone Defects in Rats. Biomedicines 2022, 10, 642. [Google Scholar] [CrossRef] [PubMed]
- Söhling, N.; Heilani, M.; Fremdling, C.; Schaible, A.; Schröder, K.; Brune, J.C.; Eras, V.; Nau, C.; Marzi, I.; Henrich, D.; et al. One Stage Masquelets Technique: Evaluation of Different Forms of Membrane Filling with and without Bone Marrow Mononuclear Cells (BMC) in Large Femoral Bone Defects in Rats. Cells 2023, 12, 1289. [Google Scholar] [CrossRef] [PubMed]
- Söhling, N.; Ondreka, M.; Kontradowitz, K.; Reichel, T.; Marzi, I.; Henrich, D. Early Immune Response in Foreign Body Reaction Is Implant/Material Specific. Materials 2022, 15, 2195. [Google Scholar] [CrossRef] [PubMed]
- Eldesoqi, K.; Henrich, D.; El-Kady, A.M.; Arbid, M.S.; Abd El-Hady, B.M.; Marzi, I.; Seebach, C. Safety evaluation of a bioglass-polylactic acid composite scaffold seeded with progenitor cells in a rat skull critical-size bone defect. PLoS ONE 2014, 9, e87642. [Google Scholar] [CrossRef]
- Nau, C.; Simon, S.; Schaible, A.; Seebach, C.; Schröder, K.; Marzi, I.; Henrich, D. Influence of the induced membrane filled with syngeneic bone and regenerative cells on bone healing in a critical size defect model of the rat’s femur. Injury 2018, 49, 1721–1731. [Google Scholar] [CrossRef]
- Bianconi, S.; Oliveira, K.M.C.; Klein, K.-L.; Wolf, J.; Schaible, A.; Schröder, K.; Barker, J.; Marzi, I.; Leppik, L.; Henrich, D. Pretreatment of Mesenchymal Stem Cells with Electrical Stimulation as a Strategy to Improve Bone Tissue Engineering Outcomes. Cells 2023, 12, 2151. [Google Scholar] [CrossRef]
- Jin, X.; Li, Y.; Chen, X.; Chen, J.; Xu, J. Isolation of Monocyte-Macrophage Lineage Cells from Rat Bones by Secondary Adherence Method. J. Vis. Exp. 2022, 185, e64053. [Google Scholar] [CrossRef]
- Guo, X.-Y.; Wang, S.-N.; Wu, Y.; Lin, Y.-H.; Tang, J.; Ding, S.-Q.; Shen, L.; Wang, R.; Hu, J.-G.; Lü, H.-Z. Transcriptome profile of rat genes in bone marrow-derived macrophages at different activation statuses by RNA-sequencing. Genomics 2019, 111, 986–996. [Google Scholar] [CrossRef]
- Bender, R.; Lange, S. Adjusting for multiple testing—When and how? J. Clin. Epidemiol. 2001, 54, 343–349. [Google Scholar] [CrossRef]
- Rothman, K.J. No adjustments are needed for multiple comparisons. Epidemiology 1990, 1, 43–46. [Google Scholar] [CrossRef]
- Fonseka, P.; Pathan, M.; Chitti, S.V.; Kang, T.; Mathivanan, S. FunRich enables enrichment analysis of OMICs datasets. J. Mol. Biol. 2021, 433, 166747. [Google Scholar] [CrossRef] [PubMed]
- Gessmann, J.; Rosteius, T.; Baecker, H.; Sivalingam, K.; Peter, E.; Schildhauer, T.A.; Köller, M. Is the bioactivity of induced membranes time dependent? Eur. J. Trauma Emerg. Surg. 2022, 48, 3051–3061. [Google Scholar] [CrossRef] [PubMed]
- Gindraux, F.; Loisel, F.; Bourgeois, M.; Oudina, K.; Melin, M.; de Billy, B.; Sergent, P.; Leclerc, G.; Petite, H.; Auber, F.; et al. Induced membrane maintains its osteogenic properties even when the second stage of Masquelet’s technique is performed later. Eur. J. Trauma Emerg. Surg. 2020, 46, 301–312. [Google Scholar] [CrossRef] [PubMed]
- Masquelet, A.C.; Begue, T. The concept of induced membrane for reconstruction of long bone defects. Orthop. Clin. N. Am. 2010, 41, 27–37. [Google Scholar] [CrossRef]
- Nau, C.; Henrich, D.; Seebach, C.; Schröder, K.; Fitzsimmons, S.-J.; Hankel, S.; Barker, J.H.; Marzi, I.; Frank, J. Treatment of Large Bone Defects with a Vascularized Periosteal Flap in Combination with Biodegradable Scaffold Seeded with Bone Marrow-Derived Mononuclear Cells: An Experimental Study in Rats. Tissue Eng. Part A 2016, 22, 133–141. [Google Scholar] [CrossRef]
- Seebach, C.; Nau, C.; Henrich, D.; Verboket, R.; Bellen, M.; Frischknecht, N.; Moeck, V.; Eichler, K.; Horlohé, K.H.S.; Hoffmann, R.; et al. Cell-Based Therapy by Autologous Bone Marrow-Derived Mononuclear Cells for Bone Augmentation of Plate-Stabilized Proximal Humeral Fractures: A Multicentric, Randomized, Open Phase IIa study. Stem Cells Transl. Med. 2024, 13, 3–13. [Google Scholar] [CrossRef]
- Seebach, C.; Henrich, D.; Meier, S.; Nau, C.; Bonig, H.; Marzi, I. Safety and feasibility of cell-based therapy of autologous bone marrow-derived mononuclear cells in plate-stabilized proximal humeral fractures in humans. J. Transl. Med. 2016, 14, 314. [Google Scholar] [CrossRef]
- Elgaz, S.; Kuçi, Z.; Kuçi, S.; Bönig, H.; Bader, P. Clinical Use of Mesenchymal Stromal Cells in the Treatment of Acute Graft-versus-Host Disease. Transfus. Med. Hemotherapy 2019, 46, 27–34. [Google Scholar] [CrossRef]
- Leppik, L.; Gempp, A.; Kuçi, Z.; Kuçi, S.; Bader, P.; Bönig, H.; Marzi, I.; Henrich, D. A New Perspective for Bone Tissue Engineering: Human Mesenchymal Stromal Cells Well-Survive Cryopreservation on β-TCP Scaffold and Show Increased Ability for Osteogenic Differentiation. Int. J. Mol. Sci. 2022, 23, 1425. [Google Scholar] [CrossRef]
- Bonig, H.; Verbeek, M.; Herhaus, P.; Braitsch, K.; Beutel, G.; Schmid, C.; Müller, N.; Bug, G.; Döring, M.; von Stackelberg, A.; et al. Real-world data suggest effectiveness of the allogeneic mesenchymal stromal cells preparation MSC-FFM in ruxolitinib-refractory acute graft-versus-host disease. J. Transl. Med. 2023, 21, 837. [Google Scholar] [CrossRef]
- Bernemann, I.; Mueller, T.; Blasczyk, R.; Glasmacher, B.; Hofmann, N. Colonization of collagen scaffolds by adipocytes derived from mesenchymal stem cells of the common marmoset monkey. Biochem. Biophys. Res. Commun. 2011, 411, 317–322. [Google Scholar] [CrossRef]
- Duffy, M.M.; Ritter, T.; Ceredig, R.; Griffin, M.D. Mesenchymal stem cell effects on T-cell effector pathways. Stem Cell Res. Ther. 2011, 2, 34. [Google Scholar] [CrossRef] [PubMed]
- Akhir, H.M.; Teoh, P.L. Collagen type I promotes osteogenic differentiation of amniotic membrane-derived mesenchymal stromal cells in basal and induction media. Biosci. Rep. 2020, 40, BSR20201325. [Google Scholar] [CrossRef] [PubMed]
- Advani, D.; Farid, N.; Tariq, M.H.; Kohli, N. A systematic review of mesenchymal stem cell secretome: Functional annotations, gene clusters and proteomics analyses for bone formation. Bone 2025, 190, 117269. [Google Scholar] [CrossRef] [PubMed]
- Corradini, E.; Babitt, J.L.; Lin, H.Y. The RGM/DRAGON family of BMP co-receptors. Cytokine Growth Factor Rev. 2009, 20, 389–398. [Google Scholar] [CrossRef]
- Wu, Q.; Sun, C.C.; Lin, H.Y.; Babitt, J.L. Repulsive guidance molecule (RGM) family proteins exhibit differential binding kinetics for bone morphogenetic proteins (BMPs). PLoS ONE 2012, 7, e46307. [Google Scholar] [CrossRef]
- Mirakaj, V.; Brown, S.; Laucher, S.; Steinl, C.; Klein, G.; Köhler, D.; Skutella, T.; Meisel, C.; Brommer, B.; Rosenberger, P.; et al. Repulsive guidance molecule-A (RGM-A) inhibits leukocyte migration and mitigates inflammation. Proc. Natl. Acad. Sci. USA 2011, 108, 6555–6560. [Google Scholar] [CrossRef]
- Kon, T.; Cho, T.J.; Aizawa, T.; Yamazaki, M.; Nooh, N.; Graves, D.; Gerstenfeld, L.C.; Einhorn, T.A. Expression of osteoprotegerin, receptor activator of NF-kappaB ligand (osteoprotegerin ligand) and related proinflammatory cytokines during fracture healing. J. Bone Miner. Res. 2001, 16, 1004–1014. [Google Scholar] [CrossRef]
- Tong, X.; Gu, J.; Song, R.; Wang, D.; Sun, Z.; Sui, C.; Zhang, C.; Liu, X.; Bian, J.; Liu, Z. Osteoprotegerin inhibit osteoclast differentiation and bone resorption by enhancing autophagy via AMPK/mTOR/p70S6K signaling pathway in vitro. J. Cell. Biochem. 2019, 120, 1630–1642. [Google Scholar] [CrossRef]
- Prystaz, K.; Kaiser, K.; Kovtun, A.; Haffner-Luntzer, M.; Fischer, V.; Rapp, A.E.; Liedert, A.; Strauss, G.; Waetzig, G.H.; Rose-John, S.; et al. Distinct Effects of IL-6 Classic and Trans-Signaling in Bone Fracture Healing. Am. J. Pathol. 2018, 188, 474–490. [Google Scholar] [CrossRef] [PubMed]
- Santos, G.C.; Silva, D.N.; Fortuna, V.; Silveira, B.M.; Orge, I.D.; de Santana, T.A.; Sampaio, G.L.; Paredes, B.D.; Ribeiro-Dos-Santos, R.; Soares, M.B.P. Leukemia Inhibitory Factor (LIF) Overexpression Increases the Angiogenic Potential of Bone Marrow Mesenchymal Stem/Stromal Cells. Front. Cell Dev. Biol. 2020, 8, 778. [Google Scholar] [CrossRef] [PubMed]
- Malaval, L.; Aubin, J.E. Biphasic effects of leukemia inhibitory factor on osteoblastic differentiation. J. Cell. Biochem. 2001, 81, 63–70. [Google Scholar] [CrossRef] [PubMed]
- Zou, S.; Liu, B.; Feng, Y. CCL17, CCL22 and their receptor CCR4 in hematologic malignancies. Discov. Oncol. 2024, 15, 412. [Google Scholar] [CrossRef]
- Szydlak, R. Mesenchymal stem cells’ homing and cardiac tissue repair. Acta Biochim. Pol. 2019, 66, 483–489. [Google Scholar] [CrossRef]
- Cui, L.-Y.; Chu, S.-F.; Chen, N.-H. The role of chemokines and chemokine receptors in multiple sclerosis. Int. Immunopharmacol. 2020, 83, 106314. [Google Scholar] [CrossRef]
- Nelson, R.T.; Boyd, J.; Gladue, R.P.; Paradis, T.; Thomas, R.; Cunningham, A.C.; Lira, P.; Brissette, W.H.; Hayes, L.; Hames, L.M.; et al. Genomic organization of the CC chemokine mip-3alpha/CCL20/larc/exodus/SCYA20, showing gene structure, splice variants, and chromosome localization. Genomics 2001, 73, 28–37. [Google Scholar] [CrossRef]
- Hieshima, K.; Imai, T.; Opdenakker, G.; van Damme, J.; Kusuda, J.; Tei, H.; Sakaki, Y.; Takatsuki, K.; Miura, R.; Yoshie, O.; et al. Molecular cloning of a novel human CC chemokine liver and activation-regulated chemokine (LARC) expressed in liver Chemotactic activity for lymphocytes and gene localization on chromosome 2. J. Biol. Chem. 1997, 272, 5846–5853. [Google Scholar] [CrossRef]
- Sajjad, U.; Ahmed, M.; Iqbal, M.Z.; Riaz, M.; Mustafa, M.; Biedermann, T.; Klar, A.S. Exploring mesenchymal stem cells homing mechanisms and improvement strategies. Stem Cells Transl. Med. 2024, 13, 1161–1177. [Google Scholar] [CrossRef]
- Li, R.; Ye, J.J.; Gan, L.; Zhang, M.; Sun, D.; Li, Y.; Wang, T.; Chang, P. Traumatic inflammatory response: Pathophysiological role and clinical value of cytokines. Eur. J. Trauma Emerg. Surg. 2023, 50, 1313–1330. [Google Scholar] [CrossRef]
- Ridiandries, A.; Tan, J.T.M.; Bursill, C.A. The Role of Chemokines in Wound Healing. Int. J. Mol. Sci. 2018, 19, 3217. [Google Scholar] [CrossRef]
- Kandhwal, M.; Behl, T.; Singh, S.; Sharma, N.; Arora, S.; Bhatia, S.; Al-Harrasi, A.; Sachdeva, M.; Bungau, S. Role of matrix metalloproteinase in wound healing. Am. J. Transl. Res. 2022, 14, 4391–4405. [Google Scholar] [PubMed]
- Yu, X.; Qian, J.; Ding, L.; Yin, S.; Zhou, L.; Zheng, S. Galectin-1: A Traditionally Immunosuppressive Protein Displays Context-Dependent Capacities. Int. J. Mol. Sci. 2023, 24, 6501. [Google Scholar] [CrossRef] [PubMed]
- Lin, C.G.; Leu, S.-J.; Chen, N.; Tebeau, C.M.; Lin, S.-X.; Yeung, C.-Y.; Lau, L.F. CCN3 (NOV) is a novel angiogenic regulator of the CCN protein family. J. Biol. Chem. 2003, 278, 24200–24208. [Google Scholar] [CrossRef] [PubMed]
- Babey, M.E.; Krause, W.C.; Chen, K.; Herber, C.B.; Torok, Z.; Nikkanen, J.; Rodriguez, R.; Zhang, X.; Castro-Navarro, F.; Wang, Y.; et al. A maternal brain hormone that builds bone. Nature 2024, 632, 357–365. [Google Scholar] [CrossRef]
- Minamizato, T.; Sakamoto, K.; Liu, T.; Kokubo, H.; Katsube, K.; Perbal, B.; Nakamura, S.; Yamaguchi, A. CCN3/NOV inhibits BMP-2-induced osteoblast differentiation by interacting with BMP and Notch signaling pathways. Biochem. Biophys. Res. Commun. 2007, 354, 567–573. [Google Scholar] [CrossRef]
- Rydziel, S.; Stadmeyer, L.; Zanotti, S.; Durant, D.; Smerdel-Ramoya, A.; Canalis, E. Nephroblastoma overexpressed (Nov) inhibits osteoblastogenesis and causes osteopenia. J. Biol. Chem. 2007, 282, 19762–19772. [Google Scholar] [CrossRef]
- Ono, M.; Inkson, C.A.; Kilts, T.M.; Young, M.F. WISP-1/CCN4 regulates osteogenesis by enhancing BMP-2 activity. J. Bone Miner. Res. 2011, 26, 193–208. [Google Scholar] [CrossRef]
- Jerde, T.J.; Bushman, W. IL-1 induces IGF-dependent epithelial proliferation in prostate development and reactive hyperplasia. Sci. Signal. 2009, 2, ra49. [Google Scholar] [CrossRef]
- Matsushita, Y.; Sakamoto, K.; Tamamura, Y.; Shibata, Y.; Minamizato, T.; Kihara, T.; Ito, M.; Katsube, K.; Hiraoka, S.; Koseki, H.; et al. CCN3 protein participates in bone regeneration as an inhibitory factor. J. Biol. Chem. 2013, 288, 19973–19985. [Google Scholar] [CrossRef]
- Bastidas-Coral, A.P.; Hogervorst, J.M.A.; Forouzanfar, T.; Kleverlaan, C.J.; Koolwijk, P.; Klein-Nulend, J.; Bakker, A.D. IL-6 counteracts the inhibitory effect of IL-4 on osteogenic differentiation of human adipose stem cells. J. Cell. Physiol. 2019, 234, 20520–20532. [Google Scholar] [CrossRef]
- Voss, J.O.; Loebel, C.; Bara, J.J.; Fussinger, M.A.; Duttenhoefer, F.; Alini, M.; Stoddart, M.J. Effect of Short-Term Stimulation with Interleukin-1β and Differentiation Medium on Human Mesenchymal Stromal Cell Paracrine Activity in Coculture with Osteoblasts. Biomed Res. Int. 2015, 2015, 714230. [Google Scholar] [CrossRef]
- LaPointe, M.C.; Sitkins, J.R. Mechanisms of interleukin-1beta regulation of nitric oxide synthase in cardiac myocytes. Hypertension 1996, 27, 709–714. [Google Scholar] [CrossRef]
- Sica, A.; Mantovani, A. Macrophage plasticity and polarization: In vivo veritas. J. Clin. Investig. 2012, 122, 787–795. [Google Scholar] [CrossRef]
- Deshmane, S.L.; Kremlev, S.; Amini, S.; Sawaya, B.E. Monocyte chemoattractant protein-1 (MCP-1): An overview. J. Interf. Cytokine Res. 2009, 29, 313–326. [Google Scholar] [CrossRef]
- Dinarello, C.A. Interleukin-1 in the pathogenesis and treatment of inflammatory diseases. Blood 2011, 117, 3720–3732. [Google Scholar] [CrossRef]








| Designation | Treatment | Time In Situ (d) |
|---|---|---|
| CM-hADM-3 | hADM without BMC | 3 |
| CM-hADM-7 | hADM without BMC | 7 |
| CM-BMC-3 | hADM loaded with BMC | 3 |
| CM-BMC-7 | hADM loaded with BMC | 7 |
| CM-CD8-3 | hADM loaded with BMC-CD8 | 3 |
| CM-CD8-7 | hADM loaded with BMC-CD8 | 7 |
| Analyzed Gene (MSC) | Protein | GeneGlobe ID: |
|---|---|---|
| Bmp2 | BMP-2 | PPM03753A |
| Col1a1 | Collagen1α | PPR42922A |
| Igf1 | IGF-1 | PPR06664F |
| Ccn3 | Nov | PPR48283A |
| Analyzed gene (macrophages) | GeneGlobe ID: | |
| Arg1 | Arginase | PPR44521A |
| Ccl2 | CCL-2 | PPR06714B |
| Il1rn | IL-1RA | PPR06438A |
| Nos2 | iNOS | PPR75758A |
| Socs1 | SOCS-1 | PPR52395A |
| Analyzed gene (housekeeping) | GeneGlobe ID: | |
| Gapdh | GAPDH | PPR06557B |
Disclaimer/Publisher’s Note: The statements, opinions and data contained in all publications are solely those of the individual author(s) and contributor(s) and not of MDPI and/or the editor(s). MDPI and/or the editor(s) disclaim responsibility for any injury to people or property resulting from any ideas, methods, instructions or products referred to in the content. |
© 2026 by the authors. Licensee MDPI, Basel, Switzerland. This article is an open access article distributed under the terms and conditions of the Creative Commons Attribution (CC BY) license.
Share and Cite
Penna-Martinez, M.; Klausner, L.; Kammerer, A.; Wang, M.; Schaible, A.; Verboket, R.D.; Nau, C.; Marzi, I.; Henrich, D. Cell Supported Single Membrane Technique for the Treatment of Large Bone Defects: Depletion of CD8+ Cells Enhances Bone Healing Mechanisms During the Early Bone Healing Phase. Cells 2026, 15, 215. https://doi.org/10.3390/cells15030215
Penna-Martinez M, Klausner L, Kammerer A, Wang M, Schaible A, Verboket RD, Nau C, Marzi I, Henrich D. Cell Supported Single Membrane Technique for the Treatment of Large Bone Defects: Depletion of CD8+ Cells Enhances Bone Healing Mechanisms During the Early Bone Healing Phase. Cells. 2026; 15(3):215. https://doi.org/10.3390/cells15030215
Chicago/Turabian StylePenna-Martinez, Marissa, Lia Klausner, Andreas Kammerer, Minhong Wang, Alexander Schaible, René Danilo Verboket, Christoph Nau, Ingo Marzi, and Dirk Henrich. 2026. "Cell Supported Single Membrane Technique for the Treatment of Large Bone Defects: Depletion of CD8+ Cells Enhances Bone Healing Mechanisms During the Early Bone Healing Phase" Cells 15, no. 3: 215. https://doi.org/10.3390/cells15030215
APA StylePenna-Martinez, M., Klausner, L., Kammerer, A., Wang, M., Schaible, A., Verboket, R. D., Nau, C., Marzi, I., & Henrich, D. (2026). Cell Supported Single Membrane Technique for the Treatment of Large Bone Defects: Depletion of CD8+ Cells Enhances Bone Healing Mechanisms During the Early Bone Healing Phase. Cells, 15(3), 215. https://doi.org/10.3390/cells15030215

